A Complex Religion Approach to the Differing Impact of Education on Black and White Religious Group Members’ Political Views
Abstract
1. Research on Race, Education, Religion and Politics
Whatever their feelings about abortion or evolution or homosexuality, [Black Christians] still vote in overwhelming numbers for Democratic candidates. Thus, while 52% of lower-income, White, Conservative Protestants voted Democratic in the 1990s, 90% of lower-income Afro-American Protestants did... Race, therefore, interacts with and ultimately reshapes the link between Conservative Protestantism and conservative politics.
1.1. The History of Black Americans’ Political Affiliation
1.2. Race and Views on Abortion
1.3. Race and Views on Gay Marriage
1.4. Race and Views on Redistribution
1.5. Disaggregating Diversity within and Outside the Black Church
1.6. Complex Religion
2. Data and Methods
2.1. Dependent Variables
2.2. Independent Variables
2.3. Control Variables
3. Findings
3.1. Abortion
3.2. Gay Marriage
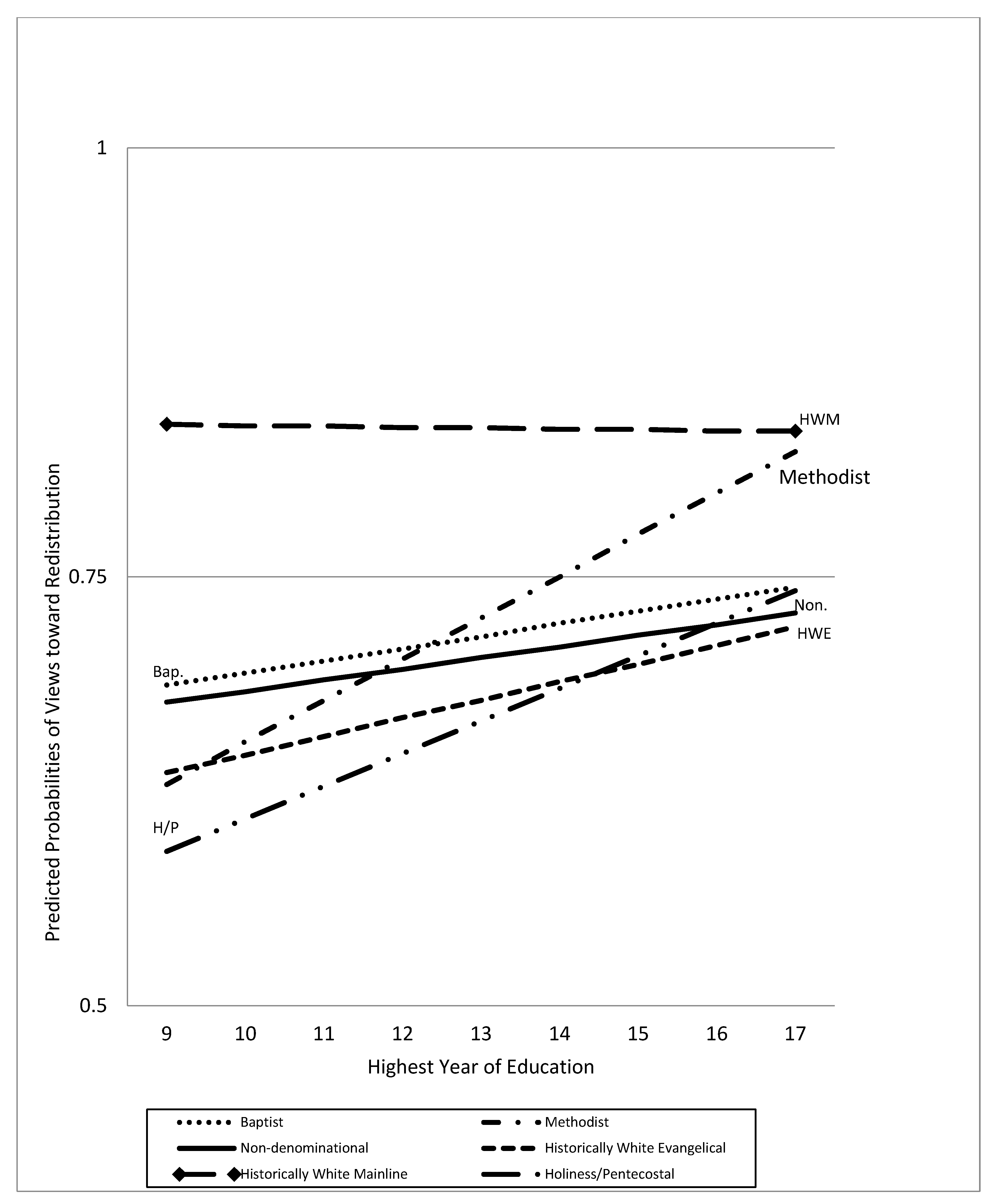
3.3. Redistribution
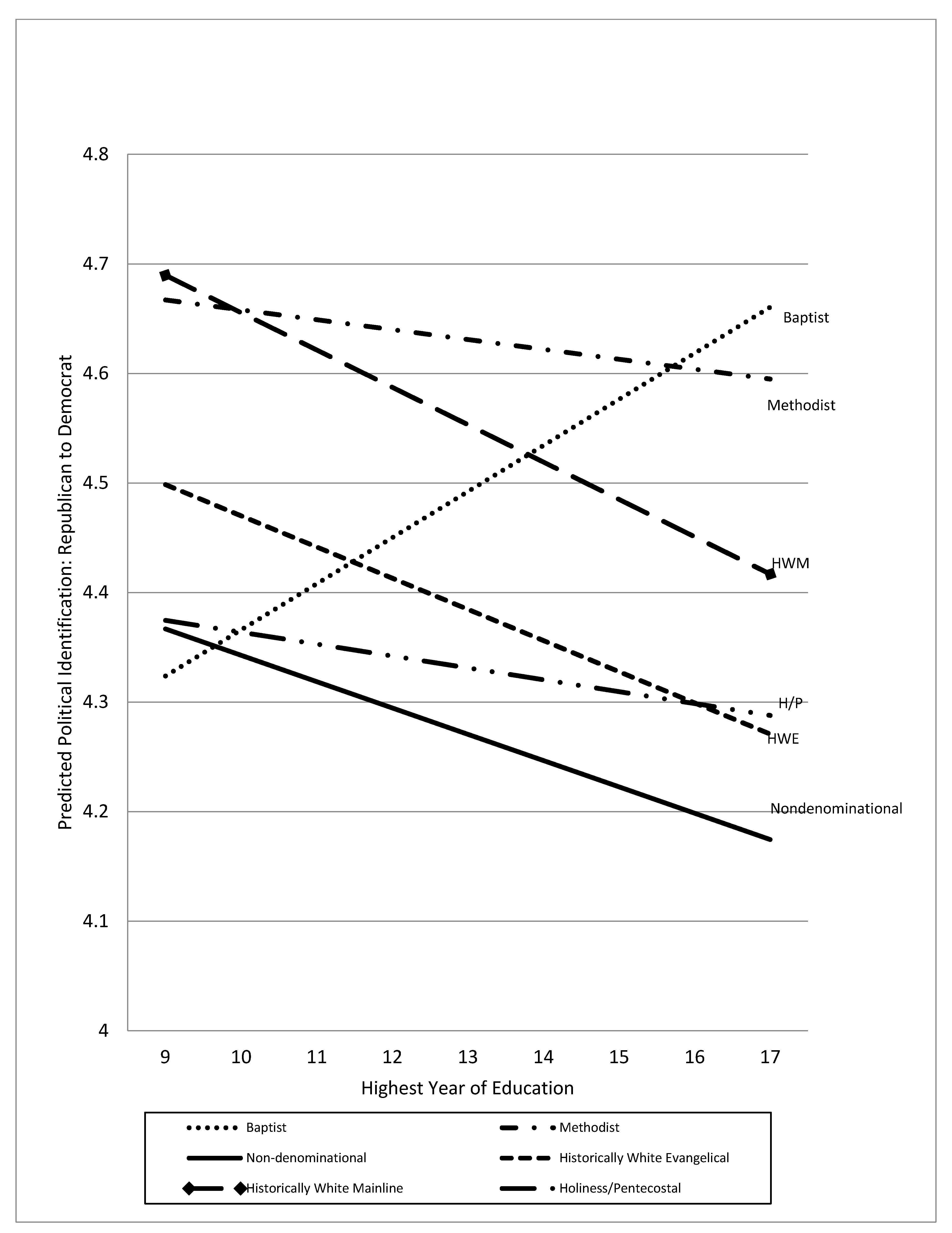
3.4. Political Party Identification
3.5. Differences among Black Protestants
4. Conclusions
Author Contributions
Funding
Acknowledgments
Conflicts of Interest
Appendix A
| Abortion | Gay Marriage | Economic Redistribution | Political Party Identification | |
|---|---|---|---|---|
| White Conservative Protestant | 0.511 *** (0.134) | −0.143 (0.137) | −0.082 (0.065) | −1.192 *** (0.184) |
| White Mainline Protestant | 0.227 (0.139) | −0.704 *** (0.146) | −0.503 *** (0.070) | −2.665 *** (0.206) |
| White Catholic | 0.425 ** (0.139) | −0.072 (0.141) | −0.204 ** (0.068) | −1.172 *** (0.197) |
| White Other Religion | 0.056 (0.183) | −0.450 * (0.195) | −0.336 *** (0.095) | −2.655 *** (0.292) |
| White No Religion | 0.380 ** (0.137) | −0.217 (0.138) | −0.513 *** (0.068) | −2.757 *** (0.186) |
| Black Catholic | −0.133 (0.402) | 0.425 (0.394) | −0.192 (0.185) | 0.100 (0.510) |
| Black Other Religion | −0.912 (0.469) | −0.527 (0.530) | 0.066 (0.241) | −0.704 (0.644) |
| Black No Religion | −0.148 (0.307) | −0.510 (0.291) | −0.160 (0.128) | −0.922 ** (0.334) |
| Education | 0.089 *** (0.008) | 0.044 *** (0.009) | 0.010 * (0.004) | 0.011 (0.010) |
| White Conservative Protestant × Education | −0.068 *** (0.009) | −0.011 (0.010) | −0.021 *** (0.005) | −0.075 *** (0.013) |
| White Mainline Protestant × Education | −0.017 (0.010) | 0.069 *** (0.010) | 0.017 *** (0.005) | 0.064 *** (0.014) |
| White Catholic × Education | −0.049 *** (0.010) | 0.023 * (0.010) | −0.004 (0.005) | −0.034 * (0.014) |
| White Other Religion × Education | −0.010 (0.012) | 0.045 *** (0.013) | 0.010 (0.006) | 0.076 *** (0.020) |
| White No Religion × Education | −0.023 * (0.009) | 0.047 *** (0.010) | 0.026 *** (0.005) | 0.107 *** (0.013) |
| Black Catholic × Education | 0.012 (0.027) | −0.013 (0.027) | 0.008 (0.013) | −0.020 (0.036) |
| Black Other Religion × Education | 0.053 (0.034) | 0.024 (0.038) | −0.010 (0.017) | 0.019 (0.046) |
| Black No Religion × Education | 0.003 (0.022) | 0.040 (0.021) | 0.008 (0.009) | 0.031 (0.024) |
| R2 (%) | 22.97 | 32.07 | 8.79 | 20.24 |
| Observations | 27,100 | 26,282 | 26,677 | 26,251 |
| Abortion | Gay Marriage | Economic Redistribution | Political Party Identification | |
|---|---|---|---|---|
| Black Methodist | 1.279 ** (0.409) | −0.116 (0.432) | −0.213 (0.206) | 0.803 * (0.401) |
| Black Non-denominational | 0.303 (0.364) | −0.030 (0.372) | −0.006 (0.174) | 0.638 (0.433) |
| Black Historically White Evangelical Protestant | 0.537 (0.565) | −0.326 (0.589) | −0.084 (0.274) | 0.810 (0.741) |
| Black Historically White Mainline Protestant | 0.071 (0.539) | −0.607 (0.614) | 0.219 (0.214) | 1.051 (0.589) |
| Black Holiness/Pentecostal | 0.495 (0.367) | 0.401 (0.310) | −0.205 (0.167) | 0.527 (0.430) |
| Education | 0.111 *** (0.012) | 0.053 *** (0.012) | 0.007 (0.005) | 0.042 ** (0.013) |
| Black Methodist × Education | −0.081 ** (0.028) | 0.015 (0.030) | 0.017 (0.014) | −0.051 (0.028) |
| Black Non-denominational × Education | −0.039 (0.025) | −0.013 (0.026) | −0.001 (0.012) | −0.066 * (0.030) |
| Black Historically White Evangelical Protestant × Education | −0.060 (0.040) | −0.007 (0.043) | 0.004 (0.019) | −0.071 (0.053) |
| Black Historically White Mainline Protestant × Education | −0.002 (0.035) | 0.055 (0.040) | −0.008 (0.014) | −0.076 (0.041) |
| Black Holiness/Pentecostal × Education | −0.065 * (0.026) | −0.066 ** (0.022) | 0.012 (0.012) | −0.053 (0.031) |
| R2 (%) | 11.40 | 16.35 | 1.98 | 5.67 |
| Observations | 2285 | 2221 | 2279 | 2304 |
| Abortion | Gay Marriage | Economic Redistribution | Political Party Identification | |
|---|---|---|---|---|
| White Conservative Protestant | 0.053 *** (0.010) | 0.064 *** (0.010) | −0.054 *** (0.012) | −0.075 *** (0.011) |
| White Mainline Protestant | 0.145 *** (0.011) | 0.225 *** (0.011) | 0.111 *** (0.012) | 0.093 *** (0.012) |
| White Catholic | 0.087 *** (0.011) | 0.131 *** (0.010) | 0.023 * (0.011) | −0.026 * (0.011) |
| White Other Religion | 0.173 *** (0.020) | 0.193 *** (0.022) | 0.084 *** (0.022) | 0.097 *** (0.019) |
