Abstract
Flapping-foil hydrokinetic turbines (FHTs), unlike rotary turbines, are inspired by nature and have recently been presented in various tandem forms. In this study, a tandem hydrokinetic turbine with four hydrofoils that mimics a quadrupedal underwater animal and its movements is developed, with each hydrofoil moving in phase and out of phase, and the performance in terms of the power and load is compared and analyzed. As a result of optimizing the flapping frequency and separation distance, the out-of-phase condition showed superior characteristics in terms of power, with similar efficiency and lower fluctuation levels compared to the in-phase condition. In terms of the load on the body, the force levels in the out-of-phase movement were kept lower than those of the in-phase condition, which is advantageous for the design of the structure supporting the turbine. Therefore, the FHT proposed in this study can utilize more than three hydrofoils, similar to a typical rotary turbine, and can improve the FHT performance by adjusting the phase between the hydrofoils.
1. Introduction
Recently, due to issues related to climate change, such as global warming, renewable energy sources as alternatives to fossil fuels have been in the spotlight [1]. Among generators that utilize renewable energy is the hydrokinetic turbine, which works with free-flowing/zero-head hydro stream sources, including tides, currents, and rivers [2]. The hydrokinetic turbine operates at low flow rates and has the advantage of producing more energy than wind power at the same flow rate [3]. Among these systems, the flapping-foil system is inspired by the flapping of bird and insect wings and the flapping up and down of the fins of aquatic organisms to propel them forward. Birnbaum reported that flapping motions could be used as a new propeller [4], and McKinney and DeLaurier were the first to apply a flapping foil system to wind power generation [5]. Davids used computational and experimental methods to confirm that such a system can perform comparably to wind turbines [6]. Changing to a water flow rather than air flow, Platzer et al. applied a flapping-foil system to a hydrokinetic turbine and confirmed its power generation potential [7]. One of the advantages of a flapping-foil hydrokinetic turbine (FHT) is its ability to perform without noticeably losing efficiency in unsteady flow regions as compared to conventional rotary turbines such as horizontal- and vertical-axis hydrokinetic turbines [8]. The FHT is also more suitable for installation in shallow water due to its rectangular sweeping area than a horizontal-axis hydrokinetic turbine [9].
Various studies have sought to improve the power efficiency of flapping-foil hydrokinetic turbines (FHTs), and related to this effort, a tandem (multiple hydrofoil) FHT (TFHT) has been proposed. Lindsey verified the feasibility of TFHT power generation by placing two hydrofoils in tandem with a spacing of 4.8 c [10]. Jones et al. studied the performance of a TFHT system with a phase difference of 90 degrees between the pitch angle and the flapping angle and a spacing of 9.6 c [11], and Kinsey and Dumas compared the performance of a TFHT with the existing single FHT and concluded that the performance of the TFHT is superior [9]. To find the optimal operating condition, they studied the phase and distance difference between front and rear foils as variables and proposed the global phase, which is a criterion for the optimal design [12]. Several research groups have concentrated their efforts on investigating the impact of wake on the rear foil [13,14,15]. Research has also been conducted proposing an optimization framework based on an active learning method for the optimal design of TFHTs [16]. After basic research about TFHT was conducted, simulations using CFD and dynamic models [17,18] and experimental works [19,20,21] have been conducted up to the present day.
In terms of the moving trajectory of the hydrofoil, the FHT can be classified into pitch-heave, right-swing, and left-swing configurations. Looking at a creature’s motion in nature, the front flipper of a sea turtle is located at the rear position of its humerus, ulna, and radius bones. Due to the position, the anteroposterior motion of the front flipper is composed of only posterior motion, which is close to the trajectory of the right-swing configuration [22]. In addition, Hai et al. reported that the stability of the right-swing trajectory is superior to that of the others; thus, we adopted the right-swing configuration in this study [23]. As depicted in Figure 1, in a right-swing configuration, the pitch angle (θ) of the hydrofoil varies between positive and negative values due to the flow, causing the swing arm to oscillate about the flapping axis (Oh) and to move vertically. In this manner, the oscillating energy of the FHT then can be converted into mechanical and electrical energies for energy extraction.
Figure 1.
Hydrofoil’s motion of the FHT with the right-swing configuration.
Research on flapping-foil propulsion started before research on FHTs, and recently, inspired by ancient marine animals with four limbs, Muscutt et al. studied the optimal locomotion of front and rear limbs to achieve high propulsion and efficiency, concluding that the spacing and movement of the two limbs in tandem arrangement are very important [24]. Just as these animals utilize lift to swim, TFHTs utilize lift similarly to four-limbed marine animals. Most four-legged swimming creatures derive their propulsion primarily from the flapping motion of their forelimbs [25,26], although they may use both fore and hind limbs depending on the situation. For example, for sea turtles, both the fore and hind legs move in a synchronized phase when high propulsion is required, and freshwater turtles use alternating front and back as well as their left and right legs to avoid many obstacles in low-water conditions [20].
To date, TFHTs have been studied mainly focusing on front-rear kinematics of the tandem configuration, but in this study, inspired by four-limb swimming creatures such as turtles, a four-limb hydrokinetic turbine is designed to consider not only front-rear but also left-right kinematics based on the research flow as presented in Figure 2. The power performance is investigated by configuring the parameter sets with the optimal operating conditions, and a load analysis required for substructure design is also conducted.
