Advancements in Predictive Analytics: Machine Learning Approaches to Estimating Length of Stay and Mortality in Sepsis
Abstract
1. Introduction
2. Background
2.1. Medical Background
2.2. Healthcare-Associated Infections and Economic Impact
2.3. Technical Background
3. Methodology
3.1. Data Sources Description
3.2. Data Preprocessing
3.3. Machine Learning Pipeline
3.4. Training Models
- ‘CalibratedClassifierCV(LinearDiscriminantAnalysis())’: Linear Discriminant Analysis (LDA) is a classifier with a linear decision boundary, generated by fitting class-conditional densities to the data and using Bayes’ rule. The model fits a Gaussian density to each class. ‘CalibratedClassifierCV’ is a probability calibration with isotonic regression or sigmoid.
- ‘CalibratedClassifierCV(QuadraticDiscriminantAnalysis())’: Similar to LDA, but Quadratic Discriminant Analysis (QDA) allows for the decision boundary to be quadratic.
- ‘DecisionTreeClassifier()’: A decision tree classifier builds a model in the form of a tree structure, making decisions based on feature values.
- ‘ExtraTreeClassifier()’: An extremely randomized tree classifier, this algorithm randomizes certain decisions and thresholds more than a regular decision tree, adding additional randomness to the model.
- ‘DummyClassifier()’: This is a classifier that makes predictions using simple rules, and is useful as a simple baseline to compare with other (real) classifiers.
- ‘RandomForestClassifier()’: A forest of randomized decision trees, often yielding highly accurate predictions.
- ‘BaggingClassifier()’: Bagging (Bootstrap Aggregating) is a way to decrease the variance of the prediction by generating additional data for training from the dataset using combinations with repetitions to produce multisets of the same size as the original.
- ‘ExtraTreesClassifier()’: Extra Trees is like a Random Forest in that it builds multiple trees and splits nodes using random subsets of features, but with two key differences: it does not bootstrap observations (meaning it samples without replacement), and nodes are split on random splits, not the best splits.
- ‘AdaBoostClassifier()’: The core principle of AdaBoost is to fit a sequence of weak learners (i.e., models that are only slightly better than random guessing) on repeatedly modified versions of the data.
- ‘GradientBoostingClassifier()’: Gradient Boosting builds an additive model in a forward stage-wise fashion; it allows for the optimization of arbitrary differentiable loss functions.
- ‘LogisticRegression()’: Logistic regression, despite its name, is a linear model for classification rather than regression. It is also used in the last layer of Neural Network models.
- ‘SGDClassifier()’: Linear classifiers (SVMs, logistic regression, etc.) with SGD training. SGD stands for Stochastic Gradient Descent: the gradient of the loss is estimated one sample at a time, and the model is updated along the way with a decreasing strength schedule (also known as the learning rate).
- ‘RidgeClassifier()’: A classifier using Ridge regression. This classifier first converts the target values into {−1, 1} and then treats the problem as a regression task (multi-output regression in the multi-class case).
- ‘RidgeClassifierCV()’: Ridge classifier with built-in cross-validation.
- ‘PassiveAggressiveClassifier()’: Passive Aggressive algorithms are online learning algorithms. Such an algorithm remains passive for a correct classification outcome, and turns aggressive in the event of a miscalculation, updating and adjusting.
- ‘LogisticRegressionCV()’: Logistic regression CV (Cross-validation) classifier.
- ‘Perceptron()’: The Perceptron is another simple classification algorithm suitable for large-scale learning.
- ‘BernoulliNB()’: Naive Bayes classifier for multivariate Bernoulli models.
- ‘GaussianNB()’: Gaussian Naive Bayes (GaussianNB) classifier. Can perform online updates to model parameters via the ‘partial_fit’ method (for details on algorithms used to update feature means and variance online, see Stanford CS tech report STAN-CS-79-773).
- ‘KNeighborsClassifier()’: Classifier implementing the k-nearest neighbors vote.
- ‘NearestCentroid()’: Nearest Centroid is a simple algorithm representing each class by the centroid of its members. It also has no parameters to choose, making it a good baseline classifier.
