Next Article in Journal
Advancements in Predictive Analytics: Machine Learning Approaches to Estimating Length of Stay and Mortality in Sepsis
Next Article in Special Issue
Simulation and Fitting of a PID Fuzzy Control in a Virtual Prototype of a Knee Orthosis
Previous Article in Journal
A Framework of the Meshless Method for Topology Optimization Using the Smooth-Edged Material Distribution for Optimizing Topology Method
 
 
Font Type:
Arial Georgia Verdana
Font Size:
Aa Aa Aa
Line Spacing:
Column Width:
Background:
Article

Impedance Controller Analysis for a Two-Degrees-Of-Freedom Ankle Rehabilitation Machine with Serious Game Interactions

by
Oscar I. Cirilo-Piñon
1,
Agustín Barrera-Sánchez
1,
Cesar H. Guzmán-Valdivia
2,
Manuel Adam-Medina
1,
Rafael Campos-Amezcua
1,
Andrés Blanco-Ortega
1,* and
Arturo Martínez-Mata
1
1
TecNM/Centro Nacional de Investigación y Desarrollo Tecnológico, Cuernavaca 62490, Mexico
2
Departamento de Ingeniería Mecatrónica, Universidad Politécnica de Aguascalientes, Aguascalientes 20342, Mexico
*
Author to whom correspondence should be addressed.
Computation 2025, 13(1), 7; https://doi.org/10.3390/computation13010007
Submission received: 21 November 2024 / Revised: 25 December 2024 / Accepted: 30 December 2024 / Published: 31 December 2024

Abstract

An ankle sprain can be caused by daily activities such as running, walking, or playing sports. In many cases, the patient’s ankle suffers severe or permanent damage that requires rehabilitation to return to its initial state. Thanks to technological advances, robotics has allowed for the development of machines that generate precise, efficient, and safe movements. In addition, these machines are manipulated by a specific control depending on the rehabilitation objective. Impedance control is used in ankle rehabilitation machines for active–resistive-type rehabilitation, where the patient participates by exerting a force on the machine repeatedly. Serious games are an example of an activity where the patient can interact with a video game while rehabilitating. Currently, most machines involving impedance control and targeted at serious gaming applications are mechanically composed of one degree of freedom, so the addition of another degree is a novelty. This paper presents simulation results comparing different impedance controls reported in the literature to determine the best option for applying a 2-DOF ankle rehabilitation machine using serious games. The results obtained are presented by comparing them according to the force applied to the rehabilitation machine (emulating the behavior of a patient). From the impedance controllers analyzed for horizontal (abduction/adduction) and vertical (dorsiflexion/plantarflexion) movements in the rehabilitation machine, it was determined that the PD control, which considers some mechanical parameters, presents a better performance. With this controller, fast and smooth angular movements are generated, while the consumption of kinetic energy is kept in a low range, proportional to the applied forces, compared to the other impedance controls analyzed.