Figure 2.
Research flow for development of a biomimetic TFHT.
2. Materials and Methods
2.1. Mimicking Scheme and System
The four-limb hydrokinetic turbine devised here is inspired by how a turtle swims with four limbs and adopts four hydrofoils and a backward swing movement, as shown in Figure 3. It is an extension of the existing tandem flapping hydrofoil system that uses two hydrofoils and adopts a left-right symmetrical structure in a front-rear parallel configuration [27]. In addition, for the purpose of conducting a water tank experiment to verify the analysis results, we refer to previous research [20,28] and set the specifications accordingly, as listed in Table 1.
Figure 3.
Conceptual model of a four-limb hydrokinetic turbine mimicking a turtle.
Table 1.
Simulation model specifications and operation parameters.
Nauwelaert and Aernts studied the movement of frogs and defined the in-phase condition as when the limbs of a four-legged swimming creature move simultaneously and the out-of-phase condition as when they move alternately, reporting that the in-phase condition is good for speed and that the out-of-phase condition is good for energy efficiency [29]. The turtles we aim to mimic in this study also use an in-phase condition when requiring large propulsive force and an out-of-phase condition when swimming normally. The main difference is that the turtle swims with most of its momentum in the downward stroke such that there is only one lift and drag peak per cycle, whereas the energy-extracting case utilizes lift in a symmetrical motion with both upward and downward swings. Therefore, the energy-extracting case has two peaks per cycle and can be considered to be in phase at 0 and 180 degrees, where the peaks on the front and rear hydrofoils are in phase, and out of phase correspondingly at 90 and 270 degrees, where the peaks are staggered. This concept can be applied to the four-limb hydrokinetic turbine system, as shown in Figure 4.
Figure 4.
Different locomotion forms of a marine turtle (in-phase) and a freshwater turtle (out-of-phase) (top) [25] and implemented in-phase and out-of-phase flapping motions for power extraction (bottom).
Previous studies related to energy extraction using two flapping hydrofoils categorized motions into those that took place under in-phase and those that took place under out-of-phase conditions. Among these works, motion with a 180-degree phase difference [12] corresponds to the in-phase condition, and that with a 90-degree phase difference [28] corresponds to the out-of-phase condition. The 90-degree phase difference could also be used for activating the fully passive mode of a tandem configuration as reported in a recent experimental research [21]. Here, both in-phase and out-of-phase front and rear hydrofoil movements are applied to compare the advantages and disadvantages of both.
The interaction between the right and left fluid flows, as well as the turtle’s body, results in three-dimensional (3D) effects. To mitigate these effects, the endplate at the root of the hydrofoil in Figure 3 can partially block the span-wise fluid flow from the hydrofoil tip toward the turtle’s body and the foil on the opposite side. According to a previous study [30], in an actual implementation, the performance drop relative to a 2D foil may be limited to approximately 10% when endplates are applied to a foil with an aspect ratio greater than or equal to ten. Moreover, the effect of spanwise flow from one side to the other would be minimized due to blockage by the body and the large separation distance; therefore, a 2D foil was used in this study to focus on the interaction between the front and rear foils rather than using a 3D foil.
The model specifications and operating information for the following two-dimensional (2D) simulations are summarized in Table 1. The flapping frequency, f, is the number of the reciprocal motion per second in Figure 1. The pitch angle was fixed at 70 degrees, and the range of f* was determined to be 0.1~0.14 based on previous studies [12,16,20,31,32] that showed good efficiency under the condition of a 70-degree pitch angle and 0.1~0.14 of f*. Additionally, for Lx, we used the range between 3.6 c and 7.5 c because many previous studies [10,12,16,19,32,33] mainly used values between 3 c and 7 c. The flow rates were divided into those in a low-flow-rate condition (0.9 m/s) and those in a high-flow-rate condition (1.2 m/s), and the Re numbers were 201,440 and 268,587, respectively.
The oscillating motions of the front and rear hydrofoils are described as follows:
In Equations (3)–(6), the subscript f refers to the front hydrofoil, and the subscript r refers to the rear hydrofoil.
2.2. Analysis Method
2.2.1. CFD
The four-limb hydrokinetic turbine has identical flapping kinematics on the left and right sides except for the phase between them, as depicted in Figure 4. We assumed no right-left interaction, which is expected to be minor; subsequently, for sake of analysis efficiency, 2D CFD analysis was conducted in order to explore the hydrodynamic characteristics of one side’s front-rear combination. For a performance comparison, a computational fluid dynamics (CFD) analysis was conducted using an in-house code (kflow), a parallelized multi-block-structural Navier–Strokes solver, which has been verified for its feasibility through previous studies [34,35]. The in-house code is based on an approach that combines the finite volume method (FVM) with transfinite interpolation [36]. The k-ω WD+ model, which was used in previous studies [34,35], was adopted as the turbulence model as well. The k–ω WD+ model was selected based on previous research [37], which demonstrated that it is less sensitive to typical wall spacing, provides better agreement with the experimental data used for validating weak nonlinear eddy viscosities, and incurs lower computational cost. In addition, a chimera method consisting of a domain mesh and a body-fitted mesh was used for the large movement of the foil. The boundary conditions of the grid system in Figure 5 (1) consist of an inlet located on the left line, an outlet located on the right line, and symmetry on both the top and bottom lines. The domain mesh has a size of 40 c × 40 c (196,542), as shown in (1) in Figure 5, and the body-fitted mesh is a combination of C-type and H-type meshes, as shown in (2) and (3), with the first layer (thickness of 1 × 10−4) perpendicular to the hydrofoil. Here, (4) and (5) show the mesh geometry near the leading edge and trailing edge, respectively.