| White No Religion | 0.131 *** (0.011) | 0.212 *** (0.011) | 0.161 *** (0.012) | 0.132 *** (0.009) |
| Black Protestant | 0.189 *** (0.018) | 0.083 *** (0.017) | 0.051 * (0.020) | −0.005 (0.021) |
| Black Catholic | 0.234 *** (0.062) | 0.051 (0.051) | 0.083 (0.058) | −0.018 (0.059) |
| Black Other Religion | 0.318 *** (0.082) | 0.124 (0.082) | −0.002 (0.074) | 0.039 (0.061) |
| Black No Religion | 0.216 *** (0.051) | 0.158 *** (0.039) | 0.094 * (0.043) | 0.033 (0.032) |
| Pseudo R2 (%) | 9.74 | 13.77 | 6.59 | 7.34 |
| Observations | 27,100 | 26,282 | 26,677 | 26,251 |
| Abortion | Gay Marriage | Economic Redistribution | Political Party Identification | |
|---|---|---|---|---|
| Black Baptist | 0.210 *** (0.023) | 0.097 *** (0.023) | 0.036 (0.028) | 0.064 (0.036) |
| Black Methodist | 0.071 (0.053) | 0.129 ** (0.049) | 0.142 (0.079) | −0.013 (0.079) |
| Black Non-denominational | 0.134 *** (0.042) | 0.075 (0.042) | 0.030 (0.052) | −0.065 (0.042) |
| Black Historically White Evangelical Protestant | 0.092 (0.072) | 0.079 (0.082) | 0.048 (0.092) | −0.084 (0.092) |
| Black Historically White Mainline Protestant | 0.196 ** (0.064) | 0.211 ** (0.079) | −0.005 (0.103) | −0.055 (0.091) |
| Black Holiness/Pentecostal | 0.092 * (0.044) | −0.029 (0.041) | 0.092 (0.053) | −0.035 (0.053) |
| Pseudo R2 (%) | 4.45 | 6.44 | 1.74 | 4.48 |
| Observations | 2285 | 2221 | 2279 | 2304 |







References
- Abramowitz, Alan I., and Kyle L. Saunders. 2006. Exploring the Bases of Partisanship in the American Electorate: Social Identity vs. Ideology. Political Research Quarterly 59: 175–87. [Google Scholar] [CrossRef]
- Abramowitz, Alan I., and Kyle L. Saunders. 2008. Is Polarization a Myth? The Journal of Politics 70: 542–55. [Google Scholar] [CrossRef]
- Abramson, Paul R., John Aldrich, Brad Gomez, and David Rohde. 2015. Change and Continuity in the 2012 and 2014 Elections. Thousand Oaks: Sage, CQ Press. [Google Scholar]
- Alesina, Alberto, and Paola Giuliano. 2009. Preferences for Redistribution. Bonn: Institute for the Study of Labor. [Google Scholar]
- Barringer, Mandi Nicole, David A. Gay, and John P. Lynxwiler. 2013. Gender, Religiosity, Spirituality, and Attitudes toward Homosexuality. Sociological Spectrum 33: 240–57. [Google Scholar] [CrossRef]
- Bartkowski, John P., and Helen A. Regis. 2003. Charitable Choices: Religion, Race, and Poverty in the Post-Welfare Era. New York: New York University Press. [Google Scholar]
- Berezin, Mabel. 1997. Politics and Culture: A Less Fissured Terrain. Annual Review of Sociology 23: 361–83. [Google Scholar] [CrossRef]
- Black, Earl, and Merle Black. 1989. Politics and Society in the South. Cambridge: Harvard University Press. [Google Scholar]
- Boggess, Scott, and Carolyn Bradner. 2000. Trends in Adolescent Males’ Abortion Attitudes, 1988–1995: Differences by Race and Ethnicity. Family Planning Perspectives 32: 118–23. [Google Scholar] [CrossRef] [PubMed]
- Bolzendahl, Catherine, and Clem Brooks. 2005. Polarization, Secularization, or Differences as Usual? The Denominational Cleavage in US Social Attitudes since the 1970s. The Sociological Quarterly 46: 47–78. [Google Scholar] [CrossRef]
- Bourdieu, Pierre. 1984. Distinction: A Social Critique of the Judgement of Taste. Cambridge: Harvard University Press. [Google Scholar]
- Brooks, Clem, and Jeff Manza. 1997a. Class Politics and Political Change in the United States, 1952–1992. Social Forces 76: 379–408. [Google Scholar] [CrossRef]
- Brooks, Clem, and Jeff Manza. 1997b. Social Cleavages and Political Alignments: US Presidential Elections, 1960 to 1992. American Sociological Review 62: 937–46. [Google Scholar] [CrossRef]
- Brooks, Clem, Jeff Manza, and Catherine Bolzendahl. 2003. Voting Behavior and Political Sociology: Theories, Debates, and Future Directions. Research in Political Sociology 12: 137–73. [Google Scholar]
- Cantril, Hadley. 1943. Educational and Economic Composition of Religious Groups: An Analysis of Poll Data. American Journal of Sociology 48: 574–79. [Google Scholar] [CrossRef]
- Carmines, Edward G., and James A. Stimson. 1990. Issue Evolution: Race and the Transformation of American Politics. Princeton: Princeton University Press. [Google Scholar]
- Choo, Hae Yeon, and Myra Marx Ferree. 2010. Practicing Intersectionality in Sociological Research: A Critical Analysis of Inclusions, Interactions, and Institutions in the Study of Inequalities. Sociological Theory 28: 129–49. [Google Scholar] [CrossRef]
- Citrin, Jack, Eric Schickler, and John Sides. 2003. What if Everyone Voted? Simulating the Impact of Increased Turnout in Senate Elections. American Journal of Political Science 47: 75–90. [Google Scholar] [CrossRef]
- Cleaver, Eldridge. 1968. Soul on Ice. New York: Dell. [Google Scholar]
- Clydesdale, Timothy T. 1999. Toward Understanding the Role of Bible Beliefs and Higher Education in American Attitudes toward Eradicating Poverty, 1964–1996. Journal for the Scientific Study of Religion 38: 103. [Google Scholar] [CrossRef]
- Cobb, Ryon J., Samuel L. Perry, and Kevin D. Dougherty. 2015. United by Faith? Race/Ethnicity, Congregational Diversity, and Explanations of Racial Inequality. Sociology of Religion 76: 177–98. [Google Scholar] [CrossRef] [PubMed]
