Effect of Splinting on Orthodontic Mini-Implant Tipping and Bone Histomorphometric Parameters: An In Vivo Animal Model Study
Abstract
1. Introduction
2. Materials and Methods
2.1. Materials
2.2. Experimental Groups
- Group 1—Two splinted mini-implants, connected to another mini-implant through a coil spring. Within this group, two sub-groups were independently analyzed: splinted implants (2 Splinted) and implants connected to the coil spring (1 Splinted);
- Group 2—One mini-implant, connected to another mini-implant through a coil spring (Loaded);
- Group 3—One unloaded mini-implant (unloaded).
2.3. Animals
2.4. Surgical Procedure
2.5. Sample Collection
2.6. Microtomographic Analysis
2.7. Statistical Analysis
2.8. Ethical Issues
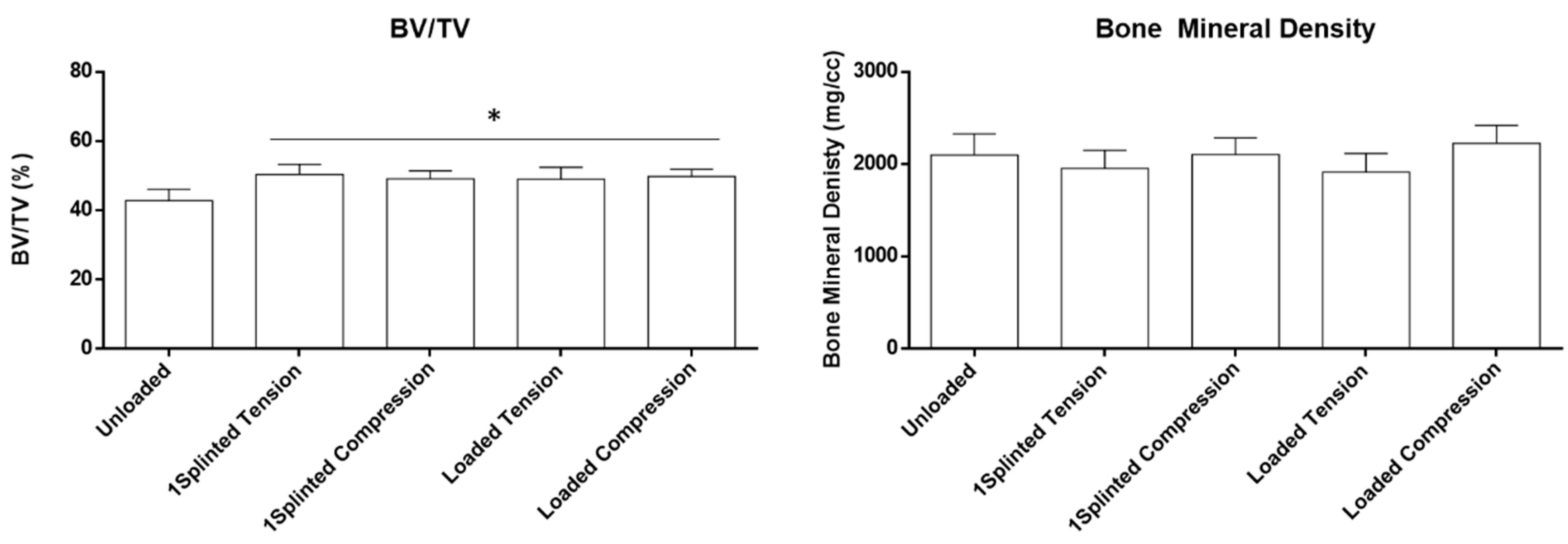
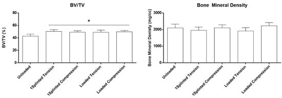
3. Results and Discussion
4. Conclusions
Author Contributions
Funding
Data Availability Statement
Conflicts of Interest
References
- Feldmann, I.; Bondemark, L. Orthodontic anchorage: A systematic review. Angle Orthodont. 2006, 76, 493–501. [Google Scholar]
- Xu, Y.; Xie, J. Comparison of the effects of mini-implant and traditional anchorage on patients with maxillary dentoalveolar protrusion. Angle Orthodont. 2017, 87, 320–327. [Google Scholar] [CrossRef]
- Reynders, R.; Ladu, L. Mini-implants for orthodontic anchorage. Evid. Based Dent. 2017, 18, 82–85. [Google Scholar] [CrossRef]
- Tseng, Y.; Hsieh, C.; Chen, C.; Shen, Y.; Huang, I.; Chen, C. The application of mini-implants for orthodontic anchorage. Int. J. Oral Maxillofac. Surg. 2006, 35, 704–707. [Google Scholar] [CrossRef] [PubMed]
- Papadopoulos, M.; Tarawneh, F. The use of miniscrew implants for temporary skeletal anchorage in orthodontics: A comprehensive review. Oral Surg. Oral Med. Oral Pathol. Oral Radiol. Endod. 2007, 103, e6–e15. [Google Scholar] [CrossRef] [PubMed]
- Stanford, N. Mini-screws success rates sufficient for orthodontic treatment. Evid. Based Dent. 2011, 12, 19. [Google Scholar] [CrossRef] [PubMed]
- Ramirez-Ossa, D.; Escobar-Correa, N.; Ramirez-Bustamante, M.; Agudelo-Suárez, A. An umbrella review of the effectiveness of temporary anchorage devices and the factors that contribute to their success or failure. J. Evid. Based Dent. Pract. 2020, 20, 101402. [Google Scholar] [CrossRef]
- de Mattos, P.; Gonçalves, F.; Basso, I.; Zeigelboim, B.; Niwa, M.; Stechman-Neto, J.; Santos, R.S.; de Araujo, C.M.; Guariza-Filho, O. Risk factors associated with the stability of mini-implants and mini-plates: Systematic review and meta-analysis. Clin. Oral Investig. 2022, 26, 65–82. [Google Scholar] [CrossRef]
- Papageorgiou, S.; Zogakis, I.; Papadopoulos, M. Failure rates and associated risk factors of orthodontic miniscrew implants: A meta-analysis. Am. J. Orthod. Dentofac. Orthop. 2012, 142, 577–595.e7. [Google Scholar] [CrossRef]
- Arqub, S.; Gandhi, V.; Mehta, S.; Palo, L.; Upadhyay, M.; Yadav, S. Survival estimates and risk factors for failure of palatal and buccal mini-implants. Angle Orthod. 2021, 91, 756–763. [Google Scholar] [CrossRef]