Figure 5.
Grid system of tandem foils.
2.2.2. Validation and Convergence Check of CFD Tool
Since the CFD code was verified in the previous study [27] as shown in Figure 6, only a convergence check was performed in this study.
Figure 6.
Comparison result of the CFD tool in previous research [27].
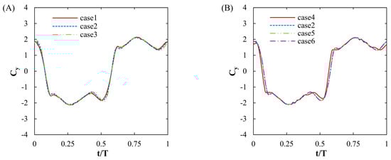
In order to check the convergence, the meshes of six cases were compared by changing the mesh density and the number of time steps. The mesh density, number of time steps, and number of flapping cycles were determined by referring to previous studies using the same CFD code as well [23,27,34,35]. In this case, f* was fixed at 0.12, other inputs were set as shown in Table 1, and the simulation was conducted with a single foil. When comparing case 1 and case 3 to case 2, as listed in Table 2, we find that the error in the efficiency is reduced from 2.08% to 0.07%. The results of previous studies were compared with the data from the final cycle of the five flapping cycles. In addition, when comparing the time steps, we observe that the error is 4.12% in case 4 but is reduced to 0.5% and 1.15% when there are 500 (case 5) and 600 time steps (case 6), respectively. Moreover, when comparing the Cy graphs in Figure 7, they show a similar shape with minor ripples. Accordingly, considering the analysis time, a subsequent analysis was conducted under the condition of case 2.
Table 2.
CFD cases for convergence check.
Figure 7.
Cy comparison versus (A) mesh density and (B) number of time steps.
2.3. Performance Measures
2.3.1. Power
In a previous study [27], the power efficiency () and power fluctuation () were considered as useful indicators for exploring the power performance, and they are also adopted in this study. These indicators are calculated using the lift force, drag force, and moment acting on the pitch axis, as follows:
Power efficiency () is obtained by summing the average power of the front and rear hydrofoils together and then dividing it by the available power (), where the subscript f denotes the front, the subscript r means the rear, and s means the sum.
The nondimensionalized power coefficients are calculated as follows:
2.3.2. Load on the Turbine Body
A load analysis can provide crucial information during the design stage of the turbine system’s substructure and body. In Figure 8 (left), the remaining Fy and Fx components, excluding the portions that contribute to FT (tangential force) during the flapping (swinging) period, are transferred as loads to the turbine body. Therefore, the body-transmitted load of the four-limb FHT becomes the main body load, and here we examine the effect of a phase change on the load. As shown in Figure 8 (right), the center point (O) is the virtual intersection of the pitching axis of each hydrofoil, and the x-directional distance Sx and z-directional distance Sz from the center point to the pitching axis are given by the following equations:
Figure 8.
Forces of foils in (A) single FHT and (B) TFHT.
The Fy and Fx components that contribute to FT are ; thus, the components that do not contribute to FT are calculated by Equations (21) and (22). The moments around the x-, y-, and z-axes are then calculated by Equations (23)–(25), taking into account the distances from the center points defined in Equations (19) and (20).
2.4. Simulation Plan
2.4.1. Power Performance
Lx for the in-phase and out-of-phase conditions is determined by considering the optimal conditions of the global phase difference and reduced frequency. Kinsey and Dumas utilized the global phase (Φ1-2) as a parameter for determining the optimum position between the tandem hydrofoils [12]. The definition is given below, and the optimal position is known to be around 90 degrees.
In Figure 9, the curves represent the vertical moving trajectory versus time in a period of each hydrofoil, and the hydrofoils of the solid line represent their positions at the same time, where Lx/TU is halfway between 1 and 2 as well as between 1 and 3. The global phase is 90 degrees for the out-of-phase condition (1–2) with an actual phase of −90 degrees, and the global phase is 0 degrees for the in-phase condition (1–3) with an actual phase of −180 degrees. Because the system geometry in Figure 3 is symmetrical from side to side, we initially examine the effect of the front-rear phase to determine how Lx and the phase affect the power performance. We divided the front-rear phases into in-phase and out-of-phase conditions according to their respective differences and determined the analysis conditions by considering the optimal range of the global phase, which is around 90 degrees, as suggested in previous studies. Then, the flow rate conditions were set to 0.9 and 1.2 m/s, and Lx was set to have a value close to 90 degrees for the global phase difference in the range of f* of 0.1 to f* of 0.14, which showed optimal efficiency when the pitch angle was 70 degrees, as reported in a previous study [20].
Figure 9.
Example of a global phase calculation (1: blue line, 2: red line, 3: green line).