1. Introduction

The movement of the human being that involves daily activities such as walking and even sports activities is only possible due to the existence of the ankle. The ankle joint is one of the parts most likely to be injured due to the vulnerability of its lateral ligaments, which constitute its configuration and importance in the skeletal system [1]. Traumatic injuries to the ankle are commonly known as sprains and can be classified into three grades depending on the magnitude of the injury. Grade 1 is an abnormal and prolonged stretching of the ligaments, which can cause the presence of inflammation or bruising; Grade 2 involves a partial tear or incomplete tear in any of the ligaments, in addition to a high probability of presenting inflammation and bruising (staying upright). Grade 3 is a complete tear of one or more ligaments developing joint instability that prevents standing balance [2,3]. In most cases, difficulty standing upright limits the ability to carry out daily activities for a certain period (developing spasticity and stiffness in the affected part). From a second- and third-degree sprain, rehabilitation sessions are required to help improve the mobility and strength of the patient’s ankle and thus progressively recover its normal state.
Rehabilitation is a set of measures (exercises, therapies, etc.) that keep the patient immersed in gradual physical conditioning to return to an initial or functional state. This can be achieved through physical efforts alone, as well as through specialized medical assistance or robotic assistance. There are generally four types of rehabilitation: active (the movements are performed by the patient), passive (the movements are performed by the specialist or some robotic device), assisted, and resistive (the same case as passive with the difference that the patient does develop muscle contractions) [4].
In recent decades, machines or robots have been developed for ankle rehabilitation; some of these robots have more than three degrees of freedom (considering that the ankle only has three degrees of freedom). These machines are based on parallel structures, platforms, robotic orthoses, and exoskeletons [1,5]. The first two types of machines have more research reported in the literature. This is because platform-based structures offer high rigidity, balanced force distribution, and ease of adapting the different degrees of freedom (DOF) of the ankle, while the exoskeletons focus on the rehabilitation of the patient’s gait. In general, the use of a three DOF ankle rehabilitation machine is not recommended since using the three movements simultaneously causes pain or discomfort to the patient as they are not common positions. Instead, it is chosen to manipulate one DOF at a time (mainly dorsi/plantarflexion) or use combinations of two DOFs. Among the most used combinations in these structures are dorsi/plantarflexion–eversion/inversion [6,7] and dorsi/plantarflexion–abduction/adduction [8].
The combination of two movements in ankle rehabilitation has demonstrated more natural functional patterns for actions such as walking, jumping, turning, and maintaining balance [9]. Thus, a more controlled posture and stability are obtained, avoiding stress on the ligaments and meeting the patient’s rehabilitation needs. This is because progressive therapies can be generated without causing micro traumas that could arise with eversion/inversion movements in the early stages.
The control implemented in ankle rehabilitation machines is important, as it involves recording signals to process them through algorithms to determine a control signal to provide adequate rehabilitation movement [1]. That is, position, speed, acceleration, external forces, or torque signals are manipulated to provide rehabilitation with smooth and safe movements. The type of control depends on the type of rehabilitation that the robotic system must provide. For passive rehabilitation, it is common to find machines with controls that allow the programming of trajectories, such as the PID-type control [10,11], CNC [9], GPI [7], programmable cards [12,13], etc. For devices that provide active-resistive rehabilitation, where forces are generated in response to the machine, impedance control (and variants) has generally been implemented since it has shown versatility in adjusting resistance and assistance in ankle movements [14,15,16,17,18,19,20].
Impedance control allows forces to be generated in a mechanism based on position errors. Basically, the control causes the machine to operate like a spring of variable stiffness. Through sensors, information is obtained about the force applied with the patient’s foot, which must overcome that rigidity force to activate the impedance control again. Subsequently, the controller stabilizes the system by forcing the machine to return to its original position [21]. Its main purpose in ankle rehabilitation is to generate an impedance that allows the relationship between the torque generated by the mechanism and the application force in real time [14]. This makes it a feasible method for multiple active-type rehabilitation projects.
In the literature, there are works such as those by Humberto et al. [11], Wilbert et al. [15], and Zhang et al. [8], which present 1- to 2-DOF mechanisms. These provide active rehabilitation through classical impedance controls, developing tests where the angular position of the mechanism and the torque/voltage responses determine the efficiency of the system. However, they lack a comparison with other systems to check their efficiency, as well as the determination of the energy expenditure (or work) generated by the mechanism when developing a response force, concentrating only on the patient’s activity without considering the real-time behavior of the rehabilitation machine.
A modern application that has been shown to work on ankle rehabilitation machines implementing impedance control is the use of serious games (see Table 1). These are video games used as interactive tools that increase concentration and motivation [7]. A serious game may require the patient to be more active in their rehabilitation process and, therefore, when using an assistance machine/robot, it is necessary to have a control that allows the force that the patient will apply when playing the video game to be compensated for.
This paper analyzes some of the impedance control systems that involve the interaction of an ankle rehabilitator and a serious game. This analysis is performed with a virtual prototype of a 2-DOF rehabilitator under the MSC Adams software environment. The objective is to compare the performance of the controllers in terms of energy to determine the most viable controller for interaction with a serious game. For more information, it is recommended to read the article by Cirilo P. et al. [22]. This work reports on the review of the state of the art in relation to rehabilitation machines and serious games, highlighting methods, mechanisms, the control systems used, the main results, and areas of opportunity.
For Table 1, a systematic review was developed using the PRISMA (Preferred Reporting Items for Systematic Reviews and Meta-Analyses) methodology to identify, analyze, and select the relevant studies on the different mechatronic systems that integrate the use of ankle rehabilitation machines/robots with the application of serious games. The objective was to identify the most efficient methods that increase the patient’s motivation and concentration, as well as some specific characteristics.
A systematic search was carried out in open-access databases ranging from 2011 to 2024. Search strings with keywords were used to minimize the number of results, such as (“videogame” OR “Serious game” OR “Virtual reality”) AND (“Rehabilitation ankle” OR “Robot” OR “Ankle”), or strings with more specifications such as (“videogame” OR “Serious game” OR “Virtual reality”) AND (“Rehabilitation ankle” OR “Robot ankle” OR “Ankle”) AND (“Control” OR “Impedance”) AND (“DOF” OR “degree of freedom”). The initial results yielded around 470 publications, including journals, books, book chapters, etc. After further analysis, this was reduced to more than half, so the following inclusion and exclusion criteria were established:
  • The use of at least one assistant machine/robot for ankle rehabilitation.
  • The description of actuators, sensors, and the mechanical composition of the machine.
  • The application of one or more serious games based on the proposed rehabilitation machine. The game can be developed in 2D (two dimensions), 3D (three dimensions), AR (Augmented Reality), or VR (Virtual Reality).
  • A control system or law is applied that performs the interaction between the machine and the serious game.
  • Studies that did not involve at least one assistant robot and a serious game in an integrated manner were discarded, except for studies that focused on impedance control with rehabilitation machines.
Table 1. Ankle rehabilitators with application to serious games.
Table 1. Ankle rehabilitators with application to serious games.
YearAuthorType of RehabilitationDOFActuatorsType of SensorsType of MovementControlSerious Games
2011Roy et al. [16]Active1Electric motorsForceDf/PfImpedanceYES
2014Humberto et al. [11]Active/
Passive
1Electric motorsForceDf/PfImpedance/PID NO
2015Goncalves et al. [17]Active1Electric motorsForceDf/PfImpedanceYES
2015Perez et al. [18]Active2Electric motorsN/ADf/Pf, E/IImpedanceYES
2015Gobron et al. [19]Active6Electric motorsForce and torqueDf/Pf, E/I, Ab/AdAdmittanceYES
2016Pasqual et al. [6]Active2Electric motorsEncodersDf/Pf, E/IAlgorithm written in C#YES
2017Ren et al. [20]Active1Electric motorsForce and encodersDf/PfIntelligentYES
2017Wilbert et al. [15]Active/
Passive
1ServomotorsForceDf/PfImpedanceNO
2017Zhang et al. [8]Active2Pneumatic muscleDistance and forceDf/Pf, Ab/AdImpedanceNO
2018Salazar et al. [7]Active/
Passive
2Electric motors ForceDf/Pf, E/IPID/GPI/impedance YES
2020Pino et al. [23]Active1ServomotorsInertial Df/PfN/AYES
2021Covaciu et al. [24]Active3ServomotorsMuscle sensorDf/Pf, E/I, Ab/AdN/ANO
2021Ferreira et al. [25]N/A--AccelerometersDf/PfController boarYES
2021Kim et al. [14]Standing
balance
simulation
1Electric motorsEncoder and torque sensor Df/PfImpedanceNO
2022Pino et al. [26]Active1Electric motorsInertialDf/PfMRT base strategyYES
2023Tran et al. [13]Active1Electric motorsEncodersDf/PfN/AYES
2023Galli et al. [27]Active--Environ and motion Df/Pf, E/I, and compositions. Metamotion sensorYES
Df/Pf: dorsiflexion/plantarflexion; E/I: eversion/inversion; Ab/Ad: abduction/adduction. N/A—not available.
As the preliminary results, after applying the inclusion criteria, the total number of scientific papers was reduced to 17 (shown in Table 1). This review seeks to identify control strategies in the integration of assistive robots and serious games for ankle rehabilitation.
This paper presents simulation results for the choice of an impedance control for a two DOF rehabilitation machine aimed at serious gaming applications. The rehabilitation machine developed by Blanco et al. [9] enabled the movements of dorsiflexion (Df)—plantarflexion (Pf)—abduction (Ab)—adduction (Ad). Originally, this machine was used for passive rehabilitation by means of the CNC (computer numerical control) programming of trajectories. Currently, patients are encouraged to undertake greater activity in therapy by means of serious games (video games), thus converting this form of therapy into an active-resistive type of rehabilitation. Therefore, a review and comparison of the most used impedance controls that can be adapted to this rehabilitation machine is proposed. Some impedance controls are analyzed in a virtual prototype of the rehabilitation machine in the MSC Adams environment.
This paper is structured as follows: Section 2 presents in more detail the rehabilitation machine to be used as well as the impedance controls selected to analyze its performance. Section 3 presents the results for the virtual prototype of the rehabilitator developed in the MSC Adams software. Finally, Section 4 presents the conclusions and the main challenges to be considered in the development of these types of ankle rehabilitation systems.

2. Materials and Methods

2.1. Ankle Rehabilitation Machine

To better understand the system, the human ankle can be approximated to a three DOF mechanism, as it allows six types of movement along three main axes (from a three-dimensional XYZ plane perspective). In Figure 1, we can see these movements and describe them as follows:
  • Eversion/inversion: internal and external rotation along the x-axis.
  • Dorsiflexion/plantarflexion: internal and external rotation along the y-axis.
  • Adduction/abduction: internal and external rotation along the z-axis.
The range of motion is limited and may vary between individuals for each type of movement. These values are measured in degrees, with standard averages [28], as shown in Table 2.
The ankle rehabilitator proposed by Blanco et al. [9] is a mechanism based on an XY table, consisting of a fixed base and a movable base (where the patient places the foot to be rehabilitated), connected by a linear ball bearing or spherical joint (see Figure 2). In addition, it has a kinematic structure that has two DOFs, where two stepper motors manipulate linear guides that determine the location of the movable base. From a frontal perspective, the machine enables movements in vertical directions (dorsiflexion and plantarflexion) and horizontal directions (abduction and adduction), as well as combinations of both, allowing movements such as circles, letters, and zigzag patterns, among others.

