Wave-Induced Seabed Response around a Dumbbell Cofferdam in Non-Homogeneous Anisotropic Seabed
Abstract
1. Introduction
2. Numerical Model
2.1. Model Description
2.2. Governing Equations
2.2.1. Wave Submodel
2.2.2. Seabed Submodel
2.3. Boundary Conditions
2.3.1. Wave Submodel
- (1)
- The waves are generated at the wave inlet boundary at the position of . The outflow boundary is applied at the wave outlet area at and a sponge layer is adopted to absorb waves to minimize the wave reflection, which can induce the rising or falling of the free water surface during wave propagation simulation.
- (2)
- For the two lateral boundaries ( and ), a zero-gradient condition (symmetric boundary) is applied, which means that the wave can slide freely along the boundary without penetration.
- (3)
- At the bottom of the numerical wave tank (), the wall boundary is adopted to ensure that the velocity of the fluid in the normal direction is zero. At the vertical maximum position of the computational domain (), the static pressure condition is set by using fluid elevation.
- (4)
- At the free water surface, the pressure is set to be equal to the atmospheric pressure, 101 kPa. At the wave–structure boundary, a nonslip condition for velocity is imposed.
2.3.2. Seabed Submodel
- (1)
- At the seabed surface, the vertical effective normal stress and the shear stress vanish and the dynamic pore pressure is equal to the dynamic wave pressure [47]:where wave pressure can be obtained from the wave submodel.
- (2)
- At the bottom of the seabed, an impermeable rigid boundary condition is applied in which the seabed displacements are zero and no vertical flow occurs. This can be expressed as
- (3)
- At the four lateral boundaries of the seabed, the materials are assumed to be impermeable and rigid. Therefore, the horizontal displacements of the four lateral boundaries are set at zero and the normal gradient of the pore-water pressure is zero, which can be expressed as
- (4)
- At the seabed–structure boundary, the normal gradient of the pore pressure is zero at the impermeable and rigid structure surface. Moreover, there is no relative displacement of soil with respect to the structure, as expressed by
2.4. Integration of the Wave and Seabed Submodels
3. Model Validation
- (1)
- Free surface elevation and wave loading in the wave–structure interaction to verify the ability of the present numerical model to simulate turbulence around the structure.
- (2)
- Wave-induced seabed response of a non-homogeneous anisotropic seabed to verify the necessity of considering variable permeability and shear modulus when studying the seabed response.
- (3)
- Seabed oscillatory pore pressure of a non-homogeneous anisotropic seabed to verify the ability of the present numerical model to determine the oscillatory response of a non-homogeneous anisotropic seabed.
3.1. Free Surface Elevation and Wave Loading
3.2. Wave-Induced Seabed Response in Non-Homogeneous Anisotropic Seabed
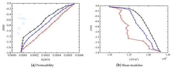
3.3. Oscillatory Pore Pressure of Non-Homogeneous Anisotropic Seabed in the Experiment
4. Results and Discussion
4.1. Hydrodynamic Process Involved in the Wave and Dumbbell Cofferdam Interactions
4.2. Consolidation of the Seabed
4.3. Seabed Pore Pressure within the Non-Homogeneous Anisotropic Seabed around the Dumbbell Cofferdam
4.4. Seabed Liquefaction within the Non-Homogeneous Anisotropic Seabed around the Dumbbell Cofferdam
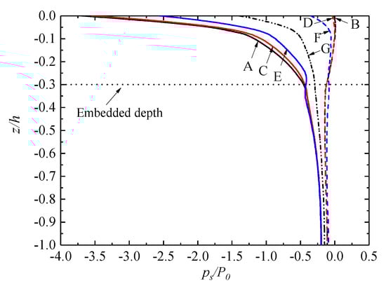
4.5. Parametric Studies on Pore Pressure Response around the Dumbbell Cofferdam
5. Conclusions
- (1)
- The 3D integrated numerical model is capable of reproducing the 3D hydrodynamic process involved in the wave–structure interaction and wave-induced seabed response. The model was validated using analytical solutions and experimental data and a fairly good agreement was obtained.
