Effects of Wave Orbital Velocity Parameterization on Nearshore Sediment Transport and Decadal Morphodynamics
Simple Summary
Abstract
1. Introduction
2. Methods
2.1. Parameterization of Wave Shape and Orbital Velocity
2.1.1. Isobe Horikawa [IH]
2.1.2. Ruessink [RUE]
2.2. Sediment Transport Prediction
2.3. Numerical Modelling
2.3.1. Modelling Scenarios
2.3.2. Initial Beach Profiles
2.3.3. Wave Climate
2.3.4. General Model Configurations
3. Results
3.1. Cross-Shore Orbital Velocities
3.2. Sediment Transport on Alongshore Uniform Coasts
3.2.1. Cross-Shore Sediment Transport
3.2.2. Alongshore Sediment Transport
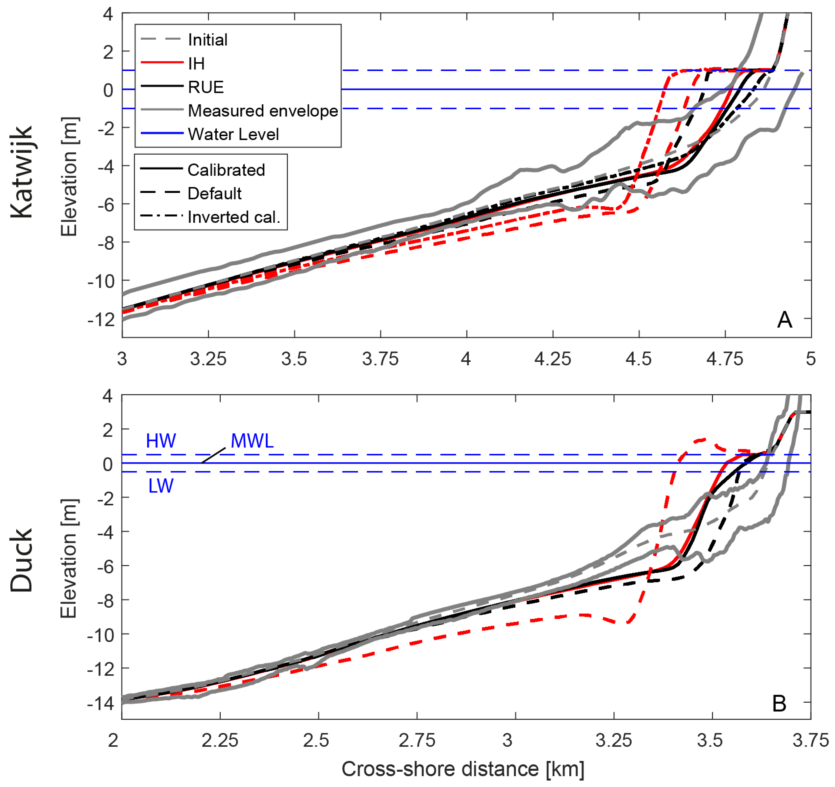
3.3. Alongshore Uniform Coastal Morphology
3.4. Alongshore Non-Uniform Coast Morphology—Coastal Hump
4. Discussion
4.1. Long-Term Morphodynamic Evolution
4.2. Limitations and Perspectives for Wave-Driven Sediment Transport Prediction
5. Conclusions
Supplementary Materials
Author Contributions
Funding
Acknowledgments
Conflicts of Interest
Appendix A. Parameterizations of Orbital Velocities
Appendix A.1. Isobe Horikawa (IH)
Appendix A.2. Ruessink (RUE)
References
- Elgar, S.; Guza, R.T. Nonlinear model predictions of bispectra of shoaling surface gravity waves. J. Fluid Mech. 1986, 167, 1–18. [Google Scholar] [CrossRef]
- Zijlema, M.; Stelling, G.; Smit, P. SWASH: An operational public domain code for simulating wave fields and rapidly varied flows in coastal waters. Coast. Eng. 2011, 58, 992–1012. [Google Scholar] [CrossRef]
- Malej, M.; Mith, J.M.; Salgado-Dominguez, G. Introduction to Phase-Resolving Wave Modeling with FUNWAVE; ERDC/CHL CHETN-I-87; US Army Corps of Engineers: Washington, DC, USA, 2015.