2.2. Impedance Control

The ankle is a fundamental part of the human body as it enables locomotion (movement from one place to another). This is achieved through the adjustment of its stiffness, constantly adapting to changes in surface conditions, varying speeds, vertical jumps, and more [29]. In the context of other factors, a set of dynamic factors can be used to describe the impedance of the ankle [14]. Figure 3 illustrates this concept through a graphical representation of the dynamic model of the ankle. The variables in this model are defined as follows: K m (stiffness), B m (damping), I m (moment of inertia), τ u (user-generated torque), τ a (torque generated by the environment), and y θ (the angular displacement for dorsiflexion/plantarflexion motion in this case.).
In this way, the impedance of the ankle takes these dynamic factors into account through angular displacement and its derivatives (position, velocity, and acceleration). Since its control aims to compensate for external forces, a relationship is established between the actual position of the ankle ( θ ) and the desired position ( θ d ), while additional forces or torques are directly incorporated (see Equation (1)).
τ u = I m θ ¨ d θ ¨ + B m θ ˙ d θ ˙ + K m θ d θ + τ a
This position relationship is known as the error and is denoted by the letter “e”. Since the user’s torque ( τ u ) in a rehabilitation machine is the external force that alters the ankle’s current position, Equation (1) can be reformulated to express the values in terms of τ a (the torque required by the machine to compensate for the force applied by τ u ). Thus, impedance control takes its basic form and is represented in Equation (2). Here, I m represents the resistance to change in acceleration demonstrated by the system due to its moment of inertia, B m denotes the damping, and K m denotes the stiffness; these are all impedance controller parameters that regulate the response.
τ a = I m e ¨ + B m e ˙ + K m ( e )
Each parameter impacts the system’s performance in a different way. B m prevents unwanted oscillations, while K m and I m determine the speed and stabilization of the movement. To adapt to the patient’s needs, the combination of K m and B m ensures safe and controlled movements (essential for patients with limited movement), while the combination of I m and B m generates fast responses, safeguarding the stability of the machine (useful for fully dynamic exercises). Finally, the combination of all the terms allows for real-time position correction to develop safe movements.
For the implementation of impedance control, it is necessary to determine the working conditions of the prototype, as well as any additional forces or characteristics. The proposed machine has a working area of 400 mm², with its origin point located at the intersection of the fixed base and the moving base. Linear guides define the positive or negative movement within the XY plane (see Figure 4a). For the simulation, the system’s actual weight and damping at the zero-coordinate position are considered. Factors such as gravity and the patient’s foot weight are neglected, as the mechanism incorporates stepper motors and a worm screw (within each linear guide) that lock the system in place when powered on, maintaining its initial position until a greater force is applied.
Because the rehabilitation machine is designed for serious games, it requires a response for every movement the mechanism makes. Thus, both degrees of freedom are considered, and four virtual forces (see Figure 4b) are proposed, which are given as follows:
  • F 1 : The positive horizontal force applied by the rehabilitation machine.
  • F 2 : The positive vertical force applied by the rehabilitation machine.
  • P 1 : The virtual force simulating the pressure applied by the patient during abduction/adduction movements, which opposes force F 1 .
  • P 2 : The virtual force simulating the pressure applied by the patient during dorsiflexion/plantarflexion movements, which opposes force F 2 .
Table 1 presents a review aimed at identifying the most used impedance controls that can also be adapted to the proposed rehabilitation machine. Since the mechanism operates with two DOFs and produces linear movements, it is possible to adjust an independent impedance control for each degree of freedom, thus expanding the search range in comparison to similar products. Table 3 presents some of the controls proposed by different authors, which were implemented in the virtual prototype shown in Figure 5. These implementations allow for the comparison of responses to determine which control or controls would be the best alternative for future applications.
Humberto et al. [11] and Zhang et al. [8] propose an impedance control that takes all the dynamic factors of the ankle into account, maintaining the base form shown in Equation (1). On the other hand, the work of Perez et al. [18] and Wilbert et al. [15] neglects the ankle’s moment of inertia to reduce the number of dynamic factors, obtaining the machine’s torque in terms of stiffness and damping (considering only the machine’s current position). Additionally, Wilberth et al. [15] present an alternative approach in which the impedance control is based on a proportional-derivative (PD) controller, evaluated in terms of the kp/kd gains and taking into account specific mechanism parameters such as the following: F p (the force applied by the user), d 2 (the distance between the machine’s strut and the force applied by the user), d 3 (the thickness of a mobile platform), k (the stiffness of a virtual spring), l (the distance between the strut and the virtual spring), and y β (the displacement angle allowed by the programmer).

2.3. Analysis of Control Strategies

The impedance controllers shown in Table 3 are based on an initial terminology shown in (Section 2.2); however, when considering adding or omitting parameters, the behavior of the systems and their applications can change considerably.
H-Z control works with a classical impedance control model in terms of inertia, stiffness, and damping, producing a simple model that can regulate system dynamics in applications with interactions between humans and robotic systems. However, by not considering the complex effects of the environment, its application is limited to completely dynamic systems that require rapid movements, while stability depends on the precise synchronization of its parameters (Mm, Bm, and Km). On the other hand, P-W control simplifies the initial model by eliminating the inertial term, making it suitable for systems with a small mass or requiring slow movements (where inertia has minimal impact). Finally, W control offers the possibility of complex applications since it considers specific external forces and geometric data from the environment that allow a unique configuration to be adjusted (which is useful in rehabilitation devices or with assistance robots). Limitations include the complexity of the design, as well as the higher probability of calibration errors, force measurements, etc. Other comparative characteristics between the proposed impedance controls are shown in Table 4.
In conclusion, each impedance control can be tailored according to the rehabilitation machine specifications and the target application. In this case, the H-Z control is applicable in simple systems that require stability over precision. The P-W control generates an adaptive model with a low mass dependence, which is ideal for slow movements. And the W control presents the best option for more dynamic movements, adding complexity to the design by implementing additional parameters. However, each of these controls has the possibility of being applied to the ankle rehabilitation machine since smooth and precise movements are needed during a secondary stage after an initial recovery, which will eventually increase according to the needs of the patient.

