Propeller Open-Water Test Method for Hybrid Contra Rotating Propeller †
Abstract
1. Introduction
2. Performance Factors Required to Design HCRP
- Resistance of hull and POD
- Propeller open-water characteristics of fore propeller
- Propeller open-water characteristics of aft propeller
- Interaction between fore propeller and POD (POD–propeller interaction)
- Interaction between aft propeller and POD (POD–propeller interaction)
- Propeller’s mutual interaction (CRP interaction)
- Thrust loss of propellers in behind-hull condition
- Interaction between fore propeller and hull
- Interaction between aft propeller and hull
- Scaling effect of each factor
3. Towing Tank Test Method
3.1. Propeller Open-Water Tests
3.2. Propeller Open-Water Characteristics
3.3. POD–Propeller Interaction
3.4. CRP Interaction
3.5. Total Performance of HCRP
4. Towing Tank Test Configurations, Results, and Discussion
4.1. Towing Tank Test Configurations
4.1.1. Test Facility
4.1.2. Layout of Test Equipment
4.1.3. POD Dynamometer
4.1.4. Model Propellers
4.2. Towing Tank Test Results
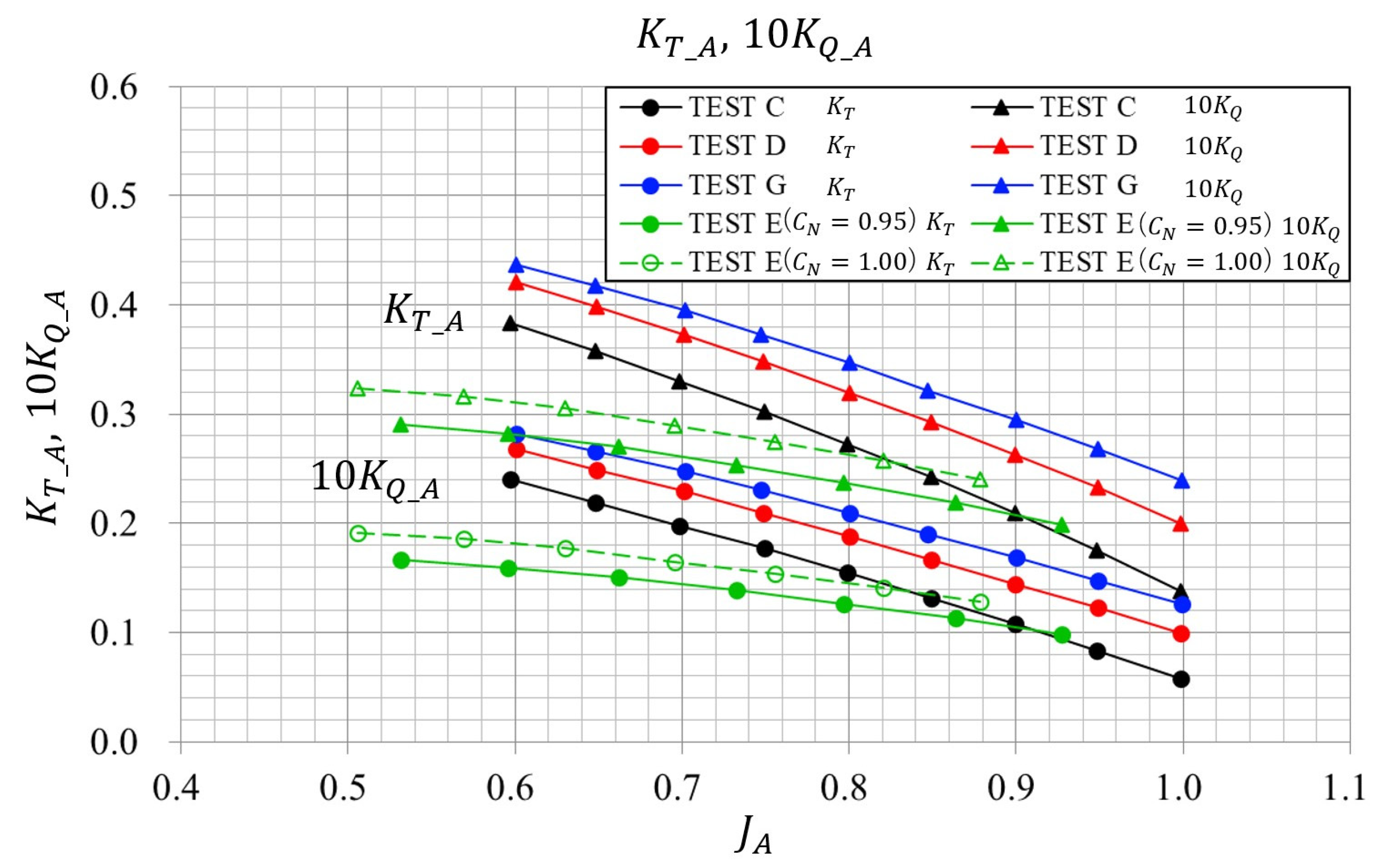
4.2.1. Propeller Open-Water Characteristics
4.2.2. Effect of the Wake of the Propeller Open Boat
4.2.3. POD–Propeller Interaction
4.2.4. CRP Interaction
4.2.5. Total Performance of HCRP
5. Conclusions
- Seven POTs with different combinations of propellers and test devices were introduced to evaluate the detailed performance of HCRP.
