Mechanical and Degradation Properties of Hybrid Scaffolds for Tissue Engineered Heart Valve (TEHV)
Abstract
1. Introduction
2. Materials and Methods
2.1. Synthesis and Crosslinking of Parents and Hybrid Scaffolds
2.2. Characterizations
2.2.1. Compressive Test
2.2.2. Dynamic Mechanical Properties
2.2.3. Rheology Test
2.2.4. Degradation Behavior under Non-Enzymatic Conditions
2.2.5. Degradation Behavior under Enzymatic Conditions
2.2.6. Statistical Analysis
3. Results
3.1. Crosslinking Density Calculations
3.2. Compression Test
3.3. Dynamic Mechanical Properties
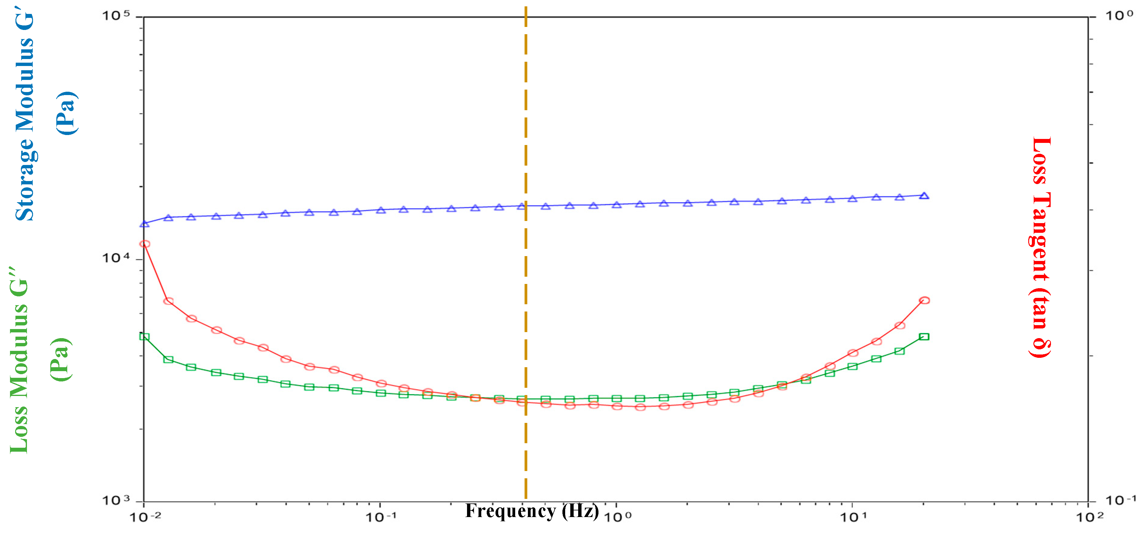
3.4. Rheology Testing
3.5. Degradation Behavior under Non-Enzymatic Conditions
3.5.1. Collagen Scaffolds
3.5.2. HA Scaffolds
3.5.3. Collagen/HA Hybrid Scaffolds
3.6. Degradation Behavior under Enzymatic Conditions
4. Discussion
4.1. Effect of Crosslinking Density and Interlacing on Ecomp
4.2. Effect of Crosslinking Density and Interlacing on Dynamic Mechanical Properties
4.3. Effect of Crosslinking Density on the Mechanical Properties under Wet Conditions
4.4. Comparison of Mechanical Properties of Hybrid Scaffolds with the Human Aortic Valve Leaflet (HAVL)
4.5. Effect of Crosslinking Density and Interlacing on the Degradation Properties under Non-Enzymatic Conditions
4.6. Effect of Crosslinking Density and Interlacing on the Degradation Properties under Enzymatic Conditions
5. Conclusions
Supplementary Materials
Author Contributions
Funding
Data Availability Statement
Acknowledgments
Conflicts of Interest
References
- Gandaglia, A.; Bagno, A.; Naso, F.; Spina, M.; Gerosa, G. Cells, scaffolds and bioreactors for tissue-engineered heart valves: A journey from basic concepts to contemporary developmental innovations. Eur. J. Cardiothorac. Surg. 2011, 39, 523–531. [Google Scholar] [CrossRef] [PubMed]
- Ward, B.B.; E Brown, S.; Krebsbach, P.H. Bioengineering strategies for regeneration of craniofacial bone: A review of emerging technologies. Oral Dis. 2010, 16, 709–716. [Google Scholar] [CrossRef]
- Walmsley, G.G.; Cheung, A.T.; Hu, M.S.; Lorenz, H.P.; Longaker, M.T. Osteogenic Differentiation of Adipose-Derived Stromal Cells: Advancements and Future Directions for Bone Tissue Engineering. Sci. Proc. 2016, 3, 1085–1091. [Google Scholar]
- O’Brien, F.J. Biomaterials & scaffolds for tissue engineering. Mater. Today 2011, 14, 88–95. [Google Scholar] [CrossRef]
- Hollister, S.; Maddox, R.; Taboas, J. Optimal design and fabrication of scaffolds to mimic tissue properties and satisfy biological constraints. Biomaterials 2002, 23, 4095–4103. [Google Scholar] [CrossRef]
- Hutmacher, D.W. Scaffolds in tissue engineering bone and cartilage. Biomaterials 2000, 21, 2529–2543. [Google Scholar] [CrossRef]