- Cohen, Cathy. 1999. The Boundaries of Blackness: AIDS and the Breakdown of Black Politics. Chicago: University of Chicago Press. [Google Scholar]
- Cook, Elizabeth Adell, Ted G. Jelen, and Clyde Wilcox. 1993. Measuring Public Attitudes on Abortion: Methodological and Substantive Considerations. Family Planning Perspectives 25: 118. [Google Scholar] [CrossRef] [PubMed]
- Craig, Barbara Hinkson, and David M. O’Brien. 1993. Abortion and American politics. Chatham: Chatham House. [Google Scholar]
- Dalton, Harlon L. 1989. AIDS in Blackface. Daedalus 118: 205–27. [Google Scholar]
- Darity, William, Jr., Darrick Hamilton, Mark Paul, Alan Aja, Anne Price, Antonio Moore, and Caterina Chiopris. 2018. What We Get Wrong about Closing the Racial Wealth Gap. Durham: Samuel DuBois Cook Center on Social Equity and Insight Center for Community Economic Development. [Google Scholar]
- Darnell, Alfred, and Darren E. Sherkat. 1997. The Impact of Protestant Fundamentalism on Educational Attainment. American Sociological Review 62: 306–15. [Google Scholar] [CrossRef]
- Davis, Angela Yvonne. 1983. Women, Race, and Class. New York: Random House. [Google Scholar]
- Davis, Nancy J., and Robert V. Robinson. 1996a. Are the Rumors of War Exaggerated? Religious Orthodoxy and Moral Progressivism in America. American Journal of Sociology 102: 756–87. [Google Scholar] [CrossRef]
- Davis, Nancy J., and Robert V. Robinson. 1996b. Religious Orthodoxy in American Society: The Myth of a Monolithic Camp. Journal for the Scientific Study of Religion 35: 229–45. [Google Scholar] [CrossRef]
- Dawson, Michael C. 1995. Behind the Mule: Race and Class in African-American Politics. Princeton: Princeton University Press. [Google Scholar]
- Dillon, Michele. 2014. Asynchrony in Attitudes toward Abortion and Gay Rights: The Challenge to Values Alignment. Journal for the Scientific Study of Religion 53: 1–16. [Google Scholar] [CrossRef]
- DiMaggio, Paul, John Evans, and Bethany Bryson. 1996. Have American’s Social Attitudes Become More Polarized? American Journal of Sociology 102: 690–755. [Google Scholar] [CrossRef]
- Edgell, Penny. 2017. An Agenda for Research on American Religion in Light of the 2016 Election. Sociology of Religion 78: 1–8. [Google Scholar] [CrossRef]
- Edgell, Penny, and Eric Tranby. 2007. Religious Influences on Understandings of Racial Inequality in the United States. Social Problems 54: 263–88. [Google Scholar] [CrossRef]
- Egan, Patrick J., and Kenneth S. Sherrill. 2009. California’s Proposition 8: What Happened, and What Does the Future Hold? Washington DC: National Gay and Lesbian Task Force Policy Institute. [Google Scholar]
- Ellison, Christopher G., and Marc A. Musick. 1993. Southern Intolerance: A Fundamentalist Effect? Social Forces 72: 379–98. [Google Scholar] [CrossRef]
- Emerson, Michael O. 1996. Through Tinted Glasses: Religion, Worldviews, and Abortion Attitudes. Journal for the Scientific Study of Religion, 41–55. [Google Scholar] [CrossRef]
- Emerson, Michael O., Christian Smith, and David Sikkink. 1999. Equal in Christ, but Not in the World: White Conservative Protestants and Explanations of Black-White Inequality. Social Problems 46: 398–417. [Google Scholar] [CrossRef]
- Erikson, Robert S. 1995. State Turnout and Presidential Voting a Closer Look. American Politics Quarterly 23: 387–96. [Google Scholar] [CrossRef]
- Erikson, Robert S., and Kent L. Tedin. 2015. American Public Opinion: Its Origins, Content and Impact. New York: Routledge. [Google Scholar]
- Evans, John H. 2002. Polarization in Abortion Attitudes in US Religious Traditions, 1972–1998. Sociological Forum 17: 397–422. [Google Scholar] [CrossRef]
- Fauntroy, Michael K. 2007. Republicans and the Black Vote. Boulder: Lynne Rienner Publishers. [Google Scholar]
- Feagin, Joe R. 1968. Black Catholics in the United States: An Exploratory Analysis. Sociology of Religion 29: 186–92. [Google Scholar] [CrossRef]
- Felson, Jacob, and Heather Kindell. 2007. The Elusive Link between Conservative Protestantism and Conservative Economics. Social Science Research 36: 673–87. [Google Scholar] [CrossRef]
- Fischer, Claude S., Martin Sanchez Jankowski, Samuel R. Lucas, Ann Swidler, and Kim Voss. 1996. Inequality by Design: Cracking the Bell Curve Myth. Princeton: Princeton University Press. [Google Scholar]
- Flanigan, William H., Nancy H. Zingale, Elizabeth A. Theiss-Morse, and Michael W. Wagner. 2014. Political Behavior of the American Electorate. Los Angeles: CQ Press. [Google Scholar]
- Fowler, Robert Booth, Allen D. Hertzke, Laura R. Olson, and Kevin R Den Dulk. 2013. Religion and Politics in America: Faith, Culture, and Strategic Choices. Beijing: Westview Press Incorporated. [Google Scholar]
- Frazier, Edward Franklin. 1974. The Negro Church in America. New York: Schocken Books. [Google Scholar]
- Gay, Claudine. 2014. Knowledge Matters: Policy Cross-Pressures and Black Partisanship. Political Behavior 36: 99–124. [Google Scholar] [CrossRef]