- Each propeller’s open-water characteristics and POD–propeller interaction and CRP interaction can be obtained with the presented method.
- The accurate elimination of the effect of the wake of the open boat on the fore and aft propellers, as well as the POD, can be conducted with the presented method.
- The total performance of two propellers that are acting as CRP can be obtained with an arbitrary propeller revolution ratio with the presented method
- The influence of the rotation ratio of the fore and aft propellers on the relationship between the CRP interaction and the propeller loading factor is not significant within the tested range of propeller rotation ratios. CRP interaction follows the momentum theory, affected by the load of the other propeller.
Author Contributions
Funding
Data Availability Statement
Conflicts of Interest
Abbreviations
| Variable | Definition |
| Propeller diameter | |
| Rate of revolution | |
| Advance speed | |
| Advance coefficient of the propeller | |
| Mass density of water | |
| Propeller thrust | |
| Propeller torque | |
| Thrust coefficient | |
| Torque coefficient | |
| Propeller efficiency in open water | |
| Propeller loading factor | |
| Wake fraction factor | |
| Relative rotative efficiency | |
| Propeller rotational speed ratio | |
| Subscript | Definition |
| The association with the fore propeller | |
| The association with the aft propeller | |
| The association with a combination of two propellers | |
| The effect due to POD–propeller interaction | |
| The effect due to CRP interaction | |
| The effect due to the propeller open boat |
References
- Nakamura, S.; Ohta, T.; Yonekura, K.; Sasajima, T.; Sakai, K. World’s First Contra-Rotating Propeller System Successfully Fitted to a Merchant Ship. In Proceedings of the Eleventh International Marine Propulsion Conference and Exhibition, London, UK, 9–10 March 1989. [Google Scholar]
- Nishiyama, S.; Sakamoto, Y.; Ishida, S.; Fujino, R.; Oshima, M. Development of Contrarotating-Propeller System for Juno-a 37,000-DWT Class Bullk Carrier. Trans. Soc. Nav. Archit. Mar. Eng. 1990, 98, 27–52. [Google Scholar]
- Inukai, Y. Development of Electric Propulsion Vessels with Contra-Rotating Propeller. J. JIME 2011, 46, 26–32. [Google Scholar] [CrossRef][Green Version]
- van Manen, J.D.; Oosterveld, M.W.C. Model Tests on Contra-Rotating Propellers. In Proceedings of the Seventh ONR symposium on Naval Hydrodynamics, Rome, Italy, 25–30 August 1968. [Google Scholar]
- Oh, S.; Lee, J.; Paik, K.-J.; Choi, S.; Park, H.-G.; Hoshino, T. Study on the Hydrodynamic Characteristics of Contra-Rotating Propeller System. In Proceedings of the Twenty-Fourth International Ocean and Poler Engineering Conference, Busan, Republic of Korea, 15–20 June 2014. [Google Scholar]
- Inukai, Y.; Ando, J. Full Scale Performance Prediction Method for a Ship with Contra Rotating Propellers. In Proceedings of the Fifth International Symposium on Marine Propulsion SMP’17, Espoo, Finland, 12–15 June 2017. [Google Scholar]
- Vlašić, D.; Degiuli, N.; Farkas, A.; Martić, I. The preliminary design of a screw propeller by means of computational fluid dynamics. Brodogradnja 2018, 69, 129–147. [Google Scholar] [CrossRef]
- Paik, K.-J. Numerical study on the wake evolution of Contra-Rotating Propeller in propeller open water and self propulsion condition. Brodogradnja 2017, 68, 125–138. [Google Scholar] [CrossRef]
- Mewis, F. The Efficiency of Pod Propulsion. In Proceedings of the Twenty second International Conference HADMAR 2001, Varna, Bulgaria, 1–4 October 2001. [Google Scholar]
- ITTC. Podded Propulsion Tests and Extrapolation. In ITTC Recommended Procedure and Guidelines 7.5-02-03-01.3; ITTC: Zürich, Switzerland, 2021. [Google Scholar]
- The First Hybrid CRP-POD Driven Fast ROPAX Ferry in the World. Available online: https://www.mhi.co.jp/technology/review/pdf/e416/e416338.pdf (accessed on 31 March 2025).