- Drury, J.L.; Mooney, D.J. Hydrogels for tissue engineering: Scaffold design variables and applications. Biomaterials 2003, 24, 4337–4351. [Google Scholar] [CrossRef]
- Lanza, R.; Langer, R.; Vacanti, J.P. Principles of Tissue Engineering. Elsevier Sci. 2011, 1, 1–1291. [Google Scholar]
- Meyer, U.; Meyer, T.; Handschel, J.; Wiesmann, H.P. Fundamentals of Tissue Engineering and Regenerative Medicine; Springer: Berlin, Germany, 2009. [Google Scholar]
- Henkel, J.; Woodruff, M.A.; Epari, D.R.; Steck, R.; Glatt, V.; Dickinson, I.C.; Choong, P.F.M.; Schuetz, M.A.; Hutmacher, D.W. Bone Regeneration Based on Tissue Engineering Conceptions: A 21st Century Perspective. Bone. Res. 2013, 1, 216–248. [Google Scholar] [CrossRef]
- Veselý, I. Heart Valve Tissue Engineering. Wiley Encycl. Biomed. Eng. 2006, 97, 743–755. [Google Scholar] [CrossRef]
- Zhang, L.; Hu, J.; Athanasiou, K.A. The Role of Tissue Engineering in Articular Cartilage Repair and Regeneration. Crit. Rev. Biomed. Eng. 2009, 37, 1–57. [Google Scholar] [CrossRef] [PubMed]
- Azevedo, H.; Reis, R.L. Understanding the Enzymatic Degradation of Biodegradable Polymers and Strategies to Control Their Degradation Rate; CRC Press: Boca Raton, FL, USA, 2004. [Google Scholar]
- Blackwood, K.A.; Bock, N.; Dargaville, T.R.; Woodruff, M.A. Scaffolds for Growth Factor Delivery as Applied to Bone Tissue Engineering. Int. J. Polym. Sci. 2012, 2012, 1–25. [Google Scholar] [CrossRef]
- Garg, T.; Singh, O.; Arora, S.; Murthy, R.S.R. Scaffold: A Novel Carrier for Cell and Drug Delivery. Crit. Rev. Ther. Drug Carr. Syst. 2012, 29, 1–63. [Google Scholar] [CrossRef] [PubMed]
- Driessen, N.J.; Mol, A.; Bouten, C.V.; Baaijens, F.P. Modeling the mechanics of tissue-engineered human heart valve leaflets. J. Biomech. 2007, 40, 325–334. [Google Scholar] [CrossRef]
- Hasan, A.; Ragaert, K.; Swieszkowski, W.; Selimović, Š.; Paul, A.; Camci-Unal, G.; Mofrad, M.; Khademhosseini, A. Biomechanical properties of native and tissue engineered heart valve constructs. J. Biomech. 2014, 47, 1949–1963. [Google Scholar] [CrossRef]
- Hilbert, S.L.; Schöen, F.J.; Ferrans, V.J. Biomechanics: Allograft Heart Valves. In Cardiac Reconstructions with Allograft Tissues; Springer International Publishing: New York, NY, USA, 2005; pp. 210–212. [Google Scholar]
- Sacks, M.S.; Merryman, W.D.; Schmidt, D.E. On the biomechanics of heart valve function. J. Biomech. 2009, 42, 1804–1824. [Google Scholar] [CrossRef] [PubMed]
- Eckert, C.E.; Fan, R.; Mikulis, B.; Barron, M.; Carruthers, C.A.; Friebe, V.M.; Vyavahare, N.R.; Sacks, M.S. On the biomechanical role of glycosaminoglycans in the aortic heart valve leaflet. Acta. Biomater. 2013, 9, 4653–4660. [Google Scholar] [CrossRef]