- Gelman, Andrew, David Park, Boris Shor, Joseph Bafumi, and Jeronimo Cortina. 2008. Rich State, Poor State, Red State, Blue State: Why Americans Vote the Way They Do. Princeton: Princeton University Press. [Google Scholar]
- Gilkes, Cheryl Townsend. 1980. The Black Church as a Therapeutic Community: Suggested Areas for Research into the Black Religious Experience. Journal of the Interdenominational Theological Center 8: 29–44. [Google Scholar]
- Glass, Jennifer L., April Sutton, and Scott T. Fitzgerald. 2015. Leaving the Faith: How Religious Switching Changes pathways to Adulthood among Conservative Protestant Youth. Social Currents 2: 126–43. [Google Scholar] [CrossRef] [PubMed]
- Greeley, Andrew M., and Michael Hout. 2006. The Truth about Conservative Christians: What They Think and What They Believe. Chicago: University of Chicago Press. [Google Scholar]
- Green, John Clifford. 2007. The Faith Factor: How Religion Influences American Elections. Santa Barbara: Greenwood Publishing Group. [Google Scholar]
- Green, John C., James L. Guth, and Cleveland R. Fraser. 1991. Apostles and Apostates? Religion and Politics among Party Activists. In The Bible and the Ballot Box. Religion and Politics in the 1988 Election. Edited by James L. Guth and John C. Green. Boulder: Westview Press. [Google Scholar]
- Greenberg, Anna. 2000. The Church and the Revitalization of Politics and Community. Political Science Quarterly 115: 377–94. [Google Scholar] [CrossRef]
- Greene, Beverly. 2007. Homophobia/Heterosexism in Communities of Color. In Communique: Psychological Perspectives on Sexual Orientation and Communities of Color. Washington, DC: American Psychological Association, pp. xxv–xxviii. [Google Scholar]
- Guillaud, Elvire. 2013. Preferences for Redistribution: An Empirical Analysis over 33 Countries. The Journal of Economic Inequality 11: 57–78. [Google Scholar] [CrossRef]
- Guth, James L., Lyman A. Kellstedt, Corwin E. Smidt, and John C. Green. 2006. Religious Influences in the 2004 Presidential Election. Presidential Studies Quarterly 36: 223–42. [Google Scholar] [CrossRef]
- Hall, Elaine J., and Myra Marx Ferree. 1986. Race Differences in Abortion Attitudes. Public Opinion Quarterly 50: 193–207. [Google Scholar] [CrossRef]
- Harris, Fredrick C. 1999. Something Within: Religion in African-American Political Activism. New York: Oxford University Press. [Google Scholar]
- Hayes, Bernadette C. 1995. The Impact of Religious Identification on Political Attitudes: An International Comparison. Sociology of Religion 56: 177–94. [Google Scholar] [CrossRef]
- Hershey, Marjorie Randon. 2017. Party Politics in America. New York: Routledge. [Google Scholar]
- Hinojosa, Victor J., and Jerry Z. Park. 2004. Religion and the Paradox of Racial Inequality Attitudes. Journal for the Scientific Study of Religion 43: 229–38. [Google Scholar] [CrossRef]
- Hosang, Daniel. 2011. Race and the Mythology of California’s Lost Paradise. Boom: A Journal of California 1: 36–49. [Google Scholar] [CrossRef]
- Hunt, Matthew O. 2002. Religion, Race/Ethnicity, and Beliefs about Poverty. Social Science Quarterly 83: 810–31. [Google Scholar] [CrossRef]
- Hunter, James Davison. 1991. Culture wars: The Struggle to Control the Family, Art, Education, Law, and Politics in America. New York: Basic Books. [Google Scholar]
- Hutchings, Vincent L., and Nicholas A. Valentino. 2004. The Centrality of Race in American Politics. Annual Review of Political Science 7: 383–408. [Google Scholar] [CrossRef]
- Hyman, Herbert H., and Charles R. Wright. 1979. Education’s Lasting Influence on Values. The Journal of Higher Education 51: 693. [Google Scholar]
- Inglehart, Ronald. 1977. The Silent Revolution: Changing Values and Political Styles among Western Publics. Princeton: Princeton University Press. [Google Scholar]
- Jamal, Amina. 2005. Transnational feminism as critical practice: A reading of feminist discourses in Pakistan. Meridians 5: 57–82. [Google Scholar] [CrossRef]
- Jelen, Ted G., and Clyde Wilcox. 2003. Causes and Consequences of Public Attitudes toward Abortion: A Review and Research Agenda. Political Research Quarterly 56: 489–500. [Google Scholar] [CrossRef]
- Kao, Grace, and Jennifer S. Thompson. 2003. Racial and Ethnic Stratification in Educational Achievement and Attainment. Annual Review of Sociology 29: 417–42. [Google Scholar] [CrossRef]
- Keely, Louise C., and Chih Ming Tan. 2008. Understanding Preferences for Income Redistribution. Journal of Public Economics 92: 944–61. [Google Scholar] [CrossRef]
- Kellstedt, Lyman A., and John C. Green. 1993. Knowing God’s Many People: Denominational Preference and Political Behavior. In Rediscovering the Religious Factor in American Politics. Armonk: Sharpe, pp. 53–71. [Google Scholar]
- Kiecolt, K. Jill. 1988. Recent Developments in Attitudes and Social Structure. Annual Review of Sociology 14: 381–403. [Google Scholar] [CrossRef]
- Klein, Ethel. 1985. The Gender Gap: Different Issues, Different Answers. The Brookings Review 3: 33–37. [Google Scholar] [CrossRef]
- Kluegel, James R. 1987. Macro-Economic Problems, Beliefs about the Poor and Attitudes toward Welfare Spending. Social Problems 34: 82–99. [Google Scholar] [CrossRef]