- Casaña-Ruiz, M.; Bellot-Arcís, C.; Paredes-Gallardo, V.; García-Sanz, V.; Almerich-Silla, J.; Montiel-Company, J. Risk factors for orthodontic mini-implants in skeletal anchorage biological stability: A systematic literature review and meta-analysis. Sci. Rep. 2020, 10, 5848. [Google Scholar] [CrossRef] [PubMed]
- Mohammed, H.; Wafaie, K.; Rizk, M.; Almuzian, M.; Sosly, R.; Bearn, D. Role of anatomical sites and correlated risk factors on the survival of orthodontic miniscrew implants: A systematic review and meta-analysis. Prog. Orthod. 2018, 19, 36. [Google Scholar] [CrossRef] [PubMed]
- Afrashtehfar, K. Patient and miniscrew implant factors influence the success of orthodontic miniscrew implants. Evid. Based Dent. 2016, 17, 109–110. [Google Scholar] [CrossRef] [PubMed]
- Jedliński, M.; Janiszewska-Olszowska, J.; Mazur, M.; Grocholewicz, K.; Suárez Suquía, P.; Suárez Quintanilla, D. How Does Orthodontic Mini-Implant Thread Minidesign Influence the Stability? Systematic Review with Meta-Analysis. J. Clin. Med. 2022, 11, 5304. [Google Scholar] [CrossRef]
- Nienkemper, M.; Handschel, J.; Drescher, D. Systematic review of mini-implant displacement under orthodontic loading. Int. J. Oral Sci. 2014, 6, 1–6. [Google Scholar] [CrossRef]
- Sreenivasagan, S.; Subramanian, A.; Ramasamy, N.; Chae, J. Displacement of mini-implants under orthodontic force loading: A systematic review. World J. Dent. 2021, 12, 251–257. [Google Scholar]
- Becker, K.; Schwarz, F.; Rauch, N.; Khalaph, S.; Mihatovic, I.; Drescher, D. Can implants move in bone? A longitudinal in vivo micro-CT analysis of implants under constant forces in rat vertebrae. Clin. Oral Implant. Res. 2019, 30, 1179–1189. [Google Scholar] [CrossRef]
- Becker, K.; Rauch, N.; Brunello, G.; Azimi, S.; Beller, M.; Hüfner, M.; Nienkemper, M.; Schwarz-Herzke, B.; Drescher, D. Bone remodelling patterns around orthodontic mini-implants migrating in bone: An experimental study in rat vertebrae. Eur. J. Orthod. 2021, in press. [Google Scholar] [CrossRef]
- Pittman, J.; Navalgund, A.; Byun, S.; Huang, H.; Kim, A.; Kim, D.-G. Primary migration of a mini-implant under a functional orthodontic loading. Clin. Oral Investig. 2014, 18, 721–728. [Google Scholar] [CrossRef]
- Kumari, P.; Verma, M.; Sainia, V.; Gupta, A.; Gupta, R.; Gill, S. Mini-Implants, Mega Solutions: A Case Series. J. Prosthodont. 2016, 25, 682–686. [Google Scholar] [CrossRef]
- Bidra, A.; Almas, K. Mini implants for definitive prosthodontic treatment: A systematic review. J. Prosthet. Dent. 2013, 109, 156–164. [Google Scholar] [CrossRef]
- Jofre, J.; Cendoya, P.; Munoz, P. Effect of splinting mini-implants on marginal bone loss: A biomechanical model and clinical randomized study with mandibular overdentures. Int. J. Oral Maxillofac. Implant. 2010, 25, 1137–1144. [Google Scholar]
- Leung, M.; Rabie, A.; Wong, R. Stability of connected mini-implants and miniplates for skeletal anchorage in orthodontics. Eur. J. Orthod. 2008, 30, 483–489. [Google Scholar] [CrossRef] [PubMed]