2.4. Parameters for Impedance Control Application

The dynamic analysis with the virtual prototype of the rehabilitation machine was carried out using the MSC Adams software. This is software that allows the simulation of the dynamics of mechanisms and has proven to be a comprehensive tool by allowing the development of simulations with ideal/real conditions and obtaining results that are close enough between virtual and physical prototypes represented in the literature, which also give reliability to the software [30,31]. The virtual prototype shown in Figure 2 was developed in SolidWorks, detailing the components in order to be as faithful as possible to the real mechanism. Subsequently, the prototype is imported into MSC Adams software, materials are assigned to the components, and the joints (fixed, revolute, spherical, and contact) are placed between the components.
In this case, m1 is considered the result of the sum of the mass of the mobile base and the components that make up the Y-axis linear guide (with a total of 2 kg), as shown in Figure 4b. In addition, a mass m2 of 1.5 kg is considered for the mobile base that connects the Y-axis linear guide with the rest of the components (the mobile platform for the foot and bars with spherical joints, among others). Between these connections is a ball joint that connects the strut and the mobile base to allow angular movements, as shown in Figure 5a. Finally, in the simulations with the virtual prototype, gravity is neglected as a result of the existence of worm screws in the linear guides. In addition, with the use of geared motors, the mobile platform remains in equilibrium in any position of the linear guide without requiring a control effort. These virtual prototype conditions are closer to the real environment and basic tests can be developed with the physical prototype.
On the other hand, four forces are considered (aligned to the X and Y axes): two control forces (F1 and F2) on the linear guides provide movement in the vertical and horizontal directions of the mechanism. In addition, two forces (P1 and P2) represent the patient’s interaction with the machine (see Figure 5b).
The application of the impedance controls shown in Table 3 is generated by means of virtual forces. In this instance, to obtain independent results, it is considered that if the control is applied to horizontal movements, the vertical forces are zero, and vice versa. As a case study, three test simulations were performed (for each degree of freedom in the mechanism) with a duration of 5 s per control, where F 1 and F 2 are the forces that replace the machine to which the impedance control is applied. On the other hand, P 1 and P 2 simulate the patient’s interaction where a force of x is applied during the first two seconds, changing the initial position of the machine and subsequently becoming zero. During the rest of the time, the applied control is adjusted to return the machine to its original position.
From the work of Payne et al. [32] and Guillen et al. [33] shown in Table 5, their information contains the ankle force ranges for the dorsi/plantarflexion movement in which most of the participants were athletes and young adults. The development of these values involved using an isokinetic dynamometer for torques of 30°/s and 180°/s. The resulting forces could be higher as long as the foot forms a 90° angle (specifically for occasions when the patient is seated). Additionally, it is acknowledged that there is not much information about the force used for abduction/adduction movements. For this reason, applicable forces for the simulated tests of 5, 20, and 40 N are proposed since they are within the medium–high ranges in the male and female population while also considering that the virtual forces are applied in a linear manner and not as a torque.
The rehabilitation machine can perform linear movements while maintaining stability in any position. The impedance control provided can work correctly for both positive and negative motion, i.e., it can be applied individually to a dorsiflexion and a plantarflexion motion, obtaining similar responses as long as the same dynamic factors, as well as the same angular displacement value, are present. For the test simulations, using Table 2, a limit of angular displacement allowed by the machine for the dorsi/plantarflexion movements of 20° is proposed, taking the negative tolerance in the dorsiflexion movement as a limit. Similar limits of 15° are proposed for abduction/adduction movements because the range of displacement in this degree of freedom is smaller.
A total of 18 simulations were carried out for the impedance controls shown in Table 3. Each control was evaluated under three different forces (5 N, 20 N, and 40 N) and for each degree of freedom (X and Y) in the mechanism; this resulted in 9 simulations for each degree of freedom implemented in the virtual prototype under the MSC Adams platform environment. In this case, the simulations were intended to compare the responses based on the range of angular movement and the kinetic energy consumed in the mechanism to define which control requires less work and presents better performance during the movement. The parameters for the development of these tests are described below:
(a).
The simulation time is 5 s.
(b).
If a control is applied to the horizontal forces (P1 and F1), the vertical forces (P2 and F2) are equal to zero and vice versa. That is, one degree of freedom is simulated at a time, considering that the remaining degree remains static.
(c).
An external force on the moving platform (the user’s foot force) of 5, 20, and 40 N is considered during the first two seconds and is subsequently stopped being applied.
(d).
For the control of dorsiflexion/plantarflexion movement, an allowed angular displacement of 20° ± 1° is proposed as a target, while for the control of abduction/adduction movement, the target range is 15° ± 1°.
(e).
The damping, stiffness, and moment of inertia values are modified for each simulation until the degrees of displacement declared at point d (20° or 15°) are reached. For the impedance control, W, the values that can be altered are the gains kp, kd, and the virtual stiffness constant k.
(f).
Other parameters, such as distances, thicknesses, and additional forces, among others, are obtained from the specifications of the virtual prototype.

3. Results

3.1. Tests Developed for Dorsiflexion/Plantarflexion Movements

For the analysis of the responses obtained in the simulated tests, the angular displacement generated by each impedance control was plotted, as well as the vertical and horizontal translational kinetic energy (K.E.), considering that the mechanical configuration also makes the horizontal linear guide support the vertical linear guide. As kinetic energy consumption increases, the rehabilitation machine tries to develop a movement or compensate for its stability. This makes the application of a control that consumes less kinetic energy more noticeable. Table 6 shows the results of the virtual tests for the dorsi/plantarflexion movement, as well as the values of the parameters that were modified to achieve the required angular displacement.
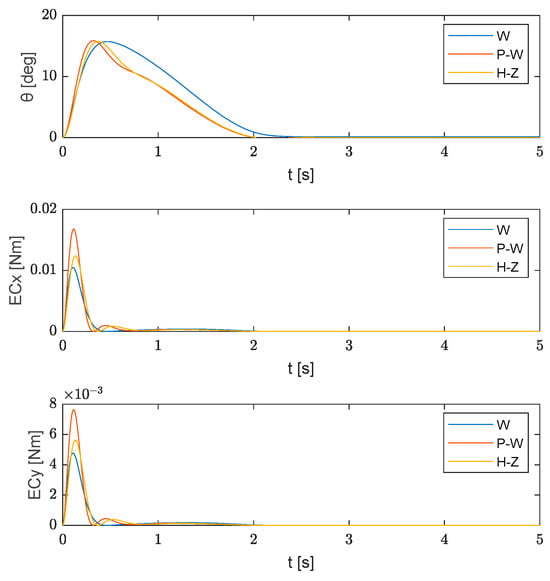
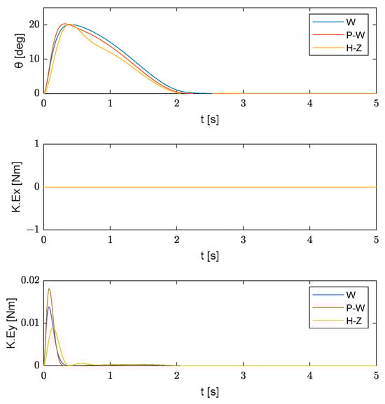
Figure 6 shows the responses for an applied force of 5 N in a plantarflexion movement. These responses show that the chosen dynamic factors allow a correct angular displacement towards 20°. The H-Z control has a faster response in recoil as the system returns to its original position in approximately 1.5 s. It could be said that this control presents a good response; however, considering that the rehabilitation is aimed at injured patients, fast movements can cause discomfort to the patient. Therefore, the P-W and W control, having slower movements, make them a better choice.
Regarding the kinetic energy on the X-axis, the values presented are equal to zero since it does not present movement. On the Y-axis, the P-W control consumes more kinetic energy, which is 2.1 times greater than the energy of the H-Z control. This is mostly because the moment of inertia in the mathematical model is not considered, so the system must compensate for the acceleration, which means that the mechanism has more resistance, but the user must exert more force to reach the desired position. The same occurs in the W control since, when considering different factors that try to replace the moment of inertia, it becomes a functional control but requires more work, obtaining 1.8 times more energy than the H-Z control but 1.2 times less energy than the W control. Finally, the H-Z control consumes the least kinetic energy of the three, presenting better performance in movement with less resistance from the mechanism.
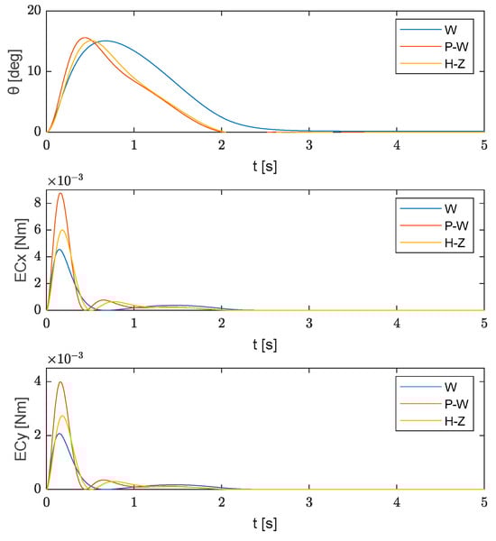
In Figure 7, a force of 20 N was applied, and the controller parameters were modified to achieve a movement of 20 ± 1°. It was observed that the H-Z control obtains a response to angular displacement comparable to the remaining controls. The kinetic energy consumption increases; however, the behavior is like the previous test, where P-W is 2.02 times greater than the H-Z control and 1.4 times greater than the W control. This makes the H-Z control have low resistance to achieve movements with better performance, while P-W requires more force and, therefore, demands more work from the system.
In the last case, for the plantarflexion movement, a vertical force of 40 N was applied, obtaining the results shown in Figure 8. In all cases, the angular displacement was quite similar. The W controller shows a slower and smoother response when approaching 20° compared to the other controls. The kinetic energy on the X-axis remains at zero values, while on the Y-axis, all controls increase their kinetic energy due to the effort required by the machine. Therefore, the H-Z control remains the control with the lowest energy consumption; this is 1.5 times lower than the W control and 2.28 times lower than the P-W control.