- (2)
- Steady-state analysis should be carried out and then imported as the initial condition for the transient analysis of the seabed response to account for the initial consolidation state due to the dumbbell cofferdam self-weight. On one hand, the initial effective stress beneath and around the cofferdam increases and the steady-state analysis of consolidation can prevent the misestimation of liquefaction development of the soil beneath structures. On the other hand, compared with the depth function of permeability , the depth function of shear modulus markedly affects the amplitude of the vertical displacement. This highlights the necessity of considering the vertical distributions of the permeability and shear modulus.
- (3)
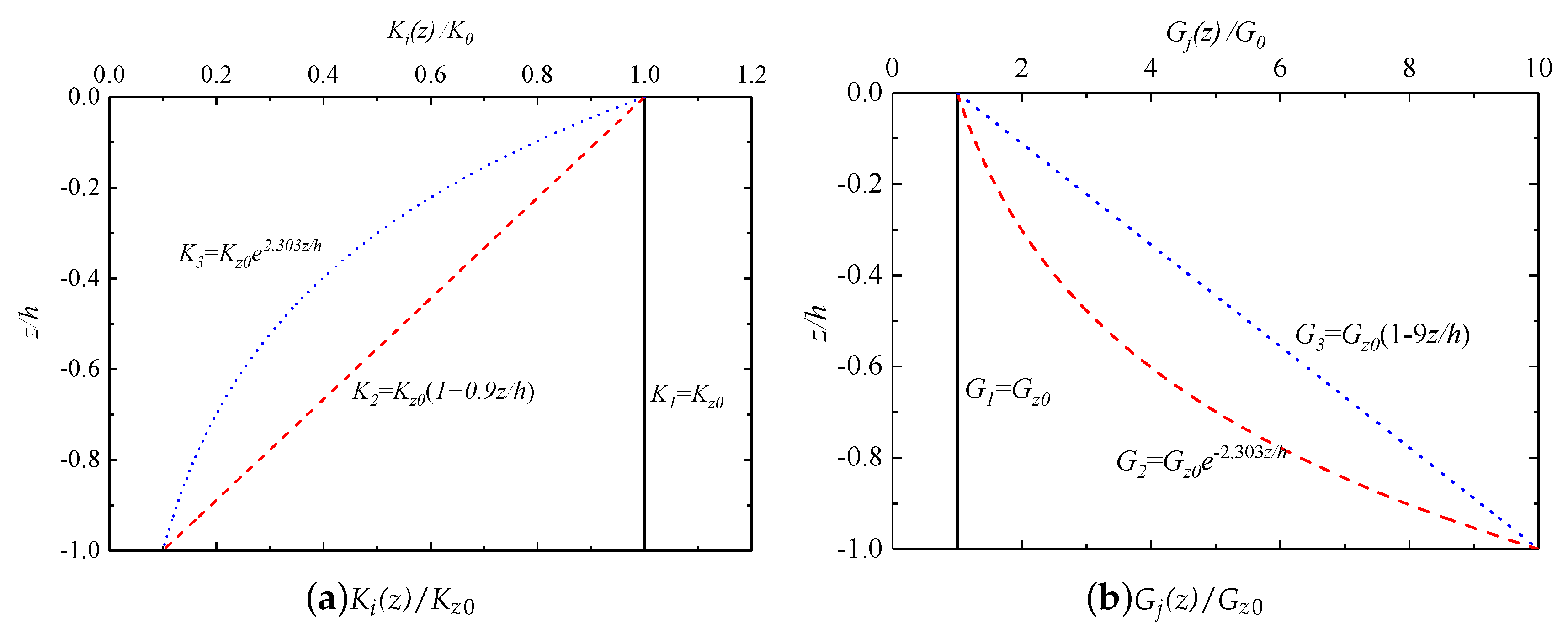
- The seabed response around the dumbbell cofferdam is affected by the combination of the depth functions and , that is, , to different degrees. The spatial variations in pore pressure are concentrated in the seabed layer above the embedded depth of the cofferdam. The depth function obviously affects the vertical distribution of the pore pressure: with the increase in , the amplitude of the pore pressure decreases in the same location. However, the depth function has a mild effect on the coarse sand seabed and the influence concentrates in the range defined by 0.1h above and below the embedded depth; however, it has little effect on a fine sand seabed. Moreover, two points of sudden change ( = −0.05 and = −0.3) emerge in the vertical distributions of pore pressure and the distinct degree of the two points is related to .