- Lee, J.; Kim, D.; Park, Y.; Kyung, S.; Kim, T. The efficient use of midpalatal miniscrew implants. Angle Orthod. 2004, 74, 711–714. [Google Scholar] [PubMed]
- Nienkemper, M.; Wilmes, B.; Renger, S.; Mazaud-Schmelter, M.; Drescher, D. Improvement of mini-implant stability in orthodontics. Orthod. Fr. 2012, 83, 201–207. [Google Scholar] [CrossRef] [PubMed]
- Pranskunas, M.; Šimoliūnas, E.; Alksne, M.; Martin, V.; Gomes, P.; Puisys, A.; Kaupinis, A.; Juodzbalys, G. Assessment of the Bone Healing Process Mediated by Periosteum-Derived Mesenchymal Stem Cells’ Secretome and a Xenogenic Bioceramic—An In Vivo Study in the Rabbit Critical Size Calvarial Defect Model. Materials 2021, 14, 3512. [Google Scholar] [CrossRef] [PubMed]
- Santiago, E.; Martin, V.; Colaço, B.; Fernandes, M.; Santos, C.; Gomes, P. Hydrothermal Synthesis of Fluorapatite Coatings over Titanium Implants for Enhanced Osseointegration—An In Vivo Study in the Rabbit. J. Funct. Biomater. 2022, 13, 241. [Google Scholar] [CrossRef]
- Araújo, R.; Martin, V.; Ferreira, R.; Fernandes, M.; Gomes, P. A new ex vivo model of the bone tissue response to the hyperglycemic environment–The embryonic chicken femur organotypic culture in high glucose conditions. Bone 2022, 158, 116355. [Google Scholar] [CrossRef] [PubMed]
- Wancket, L. Animal Models for Evaluation of Bone Implants and Devices:Comparative Bone Structure and Common Model Uses. Vet. Pathol. 2015, 52, 842–850. [Google Scholar] [CrossRef]
- Stübinger, S.; Dard, M. The rabbit as experimental model for research in implant dentistry and related tissue regeneration. J. Investig. Surg. 2013, 26, 266–282. [Google Scholar] [CrossRef] [PubMed]
- Wang, Y.; Liou, E. Comparison of the loading behavior of self-drilling and predrilled miniscrews throughout orthodontic loading. Am. J. Orthod. Dentofac. Orthop. 2008, 133, 38–43. [Google Scholar] [CrossRef] [PubMed]
- El-Beialy, A.; Abou-El-Ezz, A.; Attia, K.; El-Bialy, A.; Mostafa, Y. Loss of anchorage of miniscrews: A 3-dimensional assessment. Am. J. Orthod. Dentofac. Orthop. 2009, 136, 700–707. [Google Scholar] [CrossRef] [PubMed]
- Lifshitz, A.; Munoz, M. Evaluation of the stability of self-drilling mini-implants for maxillary anchorage under immediate loading. World J. Orthod. 2010, 11, 352–356. [Google Scholar]
- Hedayati, Z.; Hashemi, S.; Zamiri, B.; Fattahi, H. Anchorage value of surgical titanium screws in orthodontic tooth movement. Int. J. Oral Maxillofac. Surg. 2007, 36, 588–592. [Google Scholar] [CrossRef]
- Lee, J.; Jeong, Y.-H.; Pittman, J.; Deguchi, T.; Johnston, W.; Fields, H.; Kim, D.-G. Primary stability and viscoelastic displacement of mini-implant system under loading. Clin. Biomech. 2017, 41, 28–33. [Google Scholar] [CrossRef]
- Esposito, M.; Grusovin, M.; Coulthard, P.; Worthington, H. Different loading strategies for dental implants: A Cochrane systematic review of randomized controlled trials. Eur. J. Oral Implantol. 2008, 1, 259–276. [Google Scholar] [PubMed]
