Recent Advances of Conducting Polymers and Their Composites for Electrochemical Biosensing Applications
Abstract
1. Introduction
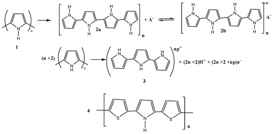
2. Electrochemical Polymerization
3. Fundamental Aspects of Electrochemistry and Biorecognition Elements
4. Retention of Biorecognition Molecules by Conducting Polymers-Electropolymerized Polymers/Monomers
5. Conducting Polymer Composites
6. Polymers Conjugated Mediators for Direct Electron Transfer (DET)
7. Non-Enzymatic Detection of Glucose
8. Trends and Future Possibilities
9. Conclusions
Author Contributions
Funding
Acknowledgments
Conflicts of Interest
References
- Kucherenko, I.; Soldatkin, O.; Kucherenko, D.Y.; Soldatkina, O.; Dzyadevych, S.V. Advances in nanomaterial application in enzyme-based electrochemical biosensors: A review. Nanoscale Adv. 2019, 1, 4560–4577. [Google Scholar] [CrossRef]
- Pandey, P.; Datta, M.; Malhotra, B. Prospects of nanomaterials in biosensors. Anal. Lett. 2008, 41, 159–209. [Google Scholar] [CrossRef]
- Tomczykowa, M.; Plonska-Brzezinska, M.E. Conducting polymers, hydrogels and their composites: Preparation, properties and bioapplications. Polymers 2019, 11, 350. [Google Scholar] [CrossRef] [PubMed]
- Heinze, J.; Frontana-Uribe, B.A.; Ludwigs, S. Electrochemistry of conducting polymers—Persistent models and new concepts. Chem. Rev. 2010, 110, 4724–4771. [Google Scholar] [CrossRef]
- Kankare, J. Electronically conducting polymers: Basic methods of synthesis and characterization. Plast. Eng. N. Y. 1998, 45, 167–200. [Google Scholar]
- Foulds, N.C.; Lowe, C.R. Enzyme entrapment in electrically conducting polymers. Immobilisation of glucose oxidase in polypyrrole and its application in amperometric glucose sensors. J. Chem. Soc. Faraday Trans. 1 Phys. Chem. Condens. Phases 1986, 82, 1259–1264. [Google Scholar] [CrossRef]
- Umana, M.; Waller, J. Protein-modified electrodes. The glucose oxidase/polypyrrole system. Anal. Chem. 1986, 58, 2979–2983. [Google Scholar] [CrossRef]
- Bartlett, P.; Whitaker, R. Electrochemical immobilisation of enzymes: Part II. Glucose oxidase immobilised in poly-N-methylpyrrole. J. Eectroanal. Chem. Inter. Electrochem. 1987, 224, 37–48. [Google Scholar] [CrossRef]
- Dong, H.; Li, C.M.; Chen, W.; Zhou, Q.; Zeng, Z.X.; Luong, J.H.T. Sensitive amperometric immunosensing using polypyrrolepropylic acid films for biomolecule immobilization. Anal. Chem. 2006, 78, 7424–7431. [Google Scholar] [CrossRef]
- Oztekin, Y.; Ramanaviciene, A.; Yazicigil, Z.; Solak, A.O.; Ramanavicius, A. Direct electron transfer from glucose oxidase immobilized on polyphenanthroline-modified glassy carbon electrode. Biosens. Bioelectron. 2011, 26, 2541–2546. [Google Scholar] [CrossRef]
- Kausaite-Minkstimiene, A.; Mazeiko, V.; Ramanaviciene, A.; Ramanavicius, A. Evaluation of amperometric glucose biosensors based on glucose oxidase encapsulated within enzymatically synthesized polyaniline and polypyrrole. Sens. Actuators B Chem. 2011, 158, 278–285. [Google Scholar] [CrossRef]
- Riddick, J.; Bunger, W.; Sakano, T. Organic Solvents. In Techniques of Chemistry, 4th ed.; John Wiley Sons: Hoboken, NJ, USA, 1985; Volume II. [Google Scholar]
- Sax, N.I.; Hawley, G.G.; Lewis, R.J. Hawley’s Condensed Chemical Dictionary; Chapman-Hall: Atlanta, GA, USA, 1987. [Google Scholar]
- Diaz, A.F.; Castillo, J.I.; Logan, J.; Lee, W.-Y. Electrochemistry of conducting polypyrrole films. J. Eectroanal. Chem. Int. Electrochem. 1981, 129, 115–132. [Google Scholar] [CrossRef]
- Paramo, U.; Ibanez, J.G. Electrochemical modulation of the thickness of polypyrrole films by using different anionic dopants. Int. J. Electrochem. Sci. 2011, 6, 5172–5188. [Google Scholar]
- Silk, T.; Hong, Q.; Tamm, J.; Compton, R.G. AFM studies of polypyrrole film surface morphology I. The influence of film thickness and dopant nature. Synth. Met. 1998, 93, 59–64. [Google Scholar] [CrossRef]
- Satoh, M.; Kaneto, K.; Yoshino, K. Dependences of electrical and mechanical properties of conducting polypyrrole films on conditions of electrochemical polymerization in an aqueous medium. Synth. Met. 1986, 14, 289–296. [Google Scholar] [CrossRef]
- Zhou, M.; Heinze, J. Electropolymerization of pyrrole and electrochemical study of polypyrrole. 3. Nature of “water effect” in acetonitrile. J. Phys. Chem. B 1999, 103, 8451–8457. [Google Scholar] [CrossRef]
- Williams, A.; Ibrahim, I.T. Carbodiimide chemistry: Recent advances. Chem. Rev. 1981, 81, 589–636. [Google Scholar] [CrossRef]
- McLeod, G.G.; Mahboubian-Jones, M.; Pethrick, R.A.; Watson, S.D.; Truong, N.; Galin, J.; Francois, J. Synthesis, electrochemical polymerization and properties of poly (2,5-di-(-2-thienyl)-pyrrole). Polymer 1986, 27, 455–458. [Google Scholar] [CrossRef]
- Kim, S.; Jang, L.K.; Park, H.S.; Lee, J.Y. Electrochemical deposition of conductive and adhesive polypyrrole-dopamine films. Sci. Rep. 2016, 6, 30475. [Google Scholar] [CrossRef]
- Ito, S.; Murata, K.; Teshima, S.; Aizawa, R.; Asako, Y.; Takahashi, K.; Hoffman, B.M. Simple synthesis of water-soluble conducting polyaniline. Synth. Met. 1998, 96, 161–163. [Google Scholar] [CrossRef]
- Bhadra, S.; Khastgir, D.; Singha, N.K.; Lee, J.H. Progress in preparation, processing and applications of polyaniline. Prog. Polym. Sci. 2009, 34, 783–810. [Google Scholar] [CrossRef]
- Nagarajan, R.; Tripathy, S.; Kumar, J.; Bruno, F.F.; Samuelson, L. An enzymatically synthesized conducting molecular complex of polyaniline and poly (vinylphosphonic acid). Macromolecules 2000, 33, 9542–9547. [Google Scholar] [CrossRef]
- Wallace, G.G.; Teasdale, P.R.; Spinks, G.M.; Kane-Maguire, L.A. Conductive Electroactive Polymers: Intelligent Materials Systems; CRC Press: Boca Raton, FL, USA, 2002. [Google Scholar]
- Zotti, G.; Cattarin, S.; Comisso, N. Electrodeposition of polythiophene, polypyrrole and polyaniline by the cyclic potential sweep method. J. Eectroanal. Chem. Int. Electrochem. 1987, 235, 259–273. [Google Scholar] [CrossRef]
- Mu, S.; Chen, C.; Wang, J. The kinetic behavior for the electrochemical polymerization of aniline in aqueous solution. Synth. Met. 1997, 88, 249–254. [Google Scholar] [CrossRef]
- Park, S.-M.; Lee, H.-J. Recent advances in electrochemical studies of π-conjugated polymers. Bull. Korean Chem. Soc. 2005, 26, 697–706. [Google Scholar] [CrossRef]
- Karyakin, A.; Strakhova, A.; Yatsimirsky, A. Self-doped polyanilines electrochemically active in neutral and basic aqueous solutions: Electropolymerization of substituted anilines. J. Electroanal. Chem. 1994, 371, 259–265. [Google Scholar] [CrossRef]
- Mu, S. Synthesis of poly (aniline-co-5-aminosalicylic acid) and its properties. Synth. Met. 2011, 161, 1306–1312. [Google Scholar] [CrossRef]
- Obaid, A.; El-Mossalamy, E.; Al-Thabaiti, S.; El-Hallag, I.; Hermas, A.; Asiri, A. Electrodeposition and characterization of polyaniline on stainless steel surface via cyclic, convolutive voltammetry and SEM in aqueous acidic solutions. Int. J. Electrochem. Sci. 2014, 9, 1003–1015. [Google Scholar]