- Dabiri, Y.; Ronsky, J.; Ali, I.; Basha, A.; Bhanji, A.; Narine, K. Effects of Leaflet Design on Transvalvular Gradients of Bioprosthetic Heart Valves. Cardiovasc. Eng. Technol. 2016, 7, 363–373. [Google Scholar] [CrossRef] [PubMed]
- Gould, P.L.; Cataloglu, A.; Clark, R.E. Mathematical modelling of human aortic valve leaflets. Appl. Math. Model. 1976, 1, 33–36. [Google Scholar] [CrossRef]
- Nazir, R.; Bruyneel, A.; Carr, C.; Czernuszka, J. Collagen type I and hyaluronic acid based hybrid scaffolds for heart valve tissue engineering. Biopolymers 2019, 110, e23278. [Google Scholar] [CrossRef]
- Ma, L.; Gao, C.; Mao, Z.; Zhou, J.; Shen, J.; Hu, X.; Han, C. Collagen/chitosan porous scaffolds with improved biostability for skin tissue engineering. Biomaterials 2003, 24, 4833–4841. [Google Scholar] [CrossRef]
- Ma, J.; Wang, H.; He, B.; Chen, J. A preliminary in vitro study on the fabrication and tissue engineering applications of a novel chitosan bilayer material as a scaffold of human neofetal dermal fibroblasts. Biomaterials 2001, 22, 331–336. [Google Scholar] [CrossRef]
- Dhandayuthapani, B.; Yoshida, Y.; Maekawa, T.; Kumar, D.S. Polymeric Scaffolds in Tissue Engineering Application: A Review. Int. J. Polym. Sci. 2011, 2011, 1–19. [Google Scholar] [CrossRef]
- Engineer, C.; Parikh, J.; Raval, A. Review on hydrolytic degradation behavior of biodegradable polymers from controlled drug delivery system. Trends. Biomater. Artif. Organs 2011, 25, 79–85. [Google Scholar]
- Yildirimer, L.; Buanz, A.; Gaisford, S.; Malins, E.L.; Becer, C.R.; Moiemen, N.; Reynolds, G.; Seifalian, A.M. Controllable degradation kinetics of POSS nanoparti-cle-integrated poly (ε-caprolactone urea) urethane elastomers for tissue engineering applications. Sci. Rep. 2015, 5, 15040–15058. [Google Scholar] [CrossRef]
- Gueye, P.; Splinter, R. Handbook of Physics in Medicine and Biology. Med. Phys. 2011, 38, 2822–2823. [Google Scholar] [CrossRef]
- Ducheyne, P.; Healy, K.; Hutmacher, D.E.; Grainger, D.W.; Kirkpatrick, C.J. Comprehensive Biomaterials. Elsevier Sci. 2011, 1, 1–4. [Google Scholar]
- Gad, S.C.; Gad-McDonald, S. Biomaterials, Medical Devices, and Combination Products: Biocompatibility Testing and Safety Assessment; CRC Press: Boca Raton, FL, USA, 2015. [Google Scholar]
- Adeosun, S.O.; Lawal, G.I.; Gbenebor, O.P. Characteristics of Biodegradable Implants. J. Miner. Mater. Charact. Eng. 2014, 2, 88–106. [Google Scholar] [CrossRef]
- Neves, N.; Mano, J.F.; Gomes, M.E.; Marques, A.P.; Azevedo, H.S. Natural-Based Polymers for Biomedical Applications; CRC Press: Boca Raton, FL, USA, 2008. [Google Scholar]
- Gerweck, L.E.; Seetharaman, K. Cellular pH gradient in tumor versus normal tissue: Potential exploitation for the treatment of cancer. Cancer Res. 1996, 56, 1194–1198. [Google Scholar]
- Tannock, I.F.; Rotin, D. Acid pH in tumors and its potential for therapeutic exploitation. Cancer Res. 1989, 49, 4373–4384. [Google Scholar]