- Kohut, Andrew, John C. Green, Scott Keeter, and Robert C. Toth. 2000. The Diminishing Divide: Religion’s Changing Role in American Politics. Washington, DC: Brookings Institution Press. [Google Scholar]
- Lareau, A., and H. Jo. 2017. Commentary: The American Tradition of Inequality: Neighborhoods and Schools. American Educational Research Journal 54 S1: 190S–92S. [Google Scholar] [CrossRef]
- Layman, Geoffrey C. 1997. Religion and Political Behavior in the United States: The Impact of Beliefs, Affiliations, and Commitment from 1980 to 1994. Public Opinion Quarterly 61: 288–316. [Google Scholar] [CrossRef]
- Leege, David C., and Lyman A. Kellstedt. 1993. Rediscovering the Religious Factor in American Politics. Armonk: ME Sharpe Publishers. [Google Scholar]
- Lehrer, Evelyn. 2009. Religion, Economics and Demography: The Effects of Religion on Education, Work, and the Family. New York: Routledge. [Google Scholar]
- Lemelle , Anthony J., Jr., and Juan Battle. 2004. Black Masculinity Matters in Attitudes toward Gay Males. Journal of Homosexuality 47: 39–51. [Google Scholar] [CrossRef] [PubMed]
- Lewis, Gregory B. 2003. Black-White Differences in Attitudes toward Homosexuality and Gay Rights. Public Opinion Quarterly 67: 59–78. [Google Scholar] [CrossRef]
- Lim, Chaeyoon, Carol Ann MacGregor, and Robert D. Putnam. 2010. Secular and Liminal: Discovering Heterogeneity among Religious Nones. Journal for the Scientific Study of Religion 49: 596–618. [Google Scholar] [CrossRef]
- Lincoln, Charles Eric. 1974. The Black Experience in Religion. New York: Anchor Books. [Google Scholar]
- Lincoln, C. Eric, and Lawrence H. Mamiya. 1990. The Black Church in the African American Experience. Durham: Duke University Press. [Google Scholar]
- Loftus, Jeni. 2001. America’s Liberalization in Attitudes toward Homosexuality, 1973 to 1998. American Sociological Review 66: 762–82. [Google Scholar] [CrossRef]
- Loveland, Matthew T. 2003. Religious Switching: Preference Development, Maintenance, and Change. Journal for the Scientific Study of Religion 42: 147–57. [Google Scholar] [CrossRef]
- Lynxwiler, John, and David Gay. 1999. The Impact of Religiosity on Race Variations in Abortion Attitudes. Sociological Spectrum 19: 359–77. [Google Scholar] [CrossRef]
- Manza, Jeff, and Clem Brooks. 1997. The Religious Factor in US Presidential Elections, 1960–1992. American Journal of Sociology 103: 38–81. [Google Scholar] [CrossRef]
- Mayrl, Damon, and Aliya Saperstein. 2013. When White People Report Racial Discrimination: The Role of Region, Religion, and Politics. Social Science Research 42: 742–54. [Google Scholar] [CrossRef]
- McCall, Leslie. 2001. Complex Inequality: Gender, Class, and Race in the New Economy. New York: Routledge. [Google Scholar]
- McDaniel, Eric L. 2008. Politics in the Pews. Ann Arbor: University of Michigan Press. [Google Scholar]
- McDaniel, Eric L., and Christopher G. Ellison. 2008. God’s Party? Race, Religion, and Partisanship over Time. Political Research Quarterly 61: 180–91. [Google Scholar] [CrossRef]
- Miller, Alan S., and John P. Hoffman. 1999. The Growing Divisiveness: Culture Wars or a War of Words? Sociology Forces 78: 721–45. [Google Scholar] [CrossRef]
- Negy, Charles, and Russell Eisenman. 2005. A Comparison of African American and White College Students’ Affective and Attitudinal Reactions to Lesbian, Gay, and Bisexual Individuals: An Exploratory Study. Journal of Sex Research 42: 291–98. [Google Scholar] [CrossRef] [PubMed]
- Nie, Norman H., Sidney Verba, and John R. Petrcik. 1999. The Changing American Voter. San Jose: Harvard University Press. [Google Scholar]
- Ohlander, Julianne, Jeanne Batalova, and Judith Treas. 2005. Explaining Educational Influences on Attitudes toward Homosexual Relations. Social Science Research 34: 781–99. [Google Scholar] [CrossRef]
- Olson, Laura R., Wendy Cadge, and James T. Harrison. 2006. Religion and Public Opinion about Same Sex Marriage. Social Science Quarterly 87: 340–60. [Google Scholar] [CrossRef]
- Omi, Michael, and Howard Winant. 2014. Racial Formation in the United States. New York: Routledge. [Google Scholar]
- Paris, Peter J. 1985. The Social Teaching of the Black Churches. Minneapolis: Fortress Press. [Google Scholar]
- Pattillo-McCoy, Mary. 1998. Black Church Culture as a Community Strategy of Action. Annual Sociology Review 63: 767–84. [Google Scholar] [CrossRef]
- Perry, Ravi K., Yasmiyn Irizarry, and Timothy J. Fair. 2013. Money Changes Everything? African American Class-Based Attitudes toward LGBT Issues. In Living with Class: Philosophical Reflections on Identity and Material Culture. New York: Palgrave Macmillan, pp. 59–77. [Google Scholar]
- Petersen, Larry R. 2001. Religion, Plausibility Structures, and Education’s Effect on Attitudes toward Elective Abortion. Journal for the Scientific Study of Religion 40: 187–204. [Google Scholar] [CrossRef]
- Pew Religious Landscape Study. 2015. About the Religious Landscape Study. Retrieved October 20, 2016. Available online: http://www.pewforum.org/about-the-religious-landscape-study/ (accessed on 30 January 2017).