- Kobayashi, T.; Yoneyama, H.; Tamura, H. Electrochemical reactions concerned with electrochromism of polyaniline film-coated electrodes. J. Eectroanal. Chem. Inter. Electrochem. 1984, 177, 281–291. [Google Scholar] [CrossRef]
- Cesarino, I.; Moraes, F.C.; Machado, S.A. A biosensor based on polyaniline-carbon nanotube core-shell for electrochemical detection of pesticides. Electroanalysis 2011, 23, 2586–2593. [Google Scholar] [CrossRef]
- Shoaie, N.; Daneshpour, M.; Azimzadeh, M.; Mahshid, S.; Khoshfetrat, S.M.; Jahanpeyma, F.; Gholaminejad, A.; Omidfar, K.; Foruzandeh, M. Electrochemical sensors and biosensors based on the use of polyaniline and its nanocomposites: A review on recent advances. Microchim. Acta 2019, 186, 465. [Google Scholar] [CrossRef] [PubMed]
- Tourillon, G.; Garnier, F. Morphology of conducting organic polymers: Polythiophene and poly (3-methyl thiophene). J. Polym. Sci. Polym. Phys. Ed. 1984, 22, 33–39. [Google Scholar] [CrossRef]
- Aguilar-Ortíz, E.; Zaragoza-Galán, G.; Solladié, N.; Rein, R.; Aguilar-Martínez, M.; Macías-Ruvalcaba, N.; Rivera, E. Preparation and characterization of novel polythiophenes bearing oligo (ethylene glycol) spacers and porphyrin units: Optical and electrochemical properties. Synth. Met. 2012, 162, 1000–1009. [Google Scholar] [CrossRef]
- Wang, F.; Li, M.; Wang, B.; Zhang, J.; Cheng, Y.; Liu, L.; Lv, F.; Wang, S. Synthesis and characterization of water-soluble polythiophene derivatives for cell imaging. Sci. Rep. 2015, 5, 7617. [Google Scholar] [CrossRef] [PubMed]
- Heller, A.; Feldman, B. Electrochemical glucose sensors and their applications in diabetes management. Chem. Rev. 2008, 108, 2482–2505. [Google Scholar] [CrossRef]
- Elgrishi, N.; Rountree, K.J.; McCarthy, B.B.; Rountree, E.S.; Eisenhart, T.T.; Dempsey, J.L. A practical beginner’s guide to cyclic voltammetry. J. Chem. Educ. 2018, 95, 197–206. [Google Scholar] [CrossRef]
- Romani, A.; Minunni, M.; Mulinacci, N.; Pinelli, P.; Vincieri, F.F.; Del Carlo, M.; Mascini, M. Comparison among differential pulse voltammetry, amperometric biosensor, and HPLC/DAD analysis for polyphenol determination. J. Agric. Food Chem. 2000, 48, 1197–1203. [Google Scholar] [CrossRef]
- Velychko, T.P.; Soldatkin, O.O.; Melnyk, V.G.; Marchenko, S.V.; Kirdeciler, S.K.; Akata, B.; Soldatkin, A.P.; Elskaya, A.V.; Dzyadevych, S.V. A novel conductometric urea biosensor with improved analytical characteristic based on recombinant urease adsorbed on nanoparticle of silicalite. Nanoscale Res. Lett. 2016, 11, 106. [Google Scholar] [CrossRef]
- Xiao, C.; Lachance, B.; Sunahara, G.; Luong, J.H.T. Assessment of cytotoxicity using electric cell- substrate impedance sensing: Concentration and time response function approach. Anal. Chem. 2002, 74, 5748–5753. [Google Scholar] [CrossRef]
- Male, K.B.; Lachance, B.; Hrapovic, S.; Sunahara, G.; Luong, J.H.T. Assessment of cytotoxicity of quantum dots and gold nanoparticles using cell-based impedance spectroscopy. Anal. Chem. 2018, 80, 5487–5493. [Google Scholar] [CrossRef]
- Allen, J.B.; Faulkner, L.R. Electrochemical Methods Fundamentals and Applications, 2nd ed.; John Wiley & Sons: Hoboken, NJ, USA, 2001. [Google Scholar]
- Ronkainen, N.J.; Halsall, H.B.; Heineman, W.R. Electrochemical biosensors. Chem. Soc. Rev. 2010, 39, 1747–1763. [Google Scholar] [CrossRef] [PubMed]
- Scouten, W.H.; Luong, J.H.T.; Brown, R.S. Enzyme or protein immobilization techniques for applications in biosensor design. Trends Biotechnol. 1995, 13, 178–185. [Google Scholar] [CrossRef]
- Welch, M.E.; Doublet, T.; Bernard, C.; Malliaras, G.G.; Ober, C.K. A glucose sensor via stable immobilization of the GOx enzyme on an organic transistor using a polymer brush. Polym. Chem. Sci. A Polym. Chem. 2015, 53, 372–377. [Google Scholar] [CrossRef]
- Gu, H.; Xiao, X.D.; Loh, K.P. Electrochemical impedance sensing of DNA hybridization on conducting polymer film-modified diamond. J. Phys. Chem. B 2005, 109, 13611–13618. [Google Scholar] [CrossRef]
- Setti, L.; Fraleoni-Morgera, A.; Mencarelli, I.; Filippini, A.; Ballarin, B.; Di Biase, M. An HRP-based amperometric biosensor fabricated by thermal inkjet printing. Sens. Actuators B Chem. 2007, 126, 252–257. [Google Scholar] [CrossRef]
- Safavi, A.; Maleki, N.; Farjami, E. Fabrication of a glucose sensor based on a novel nanocomposite electrode. Biosens. Bioelectron. 2009, 24, 1655–1660. [Google Scholar] [CrossRef]
- Derkus, B. Applying the miniaturization technologies for biosensor design. Biosens. Bioelectron. 2016, 79, 736–741. [Google Scholar] [CrossRef]
- Wilson, G.S.; Gifford, R. Biosensors for real-time in vivo measurements. Biosens. Bioelectron. 2005, 20, 2388–2403. [Google Scholar] [CrossRef]
- Mello, H.; Mulato, M. Enzymatically functionalized polyaniline thin films produced with one-step electrochemical immobilization and its application in glucose and urea potentiometric biosensors. Biomed. Microdevices 2020, 22, 22. [Google Scholar] [CrossRef]
- Erol, E.; Yildirim, E.; Cete, S. Construction of biosensor for hypoxanthine determination by immobilization of xanthine oxidase and uricase in polypyrrole-paratoluenesulfonate film. J. Solid State Electrochem. 2020, 24, 1695–1707. [Google Scholar] [CrossRef]
- Nessark, F.; Eissa, M.; Baraket, A.; Zine, N.; Nessark, B.; Zouaoui, A.; Bausells, J.; Errachid, A. Capacitance polypyrrole-based impedimetric immunosensor for interleukin-10 cytokine detection. Electroanalysis 2020, 32, 1795–1806. [Google Scholar] [CrossRef]
- Kumar, S.; Umar, M.; Saifi, A.; Kumar, S.; Augustine, S.; Srivastava, S.; Malhotra, B.D. Electrochemical paper based cancer biosensor using iron oxide nanoparticles decorated PEDOT: PSS. Anal. Chim. Acta 2019, 1056, 135–145. [Google Scholar] [CrossRef] [PubMed]
- Kumar, S.; Kumar, S.; Srivastava, S.; Yadav, B.K.; Lee, S.H.; Sharma, J.G.; Doval, D.C.; Malhotra, B.D. Reduced graphene oxide modified smart conducting paper for cancer biosensor. Biosens. Bioelectron. 2015, 73, 114–122. [Google Scholar] [CrossRef]
- Spychalska, K.; Zając, D.; Cabaj, J. Electrochemical biosensor for detection of 17β-estradiol using semi-conducting polymer and horseradish peroxidase. RSC Adv. 2020, 10, 9079–9087. [Google Scholar] [CrossRef]
- Baluta, S.; Świst, A.; Cabaj, J.; Malecha, K. Point-of-care testing–biosensor for norepinephrine determination. Int. J. Electron. Telecommun. 2020, 66, 369–372. [Google Scholar]
- Goda, T.; Miyahara, Y. Electrodeposition of Zwitterionic PEDOT films for conducting and antifouling surfaces. Langmuir 2019, 35, 1126–1133. [Google Scholar] [CrossRef]
- Wang, J.; Wang, D.; Hui, N. A low fouling electrochemical biosensor based on the zwitterionic polypeptide doped conducting polymer PEDOT for breast cancer marker BRCA1 detection. Bioelectrochemistry 2020, 136, 107595. [Google Scholar] [CrossRef]
- Dabrowski, M.; Lach, P.; Cieplak, M.; Kutner, W. Nanostructured molecularly imprinted polymers for protein chemosensing. Biosens. Bioelectron. 2018, 102, 17–26. [Google Scholar] [CrossRef]