- Acharya, U.R.; Joseph, K.P.; Kannathal, N.; Lim, C.M.; Suri, J.S. Heart rate variability: A review. Med. Biol. Eng. Comput. 2006, 44, 1031–1051. [Google Scholar] [CrossRef]
- Chen, Q.; Bruyneel, A.; Clarke, K.; Carr, C.; Czernuszka, J. Collagen-based Scaffolds for potential application of heart valve tissue engineering. J. Tissue Sci. Eng. 2012, 11, 3–9. [Google Scholar] [CrossRef]
- Loh, Q.L.; Choong, C. Three-Dimensional Scaffolds for Tissue Engineering Applications: Role of Porosity and Pore Size. Tissue Eng. Part B Rev. 2013, 19, 485–502. [Google Scholar] [CrossRef] [PubMed]
- Shonaike, G.O.; Advani, S.G. Advanced Polymeric Materials: Structure Property Relationships; CRC Press: Boca Raton, FL, USA, 2003. [Google Scholar]
- Fernández, F.I.; Moakes, R.J.A. Norton IT. Designing biopolymer fluid gels: A microstructural approach. Food Hydrocol. 2014, 42, 362–372. [Google Scholar] [CrossRef]
- Vincent, R.R.R.; Mansel, B.W.; Kramer, A.; Kroy, K.; Williams, M.A.K. Micro-rheological behaviour and nonlinear rheology of networks assembled from polysaccharides from the plant cell wall. New J. Phys. 2013, 15. [Google Scholar] [CrossRef]
- Urdl, K.; Kandelbauer, A.; Kern, W.; Müller, U.; Thebault, M.; Zikulnig-Rusch, E. Self-healing of densely crosslinked thermoset polymers: A critical review. Prog. Org. Coat. 2017, 104, 232–249. [Google Scholar] [CrossRef]
- Papakonstantopoulos, G.J.; Feher, F.J.; Alwardt, C.L.; Lee, B.J. Rubber Composition Having a Crosslink Distribution, Its Preparation and Article with Component. US Patent Number US9701821B2, 11 July 2017. [Google Scholar]
- Davidenko, N.; Schuster, C.; Bax, D.; Raynal, N.; Farndale, R.; Best, S.; Cameron, R. Control of crosslinking for tailoring collagen-based scaffolds stability and mechanics. Acta. Biomater. 2015, 25, 131–142. [Google Scholar] [CrossRef] [PubMed]
- Baier, L.J.; Bivens, K.A.; Patrick, C.W., Jr.; Schmidt, C.E. Photocrosslinked hyaluronic acid hydrogels: Natural, biodegradable tissue engineering scaffolds. Biotech. Bioeng. 2003, 82, 578–589. [Google Scholar] [CrossRef] [PubMed]
- Lam, J.; Truong, N.F.; Segura, T. Design of cell–matrix interactions in hyaluronic acid hydrogel scaffolds. Acta. Biomater. 2014, 10, 1571–1580. [Google Scholar] [CrossRef]
- Zustiak, S.P.; Wei, Y.; Leach, J.B. Protein–Hydrogel Interactions in Tissue Engineering: Mechanisms and Applications. Tissue Eng. Part B Rev. 2013, 19, 160–171. [Google Scholar] [CrossRef] [PubMed]
- Ebnesajjad, S. Handbook of Biopolymers and Biodegradable Plastics: Properties, Processing and Applications; William Andrew: Norwich, NY, USA, 2012. [Google Scholar]