- Van der Spek, A.J.; Beets, D.J. Mid-Holocene evolution of a tidal basin in the western Netherlands: A model for future changes in the northern Netherlands under conditions of accelerated sea-level rise? Sediment. Geol. 1992, 80, 185–197. [Google Scholar] [CrossRef]
- Van Rijn, L. Sand Budget and Coastline Changes of the Central Coast of Holland between Den Helder and Hoek van Holland, Period 1964–2040; Deltares: Delft, The Netherlands, 1995. [Google Scholar]
- Beets, D.J.; van der Spek, A.J.F. The Holocene evolution of the barrier and the back-barrier basins of Belgium and the Netherlands as a function of late Weichselian morphology, relative sea-level rise and sediment supply. Neth. J. Geosci. 2000, 79, 3–16. [Google Scholar] [CrossRef]
- Stive, M. A model for cross-shore sediment transport. In Proceedings of the 20th International Conference on Coastal Engineering, Taipei, Taiwan, 9–14 November 1986; pp. 1550–1564. [Google Scholar]
- Dean, R.; Perlin, M. Intercomparison of near-bottom kinematics by several wave theories and field and laboratory data. Coast. Eng. 1986, 9, 399–437. [Google Scholar] [CrossRef]
- Rienecker, M.M.; Fenton, J.D. A Fourier approximation method for steady water waves. J. Fluid Mech. 1981, 104, 119–137. [Google Scholar] [CrossRef]
- Isobe, M.; Horikawa, K. Study on Water Particle Velocities of Shoaling and Breaking Waves. Coast. Eng. Jpn. 1982, 25, 109–123. [Google Scholar] [CrossRef]
- Roelvink, J.; Brøker, I. Cross-shore profile models. Coast. Eng. 1993, 21, 163–191. [Google Scholar] [CrossRef]
- Van Rijn, L.; Walstra, D.; Grasmeijer, B.; Sutherland, J.; Pan, S.; Sierra, J. The predictability of cross-shore bed evolution of sandy beaches at the time scale of storms and seasons using process-based Profile models. Coast. Eng. 2003, 47, 295–327. [Google Scholar] [CrossRef]
- Walstra, D.; Reniers, A.; Ranasinghe, R.; Roelvink, J.; Ruessink, B. On bar growth and decay during interannual net offshore migration. Coast. Eng. 2012, 60, 190–200. [Google Scholar] [CrossRef]
- Roelvink, J.; Stive, M. Bar-generating cross-shore flow mechnisms on a beach. J. Geophys. Res. Oceans 1989, 94, 4785–4800. [Google Scholar] [CrossRef]
- Ruessink, B.G.; Kuriyama, Y.; Reniers, A.J.H.M.; Roelvink, J.A.; Walstra, D.J.R. Modeling cross-shore sandbar behavior on the timescale of weeks. J. Geophys. Res. Earth Surf. 2007, 112. [Google Scholar] [CrossRef]
- Grasmeijer, B. Process-Based Cross-Shore Modeling of Barred Beaches. Ph.D. Thesis, Utrecht University, Utrecht, The Netherlands, 2002. [Google Scholar]
- Dubarbier, B.; Castelle, B.; Marieu, V.; Ruessink, G. Process-based modeling of cross-shore sandbar behavior. Coast. Eng. 2015, 95, 35–50. [Google Scholar] [CrossRef]
- Ruessink, B.; Ramaekers, G.; van Rijn, L. On the parameterization of the free-stream non-linear wave orbital motion in nearshore morphodynamic models. Coast. Eng. 2012, 65, 56–63. [Google Scholar] [CrossRef]
- Warner, J.C.; Sherwood, C.R.; Signell, R.P.; Harris, C.K.; Arango, H.G. Development of a three-dimensional, regional, coupled wave, current, and sediment-transport model. Comput. Geosci. 2008, 34, 1284–1306. [Google Scholar] [CrossRef]