- Ayankojo, A.G.; Reut, J.; Opik, A.; Furchner, A.; Syritski, V. Hybrid molecularly imprinted polymer for amoxicillin detection. Biosens. Bioelectron. 2018, 118, 102–107. [Google Scholar] [CrossRef]
- Waffo, A.; Yesildag, C.; Caserta, G.; Katz, S.; Zebger, I.; Lensen, M.; Wollenberger, U.; Scheller, F.; Altintas, Z. Fully electrochemical MIP sensor for artemisinin. Sens. Actuators B Chem. 2018, 275, 163–173. [Google Scholar] [CrossRef]
- Kane-Maguire, L.A.; Wallace, G.G. Chiral conducting polymers. Chem. Soc. Rev. 2010, 39, 2545–2576. [Google Scholar] [CrossRef] [PubMed]
- Shang, X.; Song, I.; Jung, G.Y.; Choi, W.; Ohtsu, H.; Lee, J.H.; Koo, J.Y.; Liu, B.; Ahn, J.; Kawano, M. Chiral self-sorted multifunctional supramolecular biocoordination polymers and their applications in sensors. Nat. Commun. 2018, 9, 1–12. [Google Scholar] [CrossRef] [PubMed]
- Lee, K.M.; Kim, K.H.; Yoon, H.; Kim, H. Chemical design of functional polymer structures for biosensors: From nanoscale to macroscale. Polymers 2018, 10, 551. [Google Scholar] [CrossRef] [PubMed]
- Naficy, S.; Oveissi, F.; Patrick, B.; Schindeler, A.; Dehghani, F. Printed, flexible pH sensor hydrogels for wet environments. Adv. Mater. Technol. 2018, 3, 1800137. [Google Scholar] [CrossRef]
- Culver, H.R.; Wechsler, M.E.; Peppas, N.A. Label-free detection of tear biomarkers using hydrogel-coated gold nanoshells in a localized surface plasmon resonance-based biosensor. ACS Nano 2018, 12, 9342–9354. [Google Scholar] [CrossRef] [PubMed]
- Li, L.; Pan, L.; Ma, Z.; Yan, K.; Cheng, W.; Shi, Y.; Yu, G. All inkjet-printed amperometric multiplexed biosensors based on nanostructured conductive hydrogel electrodes. Nano Lett. 2018, 18, 3322–3327. [Google Scholar] [CrossRef]
- Meng, L.; Turner, A.P.; Mak, W.C. Tunable 3D nanofibrous and bio-functionalised PEDOT network explored as a conducting polymer-based biosensor. Biosens. Bioelectron. 2020, 159, 112181. [Google Scholar] [CrossRef]
- Słoniewska, A.; Kasztelan, M.; Berbeć, S.; Pałys, B. Influence of buffer solution on structure and electrochemical properties of poly (3, 4-ethylenedioxythiophene)/poly (styrenesulfonate) hydrogels. Synth. Met. 2020, 263, 116363. [Google Scholar] [CrossRef]
- Cete, S.; Ozyurt, M.; Yildirim, E.; Akin, D. A novel biosensor with the use of polypyrrole–poly (sodium-4-styrenesulphonate) as a dopant in the determination of glucose. Chem. Pap. 2020, 74, 799–808. [Google Scholar] [CrossRef]
- Kajisa, T.; Li, W.; Michinobu, T.; Sakata, T. Well-designed dopamine-imprinted polymer interface for selective and quantitative dopamine detection among catecholamines using a potentiometric biosensor. Biosens. Bioelectron. 2018, 117, 810–817. [Google Scholar] [CrossRef]
- Ashley, J.; Feng, X.; Sun, Y. A multifunctional molecularly imprinted polymer-based biosensor for direct detection of doxycycline in food samples. Talanta 2018, 182, 49–54. [Google Scholar] [CrossRef] [PubMed]
- Ribeiro, J.; Pereira, C.; Silva, A.; Sales, M.G.F. Disposable electrochemical detection of breast cancer tumour marker CA 15-3 using poly (toluidine blue) as imprinted polymer receptor. Biosens. Bioelectron. 2018, 109, 246–254. [Google Scholar] [CrossRef] [PubMed]
- Palladino, P.; Minunni, M.; Scarano, S. Cardiac Troponin T capture and detection in real-time via epitope-imprinted polymer and optical biosensing. Biosens. Bioelectron. 2018, 106, 93–98. [Google Scholar] [CrossRef]
- Roushani, M.; Nezhadali, A.; Jalilian, Z. An electrochemical chlorpyrifos aptasensor based on the use of a glassy carbon electrode modified with an electropolymerized aptamer-imprinted polymer and gold nanorods. Microchim. Acta 2018, 185, 551. [Google Scholar] [CrossRef] [PubMed]
- Liu, S.; Ma, Y.; Cui, M.; Luo, X. Enhanced electrochemical biosensing of alpha-fetoprotein based on three-dimensional macroporous conducting polymer polyaniline. Sens. Actuators B Chem. 2018, 255, 2568–2574. [Google Scholar] [CrossRef]
- Lin, Z.T.; Li, Y.; Gu, J.; Wang, H.; Zhu, Z.; Hong, X.; Zhang, Z.; Lu, Q.; Qiu, J.; Wang, X. A conductive nanowire-mesh biosensor for ultrasensitive detection of serum c-reactive protein in melanoma. Adv. Funct. Mater. 2018, 28, 1802482. [Google Scholar] [CrossRef]
- Wei, Y.; Zeng, Q.; Hu, Q.; Wang, M.; Tao, J.; Wang, L. Self-cleaned electrochemical protein imprinting biosensor basing on a thermo-responsive memory hydrogel. Biosens. Bioelectron. 2018, 99, 136–141. [Google Scholar] [CrossRef]
- Ekomo, V.M.; Branger, C.; Bikanga, R.; Florea, A.M.; Istamboulie, G.; Calas-Blanchard, C.; Noguer, T.; Sarbu, A.; Brisset, H. Detection of Bisphenol A in aqueous medium by screen printed carbon electrodes incorporating electrochemical molecularly imprinted polymers. Biosens. Bioelectron. 2018, 112, 156–161. [Google Scholar] [CrossRef]
- Meng, L.; Turner, A.P.F.; Mak, W.C. Positively-charged hierarchical PEDOT interface with enhanced electrode kinetics for NADH-based biosensors. Biosens. Bioelectron. 2018, 120, 115–121. [Google Scholar] [CrossRef]
- Kuralay, F.; Dukar, N.; Bayramli, Y. Poly-L-lysine coated surfaces for ultrasensitive nucleic acid detection. Electroanalysis 2018, 30, 1556–1565. [Google Scholar] [CrossRef]
- Moreira, F.T.; Truta, L.A.; Sales, M.G.F. Biomimetic materials assembled on a photovoltaic cell as a novel biosensing approach to cancer biomarker detection. Sci. Rep. 2018, 8, 1–11. [Google Scholar] [CrossRef] [PubMed]
- Kausaite-Minkstimiene, A.; Glumbokaite, L.; Ramanaviciene, A.; Dauksaite, E.; Ramanavicius, A. An amperometric glucose biosensor based on poly (pyrrole-2-carboxylic acid)/glucose oxidase biocomposite. Electroanalysis 2018, 30, 1642–1652. [Google Scholar] [CrossRef]
- Wu, H.; Lee, C.J.; Wang, H.; Hu, Y.; Young, M.; Han, Y.; Xu, F.J.; Cong, H.; Cheng, G. Highly sensitive and stable zwitterionic poly (sulfobetaine-3,4-ethylenedioxythiophene) (PSBEDOT) glucose biosensor. Chem. Sci. 2018, 9, 2540–2546. [Google Scholar] [CrossRef] [PubMed]
- Soganci, T.; Soyleyici, H.C.; Demirkol, D.O.; Ak, M.; Timur, S. Use of super-structural conducting polymer as functional immobilization matrix in biosensor design. J. Electrochem. Soc. 2018, 165, B22. [Google Scholar] [CrossRef]
- Apetrei, R.-M.; Cârâc, G.; Bahrim, G.; Camurlu, P. Sensitivity enhancement for microbial biosensors through cell Self-Coating with polypyrrole. Int. J. Polym. Mater. Polym. Biomater. 2018, 68, 1058–1067. [Google Scholar] [CrossRef]
- Apetrei, R.-M.; Cârâc, G.; Bahrim, G.; Camurlu, P. Utilization of enzyme extract self-encapsulated within polypyrrole in sensitive detection of catechol. Enzym. Microb. Technol. 2019, 128, 34–39. [Google Scholar] [CrossRef]
- Jakhar, P.; Shukla, M.; Singh, V. Electrochemically synthesized polypyrrole nanofibers towards glucose biosensing application. In Proceedings of the International Workshop on the Physics of Semiconductor and Devices, Delhi, India, 12–15 December 2017; pp. 871–874. [Google Scholar]
- Soylemez, S.; Bekmezci, S.A.; Goker, S.; Toppare, L. Fabrication of a novel polymeric scaffold for amperometric laccase biosensor. J. Polym. Sci. Part A Polym. Chem. 2019, 57, 2333–2339. [Google Scholar] [CrossRef]