- Phelan, Jo, Bruce G. Link, Ann Stueve, and Robert E. Moore. 1995. Education, Social Liberalism, and Economic Conservatism: Attitudes toward Homeless People. American Sociological Review 60: 126–40. [Google Scholar] [CrossRef]
- Prickett, Pamela. J. 2015. Negotiating gendered religious space: The particularities of patriarchy in an African American mosque. Gender & Society 29: 51–72. [Google Scholar]
- Pyle, Ralph E. 1993. Faith and Commitment to the Poor: Theological Orientation and Support for Government Assistance Measures. Sociology of Religion 54: 385–401. [Google Scholar] [CrossRef]
- Rayside, David, and Clyde Wilcox. 2012. Faith, Politics, and Sexual Diversity in Canada and the United States. Vancouver: UBC Press. [Google Scholar]
- Rhodes, Jane. 2017. Framing the Black Panthers: The Spectacular Rise of a Black Power Icon. Champaign: University of Illinois Press. [Google Scholar]
- Roberts, Dorothy E. 1999. Killing the Black Body: Race, Reproduction, and the Meaning of Liberty. New York: Vintage Books. [Google Scholar]
- Robinson, Carin. 2006. From Every Tribe and Nation? Blacks and the Christian Right. Social Science Quarterly 87: 591–601. [Google Scholar] [CrossRef]
- Roth, Louise Marie, and Jeffrey C. Kroll. 2007. Risky Business: Assessing Risk Preference Explanations for Gender Differences in Religiosity. American Sociological Review 72: 205–20. [Google Scholar] [CrossRef]
- Schulte, Lisa J., and Juan Battle. 2004. The Relative Importance of Ethnicity and Religion in Predicting Attitudes towards Gays and Lesbians. Journal of Homosexuality 47: 127–42. [Google Scholar] [CrossRef] [PubMed]
- Scott, Jacqueline. 1998. Changing Attitudes to Sexual Morality: A Cross-National Comparison. Sociology 32: 815–45. [Google Scholar] [CrossRef]
- Secret, Philip E. 1987. The Impact of Region on Racial Differences in Attitudes toward Legal Abortion. Journal of Black Studies 17: 347–69. [Google Scholar] [CrossRef]
- Shelton, Jason E., and Ryon J. Cobb. 2017. Black RELTRAD: Measuring Religious Diversity and Commonality among African Americans. Journal for the Scientific Study of Religion 56: 737–64. [Google Scholar] [CrossRef]
- Sherkat, Darren E., and John Wilson. 1995. Preferences, Constraints, and Choices in Religious Markets: An Examination of Religious Switching and Apostasy. Social Forces 73: 993–1026. [Google Scholar] [CrossRef]
- Sherkat, Darren E., Kylan Mattias De Vries, and Stacia Creek. 2010. Race, Religion, and Opposition to Same Sex Marriage. Social Science Quarterly 91: 80–98. [Google Scholar] [CrossRef][Green Version]
- Sherman, Richard B. 1973. The Republican Party and Black America from McKinley to Hoover, 1896–1933. Charlottesville: University of Virginia Press. [Google Scholar]
- Smith, Tom W. 1990. Classifying Protestant Denominations. Review of Religious Research 31: 225–45. [Google Scholar] [CrossRef]
- Solinger, Rickie. 1998. Abortion Wars: A Half Century of Struggle, 1950–2000. Berkeley: University of California Press. [Google Scholar]
- Spence, Lester K. 2015. Knocking Hustle: Against the Neoliberal Turn in Black Politics. Santa Barbara: Punctum Books. [Google Scholar]
- Stampp, Kenneth Milton. 1965. The Era of Reconstruction, 1865–1877. New York: Knopf. [Google Scholar]
- Stanley, Harold W., William T. Bianco, and Richard G. Niemi. 1986. Partisanship and Group Support over Time: A Multivariate Analysis. American Political Science Review 80: 969–76. [Google Scholar] [CrossRef]
- Steensland, Brian, Lynn D. Robinson, W Bradford Wilcox, Jerry Z. Park, Mark D. Regnerus, and Robert D. Woodberry. 2000. The Measure of American Religion: Toward Improving the State of the Art. Social Forces 79: 291–318. [Google Scholar] [CrossRef]
- Strickler, Jennifer, and Nicholas L. Danigelis. 2002. Changing Frameworks in Attitudes toward Abortion. Sociological Forum 17: 187–201. [Google Scholar] [CrossRef]
- Stroope, Samuel. 2011. Education and Religion: Individual, Congregational, and Cross-level Interaction Effects on Biblical Literalism. Social Science Research 40: 1478–93. [Google Scholar] [CrossRef]
- Swanson, Christopher B. 2004. Who Graduates? Who Doesn’t?: A Statistical Portrait of Public High School Graduation, Class of 2001. Washington DC: Urban Institute Education Policy Center Report. [Google Scholar]
- Tate, Katherine. 1994. From Protest to Politics: The New Black Voters in American Elections. Cambridge: Harvard University Press. [Google Scholar]
- Wald, Kenneth D., and Allison Calhoun-Brown. 2014. Religion and Politics in the United States. Lanham: Rowman and Littlefield. [Google Scholar]
- Wald, Kenneth D., Dennis E. Owen, and Samuel S. Hill, Jr. 1989. Evangelical Politics and Status Issues. Journal for the Scientific Study of Religion 28: 1–16. [Google Scholar] [CrossRef]
- Wang, Tova Andrea. 2012. The Politics of Voter Suppression: Defending and Expanding Americans’ Right to Vote. Ithaca: Cornell University Press. [Google Scholar]
- Ward, Elijah G. 2005. Homophobia, Hypermasculinity and the US Black Church. Culture, Health & Sexuality 7: 493–504. [Google Scholar]
- Wayne, Stephen J. 2011. The Road to the White House 2012. Boston: Cengage Learning. [Google Scholar]