- (4)
- Under wave troughs, the liquefaction depth is larger in front of the dumbbell cofferdam than behind it, so the dumbbell cofferdam may tend to be inclined and to ultimately fail as a result of the asymmetry of the liquefaction depth. The depth function has a significant influence on the seabed liquefaction, while the depth function has little effect, regardless of whether coarse sand or fine sand is used in the present numerical experiments. Moreover, the traditional assumption that treats seabed parameters as constants may overestimate the seabed liquefaction depth.
- (5)
- Parametric studies reveal that the effect of permeability at the seabed surface on the vertical distributions of pore pressure is mainly concentrated on the seabed above the embedded depth in front and to the side of the cofferdam. The shear modulus at the seabed surface has a significant influence on the vertical distribution of pore pressure. With the increase in , the amplitude of the pore pressure is smaller. The point of sudden change at = −0.3, which reflects the influence of the dumbbell cofferdam on the seabed response, is more significant when and have smaller values. Moreover, the amplitude of the pore pressure decreases as Poisson’s ratio increases.
Author Contributions
Funding
Conflicts of Interest
References
- Sunirmal, B. Design chart for double walled cofferdams. J. Geotech. Eng. ASCE 1993, 119, 214–222. [Google Scholar] [CrossRef]
- Lefas, I.D.; Georgiannou, V.N. Analysis of a cofferdam support and design implications. Comput. Struct. 2001, 79, 2461–2469. [Google Scholar] [CrossRef]
- Wang, D.H. Innovative technology in channel bridge foundation design and construction of Pingtan strait hi-rail bridge. Railw. Stand. Des. 2017, 61, 68–75. [Google Scholar] [CrossRef]
- Jin, H.Y. Construction techniques for sinking of steel boxed cofferdam of Qingshan Changjiang river highway bridge in Wuhan. Bridge Constr. 2018, 48, 7–12. [Google Scholar]
- Chen, T.W.; Huang, L.H.; Song, C.H. Dynamic response of poroelastic bed to nonlinear water waves. J. Eng. Mech. ASCE 1997, 123, 1041–1049. [Google Scholar] [CrossRef]
- Chen, J.J.; Zhang, L.Y. Effect of spatial correlation of cone tip resistance on the bearing capacity of piles. J. Geotech. Geoenviron. Eng. ASCE 2013, 139, 494–500. [Google Scholar] [CrossRef]
- Muñoz-Perez, J.J.; Khan-Mozahedy, A.B.M.; Neves, M.G.; Tejedor, M.G.; Gomez-Pina, G.; Campo, J.M.; Negoro, V. Sinking of concrete modules into a sandy seabed: a case study. Coast. Eng. 2015, 99, 26–37. [Google Scholar] [CrossRef]
- Chen, J.J.; Zeng, F.Y.; Wang, J.H.; Zhang, L.Y. Analysis of laterally loaded rock-socketed shafts considering the nonlinear behavior of both the soil/rock mass and the shaft. J. Geotech. Geoenviron. Eng. ASCE 2017, 143, 06016025. [Google Scholar] [CrossRef]
- Jeng, D.S. Wave-induced seabed instability in front of a breakwater. Ocean Eng. 1997, 24, 887–917. [Google Scholar] [CrossRef]
- Duan, L.L.; Liao, C.C.; Jeng, D.S.; Chen, L.Y. 2D numerical study of wave and current-induced oscillatory non-cohesive soil liquefaction around a parrtially buried pipeline in a trench. Ocean Eng. 2017, 135, 39–51. [Google Scholar] [CrossRef]