- Li, J.; Bi, X.; Tamulevičius, S.; Erts, D.; Chang, C.-F.; Gu, Y. Fabrication of a biocompatible and continuous glucose biosensor with the poly (3, 4-ethylenedioxythiophene) modified electrode. J. Taiwan Inst. Chem. Eng. 2019, 104, 1–7. [Google Scholar] [CrossRef]
- Cevik, E.; Cerit, A.; Tombuloglu, H.; Sabit, H.; Yildiz, H.B. Electrochemical glucose biosensors: Whole cell microbial and enzymatic determination based on 10-(4H-dithieno [3,2-b:2′,3′-d] pyrrol-4-yl)decan-1-amine interfaced glassy carbon electrodes. Anal. Lett. 2019, 52, 1138–1152. [Google Scholar] [CrossRef]
- Ranjbar, S.; Nejad, M.A.F.; Parolo, C.; Shahrokhian, S.; Merkoçi, A. Smart chip for visual detection of bacteria using the electrochromic properties of polyaniline. Anal. Chem. 2019, 91, 14960–14966. [Google Scholar] [CrossRef]
- Hosseinian, M.; Najafpour, G.; Rahimpour, A. Amperometric urea biosensor based on immobilized urease on polypyrrole and macroporous polypyrrole modified Pt electrode. Turk. J. Chem. 2019, 43, 1063–1074. [Google Scholar] [CrossRef]
- Fenoy, G.E.; Marmisolle, W.A.; Azzaroni, O.; Knoll, W. Acetylcholine biosensor based on the electrochemical functionalization of graphene field-effect transistors. Biosens. Bioelectron. 2020, 148, 111796. [Google Scholar] [CrossRef] [PubMed]
- Gülercan, D.; Gergin, İ.; Sarac, A.S. Preparation and Electrochemical Performances of graphene oxide/PEDOT and reduced graphene oxide/PEDOT nanofibers and nanocomposites. Fibers Polym. 2018, 19, 2178–2187. [Google Scholar] [CrossRef]
- Hussain, K.K.; Gurudatt, N.; Akhtar, M.H.; Seo, K.-D.; Park, D.-S.; Shim, Y.-B. Nano-biosensor for the in vitro lactate detection using bi-functionalized conducting polymer/N, S-doped carbon; the effect of αCHC inhibitor on lactate level in cancer cell lines. Biosens. Bioelectron. 2020, 155, 112094. [Google Scholar] [CrossRef]
- Seo, K.-D.; Hossain, M.M.; Gurudatt, N.; Choi, C.S.; Shiddiky, M.J.; Park, D.-S.; Shim, Y.-B. Microfluidic neurotransmitters sensor in blood plasma with mediator-immobilized conducting polymer/N, S-doped porous carbon composite. Sens. Actuators B Chem. 2020, 313, 128017. [Google Scholar] [CrossRef]
- Ma, L.; Zhou, L.; He, Y.; Wang, L.; Huang, Z.; Jiang, Y.; Gao, J. Hierarchical nanocomposites with an N-doped carbon shell and bimetal core: Novel enzyme nanocarriers for electrochemical pesticide detection. Biosens. Bioelectron. 2018, 121, 166–173. [Google Scholar] [CrossRef]
- Zheng, W.; Wu, H.; Jiang, Y.; Xu, J.; Li, X.; Zhang, W.; Qiu, F. A molecularly-imprinted-electrochemical-sensor modified with nano-carbon-dots with high sensitivity and selectivity for rapid determination of glucose. Anal. Biochem. 2018, 555, 42–49. [Google Scholar] [CrossRef]
- Zhou, Z.; Zhang, Y.; Shen, Y.; Liu, S.; Zhang, Y. Molecular engineering of polymeric carbon nitride: Advancing applications from photocatalysis to biosensing and more. Chem. Soc. Rev. 2018, 47, 2298–2321. [Google Scholar] [CrossRef]
- Yan, K.; Yang, Y.; Zhang, J. A self-powered sensor based on molecularly imprinted polymer-coupled graphitic carbon nitride photoanode for selective detection of bisphenol A. Sens. Actuators B Chem. 2018, 259, 394–401. [Google Scholar] [CrossRef]
- Han, R.; Wang, G.; Xu, Z.; Zhang, L.; Li, Q.; Han, Y.; Luo, X. Designed antifouling peptides planted in conducting polymers through controlled partial doping for electrochemical detection of biomarkers in human serum. Biosens. Bioelectron. 2020, 164, 112317. [Google Scholar] [CrossRef]
- Yilmaz, Y.Y.; Yalcinkaya, E.E.; Demirkol, D.O.; Timur, S. 4-aminothiophenol-intercalated montmorillonite: Organic-inorganic hybrid material as an immobilization support for biosensors. Sens. Actuators B Chem. 2020, 307, 127665. [Google Scholar] [CrossRef]
- Phongphut, A.; Chayasombat, B.; Cass, A.E.; Sirisuk, A.; Phisalaphong, M.; Prichanont, S.; Thanachayanont, C. Clay/au nanoparticle composites as acetylcholinesterase carriers and modified-electrode materials: A comparative study. Appl. Clay Sci. 2020, 194, 105704. [Google Scholar] [CrossRef]
- Zheng, H.; Liu, M.; Yan, Z.; Chen, J. Highly selective and stable glucose biosensor based on incorporation of platinum nanoparticles into polyaniline-montmorillonite hybrid composites. Microchem. J. 2020, 152, 104266. [Google Scholar] [CrossRef]
- Erkmen, C.; Kurbanoglu, S.; Uslu, B. Fabrication of poly (3,4-ethylenedioxythiophene)-iridium oxide nanocomposite based tyrosinase biosensor for the dual detection of catechol and azinphos methyl. Sens. Actuators B Chem. 2020, 316, 128121. [Google Scholar] [CrossRef]
- Altun, A.; Apetreia, R.M.; Camurlu, P. Reagentless amperometric glucose biosensors: Ferrocene-tethering and copolymerization. J. Electrochem. Soc. 2020, 167, 107507. [Google Scholar] [CrossRef]
- Sun, Y.; Zeng, W.; Sun, H.; Luo, S.; Chen, D.; Chan, V.; Liao, K. Inorganic/polymer-graphene hybrid gel as versatile electrochemical platform for electrochemical capacitor and biosensor. Carbon 2018, 132, 589–597. [Google Scholar] [CrossRef]
- Wang, X.; Zhu, Y.; Olsen, T.R.; Sun, N.; Zhang, W.; Pei, R.; Lin, Q. A graphene aptasensor for biomarker detection in human serum. Electrochim. Acta 2018, 290, 356–363. [Google Scholar] [CrossRef]
- Fusco, G.; Gobel, G.; Zanoni, R.; Bracciale, M.P.; Favero, G.; Mazzei, F.; Lisdat, F. Aqueous polythiophene electrosynthesis: A new route to an efficient electrode coupling of PQQ-dependent glucose dehydrogenase for sensing and bioenergetic applications. Biosens. Bioelectron. 2018, 112, 8–17. [Google Scholar] [CrossRef]
- Gautam, V.; Singh, K.P.; Yadav, V.L. Polyaniline/MWCNTs/starch modified carbon paste electrode for non-enzymatic detection of cholesterol: Application to real sample (cow milk). Anal. Bioanal. Chem. 2018, 410, 2173–2181. [Google Scholar] [CrossRef]
- Liu, Y.; Turner, A.P.F.; Zhao, M.; Mak, W.C. Processable enzyme-hybrid conductive polymer composites for electrochemical biosensing. Biosens. Bioelectron. 2018, 100, 374–381. [Google Scholar] [CrossRef]
- Nguyet, N.T.; Van Thu, V.; Lan, H.; Trung, T.; Le, A.-T.; Pham, V.-H.; Tam, P.D. Simple label-free dna sensor based on CeO2 nanorods decorated with ppy nanoparticles. J. Electron. Mater. 2019, 48, 6231–6239. [Google Scholar] [CrossRef]
- Yang, T.; Ren, X.; Yang, M.; Li, X.; He, K.; Rao, A.; Wan, Y.; Yang, H.; Wang, S.; Luo, Z. A highly sensitive label-free electrochemical immunosensor based on poly (indole-5-carboxylicacid) with ultra-high redox stability. Biosens. Bioelectron. 2019, 141, 111406. [Google Scholar] [CrossRef] [PubMed]
- Thunyakontirakun, W.; Sriwichai, S.; Phanichphant, S.; Janmanee, R. Fabrication of poly (pyrrole-3-carboxylic acid)/graphene oxide composite thin film for glucose biosensor. Mater. Today Proc. 2019, 17, 2070–2077. [Google Scholar] [CrossRef]
- Mousa, H.M.; Aggas, J.R.; Guiseppi-Elie, A. Electropolymerization of aniline and (N-phenyl-o-phenylenediamine) for glucose biosensor application. Mater. Lett. 2019, 238, 267–270. [Google Scholar] [CrossRef]