- Villaret, C.; Hervouet, J.M.; Kopmann, R.; Merkel, U.; Davies, A.G. Morphodynamic modeling using the Telemac finite-element system. Comput. Geosci. 2013, 53, 105–113. [Google Scholar] [CrossRef]
- Bertin, X.; Oliveira, A.; Fortunato, A.B. Simulating morphodynamics with unstructured grids: Description and validation of a modeling system for coastal applications. Ocean Modell. 2009, 28, 75–87. [Google Scholar] [CrossRef]
- Nardin, W.; Fagherazzi, S. The effect of wind waves on the development of river mouth bars. Geophys. Res. Lett. 2012, 39. [Google Scholar] [CrossRef]
- Nienhuis, J.H.; Ashton, A.D. Mechanics and rates of tidal inlet migration: Modeling and application to natural examples. J. Geophys. Res. Earth Surf. 2016, 121, 2118–2139. [Google Scholar] [CrossRef]
- Luijendijk, A.P.; Ranasinghe, R.; de Schipper, M.A.; Huisman, B.A.; Swinkels, C.M.; Walstra, D.J.; Stive, M.J. The initial morphological response of the Sand Engine: A process-based modelling study. Coast. Eng. 2017, 119, 1–14. [Google Scholar] [CrossRef]
- Nardin, W.; Fagherazzi, S. The Role of Waves, Shelf Slope, and Sediment Characteristics on the Development of Erosional Chenier Plains. Geophys. Res. Lett. 2018, 45, 8435–8444. [Google Scholar] [CrossRef]
- Tonnon, P.; Huisman, B.; Stam, G.; van Rijn, L. Numerical modelling of erosion rates, life span and maintenance volumes of mega nourishments. Coast. Eng. 2018, 131, 51–69. [Google Scholar] [CrossRef]
- Grunnet, N.M.; Walstra, D.J.R.; Ruessink, B. Process-based modelling of a shoreface nourishment. Coast. Eng. 2004, 51, 581–607. [Google Scholar] [CrossRef]
- Briere, C.; Giardino, A.; van der Werf, J. Morphological modeling of bar dynamics with DELFT3D: the quest for optimal free parameter settings using an automatic calibration technique. Coast. Eng. Proc. 2011, 1, 60. [Google Scholar] [CrossRef]
- Storms, J.E.A.; Stive, M.J.F.; Roelvink, D.J.A.; Walstra, D.J. Initial Morphologic and Stratigraphic Delta Evolution Related to Buoyant River Plumes. In Proceedings of the Coastal Sediments ’07, New Orleans, LA, USA, 13–17 May 2007. [Google Scholar] [CrossRef]
- Edmonds, D.A.; Slingerland, R.L. Significant effect of sediment cohesion on delta morphology. Nat. Geosci. 2010, 3, 105–109. [Google Scholar] [CrossRef]
- Guo, L.; van der Wegen, M.; Roelvink, D.J.; Wang, Z.B.; He, Q. Long-term, process-based morphodynamic modeling of a fluvio-deltaic system, part I: The role of river discharge. Cont. Shelf Res. 2015, 109, 95–111. [Google Scholar] [CrossRef]
- Van der Vegt, H.; Storms, J.; Walstra, D.; Howes, N. Can bed load transport drive varying depositional behaviour in river delta environments? Sediment. Geol. 2016, 345, 19–32. [Google Scholar] [CrossRef]
- Braat, L.; van Kessel, T.; Leuven, J.R.F.W.; Kleinhans, M.G. Effects of mud supply on large-scale estuary morphology and development over centuries to millennia. Earth Surf. Dyn. 2017, 5, 617–652. [Google Scholar] [CrossRef]
- Geleynse, N.; Storms, J.E.; Walstra, D.J.R.; Jagers, H.A.; Wang, Z.B.; Stive, M.J. Controls on river delta formation; insights from numerical modelling. Earth Planet. Sci. Lett. 2011, 302, 217–226. [Google Scholar] [CrossRef]