- Lin, Z.; Pokrajac, D.; Guo, Y.; Jeng, D.S.; Tang, T.; Rey, N.; Zheng, J.; Zhang, J. Investigations of nonlinear wave-induced seabed response around mono-pile foundation. Coast. Eng. 2017, 121, 197–211. [Google Scholar] [CrossRef]
- Samarasinghe, A.M.; Huang, Y.H.; Drnevich, V.P. Permeability and consolidation of normal consolidated soils. J. Geotech. Eng. Div. ASCE 1982, 108, 835–849. [Google Scholar]
- Seymour, B.R.; Jeng, D.S.; Hsu, J.R.C. Transient soil response in a porous seabed with variable permeability. Ocean Eng. 1996, 23, 27–46. [Google Scholar] [CrossRef]
- Jeng, D.S.; Lin, Y.S. Finite element modelling for water waves–soil interaction. Soil Dyn. Earthq. Eng. 1996, 15, 283–300. [Google Scholar] [CrossRef]
- Jeng, D.S.; Seymour, B.R. Wave-induced pore pressure and effective stresses in a porous seabed with variable permeability. J. Offshore Mech. Arct. Eng. ASME 1997, 119, 226–233. [Google Scholar] [CrossRef]
- Jeng, D.S.; Seymour, B.R. Response in seabed of finite depth with variable permeability. J. Geotech. Geoenviron. Eng. ASCE 1997, 123, 902–911. [Google Scholar] [CrossRef]
- Kitano, T.; Mase, H. Wave-induced porewater pressure in a seabed with inhomogeneous permeability. Ocean Eng. 2001, 28, 279–296. [Google Scholar] [CrossRef]
- Bryant, W.R.; Hottman, W.; Trabant, P. Permeability of unconsolidated and consolidated sediments, Gulf of Mexico. Mar. Geotechnol. 1975, 1, 1–14. [Google Scholar] [CrossRef]
- Hardin, B.O.; Drnevich, V.P. Shear modulus and damping in soils: design equations and curves. J. Soil Mech. Found. Div. ASCE 1972, 98, 667–692. [Google Scholar]
- Badiey, M.; Zen, K.; Yamazaki, H.; Suzuki, H. Field and laboratory measurement of shear modulus profile in seabed. Rep. Port Harb. Res. Inst. Jpn. 1990, 29, 3–26. [Google Scholar]
- Jeng, D.S. Numerical modelling for wave-seabed-pipe interaction in a non-homogeneous porous seabed. Soil Dyn. Earthq. Eng. 2001, 21, 699–712. [Google Scholar] [CrossRef]
- Zhao, H.Y.; Jeng, D.S.; Liao, C.C. Three-dimensional modeling of wave-induced residual seabed response around mono-pile foundation. Coast. Eng. 2017, 128, 1–21s. [Google Scholar] [CrossRef]
- Zhang, C.; Zhang, Q.Y.; Wu, Z.T.; Zhang, J.S.; Sui, T.T.; Wen, Y.C. Numerical study on effects of the embedded monopile foundation on local wave-induced porous seabed response. Math. Probl. Eng. 2015, 1–13. [Google Scholar] [CrossRef]
- Liao, C.; Tong, D.; Chen, L. Pore pressure distribution and momentary liquefaction in vicinity of impermeable slope-type breakwater head. Appl. Ocean Res. 2018, 78, 290–306. [Google Scholar] [CrossRef]
- Liao, C.; Chen, J.; Zhao, Y. Accumulation of pore water pressure in a homogeneous sandy seabed around a rocking mono-pile subjected to wave loads. Ocean Eng. 2019, 173, 810–822. [Google Scholar] [CrossRef]
- Li, X.; Gao, F.; Yang, B.; Zang, J. Wave-induced pore pressure response and soil liquefaction around pile foundation. Int. J. Offshore Polar Eng. 2011, 21, 233–239. [Google Scholar]
- Chang, K.T.; Jeng, D.S. Dynamic seabed response around mono-pile foundation: Donghai Offshore Wind Farm in China. Ocean Eng. 2014, 85, 32–43. [Google Scholar] [CrossRef]