- Salazar, P.; Martín, M.; González-Mora, J.L. In situ electrodeposition of cholesterol oxidase-modified polydopamine thin film on nanostructured screen printed electrodes for free cholesterol determination. J. Electroanal. Chem. 2019, 837, 191–199. [Google Scholar] [CrossRef]
- Wang, J.; Hui, N. Electrochemical functionalization of polypyrrole nanowires for the development of ultrasensitive biosensors for detecting microRNA. Sens. Actuators B Chem. 2019, 281, 478–485. [Google Scholar] [CrossRef]
- Abd-Wahab, F.; Abdul Guthoos, H.F.; Wan Salim, W.W.A. Solid-state rGO-PEDOT: PSS transducing material for cost-effective enzymatic sensing. Biosensors 2019, 9, 36. [Google Scholar] [CrossRef]
- Sahyar, B.Y.; Kaplan, M.; Ozsoz, M.; Celik, E.; Otles, S. Electrochemical xanthine detection by enzymatic method based on Ag doped ZnO nanoparticles by using polypyrrole. Bioelectrochemistry 2019, 130, 107327. [Google Scholar] [CrossRef]
- Altun, A.; Apetrei, R.M.; Camurlu, P. The effect of copolymerization and carbon nanoelements on the performance of poly (2,5-di(thienyl)pyrrole) biosensors. Mater. Sci. Eng. C Mater. Biol. Appl. 2019, 105, 110069. [Google Scholar] [CrossRef]
- Yashas, S.R.; Sandeep, S.; Shivakumar, B.P.; Swamy, N.K. A matrix of perovskite micro-seeds and polypyrrole nanotubes tethered laccase/graphite biosensor for sensitive quantification of 2,4-dichlorophenol in wastewater. Anal. Methods 2019, 11, 4511–4519. [Google Scholar] [CrossRef]
- Ahmad, L.; Salmon, L.; Korri-Youssoufi, H. Electrochemical detection of the human cancer biomarker ‘autocrine motility factor-phosphoglucose isomerase’ based on a biosensor formed with a monosaccharidic inhibitor. Sens. Actuators B Chem. 2019, 299, 126933. [Google Scholar] [CrossRef]
- Aghamiri, Z.S.; Mohsennia, M.; Rafiee-Pour, H.-A. Immobilization of cytochrome C on polyaniline/polypyrrole/carboxylated multi-walled carbon nanotube/glassy carbon electrode: Biosensor fabrication. J. Solid State Electrochem. 2019, 23, 2233–2242. [Google Scholar] [CrossRef]
- Almeida, L.C.; Correia, R.D.; Marta, A.; Squillaci, G.; Morana, A.; La Cara, F.; Correia, J.P.; Viana, A.S. Electrosynthesis of polydopamine films-tailored matrices for laccase-based biosensors. Appl. Surf. Sci. 2019, 480, 979–989. [Google Scholar] [CrossRef]
- Phetsang, S.; Jakmunee, J.; Mungkornasawakul, P.; Laocharoensuk, R.; Ounnunkad, K. Sensitive amperometric biosensors for detection of glucose and cholesterol using a platinum/reduced graphene oxide/poly (3-aminobenzoic acid) film-modified screen-printed carbon electrode. Bioelectrochemistry 2019, 127, 125–135. [Google Scholar] [CrossRef] [PubMed]
- Nguyen, T.N.; Nolan, J.K.; Park, H.; Lam, S.; Fattah, M.; Page, J.C.; Joe, H.-E.; Jun, M.B.; Lee, H.; Kim, S.J. Facile fabrication of flexible glutamate biosensor using direct writing of platinum nanoparticle-based nanocomposite ink. Biosens. Bioelectron. 2019, 131, 257–266. [Google Scholar] [CrossRef] [PubMed]
- Gupta, A.; Bhardwaj, S.K.; Sharma, A.L.; Kim, K.-H.; Deep, A. Development of an advanced electrochemical biosensing platform for E. coli using hybrid metal-organic framework/polyaniline composite. Environ. Res. 2019, 171, 395–402. [Google Scholar] [CrossRef]
- Lee, W.C.; Kim, K.B.; Gurudatt, N.G.; Hussain, K.K.; Choi, C.S.; Park, D.S.; Shim, Y.B. Comparison of enzymatic and non-enzymatic glucose sensors based on hierarchical Au-Ni alloy with conductive polymer. Biosens. Bioelectron. 2019, 130, 48–54. [Google Scholar] [CrossRef]
- Almeida, L.; Correia, R.; Squillaci, G.; Morana, A.; La Cara, F.; Correia, J.; Viana, A. Electrochemical deposition of bio-inspired laccase-polydopamine films for phenolic sensors. Electrochim. Acta 2019, 319, 462–471. [Google Scholar] [CrossRef]
- Maity, D.; Minitha, C.R.; Rajendra Kumar, R.T. Glucose oxidase immobilized amine terminated multiwall carbon nanotubes/reduced graphene oxide/polyaniline/gold nanoparticles modified screen-printed carbon electrode for highly sensitive amperometric glucose detection. Mater. Sci. Eng. C-Mater. Biol. Appl. 2019, 105, 110075. [Google Scholar] [CrossRef]
- Keteklahijani, Y.Z.; Sharif, F.; Roberts, E.P.; Sundararaj, U. Enhanced sensitivity of dopamine biosensors: An electrochemical approach based on nanocomposite electrodes comprising polyaniline, nitrogen-doped graphene, and DNA-functionalized carbon nanotubes. J. Electrochem. Soc. 2019, 166, B1415. [Google Scholar] [CrossRef]
- Li, Z.; Yin, J.; Gao, C.; Qiu, G.; Meng, A.; Li, Q. The construction of electrochemical aptasensor based on coral-like poly-aniline and Au nano-particles for the sensitive detection of prostate specific antigen. Sens. Actuators B Chem. 2019, 295, 93–100. [Google Scholar] [CrossRef]
- Al-Sagur, H.; Shanmuga Sundaram, K.; Kaya, E.N.; Durmus, M.; Basova, T.V.; Hassan, A. Amperometric glucose biosensing performance of a novel graphene nanoplatelets-iron phthalocyanine incorporated conducting hydrogel. Biosens. Bioelectron. 2019, 139, 111323. [Google Scholar] [CrossRef] [PubMed]
- Alim, S.; Kafi, A.K.M.; Rajan, J.; Yusoff, M.M. Application of polymerized multiporous nanofiber of SnO2 for designing a bienzyme glucose biosensor based on HRP/GOx. Int. J. Biol. Macromol. 2019, 123, 1028–1034. [Google Scholar] [CrossRef] [PubMed]
- Guo, X.; Li, Y.; Li, Y.; Ye, Z.; Zhang, J.; Zhu, T.; Li, F. An L012@ PAni-PAAm hydrogel composite based-electrochemiluminescence biosensor for in situ detection of H2O2 released from cardiomyocytes. Electrochim. Acta 2020, 354, 136763. [Google Scholar] [CrossRef]
- Khoder, R.; Korri-Youssoufi, H. E-DNA biosensors of M. tuberculosis based on nanostructured polypyrrole. Mater. Sci. Eng. C Mater. Biol. Appl. 2020, 108, 110371. [Google Scholar] [CrossRef]
- Aydin, M.; Aydin, E.B.; Sezginturk, M.K. A highly selective electrochemical immunosensor based on conductive carbon black and star PGMA polymer composite material for IL-8 biomarker detection in human serum and saliva. Biosens. Bioelectron. 2018, 117, 720–728. [Google Scholar] [CrossRef]
- He, L.; Cui, B.; Liu, J.; Song, Y.; Wang, M.; Peng, D.; Zhang, Z. Novel electrochemical biosensor based on core-shell nanostructured composite of hollow carbon spheres and polyaniline for sensitively detecting malathion. Sens. Actuators B Chem. 2018, 258, 813–821. [Google Scholar] [CrossRef]
- Tancharoen, C.; Sukjee, W.; Thepparit, C.; Jaimipuk, T.; Auewarakul, P.; Thitithanyanont, A.; Sangma, C. Electrochemical biosensor based on surface imprinting for zika virus detection in serum. ACS Sens. 2018, 4, 69–75. [Google Scholar] [CrossRef]
- Yang, J.; Liu, Y.; Liu, S.; Li, L.; Zhang, C.; Liu, T. Conducting polymer composites: Material synthesis and applications in electrochemical capacitive energy storage. Mater. Chem. Front. 2017, 1, 251–268. [Google Scholar] [CrossRef]
- Liu, Y.; Lu, N.; Poyraz, S.; Wang, X.; Yu, Y.; Scott, J.; Smith, J.; Kim, M.J.; Zhang, X. One-pot formation of multifunctional Pt-conducting polymer intercalated nanostructures. Nanoscale 2013, 5, 3872–3879. [Google Scholar] [CrossRef]