- Nahon, A.; Bertin, X.; Fortunato, A.B.; Oliveira, A. Process-based 2DH morphodynamic modeling of tidal inlets: A comparison with empirical classifications and theories. Mar. Geol. 2012, 291–294, 1–11. [Google Scholar] [CrossRef]
- Olabarrieta, M.; Geyer, W.R.; Kumar, N. The role of morphology and wave–current interaction at tidal inlets: An idealized modeling analysis. J. Geophys. Res. Oceans 2014, 119, 8818–8837. [Google Scholar] [CrossRef]
- Nienhuis, J.H.; Ashton, A.D.; Nardin, W.; Fagherazzi, S.; Giosan, L. Alongshore sediment bypassing as a control on river mouth morphodynamics. J. Geophys. Res. Earth Surf. 2016, 121, 664–683. [Google Scholar] [CrossRef]
- Deltares. Delft3D-FLOW: Simulation of multi-dimensional hydrodynamic flows and transport phenomena, including sediments. In User Manual; Deltares: Delft, The Netherlands, 2017. [Google Scholar]
- Booij, N.; Ris, R.C.; Holthuijsen, L.H. A third-generation wave model for coastal regions: 1. Model description and validation. J. Geophys. Res. Oceans 1999, 104, 7649–7666. [Google Scholar] [CrossRef]
- Ris, R.C.; Holthuijsen, L.H.; Booij, N. A third-generation wave model for coastal regions: 2. Verification. J. Geophys. Res. Oceans 1999, 104, 7667–7681. [Google Scholar] [CrossRef]
- Deltares. SVN Repository. 2018. Available online: https://svn.oss.deltares.nl/repos/delft3d/tags/delft3d4/7545 (accessed on 18 June 2019).
- Van Rijn, L.C. Principles of Fluid Flow and Surface Waves in Rivers, Estuaries, Seas, and Oceans, 2011st ed.; Acqua: Amsterdam, The Netherlands, 1990; ISBN 978-90-79755-02-8. [Google Scholar]
- Van Rijn, L.C.; Walstra, D.J.R.; van Ormondt, M. Description of TRANSPOR2004 and Implementation in Delft3D-ONLINE; Final Report; Deltares (WL): Delft, The Netherlands, 2004. [Google Scholar]
- Van Rijn, L.C. Unified View of Sediment Transport by Currents and Waves. I: Initiation of Motion, Bed Roughness, and Bed-Load Transport. J. Hydraul. Eng. 2007, 133, 649–667. [Google Scholar] [CrossRef]
- Van Rijn, L.C. Unified View of Sediment Transport by Currents and Waves. II: Suspended Transport. J. Hydraul. Eng. 2007, 133, 668–689. [Google Scholar] [CrossRef]
- Van Rijn, L.C.; Walstra, D.J.R.; van Ormondt, M. Unified View of Sediment Transport by Currents and Waves. IV: Application of Morphodynamic Model. J. Hydraul. Eng. 2007, 133, 776–793. [Google Scholar] [CrossRef]
- Abreu, T.; Silva, P.A.; Sancho, F.; Temperville, A. Analytical approximate wave form for asymmetric waves. Coast. Eng. 2010, 57, 656–667. [Google Scholar] [CrossRef]
- Soulsby, R.; Hamm, L.; Klopman, G.; Myrhaug, D.; Simons, R.; Thomas, G. Wave–current interaction within and outside the bottom boundary layer. Coast. Eng. 1993, 21, 41–69. [Google Scholar] [CrossRef]
- Walstra, D.J.R.; van Rijn, L.C.; van Ormondt, M.; Briere, C.; Talmon, A.M. The Effects of Bed Slope and Wave Skewness on Sediment Transport and Morphology. In Proceedings of the Coastal Sediments ’07, New Orleans, LA, USA, 13–17 May 2017. [Google Scholar] [CrossRef]
- Rijkswaterstaat. The Yearly Coastal Measurements (in Dutch: De JAarlijkse KUStmetingen or JARKUS). 2017. Available online: https://opendap.deltares.nl/thredds/catalog/opendap/rijkswaterstaat/jarkus/caralog.html (accessed on 18 June 2019).