- Grossmann, Y.; Finger, I.; Block, M. Indications for Splinting Implant Restorations. J. Oral Maxillofac. Surg. 2005, 63, 1642–1652. [Google Scholar] [CrossRef]
- Kim, Y.; Yang, S.-M.; Kim, S.; Lee, J.; Kim, K.; Gianelly, A.; Kyung, S.-H. Midpalatal miniscrews for orthodontic anchorage: Factors affecting clinical success. Am. J. Orthod. Dentofac. Orthop. 2010, 137, 66–72. [Google Scholar] [CrossRef]
- Hou, D.; Capote, R.; Bayirli, B.; Chan, D.; Huang, G. The effect of digital diagnostic setups on orthodontic treatment planning. Am. J. Orthod. Dentofac. Orthop. 2020, 157, 542–549. [Google Scholar] [CrossRef]
- Francisco, I.; Ribeiro, M.P.; Marques, F.; Travassos, R.; Nunes, C.; Pereira, F.; Caramelo, F.; Paula, A.B.; Vale, F. Application of Three-Dimensional Digital Technology in Orthodontics: The State of the Art. Biomimetics 2022, 7, 23. [Google Scholar] [CrossRef]
- Chen, Y.; Kang, S.; Bae, S.-M.; Kyung, H.-M. Clinical and histologic analysis of the stability of microimplants with immediate orthodontic loading in dogs. Am. J. Orthod. Dentofac. Orthop. 2009, 136, 260–267. [Google Scholar] [CrossRef] [PubMed]
- Choi, J.-Y.; Park, J.-I.; Chae, J.; Yeo, I.-S.L. Comparison of micro-computed tomography and histomorphometry in the measurement of bone–implant contact ratios. Oral Surg. Oral Med. Oral Pathol. Oral Radiol. Endod. 2019, 128, 87–95. [Google Scholar] [CrossRef]
- Hong, J.-M.; Kim, U.-G.; Yeo, I.-S.L. Comparison of three-dimensional digital analyses and two-dimensional histomorphometric analyses of the bone-implant interface. PLoS ONE 2022, 17, e0276269. [Google Scholar] [CrossRef]
- Nicolielo, L.; Van Dessel, J.; van Lenthe, G.; Lambrichts, I.; Jacobs, R. Computer-based automatic classification of trabecular bone pattern can assist radiographic bone quality assessment at dental implant site. Br. J. Radiol. 2018, 91, 20180437. [Google Scholar] [CrossRef] [PubMed]
- Steiner, L.; Synek, A.; Pahr, D. Comparison of different microCT-based morphology assessment tools using human trabecular bone. Bone Rep. 2020, 12, 100261. [Google Scholar] [CrossRef] [PubMed]
- Vannet, B.; Sabzevar, M.; Wehrbein, H.; Asscherickx, K. Osseointegration of miniscrews: A histomorphometric evaluation. Eur. J. Orthod. 2007, 29, 437–442. [Google Scholar] [CrossRef]
- Cheng, S.; Tseng, I.; Lee, J.; Kok, S. A prospective study of the risk factors associated with failure of mini-implants used for orthodontic anchorage. Int. J. Oral Maxillofac. Implant. 2004, 19, 100–106. [Google Scholar]
- Akin-Nergiz, N.; Nergiz, I.; Schulz, A. Reaction of peri-implant tissues to continuous loading of osseointegrated implants. Am. J. Orthod. Dentofac. Orthop. 1998, 114, 292–298. [Google Scholar] [CrossRef]
- Aldikaqti, M.; Acikgoz, G.; Turk, T.; Trisi, P. Long-term evaluation of sandblasted and acid-etched implants used as orthodontic anchors in dog. Am. J. Orthod. Dentofac. Orthop. 2004, 2004, 139–147. [Google Scholar] [CrossRef]
- Majzoub, Z.; Finotti, M.; Miotti, F. Bone response to orthodontic loading of endosseous implants in the rabbit calvaria: Early continuous distalizing forces. Eur. J. Orthod. 1999, 21, 223–230. [Google Scholar] [CrossRef]