- Shahrokhian, S.; Shamloofard, M.; Salimian, R. Investigation of the electrochemical behavior of tizanidine on the surface of glassy carbon electrode modified with multi-walled carbon nanotube/titan yellow–doped polypyrrole. J. Electroanal. Chem. 2018, 823, 146–154. [Google Scholar] [CrossRef]
- Kirankumar, R.; Huang, W.-C.; Chen, H.-F.; Chen, P.-Y. Electropolymerization and characterization of carbazole substituted viologen conducting polymers: The effects of electrolytes and potential applications of the polymers. J. Electroanal. Chem. 2018, 826, 198–206. [Google Scholar] [CrossRef]
- Kotanen, C.N.; Karunwi, O.; Alam, F.; Uyehara, C.F.; Guiseppi-Elie, A. Fabrication and in vitro performance of a dual responsive lactate and glucose biosensor. Electrochim. Acta 2018, 267, 71–79. [Google Scholar] [CrossRef]
- Phonklam, K.; Wannapob, R.; Sriwimol, W.; Thavarungkul, P.; Phairatana, T. A novel molecularly imprinted polymer PMB/MWCNTs sensor for highly-sensitive cardiac troponin T detection. Sens. Actuators B Chem. 2020, 308, 127630. [Google Scholar] [CrossRef]
- Liu, S.; Su, W.; Li, Y.; Zhang, L.; Ding, X. Manufacturing of an electrochemical biosensing platform based on hybrid DNA hydrogel: Taking lung cancer-specific miR-21 as an example. Biosens. Bioelectron. 2018, 103, 1–5. [Google Scholar] [CrossRef]
- Maiga, M.; Yazgan, I.; Kariuki, V.M.; Demirkol, D.O.; Sadik, O.A.; Timur, S. Brilliant green sequestered poly (amic) acid film for dual-mode detection: Fluorescence and electrochemical enzymatic biosensor. Sens. Actuators B Chem. 2018, 256, 71–78. [Google Scholar] [CrossRef]
- Mattoussi, M.; Matoussi, F.; Raouafi, N. Non-enzymatic amperometric sensor for hydrogen peroxide detection based on a ferrocene-containing cross-linked redox-active polymer. Sens. Actuators B Chem. 2018, 274, 412–418. [Google Scholar] [CrossRef]
- Chen, Y.; Liu, X.; Wu, T.; Hou, W.; Liu, M.; Zhang, Y.; Yao, S. Enhanced electrochemical sensitivity towards acetaminophen determination using electroactive self-assembled ferrocene derivative polymer nanospheres with multi-walled carbon nanotubes. Electrochim. Acta 2018, 272, 212–220. [Google Scholar] [CrossRef]
- Albayati, S.A.R.; Kashanian, S.; Nazari, M.; Rezaei, S. Novel fabrication of a laccase biosensor to detect phenolic compounds using a carboxylated multiwalled carbon nanotube on the electropolymerized support. Bull. Mater. Sci. 2019, 42, 187. [Google Scholar] [CrossRef]
- Kailasa, S.; Rani, B.G.; Reddy, M.S.B.; Jayarambabu, N.; Munindra, P.; Sharma, S.; Rao, K.V. NiO nanoparticles-decorated conductive polyaniline nanosheets for amperometric glucose biosensor. Mater. Chem. Phys. 2020, 242, 122524. [Google Scholar] [CrossRef]
- Hwang, D.W.; Lee, S.; Seo, M.; Chung, T.D. Recent advances in electrochemical non-enzymatic glucose sensors—A review. Anal. Chim. Acta 2018, 1033, 1–34. [Google Scholar] [CrossRef] [PubMed]
- Lamiri, L.; Belgherbi, O.; Dehchar, C.; Laidoudi, S.; Tounsi, A.; Nessark, B.; Habelhames, F.; Hamam, A.; Gourari, B. Performance of polybithiophene-palladium particles modified electrode for non-enzymatic glucose detection. Synth. Met. 2020, 266, 116437. [Google Scholar] [CrossRef]
- Ayranci, R.; Torlak, Y.; Ak, M. Non-Enzymatic Electrochemical detection of glucose by mixed-valence cobalt containing keggin polyoxometalate/multi-walled carbon nanotube composite. J. Electroanal. Chem. 2019, 166, B205. [Google Scholar] [CrossRef]
- Dai, H.; Cao, P.; Chen, D.; Li, Y.; Wang, N.; Ma, H.; Lin, M. Ni-Co-S/PPy core-shell nanohybrid on nickel foam as a non-enzymatic electrochemical glucose sensor. Synth. Met. 2018, 235, 97–102. [Google Scholar] [CrossRef]
- Kim, D.-M.; Moon, J.-M.; Lee, W.-C.; Yoon, J.-H.; Choi, C.S.; Shim, Y.-B. A potentiometric non-enzymatic glucose sensor using a molecularly imprinted layer bonded on a conducting polymer. Biosens. Bioelectron. 2017, 91, 276–283. [Google Scholar] [CrossRef]
- Wang, J.; Wang, M.; Guan, J.; Wang, C.; Wang, G. Construction of a non-enzymatic sensor based on the poly (o-phenylenediamine)/Ag-NPs composites for detecting glucose in blood. Mater. Sci. Eng. C 2017, 71, 844–851. [Google Scholar] [CrossRef]
- Hocevar, M.A.; Fabregat, G.; Armelin, E.; Ferreira, C.A.; Alemán, C. Nanometric polythiophene films with electrocatalytic activity for non-enzymatic detection of glucose. Eur. Polym. J. 2016, 79, 132–139. [Google Scholar] [CrossRef]
- Ghanbari, K.; Babaei, Z. Fabrication and characterization of non-enzymatic glucose sensor based on ternary NiO/CuO/polyaniline nanocomposite. Anal. Biochem. 2016, 498, 37–46. [Google Scholar] [CrossRef]
- Shahnavaz, Z.; Lorestani, F.; Alias, Y.; Woi, P.M. Polypyrrole–ZnFe2O4 magnetic nano-composite with core–shell structure for glucose sensing. Appl. Surf. Sci. 2014, 317, 622–629. [Google Scholar] [CrossRef]
- Meng, F.; Shi, W.; Sun, Y.; Zhu, X.; Wu, G.; Ruan, C.; Liu, X.; Ge, D. Nonenzymatic biosensor based on CuxO nanoparticles deposited on polypyrrole nanowires for improving detection range. Biosens. Bioelectron. 2013, 42, 141–147. [Google Scholar] [CrossRef]
- Çiftçi, H.; Tamer, U. Functional gold nanorod particles on conducting polymer poly (3-octylthiophene) as non-enzymatic glucose sensor. React. Funct. Polym. 2012, 72, 127–132. [Google Scholar] [CrossRef]
- Duan, X.; Liu, K.; Xu, Y.; Yuan, M.; Gao, T.; Wang, J. Nonenzymatic electrochemical glucose biosensor constructed by NiCo2O4@ Ppy nanowires on nickel foam substrate. Sens Actuators B Chem. 2019, 292, 121–128. [Google Scholar] [CrossRef]
- Kailasa, S.; Geeta, B.; Jayarambabu, N.; Reddy, R.K.K.; Sharma, S.; Rao, K.V. Conductive polyaniline panosheets (CPANINS) for a non-enzymatic glucose sensor. Mater. Lett. 2019, 245, 118–121. [Google Scholar] [CrossRef]
- Mohajeri, S.; Dolati, A.; Yazdanbakhsh, K. Synthesis and characterization of a novel non-enzymatic glucose biosensor based on polyaniline/zinc oxide/multi-walled carbon nanotube ternary nanocomposite. J. Electrochem. Sci. Eng. 2019, 9, 207–222. [Google Scholar] [CrossRef]
- The Nobel Prize in Chemistry 2000. Available online: https://www.nobelprize.org/prizes/chemistry/2000/summary/ (accessed on 27 August 2020).
- Jia, X.; Ge, Y.; Shao, L.; Wang, C.; Wallace, G.G. Tunable conducting polymers: Toward sustainable and versatile batteries. ACS Sustain. Chem. Eng. 2019, 7, 14321–14340. [Google Scholar] [CrossRef]
- Guo, X.; Facchetti, A. The journey of conducting polymers from discovery to application. Nat. Mater. 2020, 19, 922–928. [Google Scholar] [CrossRef]
- Heyrovsky, J. The Nobel Prize in Chemistry 1959 Was Awarded to Jaroslav Heyrovsky for His Discovery and Development of the Polarographic Methods of Analysis. Available online: https://www.nobelprize.org/prizes/chemistry/1959/summary/ (accessed on 28 August 2020).
- Marcus, R.A. The Nobel Prize in Chemistry 1992 Was Awarded to Rudolph A. Marcus for His Contributions to the Theory of Electron Transfer Reactions in Chemical Systems. Available online: https://www.nobelprize.org/prizes/chemistry/1992/summary/ (accessed on 28 August 2020).