- Whitley, Bernard E., Jr., Christopher E. Childs, and Jena B. Collins. 2011. Differences in Black and White American College Students’ Attitudes toward Lesbians and Gay Men. Sex Roles 64: 299–310. [Google Scholar] [CrossRef]
- Wilde, Melissa, and Lindsay Glassman. 2016. How complex religion can improve our understanding of American politics. Annual Review of Sociology 42: 407–25. [Google Scholar] [CrossRef]
- Wilmore, Gayraud S. 1983. Black Religion and Black Radicalism: An Interpretation of the Religious History of Afro-American People. Maryknoll: Orbis Books. [Google Scholar]
- Wirls, Daniel. 1986. Reinterpreting the Gender Gap. Public Opinion Quarterly 50: 316–30. [Google Scholar] [CrossRef]
- Wood, Richard L. 1999. Religious Culture and Political Action. Sociological Theory 17: 307–32. [Google Scholar] [CrossRef]
- Woodberry, Robert D., and Christian S. Smith. 1998. Fundamentalism et al.: Conservative Protestants in America. Annual Review of Sociology 24: 25–56. [Google Scholar] [CrossRef]
- Wuthnow, Robert. 1988. The Restructuring of American Religion: Society and Faith since World War II. Princeton: Princeton University Press. [Google Scholar]
- Young, Michael P. 2002. Confessional Protest: The Religious Birth of US National Social Movements. American Sociological Review 67: 660–88. [Google Scholar] [CrossRef]
- Yukich, Grace. 2013. One Family under God: Immigration Politics and Progressive Religion in America. New York: Oxford University Press. [Google Scholar]
- Zubrzycki, Geneviève. 2006. The Crosses of Auschwitz: Nationalism and Religion in Post-Communist Poland. Chicago: University of Chicago Press. [Google Scholar]
| 1 | We use race as a variable to imply the role of racial group membership within a stratified society, not innate biological or cultural characteristics. |
| 2 | On race and political views see: (Abramowitz and Saunders 2006; Citrin et al. 2003; Erikson 1995; Fowler et al. 2013; Gelman et al. 2008). |
| 3 | On education and political views see: (Bolzendahl and Brooks 2005; Hyman and Wright 1979; Stroope 2011). |
| 4 | On religion and political views see: (Brooks and Manza 1997a; Brooks et al. 2003; Green 2007; Hayes 1995; Kellstedt and Green 1993; Kohut et al. 2000; Lim et al. 2010; Layman 1997; Leege and Kellstedt 1993; Manza and Brooks 1997; Wuthnow 1988). |
| 5 | On education and race see: (Fischer et al. 1996; HoSang 2011; Kao and Thompson 2003; Omi and Winant 2014; Swanson 2004). |
| 6 | On education and religion see: (Cantril 1943; Darnell and Sherkat 1997; Glass et al. 2015; Wuthnow 1988; Wilde and Glassman 2016). |
| 7 | In this paper, we capitalize White and Black to linguistically assert their socially constructed nature. We use Whites and Blacks to refer to individuals’ self-identification as members of politically invented racial groups. |
| 8 | Though we focus here on Black Christian Protestants, who are the focus of most research on race and religion in the United States, it is worth noting that scholars are also examining the intersection of race, class, gender, and religion in non-Christian faiths, especially Islam (Jamal 2005; Prickett 2015). |
| 9 | By necessity, we save for future scholars related topics such as the study of social movements (Wood 1999; Young 2002; Yukich 2013) or political cultures (Berezin 1997) and nationalism (Zubrzycki 2006) and the way they intersect with race, class, and religion. |
| 10 | We run all the models using ordered logistic models and logistic models (for attitudes toward the poor in the following section) to double-check our results. Results are almost the same in significance levels and relative effect size, and thus there are no fundamental differences between OLS models and logit models for our analyses. In addition, we add the results from logit models in the Appendix A so that readers could see and compare these results (Table A3 and Table A4). |
| 11 | We use the term redistribution although the question is more closely aligned with creating equal opportunity and meeting the basic needs of the poor so they can get out of the poverty. |
| 12 | Because of Pew’s large number of cases, the Pew religion categorization scheme is able to separate out distinct groups such as the Mormons and Jehovah’s Witnesses, which sometimes get coded as Conservative Protestants, and sometimes as religious “others,” depending on the religious categorization scheme used. The FUND scale developed by Tom Smith codes them as Conservative Protestants (Smith 1990), whereas Reltrad considers them “others” (Steensland et al. 2000). We initially examined both groups separately, but found that they act largely like Conservative Protestants, so we included them in that category in all analyses reported here. |
| 13 | We interacted attendance with our religion variable to see how the effect of attendance changes across different religious groups. The r-squared for each model were similar to the results of education. Graphs of predicted values available upon request. |
| 14 | All items and scales were recoded so that higher values reflect more progressive views. |