- Sewell-Loftin, M.K.; Chun, Y.W.; Khademhosseini, A.; Merryman, W.D. EMT-Inducing Biomaterials for Heart Valve Engineering: Taking Cues from Developmental Biology. J. Cardiovasc. Transl. Res. 2011, 4, 658–671. [Google Scholar] [CrossRef] [PubMed]
- Mavrilas, D.; Missirlis, Y. An approach to the optimization of preparation of bioprosthetic heart valves. J. Biomech. 1991, 24, 331–339. [Google Scholar] [CrossRef]
- Merryman, W.D.; Huang, H.Y.S.; Schoen, F.J.; Sacks, M.S. The effects of cellular contraction on aortic valve leaflet flexural stiffness. J. Biomech. 2006, 39, 88–96. [Google Scholar] [CrossRef] [PubMed]
- Puperi, D.S.; O’Connell, R.W.; Punske, Z.E.; Wu, Y.; West, J.L.; Grande-Allen, K.J. Hyaluronan Hydrogels for a Biomimetic Spongiosa Layer of Tissue Engineered Heart Valve Scaffolds. Biomacromolecules 2016, 17, 1766–1775. [Google Scholar] [CrossRef]
- Jiao, T.; Clifton, R.J.; Converse, G.L.; Hopkins, R.A. Measurements of the Effects of Decellularization on Viscoelastic Properties of Tissues in Ovine, Baboon, and Human Heart Valves. Tissue Eng. Part A 2012, 18, 423–431. [Google Scholar] [CrossRef]
- Nazir, R. Collagen–hyaluronic acid based interpenetrating polymer networks as tissue engineered heart valve. Mater. Sci. Technol. 2016, 32, 871–882. [Google Scholar] [CrossRef]
- Chapman, C.L. Engineering TUoTaAB. Gas Permeation through Nanoporous Polycarbonate Track-Etched Membranes: Pulsed Plasma Polymerization of Thin Coatings to Modulate Gas Permeability; University of Texas: Arlington, TX, USA, 2007. [Google Scholar]
- Testa, B.; Mayer, J.M. Hydrolysis in Drug and Prodrug Metabolism; Wiley: Hoboken, NJ, USA, 2003. [Google Scholar]
- Compton, R.G.; Bamford, C.H.; Tipper, C.F.H. Ester Formation and Hydrolysis and Related Reactions. Elsevier Sci. 1972, 10, 308. [Google Scholar]
- Patterson, J.; Siew, R.; Herring, S.W.; Lin, A.S.; Guldberg, R.; Stayton, P.S. Hyaluronic acid hydrogels with controlled degradation properties for oriented bone regeneration. Biomaterials 2010, 31, 6772–6781. [Google Scholar] [CrossRef]
- Mojarradi, H. Coupling of Substances containing a primary Amine to Hyaluronan via Carbodiimide-mediated Amidation; Uppsala University Press: Uppsala, Sweden, 2010. [Google Scholar]
- Hoffman, A.S. Hydrogels for biomedical applications. Adv. Drug Deliv. Rev. 2012, 64, 18–23. [Google Scholar] [CrossRef]
- Zhong, S.; Campoccia, D.; Doherty, P.; Williams, R.; Benedetti, L.; Williams, D. Biodegradation of hyaluronic acid derivatives by hyaluronidase. Biomaterials 1994, 15, 359–365. [Google Scholar] [CrossRef]
- Vasile, C. Environmentally Degradable Materials based on Multicomponent Polymeric Systems; CRC Press: Boca Raton, FL, USA, 2009. [Google Scholar]
- Salamone, J.C. Polymeric Materials Encyclopedia; Taylor & Francis: Oxfordshire, UK, 1996. [Google Scholar]











| Sample ID | Conc. of EDC (mM) | Conc. of NHS (mM) |