2.4.2. Phase of Four Hydrofoils for a Load Analysis
Next, in order to compare the effects on the body load under the in-phase and out-of-phase conditions, a load analysis was conducted based on CFD results for one cycle. Here, the left and right phases were set to have a 180-degree phase difference for the out-of-phase condition so that the four legs have a phase angle difference of 90 degrees to distribute the peak load. On the other hand, the in-phase condition was set to have the same phase on the left and right hydrofoils.
3. Results and Discussion
3.1. Front and Rear Power Performance
Table 3 provides information on the optimal cases derived by setting the global phase difference close to 90 degrees, which is the optimal value reported in a previous study [27]. It can be seen that there are 20 cases where the global phase is close to 90 degrees in the high (1.2 m/s) and low (0.9 m/s) flow conditions, in the range of f* of 0.1 to f* of 0.14, and the out-of-phase condition shows a shorter distance between the front and rear foils, in this case 3.6 c to 5 c as compared to 5.4 c to 7.5 c for the in-phase condition. In another condition where all four foils share the same motion (an in-phase condition), the optimal cases with a global phase difference close to 90 degrees result in an Lx from 1.8 c to 2.5 c, which is too narrow to analyze performance using the CFD tool in Section 2.2.1. Therefore, these cases were not included in this study. The values of the power performance measure for each case are also listed in the same table.
Table 3.
Efficiency and fluctuations in 20 out-of-phase (OP) and in-phase (IP) cases (L: low speed; H: high speed).
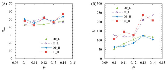
Comparing the efficiency outcomes first, both the out-of-phase and in-phase conditions showed an increase in efficiency when the flow rate was increased from 0.9 m/s to 1.2 m/s. At 0.9 m/s, the out-of-phase condition showed a gradual increase in efficiency from 42.5 to 48.05 as f* was increased, while the other conditions showed a decrease at f* of 0.13 and an increase at f* of 0.12 and 0.14. Based on the Newman limit [38] of 64%, the efficiency ranged from a minimum of 66.4% (out of phase, 0.9 m/s, f* of 0.1) to a maximum of 88.9% (in phase, 1.2 m/s, f* of 0.14) of the Newman limit. Because the Re numbers and efficiency levels were high with feasible trends in the high velocity condition, a further comparison was conducted mainly in this condition.
Next, we compared the variability in power curves in Table 3 and Figure 10B. The variability was defined in the previous work [26] the same as in Equation (14), by which the calculated value was denoted by the power fluctuation. It can be seen that except for the result of 0.9 m/s in the in-phase condition, the variability continues to increase with increasing f*, reaching a maximum at f* of 0.13 and decreasing slightly thereafter. Comparing the out-of-phase and in-phase conditions, we find that the fluctuations are larger in the in-phase condition, ranging from 106.99 to 238.17 for this condition as compared to 54.74 to 127.76 for the out-of-phase condition. The difference is even more pronounced for the high flow condition, with values of 129.89 for the in-phase condition and 85.43 for the out-of-phase condition at f* of 0.12, which is approximately 1.5 times larger. The value is about 1.9 times larger at f* of 0.13.
Figure 10.
Curves of (A) power efficiency and (B) power fluctuation of the TFHT.
Comparing the out-of-phase conditions in Figure 11, the total power coefficient graph (Figure 10), of which the values were calculated with the span length of the hydrofoils given by unit length, shows that the curves at f* of 0.13 fluctuate more than those at f* of 0.12. In particular, around t/T = 0.1, the power drops significantly in the f* of 0.13 (Cp of 0.54) case compared to that of f* of 0.12 (Cp of 1.36). The drop in the case of the f* of 0.13 was mainly due to the drops of PY and PZ in Figure 11H,I. Meanwhile, the power values due to the drag in Figure 11G were oscillated along the horizontal line of Px = 0 with similar positive and negative amplitudes. To find the cause of the drop, the pressure and vortex (vorticity, 1/s) distribution between t/T of 0 and t/T of 0.1 are depicted in Figure 12.

Figure 11.
Force and power coefficient curves for the out-of-phase condition. ((A): Front Cy, (B): Rear Cy, (C): Front Cx, (D): Rear Cx, (E): Front CM, (F): Rear C, (G): Cpx, (H): Cpy, (I): Cpz, (J): Cp).
Figure 12.
Pressure and vortex contour between t/T of 0.0 and t/T of 0.1 for the out-of-phase condition.
Another interesting interval is located around where the vertical velocity of the rear hydrofoil becomes maximum at t/T of 0.75. As shown in Figure 11B, the peak of the lift of the rear hydrofoil was not matched at that of the vertical velocity at t/T of 0.75, and its amplitude was smaller than that of the front hydrofoil due to an interaction effect. To find the cause of the mismatch, the pressure and vortex distribution between t/T of 0.7 and t/T of 0.8 are presented in Figure 13.
Figure 13.
Pressure and vortex contour between t/T of 0.7 and t/T of 0.8 for the out-of-phase condition.