| 15 | Table 2 and the following Table 3 present the effect size of education for each religious group. For the original results from interaction models, please see Table A1 and Table A2 in Appendix A. |
| 16 | Graph points are only displayed for cells with over 10 people. |
| 17 | To increase readability, we have separated the figure by race. For all results consolidated in one figure, please see Appendix A. |
| 18 | This may result from immigration, not merely an education effect. |
| 19 | To increase readability, we begin at 1.75 on the X-axis. All figures in the Appendix A begin at the same point of the X-axis. Please see Figure A5. |












| Mean/Proportion | SD | Min | Max | Frequency | |
|---|---|---|---|---|---|
| Dependent Variables | |||||
| Abortion | 2.586 | 0.995 | 1 | 4 | 32,695 |
| Gay Marriage | 2.633 | 1.074 | 1 | 4 | 31,602 |
| Economic Redistribution | 0.525 | 0.499 | 0 | 1 | 32,155 |
| Political Party Identification | 3.142 | 1.608 | 1 | 5 | 31,335 |
| Key Independent Variables | |||||
| Years of Education | 13.511 | 2.359 | 8 | 18 | 34,025 |
| Nine Category Religion | 28,903 | ||||
| White Conservative Protestant | 0.249 | 7198 | |||
| White Mainline Protestant | 0.160 | 4617 | |||
| White Catholic | 0.183 | 5280 | |||
| White Other Religion | 0.056 | 1604 | |||
| White No Religion | 0.205 | 5916 | |||
| Black Protestant | 0.104 | 2995 | |||
| Black Catholic | 0.009 | 269 | |||
| Black Other Religion | 0.009 | 248 | |||
| Black No Religion | 0.027 | 777 | |||
| Black RelTrad | 2515 | ||||
| Black Baptist | 0.552 | 1388 | |||
| Black Methodist | 0.066 | 165 | |||
| Black Non-denominational | 0.150 | 377 | |||
| Black Historically White Evangelical Protestant | 0.005 | 113 | |||
| Black Historically White Mainline Protestant | 0.005 | 117 | |||
| Black Holiness/Pentecostal | 0.141 | 354 | |||
| Control Variables | |||||
| Religious Attendance | 3.567 | 1.638 | 1 | 6 | 34,008 |
| Age | 5.960 | 3.547 | 1 | 15 | 33,520 |
| Female | 0.516 | 0.500 | 0 | 1 | 34,224 |
| South | 0.373 | 0.484 | 0 | 1 | 34,224 |
| Urban | 0.366 | 0.482 | 0 | 1 | 34,224 |
| Abortion | Gay Marriage | Economic Redistribution | Political Party Identification | |
|---|---|---|---|---|
| White Conservative Protestant | 0.021 *** (0.005) | 0.033 *** (0.005) | −0.011 *** (0.003) | −0.063 *** (0.008) |
| White Mainline Protestant | 0.072 *** (0.004) | 0.113 *** (0.006) | 0.027 *** (0.003) | 0.076 *** (0.010) |
| White Catholic | 0.040 *** (0.005) | 0.067 *** (0.005) | 0.005 (0.003) | −0.022 * (0.009) |
| White Other Religion | 0.079 *** (0.009) | 0.089 *** (0.010) | 0.020 *** (0.005) | 0.088 *** (0.017) |
| White No Religion | 0.066 *** (0.005) | 0.092 *** (0.004) | 0.036 *** (0.003) | 0.118 *** (0.008) |
| Black Protestant | 0.089 *** (0.008) | 0.044 *** (0.015) | 0.010 * (0.004) | 0.011 (0.010) |
| Black Catholic | 0.101 *** (0.026) | 0.031 (0.026) | 0.018 (0.012) | −0.009 (0.034) |
| Black Other Religion | 0.142 *** (0.033) | 0.069 (0.037) | −0.000 (0.017) | 0.030 (0.045) |
| Black No Religion | 0.092 *** (0.020) | 0.084 *** (0.190) | 0.018 * (0.008) | 0.042 * (0.021) |
| R2 (%) | 22.97 | 32.07 | 8.79 | 20.24 |
| Observations | 27,100 | 26,282 | 26,677 | 26,251 |
| Abortion | Gay Marriage | Economic Redistribution | Political Party Identification | |
|---|---|---|---|---|
| Black Baptist | 0.111 *** (0.012) | 0.053 *** (0.012) | 0.007 (0.005) | 0.042 ** (0.013) |
| Black Methodist | 0.030 (0.026) | 0.068 * (0.028) | 0.024 (0.013) | −0.009 (0.025) |
| Black Non-denominational | 0.072 *** (0.022) | 0.040 (0.023) | 0.007 (0.011) | −0.024 (0.027) |
| Black Historically White Evangelical Protestant | 0.051 (0.039) | 0.045 (0.041) | 0.011 (0.019) | −0.028 (0.052) |
| Black Historically White Mainline Protestant | 0.109 *** (0.033) | 0.107 ** (0.038) | −0.000 (0.013) | −0.034 (0.039) |
| Black Holiness/Pentecostal | 0.046 * (0.023) | −0.014 (0.018) | 0.019 (0.011) | −0.011 (0.028) |
| R2 (%) | 11.40 | 16.35 | 1.98 | 5.67 |
| Observations | 2285 | 2221 | 2279 | 2304 |
© 2020 by the authors. Licensee MDPI, Basel, Switzerland. This article is an open access article distributed under the terms and conditions of the Creative Commons Attribution (CC BY) license (http://creativecommons.org/licenses/by/4.0/).
Share and Cite
pilgrim, h.; Shen, W.; Wilde, M. A Complex Religion Approach to the Differing Impact of Education on Black and White Religious Group Members’ Political Views. Religions 2020, 11, 477. https://doi.org/10.3390/rel11090477
pilgrim h, Shen W, Wilde M. A Complex Religion Approach to the Differing Impact of Education on Black and White Religious Group Members’ Political Views. Religions. 2020; 11(9):477. https://doi.org/10.3390/rel11090477
Chicago/Turabian Stylepilgrim, haley, Wensong Shen, and Melissa Wilde. 2020. "A Complex Religion Approach to the Differing Impact of Education on Black and White Religious Group Members’ Political Views" Religions 11, no. 9: 477. https://doi.org/10.3390/rel11090477
APA Stylepilgrim, h., Shen, W., & Wilde, M. (2020). A Complex Religion Approach to the Differing Impact of Education on Black and White Religious Group Members’ Political Views. Religions, 11(9), 477. https://doi.org/10.3390/rel11090477