- Moorthy, M.; Kumar, V.B.; Porat, Z.E.; Gedanken, A. Novel polymerization of aniline and pyrrole by carbon dots. New J. Chem. 2018, 42, 535–540. [Google Scholar] [CrossRef]
- Maruthapandi, M.; Saravanan, A.; Luong, J.H.T.; Gedanken, A. Antimicrobial properties of polyaniline and polypyrrole decorated with zinc-doped copper oxide microparticles. Polymers 2020, 12, 1286. [Google Scholar] [CrossRef]
- Maruthapandi, M.; Saravanan, A.; Luong, J.H.T.; Gedanken, A. Antimicrobial properties of the polyaniline composites against Pseudomonas aeruginosa and Klebsiella pneumoniae. J Funct. Biomater. 2020, 11, 59. [Google Scholar] [CrossRef]
- Cho, N.H.; Shaw, J.E.; Karuranga, S.; Huang, Y.; da Rocha Fernandes, J.D.; Ohlrogge, A.W.; Malanda, B.; Atlas, I.D. Global estimates of diabetes prevalence for 2017 and projections for 2045. Diabetes Res. Clin. Pract. 2018, 138, 271–281. [Google Scholar] [CrossRef]
- Villena Gonzales, W.; Mobashsher, A.T.; Abbosh, A. The progress of glucose monitoring—A review of invasive to minimally and non-invasive techniques, devices and sensors. Sensors 2019, 19, 800. [Google Scholar] [CrossRef] [PubMed]
- Jo, C.; Ahn, H.; Son, J.; Lee, J.; Byun, M. Packaging and irradiation effect on lipid oxidation, color, residual nitrite content, and nitrosamine formation in cooked pork sausage. Food Control 2003, 14, 7–12. [Google Scholar] [CrossRef]
- Uzer, A.; Saglam, S.; Can, Z.; Ercag, E.; Apak, R. Electrochemical determination of food preservative nitrite with gold nanoparticles/p-aminothiophenol-modified gold electrode. Int. J. Mol. Sci. 2016, 17, 1253. [Google Scholar] [CrossRef] [PubMed]
- Wrobel, A.G.; Benton, D.J.; Xu, P.; Roustan, C.; Martin, S.R.; Rosenthal, P.B.; Skehel, J.J.; Gamblin, S.J. SARS-CoV-2 and bat RaTG13 spike glycoprotein structures inform on virus evolution and furin-cleavage effects. Nat. Struct. Mol. Biol. 2020, 27, 763–767. [Google Scholar] [CrossRef] [PubMed]
- Lee, J.; Kim, J.; Hyeon, T. Recent Progress in the synthesis of porous carbon materials. Adv. Mater. 2006, 18, 2073–2094. [Google Scholar] [CrossRef]
- Song, Y.; Su, D.; Shen, Y.; Gong, C.; Song, Y.; Wang, L. Nitrogen-doped carbon foam as an efficient enzymatic biosensing platform for glucose sensing. Anal. Methods 2016, 8, 4547–4553. [Google Scholar] [CrossRef]
- Chen, J.; Zhu, R.; Huang, J.; Zhang, M.; Liu, H.; Sun, M.; Wang, L.; Song, Y. A glucose biosensor based on glucose oxidase immobilized on three-dimensional porous carbon electrodes. Analyst 2015, 140, 5578–5584. [Google Scholar] [CrossRef] [PubMed]
- Thakur, B.; Guo, X.; Chang, J.; Kron, M.; Chen, J. Porous carbon and Prussian blue composite: A highly sensitive electrochemical platform for glucose biosensing. Sens. Bio-Sens. Res. 2017, 14, 47–53. [Google Scholar] [CrossRef]
- He, X.; Zhou, L.; Nesterenko, E.P.; Nesterenko, P.N.; Paull, B.; Omamogho, J.O.; Glennon, J.D.; Luong, J.H.T. Porous graphitized carbon monolith as an electrode material for probing direct bioelectrochemistry and selective detection of hydrogen peroxide. Anal. Chem. 2008, 4, 2351–2357. [Google Scholar] [CrossRef]
- Cui, H.-F.; Du, L.; Guo, P.-B.; Zhu, B.; Luong, J.H.T. Controlled modification of carbon nanotubes and polyaniline on macroporous graphite felt for high-performance microbial fuel cell anode. J. Power Sources 2015, 283, 46–53. [Google Scholar] [CrossRef]



| Polymer (s) | Analyte | Biomolecule Immobilized | Immobilization Method | LOD | LDR | Ref. |
|---|---|---|---|---|---|---|
| PANI | Glucose (G) and urea (U) | GOX/URE | Entrapment | - | 0.1 mM (G) 10−5–0.1 M (U) | [53] |
| PPY-pTS | Hypoxanthine | XOX, URI | Entrapment | 5 µM | 5 µM–5 mM | [54] |
| PPY | Interleukin-10 | AIA | Covalent | 0.347 pg/mL | 1–10 ng/L | [55] |
| NDSC | Norepinephrine | Laccase | Adsorption | 240 nM | 0.1–200 µM | [59] |
| PEDOT | BRCA1 | DNA | Covalent | 0.0034 pM | 0.01 pM to 1 nM | [61] |
| PEDOT-PEDOT-COOH | Lactate | LDH | Covalent | 20.26 μA mM−1 cm−1 (sensitivity) | 20–960 μM | [71] |
| PEDOT/PSS hydrogels | H2O2 | HRP | Nafion entrapment | 0.94 µM 10 µM | 0.0088 to 0.15 mM 0.05–0.25 mM | [72] |
| PPY/PSS | Glucose | GOX | Entrapment | - | 0.1 nM–1 mM | [73] |
| DMAPM, VPBA, EGDM, DA | Dopamine | Imprint | Entrapment | 96 nM | 40 nM–20 μM | [74] |
| MAA, EDGM, fluorescein-o-acrylate | Doxycycline | Imprint | Entrapment | 117 nM | 0.2 to 6 µM | [75] |
| Toluidine blue | CA 15–3 | Imprint | Entrapment | 0.10 U/ mL | 0.10 U/mL to 100 U/mL | [76] |
| PDA | TNT | Imprint | Entrapment | 15.4 nM, 14.8 nM | 0–289 nM | [77] |
| o-DB, o-PD | Chlorpyrifos | Aptamer imprint | Entrapment | 0.35 fM | 0.001 to 0.4 pM | [78] |
| Macroporous PANI, PSS | AFP | AFP Ab | Covalent | 3.7 fg/mL | 0.01 to 1000 pg/mL | [79] |
| CuPT-PPy/NIPAAm-AM | Melanoma | CRP | Covalent | 7.85 × 10−19 M | 10−20 to 10−6 M | [80] |
| NiPAAm, AAm, MBAAm | BSA | Imprint | Entrapment | 0.012 μM | 0.02 μM to 10 μM | [81] |
| FcMMA, 4-VP, and EDMA | Bisphenol A | Imprint | Entrapment | 13 ng/L | 0–410 ng/L | [82] |
| PEDOT | NADH | Physical adsorption | 5.3 μM | 20–240 μM | [83] | |
| PLL | DNAhybridization | DNA | Covalent | 2.25 × 10−14 M | 1.0 × 10−13 to 1.0 × 10−6 M | [84] |
| PPY | CEA | Imprint | Entrapment | 0.13 pg/mL | 0.125–12.25 pg/mL | [85] |
| PCPy | Glucose | GOX | Entrapment | 0.039 mM | 0.1–15.0 mM | [86] |
| PSBEDOT | Glucose | GOX | Entrapment | - | 1 mM to 20 mM | [87] |
| BTP | Glucose | GOX | Entrapment | 0.034 mM | 0.034–1.0 mM | [88] |
| PPY | Glucose | GOX of A. niger | Coating the cell | 0.005 mM | 0.01–0.05 mM | [89] |
| PPY | Catechol | POX (Trametes pubescens) | Encapsulation | 1.8 μM | 1–60/70 μM | [90] |
| p-toluene-sulfonic acid doped PPY | Glucose | GOX | Physical adsorption | 0.25 mM is lowest tested | 0.25–1.5 mM | [91] |
| BOTT | Catechol | Laccase | Entrapment | 0.38 μM | 0.5–25 μM | [92] |
| PEDOT(BSA) | Glucose | GOX | Physical adsorption | 0.416 mM is tested | 0.416 to 50 mM (LSV) | [93] |
| DPDAA | Glucose | G. oxydans and GOX | Glutaraldehyde cross-linking Cells: | 0.022 mM (GOX) 0.081 mM (whole cell) | 0.045–50.0 mM (GOX) and 0.19–50.0 mM (whole cell) | [94] |
| PANI | E. coli | Anti-E. coli antibody | Covalent | 10 CFU/mL | 101–106 CFU/mL | [95] |
| Macroporous PPY-pyrrole | Urea | Urease | Entrapment | 2.57 mM | 1.67–8.32 mM | [96] |
| Nanocomposite | Target Analyte | LOD | LDR | Ref. |
|---|---|---|---|---|
| PEDOT: PSS/Fe2O3 | Carcinoembryonic antigen | - | 4–25 ng/mL | [56] |
| PABA and Graphene | Acetylcholine | 5 to 1000 μM | 2.3 μM | [97] |
| PTAB and N, S doped porous carbon | Lactic acid | 0.5 μM and 4.0 mM | 112 nM | [99] |
| PEDOT and AuNPs | CA15-3 | 0.001−1000 U/mL | 0.32 mU/ mL | [105] |