- Wijnberg, K.M.; Terwindt, J.H. Extracting decadal morphological behaviour from high-resolution, long-term bathymetric surveys along the Holland coast using eigenfunction analysis. Mar. Geol. 1995, 126, 301–330. [Google Scholar] [CrossRef]
- Donald, K.; Stauble, M.A.C. Sediment dynamics and profile interactions: DUCK94. In Proceedings of the 25th International Conference on Coastal Engineering, Orlando, FL, USA, 2–6 September 1996; pp. 3921–3934. [Google Scholar]
- Trowbridge, J.; Young, D. Sand transport by unbroken water waves under sheet flow conditions. J. Geophys. Res. Oceans 1989, 94, 10971–10991. [Google Scholar] [CrossRef]
- Gallagher, E.L.; Elgar, S.; Guza, R.T. Observations of sand bar evolution on a natural beach. J. Geophys. Res. Oceans 1998, 103, 3203–3215. [Google Scholar] [CrossRef]
- Walstra, D.; Hoekstra, R.; Tonnon, P.; Ruessink, B. Input reduction for long-term morphodynamic simulations in wave-dominated coastal settings. Coast. Eng. 2013, 77, 57–70. [Google Scholar] [CrossRef]
- Benedet, L.; Dobrochinski, J.; Walstra, D.; Klein, A.; Ranasinghe, R. A morphological modeling study to compare different methods of wave climate schematization and evaluate strategies to reduce erosion losses from a beach nourishment project. Coast. Eng. 2016, 112, 69–86. [Google Scholar] [CrossRef]
- Bailard, J.A. Modeling on-offshore sediment transport in the surf zone. In Proceedings of the 18th International Conference on Coastal Engineering, Cape Town, South Africa, 14–19 November 1982; pp. 1419–1438. [Google Scholar]
- Baar, A.W.; de Smit, J.; Uijttewaal, W.S.J.; Kleinhans, M.G. Sediment Transport of Fine Sand to Fine Gravel on Transverse Bed Slopes in Rotating Annular Flume Experiments. Water Resourc. Res. 2018, 54, 19–45. [Google Scholar] [CrossRef]
- Baar, A.; Albernaz, M.B.; van Dijk, W.; Kleinhans, M. The influence of transverse slope effects on large scale morphology in morphodynamic models. E3S Web Conf. 2018, 40, 04021. [Google Scholar] [CrossRef]
- Dubarbier, B.; Castelle, B.; Ruessink, G.; Marieu, V. Mechanisms controlling the complete accretionary beach state sequence. Geophys. Res. Lett. 2017, 44, 5645–5654. [Google Scholar] [CrossRef]
- Bailard, J.A. An energetics total load sediment transport model for a plane sloping beach. J. Geophys. Res. 1981, 86, 938–1095. [Google Scholar] [CrossRef]
- Van Thiel de Vries, J. Dune Erosion During Storm Surges. Ph.D. Thesis, Delft University of Technology, Delft, The Netherlands, 2009. [Google Scholar]
- Brinkkemper, J.A.; Aagaard, T.; de Bakker, A.T.M.; Ruessink, B.G. Shortwave Sand Transport in the Shallow Surf Zone. J. Geophys. Res. Earth Surf. 2018, 123, 1145–1159. [Google Scholar] [CrossRef]












| Scenarios | Wave Boundary | Bathymetry | Sed. Transport | Morphology | |
|---|---|---|---|---|---|
| 1 | Katwijk 1 | single wave | uniform | off | off |
| 2 | Katwijk 2 | wave climate | uniform | default | off |
| 3 | Katwijk 3 | wave climate | uniform | default | on |