- Sui, T.T.; Zhang, C.; Guo, Y.; Zheng, J.H.; Jeng, D.S.; Zhang, J.S.; Zhang, W. Three-dimensional numerical model for wave-induced seabed response around mono-pile. Ships Offshore Struct. 2016, 11, 667–678. [Google Scholar] [CrossRef]
- Jeng, D.S.; Cha, D.H.; Lin, Y.S.; Hu, P.S. Wave-induced pore pressure around a composite breakwater. Ocean Eng. 2001, 28, 1413–1435. [Google Scholar] [CrossRef]
- Ye, J.; Jeng, D.S.; Wang, R.; Zhu, C. Numerical simulation of the wave-induced dynamic response of poro-elastoplastic seabed foundations and a composite breakwater. Appl. Math. Model. 2015, 39, 322–347. [Google Scholar] [CrossRef]
- Ulker, M.B.C.; Tatlioglu, E.; Lav, M.A. Dynamic response and liquefaction analysis of seabed-rubble mound breakwater system under waves. Appl. Ocean Res. 2018, 78, 75–87. [Google Scholar] [CrossRef]
- Christian, J.T.; Taylor, P.K.; Yen, J.K.C.; Erali, D.R. Large diameter underwater pipeline for nuclear power plant designed against soil liquefaction. In Proceedings of the Offshore Technology Conference, Houston, TX, USA, 6–8 May 1974; pp. 597–606. [Google Scholar] [CrossRef]
- Jeng, D.S.; Cheng, L. Wave-induced seabed instability around a buried pipe in a poroelastic seabed. Ocean Eng. 2000, 27, 127–146. [Google Scholar] [CrossRef]
- Gao, F.P.; Wu, Y.X. Non-Linear wave induced transient response of soil around a trenched pipeline. Ocean Eng. 2006, 33, 311–330. [Google Scholar] [CrossRef][Green Version]
- Lin, Z.; Guo, Y.K.; Jeng, D.S.; Liao, C.C.; Rey, N. An integrated numerical model for wave–soil–pipeline interaction. Coast. Eng. 2016, 108, 25–35. [Google Scholar] [CrossRef]
- Zhai, Y.Y.; He, R.; Zhao, J.L.; Zhang, J.S.; Jeng, D.S.; Li, L. Physical Model of wave-induced seabed response around trenched pipeline in sandy seabed. Appl. Ocean Res. 2018, 74, 37–52. [Google Scholar] [CrossRef]
- Zhou, X.L.; Jeng, D.S.; Yan, Y.G.; Wang, J.H. Wave-induced multi-layered seabed response around a buried pipeline. Ocean Eng. 2013, 72, 195–208. [Google Scholar] [CrossRef]
- Zhou, X.L.; Xu, B.; Wang, J.H.; Li, Y.L. An analytical solution for wave-induced seabed response in a multi-layered poro-elastic seabed. Ocean Eng. 2011, 38, 119–129. [Google Scholar] [CrossRef]
- Ulker, M.B.C. Pore pressure, stress distributions, and Instantaneous liquefaction of two-layer soil under waves. J. Waterw. Port Coast. Ocean Eng. ASCE 2012, 138, 435–450. [Google Scholar] [CrossRef]
- Ulker, M.B.C. Wave-induced dynamic response of saturated multi-layer porous media: Analytical solutions and validity regions of various formulations in non-dimensional parametric space. Soil Dyn. Earthq. Eng. 2014, 66, 352–367. [Google Scholar] [CrossRef]
- Wen, F.; Wang, J.H. Response of layered seabed under wave and current loading. J. Coast. Res. 2015, 31, 907–919. [Google Scholar] [CrossRef]
- Zhao, H.Y.; Jeng, D.S.; Liao, C.C. Effects of cross-anisotropic soil behavior on the wave-induced residual liquefaction in the vicinity of pipeline buried in elasto-plastic seabed foundations. Soil Dyn. Earthq. Eng. 2016, 80, 40–55. [Google Scholar] [CrossRef]
- Launder, B.E.; Spalding, D.B. The numerical computation of turbulent flows. Comput. Methods Appl. Mech. Eng. 1974, 3, 269–289. [Google Scholar] [CrossRef]