- Seref-Ferlengez, Z.; Kennedy, O.D.; Schaffler, M.B. Bone microdamage, remodeling and bone fragility: How much damage is too much damage? Bonekey Rep. 2015, 4, 644. [Google Scholar] [CrossRef]
- Woods, P.; Buschang, P.; Owens, S.; Rossouw, P.; Opperman, L. The effect of force, timing, and location on bone-to-implant contact of miniscrew implants. Eur. J. Orthod. 2008, 31, 232–240. [Google Scholar] [CrossRef] [PubMed]
- Büchter, A.; Wiechmann, D.; Koerdt, S.; Wiesmann, H.; Piffko, J.; Meyer, U. Load-related implant reaction of mini-implants used for orthodontic anchorage. Clin. Oral Implant. Res. 2005, 16, 473–479. [Google Scholar] [CrossRef] [PubMed]
- Wehrbein, H.; Diedrich, P. Endosseous titanium implants during and after orthodontic load-an experimental study in the dog. Clin. Oral Implant. Res. 1993, 4, 76–82. [Google Scholar] [CrossRef] [PubMed]
- Wehrbein, H.; Glatzmaier, J.; Yildirim, M. Orthodontic anchorage capacity of short titanium screw implants in the maxilla. An experimental study in the dog. Clin. Oral Implant. Res. 1997, 8, 131–141. [Google Scholar] [CrossRef]
- Roberts, W.; Smith, R.; Silberman, Y.; Mozsary, P.; Smith, R.S. Osseous adaptation to continuous loading of rigid endosseous implants. Am. J. Orthod. 1984, 86, 95–111. [Google Scholar] [CrossRef] [PubMed]
- Oltramari-Navarro, P.; Navarro, R.L.; Henriques, J.; Cestari, T.; Francischone, C.; Taga, R.; McNamara, J.A., Jr. The impact of healing time before loading on orthodontic mini-implant stability: A histomorphometric study in minipigs. Arch. Oral Biol. 2013, 58, 806–812. [Google Scholar] [CrossRef]
- Nakagaki, S.; Iijima, M.; Handa, K.; Koike, T.; Yasuda, Y.; Saito, T.; Mizoguchi, I. Micro-CT and histologic analyses of bone surrounding immediately loaded miniscrew implants: Comparing compression and tension loading. Dent. Mater. J. 2014, 33, 196–202. [Google Scholar] [CrossRef]
- Kim, J.-M.; Lin, C.; Stavre, Z.; Greenblatt, M.; Shim, J.-H. Osteoblast-osteoclast communication and bone homeostasis. Cells 2020, 9, 2073. [Google Scholar] [CrossRef]
- Saran, U.; Gemini Piperni, S.; Chatterjee, S. Role of angiogenesis in bone repair. Arch. Biochem. Biophys. 2014, 561, 109–117. [Google Scholar] [CrossRef]
- Okawara, H.; Arai, Y.; Matsuno, H.; Marcián, P.; Borák, L.; Aoki, K.; Wakabayashi, N. Effect of load-induced local mechanical strain on peri-implant bone cell activity related to bone resorption and formation in mice: An analysis of histology and strain distributions. J. Mech. Behav. Biomed. Mater. 2021, 116, 104370. [Google Scholar] [CrossRef] [PubMed]
- Matsuno, H.; Li, B.; Okawara, H.; Toyoshima, Y.; Xie, C.; Khan, M.; Murakami, N.; Aoki, K.; Wakabayashi, N. Effect of tension and compression on dynamic alveolar histomorphometry. J. Mech. Behav. Biomed. Mater. 2023, 138, 105666. [Google Scholar] [CrossRef]