In Figure 12, we find that the front foil has similar vortex activity and pressure distribution, but the vortex is shed more rapidly at f* of 0.12. As a result, the force values for the front foil in Figure 11 are similar in both cases. However, the different shedding timing changes the vortex activity of the rear foils. In the f* of 0.13 case, the blue vortex (clockwise rotation) strongly developed at the trailing edge, creating a negative pressure zone, which caused the differences in the lift and the moment in Figure 11 and caused an additional difference in the power. The difference in the drag was not as dominant as those of the lift and the moment.
As shown in Figure 13, the strong red vorticities (counterclockwise rotation) of f* of 0.12 are closer to the rear foils than those of f* of 0.13. Meanwhile, a weak red vorticity of f* of 0.13, which was shed previously from the front hydrofoil, collides the leading edge of the rear hydrofoil, which causes high compressive pressure at t/T of 0.7, and it is quickly collapsed at t/T of 0.8. This is the reason for the higher decrease in the lift of f* of 0.13 than that of f* of 0.12. In the case of f* of 0.12, the strong red vorticities disrupt flow near the bottom surfaces of the rear foils and make the strength of pressures smaller at t/T of 0.7 and t/T of 0.8; thus, these interaction effects play a role in lessening the amplitude of the lifts and also cause the mismatch.
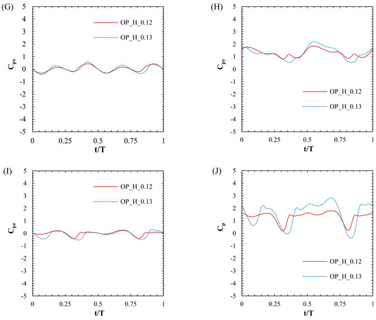
Next, we analyzed the force and power coefficient curves for the in-phase condition, which were depicted in Figure 14. When comparing the in-phase condition in Figure 14, we find that the total power graph fluctuates more at f* of 0.13 than at f* of 0.12, matching the out-of-phase condition in Figure 11. In particular, at values between t/T of approximately 0.3 and t/T of approximately 0.4, the power drops significantly in the f* of 0.13 condition compared to the f* of 0.12 condition. To find the cause of this, the pressure and vortex distributions between t/T of 0.3 and t/T of 0.4 are presented in Figure 15.

Figure 14.
Force and power coefficient curves for the in-phase condition. ((A): Front Cy, (B): Rear Cy, (C): Front Cx, (D): Rear Cx, (E): Front CM, (F): Rear C, (G): Cpx, (H): Cpy, (I): Cpz, (J): Cp).
Figure 15.
Pressure and vortex contours at t/T of 0.3 and t/T of 0.4 for the in-phase condition.
Another interesting interval is located around where the vertical velocity of the rear hydrofoil becomes maximum at t/T of 0.5. As shown in Figure 14B, the amplitude of the peak of the lift of the rear hydrofoil is smaller than that of the front hydrofoil due to an interaction effect. To find the cause of the reduction, the pressure and vortex distribution at t/T of 0.5 and t/T of 0.6 are depicted in Figure 16.
Figure 16.
Pressure and vortex contours at t/T of 0.5 and t/T of 0.6 for the in-phase condition.
Looking at Figure 15, similar to the out-of-phase condition, the shedding timing of f* of 0.12 is found to be slightly faster on the trailing edge of the front foil. In the f* of 0.12 case, a strong vortex on the front foil still exists at 0.3 t/T, and there is a strong negative pressure zone on the lower surface. This causes the lift to decrease and then causes shedding at 0.4 t/T, resulting in the sharp upward curve of the lift shown in Figure 14. On the other hand, in the case of f* of 0.13, a strong red vortex is not completely shed, even at 0.4 t/T, showing a gradual lift curve in the same figure. The different shedding timings also changed the vortex activity of the rear foil. In the f* of 0.13 case, at 0.3 t/T, the blue vortex (clockwise) near the trailing edge of the top surface develops strongly, creating a negative pressure zone, which decreased in intensity until 0.4 t/T but was still present and played a role in impeding the downward force. In the f* of 0.12 case, no such negative pressure zone was observed. This resulted in the differences in the lift and the moment in Figure 14 and further caused differences in the powers. In addition, the difference in the drag is not as dominant as those in the lift and the moment.
As shown in Figure 16, the strong blue vorticities (clockwise rotation) of f* of 0.12 are closer to the rear foils than those of f* of 0.13. Meanwhile, a weak blue vorticity of f* of 0.13, which was shed previously from the front hydrofoil, comes close to the leading edge of the rear hydrofoil at t/T of 0.5, and it is moved to the trailing edge at t/T of 0.6. In both cases of f*, the blue vorticities disrupt flow near the top surfaces of the rear hydrofoils and make the strength of pressures smaller at t/T of 0.5 and t/T of 0.6; thus, these interaction effects play a role in lessening the amplitude of lifts.
3.2. Load Comparison
In order to compare the effect of the load in the f* of 0.12 condition, which showed relatively excellent power performance above, a load analysis was conducted to compare the effects of the load under both the in-phase and out-of-phase conditions. These results are shown in Table 4 and Figure 17.
Table 4.
Load analysis results.
Figure 17.
Out-of-phase (A) and in-phase (B) load curves (y-axis moment: yaw; z-axis moment: pitch; x-axis moment: roll).