- Quereda, R.; Veikonheimo, T.; Pérez-Sobrino, M.; Ponce, J.; Sánchez-Caja, A.; Masip, J.; González-Adalid, J.; Uriarte, A.; Nijland, M.; Kokkila, K. Model testing and scaling for CRP POD. In Proceedings of the 10th International Conference on Hydrodynamics, St. Petersburg, Russia, 1–4 October 2012. [Google Scholar]
- Sánchez-Caja, A.; Pérez-Sobrino, M.; Quereda, R.; Nijland, M.; Veikonheimo, T.; González-Adalid, J.; Saisto, I.; Uriarte, A. Combination of Pod, CLT and CRP Propulsion for Improving Ship Efficiency: The TRIPOD project. In Proceedings of the Third International Symposium on Marine Propulsion smp’13, Tasmania, Australia, 5–8 May 2013. [Google Scholar]
- Quereda, R.; Pérez-Sobrino, M.; González-Adalid, J.; Soriano, C. Conventional propeller in CRP-POD configuration. Tests an extrapolation. In Proceedings of the Fifth International Symposium on Marine Propulsors SMP’17, Espoo, Finland, 12–15 June 2017. [Google Scholar]
- Shimamoto, H.; Takeda, A.; Miyake, S. Tandem Hybrid CRP (Contra-Rotating-Propeller) System. J. JIME 2011, 46, 39–42. [Google Scholar] [CrossRef][Green Version]
- Xiong, Y.; Zhang, K.; Wang, Z.-Z.; Qi, W.-J. Numerical and Experimental Studies on the Effect of Axial Spacing on hydrodynamic Performance of the Hybrid CRP Pod Propulsion System. China Ocean Eng. 2016, 30, 627–636. [Google Scholar] [CrossRef]
- Wang, Z.-Z.; Xiong, Y.; Wang, R.; Zhong, C.-H. A numerical investigation of the scale effect of hydro dynamic performance of the hybrid CRP pod propulsion system. Appl. Ocean. Res. 2016, 54, 26–38. [Google Scholar] [CrossRef]
- Zhang, Y.-X.; Zhou, X.-P.; Cheng, X.-K.; Li, Y.-L. A numerical study on the interaction between forward and aft propeller of hybrid CRP pod propulsion systems. Ocean Eng. 2019, 186, 106084. [Google Scholar] [CrossRef]
- Zhang, Y.-X.; Cheng, X.-K.; Feng, L. Numerical investigation of the unsteady flow of a hybrid CRP pod propulsion system at behind-hull condition. Int. J. Nav. Archit. Ocean Eng. 2020, 12, 918–927. [Google Scholar] [CrossRef]
- Yurtseven, A.; Aktay, K. The numerical investigation of spindle torque for a controllable pitch propeller in feathering maneuver. Brodogradnja 2023, 74, 95–108. [Google Scholar] [CrossRef]
- Ohmori, T.; Ochi, F.; Nagaya, S. A Study on the Influence of Propeller Open Boat in Reversed Configuration Propeller Open Water Test. In Conference Proceedings, the Japan Society of Naval Architects and Ocean Engineers; Japan Society of Naval Architects and Ocean Engineers: Tokyo, Japan, 2013; Volume 17, pp. 241–244. [Google Scholar]
- Ohmori, T.; Ochi, F.; Nagaya, S. A Study on the Influence of Propeller Open Boat in Reversed Configuration Propeller Open Water Test—2nd Report: Propeller Bos Cap Resistance. In Conference Proceedings, the Japan Society of Naval Architects and Ocean Engineers; Japan Society of Naval Architects and Ocean Engineers: Tokyo, Japan, 2014; Volume 18, pp. 153–156. [Google Scholar]
- Sasaki, N.; Kuroda, M.; Fujisawa, J.; Imoto, T.; Sato, M. On the Model Tests and Design Method of Hybrid CRP Podded Propulsion System of a Feeder Container Ship. In Proceedings of the First International Symposium on Marine Propulsors smp’09, Trondheim, Norway, 22–24 June 2009. [Google Scholar]