3.2. Tests Developed for Abduction/Adduction Movements

The results of the virtual tests for the abduction/adduction movement are shown in Table 7. The data obtained in relation to the K.E. are presented, as well as the values assigned to the dynamic factors of the system for applied forces of 5, 20, and 40 N, with an allowed displacement angle of 15°. In this case, the consumption of kinetic energy for the X and Y axes was taken into consideration since the linear guide for horizontal movements also supports the linear guide for the vertical axis. Therefore, the control also presents an effort in the Y-axis, but with a lower magnitude, to keep the linear guide stabilized.
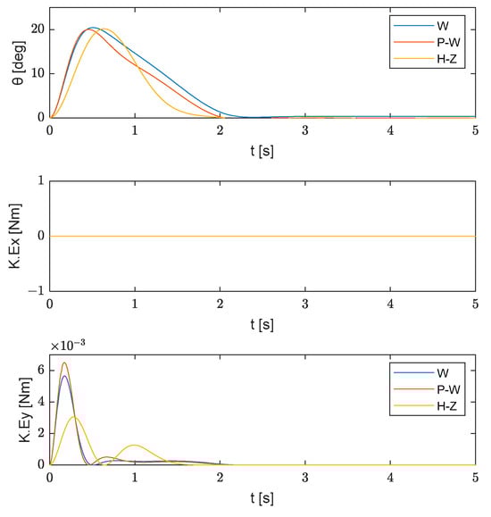
Figure 9 shows the responses for a horizontal force of 5 N on the mobile base of the rehabilitator. In the angular displacement, it can be observed that all the impedance controllers reach 15°, within the tolerance of 1°. The H-Z controller exhibits a slower stabilization response, passing through the origin in approximately 1.8 s but develops a small negative displacement, and its true stabilization is completed in 4 s. Therefore, P-W and W present the smoothest and safest responses with stabilization after 2.3 and 3 s, respectively.
The kinetic energy of the controllers takes about 2.5 s to dissipate for the X and Y axes with the appearance of two peaks. While H-Z and P-W represent the highest consumption of E.C. for both axes at 1.18 times higher than the W control, this makes the W controller a good choice for Y-axis control, offering better resistance to develop a movement with better performance.
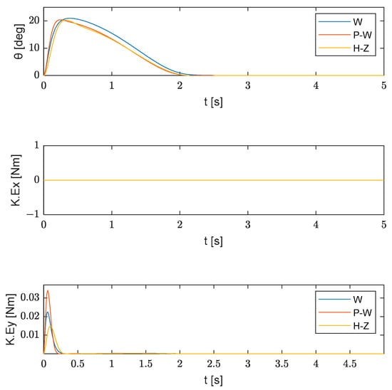
Figure 10 and Figure 11 show the results for an abduction/adduction movement when applying a horizontal force of 20 and 40 N, respectively. In general, by modifying the corresponding dynamic factors, the angular displacements stabilize even faster, returning to their original position in 2 s for the cases of P-W and H-Z. The response of the W control presents a smoother displacement, decreasing the settling time by 0.5 s.
The P-W controller consumes more kinetic energy when performing vertical and horizontal movements, approximately 1.2 to 1.6 times greater than the other controllers. Therefore, for the initial stages of rehabilitation, this controller would not be recommended since it would demand more activity from the patient. On the other hand, the W control shows lower energy consumption as well as the application of a force of 5 N for both axes, making it the best choice for the application of horizontal movements (abduction/adduction).

3.3. Preliminary Results

From the results shown in Section 3.1 and Section 3.2, it can be observed that parameter adjustment can significantly alter both the angular displacement value and the response speed allowed by the rehabilitation machine. However, the consumption of kinetic energy remains at similar values. Therefore, the choice of appropriate impedance control is mainly chosen by the option that involves the least work from the machine when performing any movement.
For the implementation of impedance control in the vertical linear guide, it is considered that only the force applied to the mobile platform (the force applied by the patient with his foot) should be counteracted. This causes energy consumption to be practically imperceptible for the X-axis. From the graphed responses, it is observed that the H-Z control presents the lowest kinetic energy consumption, which is 1.5 to 2.3 times smaller than the consumption of the rest of the controllers. In addition to this, it must be considered that the resistance of the machine is also lower, which generates a rapid return to the initial position, which could be dangerous for patients in the early stages of rehabilitation. Therefore, the use of control W is proposed, whose consumption and performance remain at average values.
The W impedance control is the one that consumes the least kinetic energy in the horizontal linear guide, with a consumption of 1.2 to 1.6 times less than the other two controllers. The energy of the Y-axis is also considered here since it supports both the vertical guide and the mobile platform. In general, the responses between the proposed controls have a minimum variation, and the dissipation time is the same. However, the smoothest and slowest angular displacement is developed by the W control. This makes it a good choice for its implementation, followed by the H-Z control and finally the P-W control.

4. Discussion

The implementation of impedance control in ankle rehabilitation machines has proven to be functional for therapies where the patient is required to interact more actively, developing forces with different magnitudes and displacement angles. This allows for a natural and safe interaction where the machine responds to the user’s strength/resistance in a smooth manner. In addition, the execution of this type of control, as shown in the virtual tests presented in this work, has greater accessibility to parameter adjustment. In this case, a physiotherapy specialist can define the recommended displacement angle and, through parameter adjustment (e.g., stiffness, damping, inertia), a movement is generated that adapts to the patient’s needs. In applications that require impedance control and active therapy, it is possible to develop a more complete rehabilitation system that adds force sensors to create routines, use applications or serious games (video games), analyze the physical state of the ankle, etc.
Impedance control helps regulate the amount of force applied to the robot, and in healthy patients, this can be used to perform exercises that contribute to the prevention of injury. Another advantage in generic therapy sessions is that with proper programming, it is feasible to adapt different parameters to a single impedance control to develop skill levels; that is, each level will allow a larger fixed angular displacement than the previous one in order to adapt to multiple users without having to change the parameters each time.
Among the challenges that may arise in the implementation of impedance control in the physical prototype are discrepancies between the idealized model and real conditions (e.g., mechanical play and structural rigidity, among others), which generate errors that affect the precision and stability of the system. In addition, the use of sensors and actuators may present limitations in their capacity, noise, or low resolutions, which will affect trajectory tracking. Another significant problem is the implementation of advanced controls with limited computational resources, which could produce poor real-time operation. Likewise, the physical interaction between the human and the rehabilitation worker can cause discomfort or even injury to the patient if the control is not adequate.
To overcome these challenges, an iterative approach must be developed with multiple experimental tests in addition to an appropriate selection of computational resources (hardware or software), optimized control algorithms, as well as the use of security systems that can help guarantee the integrity of patients. This would generate a process that modifies ideal conditions into real solutions that are beneficial for users.