First, regarding the force, the drag force (FLx) in the out-of-phase condition has the largest value, and it can be seen that the maximum magnitude and range of the load are significantly correspondingly reduced to 64% and 47% as compared to those of the in-phase condition. In addition, for the lift force (FLy), it can be seen that the maximum magnitude and range of the load are significantly reduced to 4% and 3%, respectively, when the two sides differ in the 180-degree phase, as in the out-of-phase condition, due to the effect of the lift force of the two sides being canceled. On the other hand, in the out-of-phase condition, the 180-degree phase difference between the two sides resulted in a slightly different FLx value between the downward and upward swings, resulting in a yaw moment (MLy) of 11.89 Nm, but the difference in FLy was not significant, resulting in a body pitch moment (MLz) of 4.9 Nm. For the in-phase condition, MLy and MLx would have been zero due to FLx and FLy in the same swing direction, but instead, the body pitch moment (MLz) was 12.39 Nm due to FLy in the same direction. In other words, by selecting the out-of-phase condition, the loads by the drag and lift forces were mainly reduced, while the reduction of the moment is minor.
In summary, it can be seen that the system of the out-of-phase condition has a shorter body length and similar efficiency as well as smaller fluctuation and load compared to that of the in-phase condition throughout our numerical analysis.
4. Conclusions
In this study, a biomimetic tandem flapping-foil hydrokinetic turbine (TFHT) inspired by the locomotion of four-limbed aquatic creatures was developed and analyzed through two-dimensional computational fluid dynamics simulations. The turbine, designed to mimic the synchronous and alternating motions of fore and hind limbs, was evaluated under both in-phase and out-of-phase kinematic conditions, with particular attention to power efficiency, fluctuation stability, and structural load characteristics. The results demonstrated that the global phase difference near 90°, combined with reduced frequencies in the range of 0.1–0.14, represents the optimal operating regime for the proposed system.
The comparative performance analysis revealed several significant findings. First, the out-of-phase condition exhibited similar or slightly improved power efficiency relative to the in-phase condition while simultaneously reducing the level of power fluctuations. This structural stability is especially critical for practical applications, as it can mitigate the need for large flywheels or complex power-conditioning systems in downstream electrical conversion. Second, the load analysis confirmed that the out-of-phase arrangement substantially reduces the magnitude and variability of drag and lift forces transmitted to the turbine body. Specifically, body drag loads were reduced to nearly half of those observed under the in-phase condition, while lateral force cancellation further alleviated undesirable load oscillations. Such reductions in mechanical loading suggest that supporting structures can be designed with lighter and more cost-effective materials, enhancing the feasibility of deploying TFHT systems in real marine environments.
Despite these promising outcomes, this study is limited to two-dimensional numerical analyses. Future work should therefore incorporate three-dimensional CFD simulations and experimental validations to capture spanwise effects, wake–body interactions, and real-world hydrodynamic complexities. Additionally, optimization studies integrating structural design, material selection, and control strategies for adaptive phase-shifted motion could further enhance the performance and durability of TFHT systems. Investigating scalability to larger devices and testing in natural tidal or riverine flows will also be essential steps toward practical implementation.
In conclusion, the proposed four-limb-inspired TFHT demonstrates clear potential to advance hydrokinetic power extraction technologies. By effectively balancing energy efficiency with structural stability, particularly under out-of-phase conditions, this design represents a promising pathway for the future development of sustainable marine renewable energy systems.
Author Contributions
Methodology, D.J.; supervision, J.H.K. All authors have read and agreed to the published version of the manuscript.
Funding
This work was supported by the research grant of Jeju National University in 2024.
Data Availability Statement
The original contributions presented in this study are included in the article. Further inquiries can be directed to the corresponding authors.
Conflicts of Interest
The authors declare no conflicts of interest.