| MnO2/PAA-GG | H2O2 | 10 μM | 0.05 mM−50 mM | [111] |
| PEG/graphene/aptamer | IgG | 47 pM | 50 pM–250 nM | [112] |
| PQQ-GDH/PTh/MWCNT | Glucose | 1 μM | 1 μM to 2 mM | [113] |
| PANI/MWCNTs/Starch | Cholesterol | 0.01 mM | 0.032 to 5 mM | [114] |
| GOX-PtNPs-PEDOT-MS | Glucose | 1.55 µM | 0.1–10 mM | [115] |
| CeO2-NRs/Ppy-NPs ssDNA probe (covalent) | DNA from Salmonella | 0.29 µM | 1.0 nM−1 µM | [116] |
| PIn-5-COOH/MWCNTs-COOH | α-fetoprotein | 0.33 pg/mL | 0.001–100 ng/mL | [117] |
| poly(pyrrole-3-carboxylic acid)/GO with GOx | Glucose (ITO coated glass) | 0.05 mM | 1–20 mM | [118] |
| PAnNFs-P(An-co-PoPD)] | Glucose (GOX) | Minimal glucose conc. tested is 5 µM | Saturation at 0.45–0.6 mM | [119] |
| PDA-MWCNTs-PB | Cholesterol (Ch) (Ch oxidase/SPE) | 1.5 µM | Linear up to 0.4 mM | [120] |
| PEG-PPY nanowires | DNA probe for miRNA | 0.033 pM | 0.10 pM−1.0 nM | [121] |
| rGO-PEDOT:PSS | GOX fpr glucose | 86.8 µM | Detection range: 100 µM to 600 µM | [122] |
| PPY-Ag/ZnO on pencil graphite electrode | Xanthine (X) (X oxidase) | 0.07 µM | 0.06–0.6 µM | [123] |
| P(SNS-An-co-EDOT) | Glucose (GOX) | 1.9 µM | 0.01–5.0 mM | [124] |
| PPY-CNTs/(SrCuO2) | 2,4-dichlorophenol (laccase-graphite electrode) | 0.18 | 1–50 µM | [125] |
| PPY bearing the redox dendrimer PAMAM G2 | autocrine motility factor (cytokine)-cancer biomarker | 43 fM | 1 pM−1 µM | [126] |
| PANI/PPY/MWCNTs-COOH | H2O2 (Cytochrome C) | 0.1 µM | 1–370 µM | [127] |
| ePDA | AA (Laccase) | The lowest AA tested is 7 µM (CV mode) | Sensitivity = 342 mA/Mcm2 with a linearity of 1–25 µM | [128] |
| Pt/rGO/P3ABA | -Glucose (GOX) -Cholesterol (ChOx) | 44.3 µM 40.5 µM | 0.25–6.00 mM 0.25–4.00 mM | [129] |
| PtNPs, MWCNTs-COOH–PEDOT:PSS | Glutamate Glutamate Oxidase | 0.5 µM at 0.5 V 0.5 µM at −0.2 V | 1 µM and 800 µM 10 µM and 600 µM | [130] |
| Cu-BTC-PANI on ITO | E. coli (anti-E.coli antibody) | E. coli (2 cfu/mL) | Linearity: 2–2 × 108 cfu/mL | [131] |
| PBA-pTBA | Glucose (GOX) | 0.29 µM | 1 µM–30 mM | [132] |
| PDA | ABTS (Laccase) | 0.29 µM | 1–150 µM | [133] |
| PANI/rGO/Au NPs | Glucose GOX | 64 µM | 1–10 µM | [134] |
| PAB/DNA-functionalized CNT/Nitrogen doped graphene | Dopamine | 14 nM | 0.02–1 µM | [135] |
| PANI/Au NPs | Prostate-specific antigen Peptides | 0.085 pg/ mL | 0.1 pg/mL to 100 ng/mL | [136] |
| PAA/VS-PANI/GPL-FePc-conducting hydrogel | Glucose GOX | 6.4 µM | 1–20 mM | [137] |
| MPNFs of SnO2/PANI | Glucose GOx/HRP | 1.8 µM | 5–100 µM | [138] |
| PANI/Polyacrylamide | H2O2 | 2.9 nM | 0.01–50 μM | [139] |
| PPY | M. tuberculosis | 0.36 aM | 0.1 aM to 100 fM | [140] |
| Carbon black/PVDF/SPGMA | IL-8 | 3.3 fg/mL | 0.01–3 pg/mL | [141] |
| AChE/HCS@PANI | malathion | 1.0 ng/mL to 10 μg/mL | 0.16 ng/mL | [142] |
| GO/AAM/MAA/MMA/NVP | Zika virus | 10−3 to 102 PFU/mL | 2 × 10−2 PFU/mL | [143] |
| Mediator-Polymer | Target Analyte/ Sensor Platform | LOD | LDR | Ref. |
|---|---|---|---|---|
| Evans blue-poly-TBA/S,N doped carbon | Neurotransmitters (Amp) | 0.034 (±0.005) nM 0.044 (±0.004) nM | 0.05−130 nM | [100] |
| Ferrocene-PPY/MWCNT | Glucose (Amp) | 2.2–0.43 μM | 0.43 μM | [110] |
| Ferrocene-PPY | M. tuberculosis (SWV) | 1 aM to 100 fM | 0.36 aM | [140] |
| Polymethylene blue-PANI/MWCNT | Cardiac troponin T (DPV) | 0.10–8.0 pg/mL | 0.040 pg/mL | [149] |
| Ferrocene-PAA hydrogel | miR-21 (DPV) | 10 nM to 50 μM | 5 nM | [150] |
| BG-PAA | Glucose (Amp) | 0.25–5.0 mM 0.1–1.75 mM | 0.055 mM | [151] |
| FcAPS/GCE | H2O2(Amp/Fluors) | 10 μM to 10 mM | 2.07 μM | [152] |
| FPS/MWCNT-PDDA | Acetaminophen (DPV) | 3 to 1100 μM | 0.6 μM | [153] |
| PEDOT/AuNPs-MWCNT-COOH | Catechol Laccase (DPV) | 0.11 and 12.26 μM | Two linear ranges: 0.1–0.5 and 11.99–94.11 M | [154] |
| CPs | Metal Particles | Analytical Performance | Ref. |
|---|---|---|---|
| Polybithiophene | Pd microparticles | Linearity: 0.04 to 0.4 mM LOD: 7 µM (under alkaline conditions) | [156] |
| Keggin Polyoxometalate/MWCNTs | Mixed-valence Co(III) and Co(II) structures | Linearity: 0.1 mM to 10.0 mM LOD: 1.21 µM (in 0.1 M NaOH) | [157] |
| PPY nanowire | A nickel-cobalt-sulfide nanosheet | Two linear ranges: 2 μM to 140 μM 0.14 mM to 2 mM LOD: 0.82 µM (in 0.1 M NaOH) | [158] |
| Benzoic acid-functionalized poly(terthiophene) | AuNPs | Potentiometric response (in saliva): 0.32 µM–1 mM, LOD = 0.19 μM. | [159] |
| Poly (o-phenylenediamide) | Ag-NPs | Linearity: 0.15 to 13 mM LOD: 12 μM Detecting blood glucose, PBS pH 7 | [160] |
| Poly(thieno[3–4-b]-1,4-dioxin-2-methanol) | Not required | Linearity: 1–9 mM In 0.1 M PBS | [161] |
| PANI nanofiber | NiO/CuO NPs | Linearity: 20 to 2500 μM LOD: 2 μM (in 0.1 M NaOH) | [162] |
| PPY | ZnFe2O4 magnetic nanoparticles | Linear up to 8 mM LOD: 0.1 mM, in).1 M NaOH | [163] |
| PPY nanowires | CuO-Cu2O NPs | Linear up to 8 mM LOD: 6.2 µM (in 50 mM NaOH) | [164] |
| Poly(3-octylthiophene) | Au NPs | Potentiometric, Linear: 5–30 mM, LOD: 0.2 mM, in boric acid-borate buffer, pH 9 plus 100 mM NaCl | [165] |
| PPY nanowire/nickel foam substrate | NiCo2O4 | LOD = 0.22 μM, linearity: 0.001–20 mM (in 0.1 M NaOH) | [166] |
| Conductive Polyaniline Nanosheets (CPANINS) | LOD = 0.043 μM, Linearity: 1–1000 μM (in 0.1 M H2SO4) | [167] | |
| PANI/MWCNTs | ZnO | LOD: 0.1 mM, two linear regions: 0.1 to 1 mM and 1 to 6 mM (10 mM NaOH) | [168] |
| PANI | NiO | LOD: 0.06 μM, linearity: 1–3000 μM | [169] |
© 2020 by the authors. Licensee MDPI, Basel, Switzerland. This article is an open access article distributed under the terms and conditions of the Creative Commons Attribution (CC BY) license (http://creativecommons.org/licenses/by/4.0/).
Share and Cite
Luong, J.H.T.; Narayan, T.; Solanki, S.; Malhotra, B.D. Recent Advances of Conducting Polymers and Their Composites for Electrochemical Biosensing Applications. J. Funct. Biomater. 2020, 11, 71. https://doi.org/10.3390/jfb11040071
Luong JHT, Narayan T, Solanki S, Malhotra BD. Recent Advances of Conducting Polymers and Their Composites for Electrochemical Biosensing Applications. Journal of Functional Biomaterials. 2020; 11(4):71. https://doi.org/10.3390/jfb11040071
Chicago/Turabian StyleLuong, John H. T., Tarun Narayan, Shipra Solanki, and Bansi D. Malhotra. 2020. "Recent Advances of Conducting Polymers and Their Composites for Electrochemical Biosensing Applications" Journal of Functional Biomaterials 11, no. 4: 71. https://doi.org/10.3390/jfb11040071
APA StyleLuong, J. H. T., Narayan, T., Solanki, S., & Malhotra, B. D. (2020). Recent Advances of Conducting Polymers and Their Composites for Electrochemical Biosensing Applications. Journal of Functional Biomaterials, 11(4), 71. https://doi.org/10.3390/jfb11040071