|---|---|---|
| C0 | 0 | 0 |
| C25 | 25 | 12.5 |
| C40 | 40 | 20 |
| C60 | 60 | 30 |
| HA2 | 2 | 0 |
| HA4 | 4 | 0 |
| HA10 | 10 | 0 |
| HA20 | 20 | 0 |
| Sample ID | Primary Collagen Network | Secondary HA Network |
|---|---|---|
| S-1 | C0 | HA2 |
| S-2 | C0 | HA20 |
| S-3 | C60 | HA2 |
| S-4 | C60 | HA20 |
| Sample ID | Average Molecular Weight between the Two Crosslinks (Mc, ×102 kg/mol) | Effective Crosslinking Density (ve, kmol/m3) | Distance between Crosslinks Points (ƹ, nm) |
|---|---|---|---|
| C0 | 32 ± 2.5 | 0.4 ± 0.03 | 37 ± 1 |
| C25 | 10 ± 1 a | 1.3 ± 0.2 | 19 ± 1a |
| C40 | 6.7 ± 2.5 a | 2 ± 1 a | 15 ± 3 a |
| C60 | 4.1 ± 0.5 a,b | 3.3 ± 0.4 a,b | 11 ± 1 a,b |
| HA2 | 6.4 ± 0.9 | 2 ± 0.3 | 9.7 ± 1 |
| HA4 | 5.2 ± 0.2 | 2.5 ± 0.1 | 8.3 ± 0.2 |
| HA10 | 3.3 ± 0.6 c | 4.3 ± 0.1 | 6.0 ± 0.6 c,d |
| HA20 | 0.8 ± 0.2 c,d,e | 17 ± 4 c,d,e | 2.4 ± 0.3 c,d,e |
| S-1 | 16 ± 2.1 | 0.8 ± 0.1 | 13 ± 1 |
| S-2 | 14 ± 2.4 | 0.9 ± 0.1 | 10 ± 1 f |
| S-3 | 7 ± 0.2 f,g | 5.0 ± 0.6 f,g | 8.2 ± 0.1 f |
| S-4 | 5 ± 0.1 f,g | 6.8 ± 0.7 f,g,h | 7.3 ± 0.1f,g |
| Sample ID | Effective Crosslinking Density (ve, kmol/m3) [23] | Compression Modulus (Ecomp, kPa) |
|---|---|---|
| C0 | 0.4 ± 0.03 | 35 ± 5 |
| C25 | 1.3 ± 0.2 | 56 ± 6 a |
| C40 | 2 ± 1 a | 63 ± 5 a |
| C60 | 3.3 ± 0.4 a,b | 68 ± 7 a,b |
| S-1 | 0.8 ± 0.1 | 41 ± 4 |
| S-2 | 0.9 ± 0.1 | 73 ± 5 c |
| S-3 | 5.0 ± 0.6 c,d | 68 ± 5 c |
| S-4 | 6.8 ± 0.7 c,d,e | 95 ± 4 c,d,e |
| Sample ID | Effective Crosslinking Density (ve, kmol/m3) | Rheology Properties | ||
|---|---|---|---|---|
| Storage Modulus (G′, kPa) | Loss Modulus (G″, kPa) | Loss Tangent (tan δ) | ||
| C0 | 0.4 ± 0.03 | 16 ± 2 | 3 ± 1 | 0.17 |
| C25 | 1.3 ± 0.2 | 45 ± 3 a | 7 ± 2 a | 0.17 |
| C40 | 2 ± 1 a | 49 ± 4 a | 7 ± 2 a | 0.14 |
| C60 | 3.3 ± 0.4 a,b | 74 ± 3 a,b,c | 9 ± 1 a | 0.12 a,b |
| S-1 | 0.8 ± 0.1 | 52 ± 6 | 6 ± 1 | 0.12 |
| S-2 | 0.9 ± 0.1 | 64 ± 4 | 7 ± 2 | 0.12 |
| S-3 | 5.0 ± 0.6 d,e | 68 ± 5 | 7 ± 2 | 0.11 |
| S-4 | 6.8 ± 0.7 d,e,f | 113 ± 6 d,e,f | 10 ± 2 d | 0.09 d,e |
| Sample ID | Effective Crosslinking Density (ve, kmol/m3) | Rheology Properties | ||
|---|---|---|---|---|
| Storage Modulus (G′, kPa) | Loss Modulus (G″, kPa) | Loss Tangent (tan δ) | ||
| >C0 | 0.4 ± 0.03 | >7 ± 2 | >9 ± 2 | >1.17 |
| C25 | >1.3 ± 0.2 | 10 ± 3 | 6 ± 1 | 0.62 a |
| >C40 | 2 ± 1 a | >10 ± 3 | >5 ± 1 | >0.46 a |
| C60 | >3.3 ± 0.4 a,b | 18 ± 3 a,b,c | 3 ± 1 a | 0.18 a,b,c |
| >S-1 | 0.8 ± 0.1 | >11 ± 3 | >4 ± 1 | >0.38 |
| S-2 | >0.9 ± 0.1 | 15 ± 3 | 2 ± 0.6 d | 0.24 d |
| >S-3 | 5.0 ± 0.6 d,e | >53 ± 4 d,e | >5 ± 2 | >0.1 d |
| S-4 | 6.8 ± 0.7 d,e,f | 55 ± 3 d,e | 6 ± 1 e | 0.1 d |
| Sample ID | Effective Crosslinking Density (ve, kmol/m3) | Storage Modulus (G′, Pa) | Loss Modulus (G″, Pa) | Loss Tangent (tanδ) |