5. Conclusions

In research works by different authors, numerous ankle rehabilitation devices have been proposed that are aimed at active therapy that requires interactions between the user and the machine. Among the most common applications is the use of serious games, whose objective is to keep the patient-focused by developing entertaining activities. Most machines that address two DOFs generally consider the movements of dorsi/plantarflexion and eversion/inversion. In this work, the movements of dorsi/plantarflexion and abduction/adduction were considered in a 2-DOF machine [9].
The simulation results of the rehabilitation machine in the MSC Adams software environment were presented for both dorsi/plantarflexion and abduction/adduction movements with impedance controllers reported in the literature. This was performed with the aim of developing an active type of therapy that is intended to be applied to the use of serious games in the future while also considering that the combination of movements is a novelty in this area. This adaptability is possible because the prototype used offers linear movements that allow independent control for each degree of freedom. The main advantage of using impedance control is that stimulation is created from sensory feedback; that is, the control allows the robot to respond to the patient’s actions to generate smooth, safe, and natural rehabilitation. In addition, impedance control can be used to create skill levels that allow adaptation to the needs of each patient.
Finally, based on the state of the art and previous studies, the following trends are proposed for future work:
  • Develop serious games (video games) that increase motivation and concentration in the patient. The objective is to provide support that accompanies the patient throughout the rehabilitation process in a more entertaining way [7].
  • Implement force sensors that generate the feedback necessary for the use of impedance control. In addition, interaction with a serious game is sought while the patient performs their rehabilitation exercises.
  • Implement at least three skill levels (serious game levels) that allow low, medium, and high angular displacement. This is in order to adapt it to different ankle rehabilitation processes.

Author Contributions

Contributions: Conceptualization, O.I.C.-P., A.B.-S. and R.C.-A.; methodology, R.C.-A., C.H.G.-V. and A.B.-S.; software, A.B.-O. and O.I.C.-P.; validation, A.M.-M. and C.H.G.-V.; formal analysis, M.A.-M.; investigation, O.I.C.-P.; resources, A.B.-S.; data curation, R.C.-A.; writing—original draft preparation, C.H.G.-V.; writing—review and editing, A.M.-M.; visualization, M.A.-M.; supervision, A.B.-O.; project administration, A.M.-M.; funding acquisition, A.B.-O. and M.A.-M. All authors have read and agreed to the published version of the manuscript.

Funding

This research received no external funding.

Data Availability Statement

Data are contained within the article.

Conflicts of Interest

The authors declare no conflict of interest.