- Chang, B.-J.; Go, S. Study on a procedure for propulsive performance prediction for CRP-POD systems. J. Mar. Sci. Technol. 2011, 16, 1–7. [Google Scholar] [CrossRef]
- ITTC. Hybrid Contra-Rotating Shaft Pod Propulsors Model Test. In ITTC Recommended Procedure and Guidelines 7.5-02-03-01.6; ITTC: Zürich, Switzerland, 2014. [Google Scholar]
- Wakabayashi, T.; Katsui, T. A Power Estimation for Hybrid Contra-Rotating Propeller Propulsion System. In Proceedings of the Omae2024—ASME 2024 43rd International Conference on Ocean, Offshore and Arctic Engineering, Singapore, 9–14 June 2024. [Google Scholar]
- ITTC. Open Water Test. In ITTC Recommended Procedure and Guidelines 7.5-02-03-02.1: ITTC: Zürich, Switzerland, 2021.
- ITTC. Propulsion/Bollard Pull Test. In ITTC Recommended Procedure and Guidelines 7.5-02-03-01.1; ITTC: Zürich, Switzerland, 2021. [Google Scholar]
- ITTC. 1978 ITTC Performance Prediction Method. In ITTC Recommended Procedure and Guidelines 7.5-02-03-01.4; ITTC: Zürich, Switzerland, 2021. [Google Scholar]
- Catalogue of Facilities (ITTC). Available online: https://www.ittc.info/facilities/ (accessed on 31 March 2025).
- Tsu Ship Model Basin. Available online: https://ittc.info/media/5616/facilities-form-jmu-tsmb.pdf (accessed on 31 March 2025).














| Length | 240 m |
| Width | 18 m |
| Depth | 8 m |
| Position | Fore | Aft |
|---|---|---|
| Diameter | 0.2800 m | 0.2221 m |
| Pitch Ratio | 0.7800 | 0.9600 |
| Expand Area Ratio | 0.5000 | 0.5000 |
| Number of Blades | 4 | 5 |
| Rotation Direction | CW | CCW |
Disclaimer/Publisher’s Note: The statements, opinions and data contained in all publications are solely those of the individual author(s) and contributor(s) and not of MDPI and/or the editor(s). MDPI and/or the editor(s) disclaim responsibility for any injury to people or property resulting from any ideas, methods, instructions or products referred to in the content. |
© 2025 by the authors. Licensee MDPI, Basel, Switzerland. This article is an open access article distributed under the terms and conditions of the Creative Commons Attribution (CC BY) license (https://creativecommons.org/licenses/by/4.0/).
Share and Cite
Wakabayashi, T.; Katsui, T. Propeller Open-Water Test Method for Hybrid Contra Rotating Propeller. J. Mar. Sci. Eng. 2025, 13, 858. https://doi.org/10.3390/jmse13050858
Wakabayashi T, Katsui T. Propeller Open-Water Test Method for Hybrid Contra Rotating Propeller. Journal of Marine Science and Engineering. 2025; 13(5):858. https://doi.org/10.3390/jmse13050858
Chicago/Turabian StyleWakabayashi, Tomoki, and Tokihiro Katsui. 2025. "Propeller Open-Water Test Method for Hybrid Contra Rotating Propeller" Journal of Marine Science and Engineering 13, no. 5: 858. https://doi.org/10.3390/jmse13050858
APA StyleWakabayashi, T., & Katsui, T. (2025). Propeller Open-Water Test Method for Hybrid Contra Rotating Propeller. Journal of Marine Science and Engineering, 13(5), 858. https://doi.org/10.3390/jmse13050858