|---|---|---|---|---|
| HA2 | 2 ± 0.3 | 320 ± 24 | 19 ± 6 | 0.05 |
| HA4 | 2.5 ± 0.1 | 480 ± 19 a | 19 ± 3 | 0.04 |
| HA10 | 4.3 ± 0.1 | 660 ± 23 a,b | 25 ± 6 a | 0.04 |
| HA20 | 17 ± 0.4 a,b,c | 870 ± 21 a,b,c | 33 ± 4 a | 0.03 a |
| Mechanical Property | HAVL | Hybrid Scaffolds | |||
|---|---|---|---|---|---|
| S-1 | S-2 | S-3 | S-4 | ||
| Storage Modulus (G′, kPa) | 0.545–10.5 kPa(aortic leaflet + sinus) [53] | 52 ± 6 | 64 ± 4 | 68 ± 5 | 113 ± 6 |
| Tanδ | 0.3–0.4 [53] | 0.12 | 0.12 | 0.11 | 0.09 |
| Mechanical Property | HAVL | Hybrid Scaffolds | |||
|---|---|---|---|---|---|
| S-1 | S-2 | S-3 | S-4 | ||
| Storage modulus (G′, kPa) | 0.545–10.5 kPa (aortic leaflet + sinus) [53] | 11 ± 3 | 15 ± 3 | 53 ± 4 | 55 ± 3 |
| Tanδ | 0.3–0.4 [53] | 0.38 | 0.24 | 0.1 | 0.1 |
| Active Enzyme with Approx. Molecular Weight (Mz, kg/mol) | Diameter of Gyration (Dg, nm) | Target Network | Distance between Crosslinks Points (ƹ, nm) | Average Molecular Weight between the Two Crosslinks (Mc, ×102 kg/mol) |
|---|---|---|---|---|
| Collagenase (68–130) | 4.8 | C0 | 37 ± 3 | 32 ± 2.5 |
| C60 | 11 ± 1 a,b | 4.1 ± 0.5 a,b | ||
| Hyaluronidase (55) | 4.4 | HA2 | 9.7 ± 1 | 6.4 ± 0.9 |
| HA20 | 2.4 ± 1 c,d,e | 0.8 ± 0.2 c,d,e | ||
| Collagenase + Hyaluronidase | S-1 | 13 ± 1 | 16 ± 2.1 | |
| S-2 | 10 ± 2 | 14 ± 2.4 | ||
| S-3 f,g | 8.2 ± 3 f,g | 0.7 ± 0.2 f | ||
| S-4 f,g | 7.3 ± 1 f,g,h | 0.5 ± 0.1 f,g |
Publisher’s Note: MDPI stays neutral with regard to jurisdictional claims in published maps and institutional affiliations. |
© 2021 by the authors. Licensee MDPI, Basel, Switzerland. This article is an open access article distributed under the terms and conditions of the Creative Commons Attribution (CC BY) license (http://creativecommons.org/licenses/by/4.0/).
Share and Cite
Nazir, R.; Bruyneel, A.; Carr, C.; Czernuszka, J. Mechanical and Degradation Properties of Hybrid Scaffolds for Tissue Engineered Heart Valve (TEHV). J. Funct. Biomater. 2021, 12, 20. https://doi.org/10.3390/jfb12010020
Nazir R, Bruyneel A, Carr C, Czernuszka J. Mechanical and Degradation Properties of Hybrid Scaffolds for Tissue Engineered Heart Valve (TEHV). Journal of Functional Biomaterials. 2021; 12(1):20. https://doi.org/10.3390/jfb12010020
Chicago/Turabian StyleNazir, Rabia, Arne Bruyneel, Carolyn Carr, and Jan Czernuszka. 2021. "Mechanical and Degradation Properties of Hybrid Scaffolds for Tissue Engineered Heart Valve (TEHV)" Journal of Functional Biomaterials 12, no. 1: 20. https://doi.org/10.3390/jfb12010020
APA StyleNazir, R., Bruyneel, A., Carr, C., & Czernuszka, J. (2021). Mechanical and Degradation Properties of Hybrid Scaffolds for Tissue Engineered Heart Valve (TEHV). Journal of Functional Biomaterials, 12(1), 20. https://doi.org/10.3390/jfb12010020