References

  1. Alvarez-Perez, M.G.; Garcia-Murillo, M.A.; Cervantes-Sánchez, J.J. Robot-assisted ankle rehabilitation: A review. Disabil. Rehabil. Assist. Technol. 2020, 15, 394–408. [Google Scholar] [CrossRef] [PubMed]
  2. Chinn, L.; Hertel, J. Rehabilitation of Ankle and Foot Injuries in Athletes. Clin. Sports Med. 2010, 29, 157–167. [Google Scholar] [CrossRef] [PubMed]
  3. Chen, E.T.; McInnis, K.C.; Borg-Stein, J. Ankle Sprains: Evaluation, Rehabilitation, and Prevention. Curr. Sports Med. Rep. 2019, 18, 217–223. [Google Scholar] [CrossRef] [PubMed]
  4. Alcocer, W.; Vela, L.; Blanco, A.; Gonzales, J.; Oliver, M. Major Trends in the Development of Ankle Rehabilitation Devices. Dyna 2012, 176, 45–55. [Google Scholar]
  5. Zhetenbayev, N.; Zhauyt, A.; Babayev, G.; Shingissov, B. Robot device for ankle joint rehabilitation: A review. Vibroeng. Procedia 2022, 41, 96–102. [Google Scholar] [CrossRef]
  6. Pasqual, T.B.; Caurin, G.A.P.; Siqueira, A.A.G. Serious game development for Ankle rehabilitation aiming at user experience. In Proceedings of the IEEE RAS and EMBS International Conference on Biomedical Robotics and Biomechatronics, Singapore, 26–29 June 2016; pp. 1007–1012. [Google Scholar] [CrossRef]
  7. Salazar, A.M.; Ortega, A.B.; Velasco, K.G.; Pliego, A.A. Mechatronic integral ankle rehabilitation system: Ankle rehabilitation robot, serious game, and facial expression recognition system. In Advanced Topics on Computer Vision, Control and Robotics in Mechatronics; Springer: Cham, Switzerland, 2018; pp. 291–320. [Google Scholar] [CrossRef]
  8. Zhang, C.; Hu, J.; Ai, Q.; Meng, W.; Liu, Q. Impedance control of a pneumatic muscles-driven ankle rehabilitation robot. In Lecture Notes in Computer Science; Springer Verlag: Berlin/Heidelberg, Germany, 2017; pp. 301–312. [Google Scholar] [CrossRef]
  9. Ortega, A.B.; Salazar, A.M.; Valdivia, C.H.G.; Becerra, F.A.G.; Gallegos, M.J.P.; Velarde, M.A.G.; Camilo, J.A.S. CNC Machines for Rehabilitation: Ankle and Shoulder. Machines 2022, 10, 55. [Google Scholar] [CrossRef]
  10. de O Andrade, K.; Fernandes, G.; Martins, J.; Roma, V.C.; Joaquim, R.C.; Caurin, G.A.P. Rehabilitation robotics and serious games: An initial architecture for simultaneous players. In Proceedings of the ISSNIP Biosignals and Biorobotics Conference, BRC, Rio de Janeiro, Brazil, 18–20 February 2013. [Google Scholar] [CrossRef]
  11. Guzmán, C.H.; Carrera, J.L.; Blanco, A. Diseño y control de un sistema interactivo para la rehabilitación de tobillo: TobiBot. Ing. Mecánica. Tecnol. Desarro. 2014, 5, 255–264. [Google Scholar]
  12. Alves, T.; Gonçalves, R.S.; Carbone, G. Serious Games Strategies With Cable-Driven Robots for Bimanual Rehabilitation: A Randomized Controlled Trial with Post-Stroke Patients. Front. Robot. AI 2022, 9, 739088. [Google Scholar] [CrossRef]
  13. Tran, V.D.; Nguyen, T.G.T.; Nguyen, T.-N. Development of AnkleReHabit—A Low-Cost Robot-Aided Ankle Rehabilitation Platform. J. Tech. Educ. Sci. 2023, 18, 33–43. [Google Scholar] [CrossRef]
  14. Kim, J.; Moon, J.H.; Kim, J. Impedance Control of Human Ankle Joint With Electrically Stimulated Antagonistic Muscle Co-Contraction. IEEE Trans. Neural Syst. Rehabil. Eng. 2021, 29, 1593–1603. [Google Scholar] [CrossRef]
  15. Rosado, W.M.A.; Ortega, A.B.; Valde, L.G.V.; Ascencio, J.R.; Beltra, C.D.G. Active Rehabilitation Exercises With a Parallel Structure Ankle Rehabilitation Prototype. IEEE Lat. Am. Trans. 2017, 15, 786–794. [Google Scholar] [CrossRef]
  16. Roy, A.; Forrester, L.W.; Macko, R.F. Short-term ankle motor performance with ankle robotics training in chronic hemiparetic stroke. J. Rehabil. Res. Dev. 2011, 48, 417–430. [Google Scholar] [CrossRef] [PubMed]
  17. Gonçalves, A.C.B.F.; Santos, W.M.D.; Consoni, L.J.; Siqueira, A.A.G. Serious games for assessment and rehabilitation of ankle movements. In Proceedings of the SeGAH 2014—IEEE 3rd International Conference on Serious Games and Applications for Health, Books of Proceedings, Rio de Janeiro, Brazil, 14–16 May 2014. [Google Scholar] [CrossRef]
  18. Perez-Ibarra, J.C.; Siqueira, A.A.G.; Krebs, H.I. Assist-As-needed ankle rehabilitation based on adaptive impedance control. In Proceedings of the IEEE International Conference on Rehabilitation Robotics, Singapore, 11–14 August 2015; pp. 723–728. [Google Scholar] [CrossRef]
  19. Gobron, S.C.; Zannini, N.; Wenk, N.; Schmitt, C.; Charrotton, Y.; Fauquex, A.; Lauria, M.; Degache, F.; Frischknecht, R. Serious games for rehabilitation using Head-Mounted display and haptic devices. In Lecture Notes in Computer Science (Including Subseries Lecture Notes in Artificial Intelligence and Lecture Notes in Bioinformatics); Springer: Cham, Switzerland, 2015; pp. 199–219. [Google Scholar] [CrossRef]
  20. Ren, Y.; Wu, Y.N.; Yang, C.Y.; Xu, T.; Harvey, R.L.; Zhang, L.Q. Developing a Wearable Ankle Rehabilitation Robotic Device for in-Bed Acute Stroke Rehabilitation. IEEE Trans. Neural Syst. Rehabil. Eng. 2017, 25, 589–596. [Google Scholar] [CrossRef] [PubMed]
  21. Zhou, H.; Ma, S.; Wang, G.; Deng, Y.; Liu, Z. A hybrid control strategy for grinding and polishing robot based on adaptive impedance control. Adv. Mech. Eng. 2021, 13, 1–21. [Google Scholar] [CrossRef]
  22. Piñon, O.I.C.; Ortega, A.B.; Salazar, A.M.; Medina, M.A.; Amezcua, R.C. Review on Serious Games for Ankle Rehabilitation. Tecnol. Cienc. Appl. 2024, 7, 162–167. [Google Scholar]
  23. Pino, A.; Gomez, D.; Múnera, M.; Carlos, A.C. Visual Feedback Strategy Based on Serious Games for Therapy with T-FLEX Ankle Exoskeleton. Biosyst. Biorobot. 2022, 27, 467–472. [Google Scholar] [CrossRef]
  24. Covaciu, F.; Pisla, A.; Iordan, A.E. Development of a virtual reality simulator for an intelligent robotic system used in ankle rehabilitation. Sensors 2021, 21, 1537. [Google Scholar] [CrossRef]
  25. Ferreira, D.R.; Baptista, C.K.; Rodrigues, B.d.S.; Siqueira, B.C.; Blascovi-Assis, S.M.; Corrêa, A.G. Development and Test of a Serious Game for Dorsiflexion and Plantarflexion Exercises of the Feet. J. Interact. Syst. 2021, 12, 58–68. [Google Scholar] [CrossRef]
  26. Pino, A.; Gomez-Vargas, D.; Garzon, A.; Roberti, F.; Carelli, R.; Munera, M.; Cifuentes, C.A. Mirror-Based Robotic Therapy for Ankle Recovery with a Serious Game: A Case Study with a Neurological Patient. In Proceedings of the IEEE International Conference on Rehabilitation Robotics, Rotterdam, The Netherlands, 25–29 July 2022. [Google Scholar] [CrossRef]
  27. Galli, J.; Baranyi, R.; Hoelbling, D.; Pinter, K.; Aigner, C.; Hörner, W.; Grechenig, T. Prevention and Rehabilitation Gaming Support for Ankle Injuries Usable by Semi-Professional Athletes Using Commercial Off-the-Shelf Sensors. Appl. Sci. 2023, 13, 9193. [Google Scholar] [CrossRef]
  28. Tsoi, Y.H.; Xie, S.Q. Design and control of a parallel robot for ankle rehabilitation. Int. J. Intell. Syst. Technol. Appl. 2010, 8, 100. [Google Scholar] [CrossRef]
  29. Roy, A.; Krebs, H.; Williams, D.; Bever, C. Robot-Aided Neurorehabilitation: A Novel Robot for Ankle Rehabilitation. IEEE Trans. Robot. 2009, 25, 569–582. [Google Scholar] [CrossRef]
  30. Ortega, A.B.; Rivera, H.R.A.; Valdés, L.G.V.; Bautista, R.F.V. Máquina de Rehabilitación de Tobillo: Prototipo virtual y físico. In Proceedings of the X Congreso Internacional sobre Innovación y Desarrollo Tecnológico CIINDET 2013, Cuernavaca Morelos, Mexico, 13–15 March 2013; p. 7. [Google Scholar]
  31. Blanco-Figueroa, S.; Abúndez-Pliego, A.; Blanco-Ortega, A.; De Jesús-Ramírez, F.; de la Cruz, Y.L. Diseño, construcción y control de un novedoso dispositivo de rehabilitación de tobillo. Rev. Cienc. Tecnol. 2024, 7, e359. [Google Scholar] [CrossRef]
  32. Payne, K.A.; Berg, K.; Latin, R.W. Ankle injuries and ankle strength, flexibility, and proprioception in college basketball players. J. Athl. Train. 1997, 32, 221–225. [Google Scholar] [PubMed]
  33. Guillén-Rogel, P.; Emeterio, C.S.; Marín, P.J. Associations between ankle dorsiflexion range of motion and foot and ankle strength in young adults. J. Phys. Ther. Sci. 2017, 29, 1363–1367. [Google Scholar] [CrossRef]
Figure 1. Ankle joint movements.
Figure 1. Ankle joint movements.
Computation 13 00007 g001
Figure 2. The main components of the 2-DOF rehabilitation machine.
Figure 2. The main components of the 2-DOF rehabilitation machine.
Computation 13 00007 g002
Figure 3. Dynamic model of the human ankle.
Figure 3. Dynamic model of the human ankle.
Computation 13 00007 g003
Figure 4. Free-body diagram of the rehabilitation machine: (a) working area; (b) parameters and dynamic factors.
Figure 4. Free-body diagram of the rehabilitation machine: (a) working area; (b) parameters and dynamic factors.
Computation 13 00007 g004
Figure 5. Virtual prototype of the 2-DOF rehabilitation machine in the MSC Adams environment: (a) joints and connections; (b) representation of the virtual forces applied.
Figure 5. Virtual prototype of the 2-DOF rehabilitation machine in the MSC Adams environment: (a) joints and connections; (b) representation of the virtual forces applied.
Computation 13 00007 g005
Figure 6. Simulation responses with the virtual prototype for the dorsiflexion/plantar flexion movement applying a force of 5 N.
Figure 6. Simulation responses with the virtual prototype for the dorsiflexion/plantar flexion movement applying a force of 5 N.
Computation 13 00007 g006
Figure 7. Simulation responses with the virtual prototype for dorsiflexion/plantarflexion movement applying a force of 20 N.
Figure 7. Simulation responses with the virtual prototype for dorsiflexion/plantarflexion movement applying a force of 20 N.
Computation 13 00007 g007
Figure 8. Simulation responses with the virtual prototype for dorsiflexion/plantarflexion movement applying a force of 40 N.
Figure 8. Simulation responses with the virtual prototype for dorsiflexion/plantarflexion movement applying a force of 40 N.
Computation 13 00007 g008
Figure 9. Simulation responses with the virtual prototype for abduction/adduction movement applying a force of 5 N.
Figure 9. Simulation responses with the virtual prototype for abduction/adduction movement applying a force of 5 N.
Computation 13 00007 g009
Figure 10. Simulation responses with the virtual prototype for abduction/adduction movement applying a force of 20 N.
Figure 10. Simulation responses with the virtual prototype for abduction/adduction movement applying a force of 20 N.
Computation 13 00007 g010
Figure 11. Simulation responses with the virtual prototype for abduction/adduction movement applying a force of 40 N.
Figure 11. Simulation responses with the virtual prototype for abduction/adduction movement applying a force of 40 N.
Computation 13 00007 g011
Table 2. Ankle range of motion [28].
Table 2. Ankle range of motion [28].
Movement AxisType of MovementMaximum Allowed Range of Motion
XInversion 18.25° ± 3.75°
Eversion13.5° ± 3.5°
YDorsiflexion25.05° ± 4.75°
Plantarflexion41.7° ± 4.1°
ZAbduction20.65° ± 5.25°
Adduction29° ± 7°
Table 3. Proposed impedance controls.
Table 3. Proposed impedance controls.
AssignmentReferenceImpedance Control
H-Z[8,11] M m e ¨ + B M e ˙ + K m e = F e
P-W[15,18] K m e B m ( θ ) = F e
W[15] k p θ d θ + k d θ ˙ d θ ˙ F p d 2 F p tan β d 3 + k l 2 β = F e
Table 4. Comparison between impedance controllers.
Table 4. Comparison between impedance controllers.
CharacteristicsImpedance Controllers
H-ZP-WW
Simplicity HighHighLow
Precision in complex systemsLowMediumHigh
Robustness to disturbancesHighMediumHigh
Computational requirementsMediumLowHigh
Application in rehabilitation systemsSuitable for simple and relatively slow movementsIdeal for slow movementsFor complex and dynamic movements.
Table 5. Ankle force for dorsiflexion/plantarflexion movements.
Table 5. Ankle force for dorsiflexion/plantarflexion movements.
MovementForce at 30°/s (Nm) MenWomen
PlantarflexionMinimum 47.846.8
Medium 75.062.15
Maximum104.276.5
DorsiflexionMinimum 33.224.6
Medium 44.9531.3
Maximum47.840.1
Table 6. Comparison of impedance controls for Df/Pf motion.
Table 6. Comparison of impedance controls for Df/Pf motion.
Tests   at   20 ° ± 1 ° Applied Forces (N)Inertia M
( k g m 2 )
Damping B
(Ns/m)
Stiffness K
( N m 2 )
K.E. Df/Pf
(Nm)
Humberto
and Zhang (H-Z)
514300.0031
201141000.0089
401251800.0149
Perez and Wilbert 1
(P-W)
5-4250.0065
20-12850.018
40-181700.034
Wilbert 2
(W)
5kp = 22kd = 5k = 2.30.0056
20kp = 80kd = 15k = 9.50.0129
40kp = 150kd d = 25k = 190.0227
Table 7. Comparison of impedance controls for Ad/Ab motion.
Table 7. Comparison of impedance controls for Ad/Ab motion.
Tests   at   15 ° ± 1 ° Applied Force (N)Inertia M
( b )
Damping B
(Ns/m)
Stiffness K
( N m 2 )
K.E. Ad/Ab
(Nm)
K.E. Df/Pf
(Nm)
Humberto
and Zhang (H-Z)
518400.00198.8 × 10−4
201251500.0060.0027
401353000.01240.0056
Perez and Wilbert 1
(P-W)
5-12300.00194 × 10−4
20-201500.00880.004
40-303000.01680.0076
Wilbert 2
(W)
5kp = 24kd = 15k = 2.60.00167.3 × 10−4
20kp = 110kd = 40k = 10.20.00450.0021
40kp = 240kd = 50k = 20.50.01040.0047
Disclaimer/Publisher’s Note: The statements, opinions and data contained in all publications are solely those of the individual author(s) and contributor(s) and not of MDPI and/or the editor(s). MDPI and/or the editor(s) disclaim responsibility for any injury to people or property resulting from any ideas, methods, instructions or products referred to in the content.