Abbreviations
The following abbreviations are used in this manuscript:
| b | span length |
| c | chord length |
| Cx | coefficient of drag |
| Cy | coefficient of lift |
| CM | coefficient of moment |
| f | flapping frequency (Hz) |
| f* | reduced frequency (f* = fc/U∞) |
| FT | tangential force |
| FX | force of x direction (drag force) |
| FY | force of y direction (lift force) |
| h0 | heave amplitude |
| L | flapping arm length |
| Lx | distance between the front and rear hydrofoils |
| M | moment |
| Oh | virtual intersection of the pitching axis of each hydrofoil (Center point) |
| P | power |
| Re | Reynolds number |
| S | distance from the center point to the pitching axis |
| U∞ | free stream velocity |
| t/T | instantaneous time divided by one period (starting t/T is zero and ending t/T is one) |
| T | period |
| xP | pitching axis |
| η | power efficiency |
| θ | pitching angle amplitude |
| ξ | power fluctuation |
| ρ | density |
| ϕ1-2 | phase difference between front wing and rear hydrofoils |
| ϕ′1-2 | phase difference between Right wing and left hydrofoils |
| Φ1-2 | global phase difference |
| Ψ | phase difference of pitch and flapping motions |
| ψ | flapping angle amplitude |
References
- Gielen, D.; Boshell, F.; Saygin, D.; Bazilian, M.D.; Wagner, N.; Gorini, R. The role of renewable energy in the global energy transformation. Energy Strategy Rev. 2019, 24, 38–50. [Google Scholar] [CrossRef]
- Khan, M.; Bhuyan, G.; Iqbal, M.; Quaicoe, J. Hydrokinetic energy conversion systems and assessment of horizontal and vertical axis turbines for river and tidal applications: A technology status review. Appl. Energy 2009, 86, 1823–1835. [Google Scholar] [CrossRef]
- Bahaj, A.; Myers, L.E. Fundamentals applicable to the utilisation of marine current turbines for energy production. Renew. Energy 2003, 28, 2205–2211. [Google Scholar] [CrossRef]
- Birnbaum, W. Das ebene Problem des schlagenden Flügels. ZAMM-J. Appl. Math. Mech./Z. Für Angew. Math. Und Mechanik. 1924, 4, 277–292. [Google Scholar] [CrossRef]
- McKinney, W.; DeLaurier, J. Wingmill: An oscillating-wing windmill. J. Energy 1981, 5, 109–115. [Google Scholar] [CrossRef]
- Davids, S.T. A Computational and Experimental Investigation of a Flutter Generator: Monterey, California: Naval Postgraduate School. Ph.D. Thesis, Naval Postgraduate School, Monterey, CA, USA, 1999. [Google Scholar]
- Platzer, M.; Ashraf, M.; Young, J.; Lai, J. Development of a new oscillating-wing wind and hydropower generator. In Proceedings of the 47th AIAA Aerospace Sciences Meeting Including the New Horizons Forum and Aerospace Exposition, Orlando, FL, USA, 5–8 January 2009. [Google Scholar]
- Lahooti, M.; Kim, D. Multi-body interaction effect on the energy harvesting performance of a flapping hydrofoil. Renew. Energy 2019, 130, 460–473. [Google Scholar] [CrossRef]
- Kinsey, T.; Dumas, G. Computational Fluid Dynamics Analysis of a Hydrokinetic Turbine Based on Oscillating Hydrofoils. J. Fluids Eng. 2012, 134, 021104. [Google Scholar] [CrossRef]
- Lindsey, K. A Feasibility Study of Oscillating-Wing Power Generators. MS. Thesis, Naval Postgraduate School, Monterey, CA, USA, 2002. [Google Scholar]
- Jones, K.D.; Lindsey, K.; Platzer, M. An investigation of the fluid-structure interaction in an oscillating-wing micro-hydropower generator. WIT Trans. Built Environ. 2003, 71. [Google Scholar]
- Kinsey, T.; Dumas, G. Optimal Tandem Configuration for Oscillating-Foils Hydrokinetic Turbine. J. Fluids Eng. 2012, 134, 031103. [Google Scholar] [CrossRef]
- Zhao, F.; Jiang, Q.; Wang, Z.; Qadri, M.M.; Li, L.; Tang, H. Interaction of two fully passive flapping foils arranged in tandem and its influence on flow energy harvesting. Energy 2023, 268, 126714. [Google Scholar] [CrossRef]
- Zhao, F.; Wang, Z.; Qadri, M.N.M.; Khan, O.; Munir, A.; Shahzad, A.; Tang, H. Effects of wake interaction on energy extraction performance of tandem semi-active flapping foils. Phys. Fluids 2023, 35, 074703. [Google Scholar] [CrossRef]
- Ribeiro, B.L.R.; Su, Y.; Guillaumin, Q.; Breuer, K.S.; Franck, J.A. Wake-foil interactions and energy harvesting efficiency in tandem oscillating foils. Phys. Rev. Fluids 2021, 6, 074703. [Google Scholar] [CrossRef]
- Ji, T.; Jin, F.; Xie, F.; Zheng, H.; Zhang, X.; Zheng, Y. Active learning of tandem flapping wings at optimizing propulsion performance. Phys. Fluids 2022, 34, 047117. [Google Scholar] [CrossRef]
- Ma, P.L.; Wang, Y.; Xie, Y.D.; Han, J.Z.; Sun, G.; Zhang, J.H. Effect of wake interaction on the response of two tandem oscillating hydrofoils. Energy Sci. Eng. 2019, 7, 431–442. [Google Scholar] [CrossRef]
- Ma, P.L.; Yang, Z.H.; Wang, Y.; Liu, H.B.; Xie, Y.D. Energy extraction and hydrodynamic behavior analysis by an oscillating hydrofoil device. Renew. Energy 2017, 113, 648–659. [Google Scholar] [CrossRef]