| 4 | Katwijk 4 | wave climate | uniform | calibrated | on |
| 5 | Katwijk 5 | wave climate | uniform | inv. calibrated | on |
| 6 | Katwijk 6 | wave climate | hump | calibrated | on |
| 7 | Duck 1 | single wave | uniform | off | off |
| 8 | Duck 2 | wave climate | uniform | default | off |
| 9 | Duck 3 | wave climate | uniform | default | on |
| 10 | Duck 4 | wave climate | uniform | calibrated | on |
| Katwijk—NL | Duck—USA | ||||||||
|---|---|---|---|---|---|---|---|---|---|
| Wave | Hs | Tp | Dir | Duration | Wave | Hs | Tp | Dir | Duration |
| m | s | deg | % | m | s | deg | % | ||
| 1 | 1.20 | 4.1 | 201 | 20 | 1 | 0.92 | 4.6 | 211 | 4 |
| 2 | 2.34 | 5.2 | 200 | 5 | 2 | 1.53 | 5.5 | 215 | 1 |
| 3 | 3.37 | 6.0 | 202 | 3 | 3 | 2.10 | 6.2 | 216 | 1 |
| 4 | 1.08 | 4.2 | 248 | 11 | 4 | 0.98 | 7.7 | 252 | 18 |
| 5 | 2.53 | 5.5 | 247 | 2 | 5 | 1.80 | 7.7 | 249 | 5 |
| 6 | 3.96 | 6.5 | 250 | 1 | 6 | 2.87 | 9.2 | 254 | 2 |
| 7 | 1.32 | 4.6 | 270 | 13 | 7 | 0.99 | 8.7 | 270 | 1 |
| 8 | 1.02 | 4.7 | 297 | 20 | 8 | 0.68 | 9.8 | 294 | 43 |
| 9 | 2.33 | 5.7 | 296 | 4 | 9 | 1.47 | 9.8 | 291 | 9 |
| 10 | 4.02 | 6.9 | 296 | 1 | 10 | 2.85 | 11.2 | 287 | 2 |
| 11 | 0.81 | 4.2 | 333 | 14 | 11 | 0.61 | 7.2 | 326 | 9 |
| 12 | 1.58 | 4.9 | 332 | 4 | 12 | 1.06 | 7.5 | 325 | 3 |
| 13 | 2.76 | 5.9 | 329 | 1 | 13 | 1.94 | 9.5 | 321 | 1 |
| Calibration Katwijk | Calibration Duck | |||
|---|---|---|---|---|
| IH | RUE | IH | RUE | |
| 0.155 | 0.720 | 0.112 | 0.720 | |
| 0.154 | 0.200 | 0.123 | 0.199 | |
| 0.709 | 1.000 | 0.875 | 1.000 | |
| 0.272 | 0.375 | 0.228 | 0.360 | |
© 2019 by the authors. Licensee MDPI, Basel, Switzerland. This article is an open access article distributed under the terms and conditions of the Creative Commons Attribution (CC BY) license (http://creativecommons.org/licenses/by/4.0/).
Share and Cite
Boechat Albernaz, M.; Ruessink, G.; Jagers, H.R.A.; Kleinhans, M.G. Effects of Wave Orbital Velocity Parameterization on Nearshore Sediment Transport and Decadal Morphodynamics. J. Mar. Sci. Eng. 2019, 7, 188. https://doi.org/10.3390/jmse7060188
Boechat Albernaz M, Ruessink G, Jagers HRA, Kleinhans MG. Effects of Wave Orbital Velocity Parameterization on Nearshore Sediment Transport and Decadal Morphodynamics. Journal of Marine Science and Engineering. 2019; 7(6):188. https://doi.org/10.3390/jmse7060188
Chicago/Turabian StyleBoechat Albernaz, Marcio, Gerben Ruessink, H. R. A. (Bert) Jagers, and Maarten G. Kleinhans. 2019. "Effects of Wave Orbital Velocity Parameterization on Nearshore Sediment Transport and Decadal Morphodynamics" Journal of Marine Science and Engineering 7, no. 6: 188. https://doi.org/10.3390/jmse7060188
APA StyleBoechat Albernaz, M., Ruessink, G., Jagers, H. R. A., & Kleinhans, M. G. (2019). Effects of Wave Orbital Velocity Parameterization on Nearshore Sediment Transport and Decadal Morphodynamics. Journal of Marine Science and Engineering, 7(6), 188. https://doi.org/10.3390/jmse7060188