- Rodi, W. Turbulence Models and Their Application in Hydraulics-State-of-The-Art Review; Balkema: Rotterdam, The Netherlands, 1993. [Google Scholar]
- Hirt, C.W.; Nichols, B.D. Volume of fluid (VOF) method for the dynamics of free boundaries. J. Comput. Phys. 1981, 39, 201–225. [Google Scholar] [CrossRef]
- Biot, M.A. General theory of three-dimensional consolidation. J. Appl. Phys. 1941, 26, 155–164. [Google Scholar] [CrossRef]
- Jeng, D.S. Porous Models for Wave-Seabed Interactions; Springer: Berlin, Germany, 2013. [Google Scholar]
- Ye, J.H.; Jeng, D.S. Response of seabed to natural loading-waves and currents. J. Eng. Mech. ASCE 2012, 138, 601–613. [Google Scholar] [CrossRef]
- Mo, W.H.; Irschik, K.; Oumeraci, H.; Liu, P.L.F. A 3D numerical model for computing non-breaking wave forces on slender piles. J. Eng. Math. 2007, 58, 19–30. [Google Scholar] [CrossRef]
- Liu, B. Experimental Study for Seabed Response under Wave Loading. Ph.D. Thesis, Shanghai Jiao Tong University, Shanghai, China, 2016. [Google Scholar]
- Chen, W.Y.; Fang, D.; Chen, G.X.; Jeng, D.S.; Zhu, J.F.; Zhao, H.Y. A simplified quasi-static analysis of wave-induced residual liquefaction of seabed around an immersed tunnel. Ocean Eng. 2018, 148, 574–587. [Google Scholar] [CrossRef]
























| Parameters | Value | Unit |
|---|---|---|
| Wave parameters | ||
| Wave height (H) | 5.0 | m |
| Water depth (d) | 25.0 | m |
| Wave period (T) | 10.0 | s |
| Seabed parameters | ||
| Density of soil () | 2650 | kg/m |
| Permeability at seabed surface () | 1 × 10, 1 × 10 | m/s |
| Shear modulus at seabed surface () | 5.0 × 10 | N/m |
| Poisson’s Ratio () | 0.33 | - |
| soil porosity () | 0.4 | - |
| Degree of saturation () | 0.98 | - |
| Seabed thickness (h) | 50.0 | m |
| Dumbbell cofferdam parameters | ||
| Cofferdam length () | 60.0 | m |
| Embedded depth () | 15.0 | m |
| Cofferdam density () | 2400 | kg/m |
| Shear modulus () | 1.25 × 10 | N/m |
| Poisson’s Ratio () | 0.2 | - |
© 2019 by the authors. Licensee MDPI, Basel, Switzerland. This article is an open access article distributed under the terms and conditions of the Creative Commons Attribution (CC BY) license (http://creativecommons.org/licenses/by/4.0/).
Share and Cite
Chen, L.; Jeng, D.-S.; Liao, C.; Tong, D. Wave-Induced Seabed Response around a Dumbbell Cofferdam in Non-Homogeneous Anisotropic Seabed. J. Mar. Sci. Eng. 2019, 7, 189. https://doi.org/10.3390/jmse7060189
Chen L, Jeng D-S, Liao C, Tong D. Wave-Induced Seabed Response around a Dumbbell Cofferdam in Non-Homogeneous Anisotropic Seabed. Journal of Marine Science and Engineering. 2019; 7(6):189. https://doi.org/10.3390/jmse7060189
Chicago/Turabian StyleChen, Linya, Dong-Sheng Jeng, Chencong Liao, and Dagui Tong. 2019. "Wave-Induced Seabed Response around a Dumbbell Cofferdam in Non-Homogeneous Anisotropic Seabed" Journal of Marine Science and Engineering 7, no. 6: 189. https://doi.org/10.3390/jmse7060189
APA StyleChen, L., Jeng, D.-S., Liao, C., & Tong, D. (2019). Wave-Induced Seabed Response around a Dumbbell Cofferdam in Non-Homogeneous Anisotropic Seabed. Journal of Marine Science and Engineering, 7(6), 189. https://doi.org/10.3390/jmse7060189