- ‘MLPClassifier()’: Multi-layer Perceptron classifier. This model optimizes the log-loss function using LBFGS or stochastic gradient descent.
- ‘LabelPropagation()’: Label Propagation classifier is a semi-supervised learning method that propagates labels from the labeled to the unlabeled data.
- ‘SVC(probability = True)’: C-Support Vector Classification. Its implementation is based on libsvm. The fit time complexity is more than quadratic with the number of samples, which makes it hard to scale to datasets with more than 20,000 samples.
- ‘LinearSVC()’: Linear Support Vector Classification. Similar to SVC with parameter kernel = ’linear’, but implemented in terms of liblinear rather than libsvm, so it has more flexibility in its choice of penalties and loss functions and should scale better to large numbers of samples.
3.5. Model Evaluation and Comparative Analysis
4. Results
4.1. Length of Stay Prediction
4.2. Mortality Prediction
4.3. LOS Feature Importance
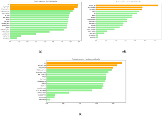
4.4. Mortality Feature Importance
5. Discussion
6. Future Research and Conclusions
Author Contributions
Funding
Data Availability Statement
Conflicts of Interest
Appendix A




References
- Guarino, M.; Perna, B.; Cesaro, A.E.; Maritati, M. 2023 update on sepsis and septic shock in adult patients: Management in the emergency department. J. Clin. Med. 2023, 12, 3188. [Google Scholar] [CrossRef]
- Duncan, C.F.; Youngstein, T.; Kirrane, M.D. Diagnostic challenges in sepsis. Curr. Infect. Dis. Rep. 2021, 23, 65. [Google Scholar] [CrossRef] [PubMed]
- Chalupka, A.N.; Talmor, D. The economics of sepsis. Crit. Care Clin. 2012, 28, 57–76. [Google Scholar] [CrossRef] [PubMed]
- Tsoukalas, A.; Albertson, T.; Tagkopoulos, I. From data to optimal decision making: A data-driven, probabilistic machine learning approach to decision support for patients with sepsis. JMIR Med. Inform. 2015, 3, e3445. [Google Scholar] [CrossRef] [PubMed]
- Martin, A.B.; Hartman, M.; Benson, J.; Catlin, A.; The National Health Expenditure Accounts Team. National Health Spending In 2014: Faster Growth Driven By Coverage Expansion And Prescription Drug Spending. Health Aff. 2016, 35, 150–160. [Google Scholar] [CrossRef] [PubMed]
- Paoli, C.J.; Reynolds, M.A.; Sinha, M.; Gitlin, M.; Crouser, E. Epidemiology and Costs of Sepsis in the United States—An Analysis Based on Timing of Diagnosis and Severity Level*. Crit. Care Med. 2018, 46, 1889. [Google Scholar] [CrossRef] [PubMed]
- Kulick, D.; Vaghela, S.; Bina, E. Sepsis Poses a Cost-Containment Challenge in the Face of the COVID-19 Pandemic. Healthcare Financial Management Association (HFMA). 20 July 2020. Available online: https://www.hfma.org/topics/financial-sustainability/article/sepsis-poses-a-cost-containment-challenge-in-the-face-of-the-cov.html (accessed on 19 July 2023).