- Benaissa, A.; Merdji, A.; Bendjaballah, M.; Ngan, P.; Mukdadi, O. Stress influence on orthodontic system components under simulated treatment loadings. Comput. Methods Programs Biomed. 2020, 195, 105569. [Google Scholar] [CrossRef]
- Büchter, A.; Wiechmann, D.; Gaertner, C.; Hendrik, M.; Vogeler, M.; Wiesmann, H.; Piffko, J.; Meyer, U. Load-related bone modelling at the interface of orthodontic micro-implants. Clin. Oral Implant. Res. 2006, 17, 714–722. [Google Scholar] [CrossRef]
- Liu, P.; Tu, J.; Wang, W.; Li, Z.; Li, Y.; Yu, X.; Zhang, Z. Effects of Mechanical Stress Stimulation on Function and Expression Mechanism of Osteoblasts. Front. Bioeng. Biotechnol. 2022, 10, 830722. [Google Scholar] [CrossRef] [PubMed]
- Kumar, R.; Tiwari, A.; Tripathi, D.; Main, R.; Kumar, N.; Sihota, P.; Ambwani, S.; Sharma, N.N. Anatomical variations in cortical bone surface permeability: Tibia versus femur. J. Mech. Behav. Biomed. Mater. 2021, 113, 104122. [Google Scholar] [CrossRef] [PubMed]
- Lei, X.; Liu, Q.; Li, S.; Zhang, Z.; Yang, X. Effects of fluid shear stress on expression of focal adhesion kinase in MG-63 human osteoblast-like cells on different surface modification of titanium. Bioengineered 2021, 12, 4962–4971. [Google Scholar] [CrossRef] [PubMed]





Disclaimer/Publisher’s Note: The statements, opinions and data contained in all publications are solely those of the individual author(s) and contributor(s) and not of MDPI and/or the editor(s). MDPI and/or the editor(s) disclaim responsibility for any injury to people or property resulting from any ideas, methods, instructions or products referred to in the content. |
© 2023 by the authors. Licensee MDPI, Basel, Switzerland. This article is an open access article distributed under the terms and conditions of the Creative Commons Attribution (CC BY) license (https://creativecommons.org/licenses/by/4.0/).
Share and Cite
Fontes, J.; Martin, V.Z.; Resende, M.; Colaço, B.; Gomes, P.d.S.; Amarante, J.M. Effect of Splinting on Orthodontic Mini-Implant Tipping and Bone Histomorphometric Parameters: An In Vivo Animal Model Study. J. Funct. Biomater. 2023, 14, 239. https://doi.org/10.3390/jfb14050239
Fontes J, Martin VZ, Resende M, Colaço B, Gomes PdS, Amarante JM. Effect of Splinting on Orthodontic Mini-Implant Tipping and Bone Histomorphometric Parameters: An In Vivo Animal Model Study. Journal of Functional Biomaterials. 2023; 14(5):239. https://doi.org/10.3390/jfb14050239
Chicago/Turabian StyleFontes, Joana, Victor Zacharias Martin, Marta Resende, Bruno Colaço, Pedro de Sousa Gomes, and José Manuel Amarante. 2023. "Effect of Splinting on Orthodontic Mini-Implant Tipping and Bone Histomorphometric Parameters: An In Vivo Animal Model Study" Journal of Functional Biomaterials 14, no. 5: 239. https://doi.org/10.3390/jfb14050239
APA StyleFontes, J., Martin, V. Z., Resende, M., Colaço, B., Gomes, P. d. S., & Amarante, J. M. (2023). Effect of Splinting on Orthodontic Mini-Implant Tipping and Bone Histomorphometric Parameters: An In Vivo Animal Model Study. Journal of Functional Biomaterials, 14(5), 239. https://doi.org/10.3390/jfb14050239