Share and Cite

MDPI and ACS Style

Cirilo-Piñon, O.I.; Barrera-Sánchez, A.; Guzmán-Valdivia, C.H.; Adam-Medina, M.; Campos-Amezcua, R.; Blanco-Ortega, A.; Martínez-Mata, A. Impedance Controller Analysis for a Two-Degrees-Of-Freedom Ankle Rehabilitation Machine with Serious Game Interactions. Computation 2025, 13, 7. https://doi.org/10.3390/computation13010007

AMA Style

Cirilo-Piñon OI, Barrera-Sánchez A, Guzmán-Valdivia CH, Adam-Medina M, Campos-Amezcua R, Blanco-Ortega A, Martínez-Mata A. Impedance Controller Analysis for a Two-Degrees-Of-Freedom Ankle Rehabilitation Machine with Serious Game Interactions. Computation. 2025; 13(1):7. https://doi.org/10.3390/computation13010007

Chicago/Turabian Style

Cirilo-Piñon, Oscar I., Agustín Barrera-Sánchez, Cesar H. Guzmán-Valdivia, Manuel Adam-Medina, Rafael Campos-Amezcua, Andrés Blanco-Ortega, and Arturo Martínez-Mata. 2025. "Impedance Controller Analysis for a Two-Degrees-Of-Freedom Ankle Rehabilitation Machine with Serious Game Interactions" Computation 13, no. 1: 7. https://doi.org/10.3390/computation13010007

APA Style

Cirilo-Piñon, O. I., Barrera-Sánchez, A., Guzmán-Valdivia, C. H., Adam-Medina, M., Campos-Amezcua, R., Blanco-Ortega, A., & Martínez-Mata, A. (2025). Impedance Controller Analysis for a Two-Degrees-Of-Freedom Ankle Rehabilitation Machine with Serious Game Interactions. Computation, 13(1), 7. https://doi.org/10.3390/computation13010007

Note that from the first issue of 2016, this journal uses article numbers instead of page numbers. See further details here.

Article Metrics

Back to TopTop