- European Centre for Disease Prevention and Control. Healthcare-associated infections: Surgical site infections. In ECDC. Annual Epidemiological Report for 2016; ECDC: Stockholm, Sweden, 2018. [Google Scholar]
- François, P.; Crémilleux, B.; Robert, C.; Demongeot, J. Meninge: A medical consultation system for child meningitis. Artif. Intell. Med. 1992, 4, 19–30. [Google Scholar] [CrossRef]
- François, P.; Robert, C.; Crémilleux, B.; Bucharles, C.; Demongeot, J. Variables processing in expert system building: Application to the aetiological diagnosis of infantile meningitis. Med. Inform. 1990, 15, 115–124. [Google Scholar] [CrossRef] [PubMed]
- Fleuren, L.M.; Klausch, T.L.; Zwager, C.L.; Schoonmade, L.J.; Guo, T.; Roggeveen, L.F.; Swart, E.L.; Girbes, A.R.J.; Thoral, P.; Ercole, A.; et al. Machine learning for the prediction of sepsis: A systematic review and meta-analysis of diagnostic test accuracy. Intensive Care Med. 2020, 46, 383–400. [Google Scholar] [CrossRef] [PubMed]
- Khalfallah, H.B.; Jelassi, M.; Demongeot, J.; Saoud, N.B.B. Decision support systems in healthcare: Systematic review, meta-analysis and prediction, with example of COVID-19. AIMS Bioeng. 2023, 10, 27–52. [Google Scholar] [CrossRef]
- Iwase, S.; Nakada, T.A.; Shimada, T.; Oami, T.; Shimazui, T.; Takahashi, N.; Yamabe, J.; Yamao, Y.; Kawakami, E. Prediction algorithm for ICU mortality and length of stay using machine learning. Sci. Rep. 2022, 12, 12912. [Google Scholar] [CrossRef] [PubMed]











| State | Feature |
|---|---|
| No SIRS | Normal state |
| SIRS | - Heart rate (HR) > 90 beats per minute - Respiratory rate (RR) > 20 beats per minute (or partial pressure of arterial CO2 < 32) - Temperature either >38 °C or <36 °C - White blood cell count (WBC) either >12,000 or <4000 cells/mm3 (or >bands) |
| Sepsis | - SIRS and Infection (blood test result) |
| Severe Sepsis | - Sepsis and organ failure (shown in ICL code) |
| Septic Shock | - Sepsis and hypotension (systolic blood pressure (SBP) is below 90 mm Hg, below 40 mm Hg, below baseline, or the mean arterial pressure (MAP) is below 70 mm Hg) |
| PS | - No infection—no vitals to determine SIRS |
| Bacteremia | - Infection (blood test result) and no SIRS |
| BPS | - Infection—no vitals to determine SIRS (thus sepsis) |
| PSS | - Hypotension, positive blood test, and no vitals to determine SIRS (thus sepsis) |
Disclaimer/Publisher’s Note: The statements, opinions and data contained in all publications are solely those of the individual author(s) and contributor(s) and not of MDPI and/or the editor(s). MDPI and/or the editor(s) disclaim responsibility for any injury to people or property resulting from any ideas, methods, instructions or products referred to in the content. |
© 2025 by the authors. Licensee MDPI, Basel, Switzerland. This article is an open access article distributed under the terms and conditions of the Creative Commons Attribution (CC BY) license (https://creativecommons.org/licenses/by/4.0/).
Share and Cite
Ben Khalfallah, H.; Jelassi, M.; Demongeot, J.; Bellamine Ben Saoud, N. Advancements in Predictive Analytics: Machine Learning Approaches to Estimating Length of Stay and Mortality in Sepsis. Computation 2025, 13, 8. https://doi.org/10.3390/computation13010008
Ben Khalfallah H, Jelassi M, Demongeot J, Bellamine Ben Saoud N. Advancements in Predictive Analytics: Machine Learning Approaches to Estimating Length of Stay and Mortality in Sepsis. Computation. 2025; 13(1):8. https://doi.org/10.3390/computation13010008
Chicago/Turabian StyleBen Khalfallah, Houssem, Mariem Jelassi, Jacques Demongeot, and Narjès Bellamine Ben Saoud. 2025. "Advancements in Predictive Analytics: Machine Learning Approaches to Estimating Length of Stay and Mortality in Sepsis" Computation 13, no. 1: 8. https://doi.org/10.3390/computation13010008
APA StyleBen Khalfallah, H., Jelassi, M., Demongeot, J., & Bellamine Ben Saoud, N. (2025). Advancements in Predictive Analytics: Machine Learning Approaches to Estimating Length of Stay and Mortality in Sepsis. Computation, 13(1), 8. https://doi.org/10.3390/computation13010008