- Xu, J.A.; Tan, S.L.; Guan, D.T.; Ali, R.; Zhang, L. Energy extraction performance of motion-constrained tandem oscillating hydrofoils. J. Renew. Sustain. Energy 2017, 9, 044501. [Google Scholar] [CrossRef]
- Xu, W.H.; Xu, G.D.; Duan, W.Y.; Song, Z.J.; Lei, J. Experimental and numerical study of a hydrokinetic turbine based on tandem flapping hydrofoils. Energy 2019, 174, 375–385. [Google Scholar] [CrossRef]
- Kim, J.; Kim, D.-G.; Jung, S.; Moon, S.M.; Ko, J.H. Experimental study of a fully passive flapping hydrofoil turbine with a dual configuration and a coupling mechanism. Renew. Energy 2023, 208, 191–202. [Google Scholar] [CrossRef]
- Rivera, A.R.; Rivera, G.; Blob, R.W. Forelimb kinematics during swimming in the pig-nosed turtle, Carettochelys insculpta, compared with other turtle taxa: Rowing versus flapping, convergence versus intermediacy. J. Exp. Biol. 2013, 216, 668–680. [Google Scholar] [CrossRef]
- Nguyen Le Dang, H.; Le, T.Q.; Jeong, D.; Ko, J.H. Camber effect on the stability and power performance of a right-swing hydrofoil turbine. Int. J. Nav. Archit. Ocean Eng. 2022, 14, 100466. [Google Scholar] [CrossRef]
- Muscutt, L.E.; Dyke, G.; Weymouth, G.D.; Naish, D.; Palmer, C.; Ganapathisubramani, B. The four-flipper swimming method of plesiosaurs enabled efficient and effective locomotion. Proc. Biol. Sci. 2017, 284, 20170951. [Google Scholar] [CrossRef]
- Davenport, J.; Munks, S.A.; Oxford, P. A comparison of the swimming of marine and freshwater turtles. Proc. R. Soc. Lond. Ser. B Biol. Sci. 1984, 220, 447–475. [Google Scholar]
- Liu, W.; Xiao, Q.; Cheng, F. A bio-inspired study on tidal energy extraction with flexible flapping wings. Bioinspir. Biomim. 2013, 8, 036011. [Google Scholar] [CrossRef] [PubMed]
- Jeong, D.; Nguyen Le Dang, H.; Ko, J.H. Investigation of phase difference and separation distance effects in the design of a dual flapping hydrofoil turbine. Energy Sci. Eng. 2023, 11, 2725–2741. [Google Scholar] [CrossRef]
- Kim, J.; Quang Le, T.; Hwan Ko, J.; Ebenezer Sitorus, P.; Hartarto Tambunan, I.; Kang, T. Experimental and numerical study of a dual configuration for a flapping tidal current generator. Bioinspir. Biomim. 2015, 10, 046015. [Google Scholar] [CrossRef]
- Nauwelaerts, S.; Aerts, P. Two distinct gait types in swimming frogs. J. Zool. 2002, 258, 183–188. [Google Scholar] [CrossRef]
- Kinsey, T.; Dumas, G. Three-Dimensional Effects on an Oscillating-Foil Hydrokinetic Turbine. J. Fluid. Eng.-T. ASME 2012, 134, 071105. [Google Scholar] [CrossRef]
- Kinsey, T.; Dumas, G. Parametric study of an oscillating airfoil in a power-extraction regime. AIAA J. 2008, 46, 1318–1330. [Google Scholar] [CrossRef]
- Kinsey, T.; Dumas, G.; Lalande, G.; Ruel, J.; Méhut, A.; Viarouge, P.; Lemay, J.; Jean, Y. Prototype testing of a hydrokinetic turbine based on oscillating hydrofoils. Renew. Energy 2011, 36, 1710–1718. [Google Scholar] [CrossRef]
- Ashraf, M.A.; Young, J.; Lai, J.C.S.; Platzer, M.F. Numerical Analysis of an Oscillating-Wing Wind and Hydropower Generator. AIAA J. 2011, 49, 1374–1386. [Google Scholar] [CrossRef]
- Sitorus, P.E.; Ko, J.H. Power extraction performance of three types of flapping hydrofoils at a Reynolds number of 1.7E6. Renew. Energy 2019, 132, 106–118. [Google Scholar] [CrossRef]
- Sitorus, P.E.; Won, B.; Ko, J.H. Numerical Study on Power Balance of Front and Rear Hydrofoils in Dual Configuration of a Flapping-Type Tidal Energy Harvester. In Proceedings of the 27th International Ocean and Polar Engineering Conference, San Francisco, CA, USA, 24–30 June 2017. [Google Scholar]
- Ko, J.H.; Kim, J.W.; Park, S.H.; Byun, D. Aerodynamic analysis of flapping foils using volume grid deformation code. J. Mech. Sci. Technol. 2009, 23, 1727–1735. [Google Scholar] [CrossRef]
- Park, S.H.; Kwon, J.H. Implementation of kw turbulence models in an implicit multigrid method. AIAA J. 2004, 42, 1348–1357. [Google Scholar] [CrossRef]
- Young, J.; Tian, F.B.; Liu, Z.L.; Lai, J.C.S.; Nadim, N.; Lucey, A.D. Analysis of unsteady flow effects on the Betz limit for flapping foil power generation. J. Fluid Mech. 2020, 902, A30. [Google Scholar] [CrossRef]
Disclaimer/Publisher’s Note: The statements, opinions and data contained in all publications are solely those of the individual author(s) and contributor(s) and not of MDPI and/or the editor(s). MDPI and/or the editor(s) disclaim responsibility for any injury to people or property resulting from any ideas, methods, instructions or products referred to in the content. |
© 2025 by the authors. Licensee MDPI, Basel, Switzerland. This article is an open access article distributed under the terms and conditions of the Creative Commons Attribution (CC BY) license (https://creativecommons.org/licenses/by/4.0/).