Abstract
The positioning results of terrain matching in flat terrain areas will significantly deteriorate due to the influence of terrain nonlinearity and multibeam measurement noise. To tackle this problem, this study presents the Pulse-Coupled Neural Network (PCNN), which has been effectively utilized for image denoising. The interconnection of surface terrain data nodes is achieved through PCNN ignition, which serves to alleviate the reduction in terrain similarity caused by measurement error. This enables the efficient selection of terrain data, ensuring that points with high measurement accuracy are preserved for terrain matching and positioning operations. The simulation results illustrate that the suggested methodology effectively removes terrain data points with low measurement accuracy, thereby improving the performance of terrain matching and positioning.
1. Introduction
Unmanned Underwater Vehicles (UUV) are subject to inevitable navigational errors during prolonged underwater navigation and autonomous operations [1]. Consistent receipt of external data for necessary adjustments is crucial. Common correction strategies include the refinement of underwater acoustic positioning and the adjustment of Global Navigation Satellite System (GNSS) positions [2,3]. Underwater acoustic positioning correction necessitates a pre-established acoustic array or assistance from a mother vessel, which imposes a limited correction radius. In contrast, GNSS positioning correction requires UUVs to periodically ascend to obtain satellite signals. Frequent vertical movements in UUVs with extended range, deeper submersion capacity, or longer cruises can result in significant time and energy wastage, thereby diminishing the operational efficacy of UUVs and increasing operating expenses.
Among current methods of undersea navigation, terrain matching navigation has become a focal point in recent underwater navigation studies due to its reliance on the accuracy of terrain measurements for positioning precision [4,5,6]. It is characterized by all-weather operability, passive functioning, and the absence of cumulative error. The terrain matching algorithm is a critical component of the terrain matching navigation framework, addressing a significant challenge encountered by professionals in this field. The underwater terrain matching algorithm integrates multiple terrain measurement sensors and incorporates both a terrain matching algorithm based on single-beam measurement data and an alternative algorithm that utilizes multibeam terrain measurement information. The initial terrain matching protocol relied mainly on single-beam measurement of ‘line terrain’ features. However, the slow speed of UUVs results in relatively lower data efficacy when using the single-beam measurement technique compared to other methodologies. The current prevailing methodology involves the use of multibeam measurement devices to capture real-time ‘surface terrain’ data, which represents a significant departure from the traditional method of ‘line terrain’ matching. Contemporary navigation algorithms for “surface terrain” matching include direct matching protocols that rely on terrain altitude, as well as terrain image matching procedures. In the previous approach, the terrestrial nodes were treated as independent point sequences, and the shortest distance between the predefined terrain node sequence and the actual terrain node sequence was used as the positioning benchmark. This process is technically similar to the ‘line terrain’ matching. The terrain image matching protocol utilizes a side-scan sonar image, transforms terrain elevation imagery into a grayscale image, or employs algorithms commonly used for image matching to identify and pinpoint locations. Severin [7] assessed the potential for utilizing side-scan sonar images for terrain navigation. Lyu utilized Kalman filtering techniques to estimate the position of the Unmanned Underwater Vehicle (UUV) by integrating acquired terrain image information [8]. Ronen investigated the possibility of navigating using only captured images [9]. Vial conducted synchronized mapping and positioning within a restricted area using scanning sonars [10]. Liu proposed an underwater terrain matching method Based on the image alignment methodology named Iterative Closest Point (ICP) [11]. To address the issue of the ICP algorithm’s tendency to converge towards local minimums, Chen integrated the TERCOM algorithm into the ICP algorithm and conducted simulation analysis [12]. Zhang further refined the algorithm by proposing the Iterative Closest Contour Point (ICCP) method, which represents a distinctive variant of the ICP algorithm [13]. Despite the emphasis on terrain in these strategies, their primary focus is on image registration. The conversion of “surface terrain” into an image inherently increases computational complexity, but the corresponding effect remains largely consistent.
The nodes that make up the terrestrial terrain are interdependent. The concentrated placement of these nodes on the terrestrial landscape not only provides elevation information but also conveys surface metadata such as entropy, slope, gradient, roughness, and other relevant parameters, thereby enhancing the informational richness of the surface terrain nodes [14,15,16]. The current terrain matching algorithm assumes that the discrepancy in error among all sounding data has the same impact on the terrain matching positioning, disregarding the variation in individual errors. Consequently, when the terrain attributes are unclear, the difference in error among the population is small, indicating the presence of a phenomenon known as ‘error equilibration’ [17,18]. The error equilibration concept suggests that inaccuracies resulting from nodes with a reduced measurement precision of marine terrain will have a detrimental effect on matching outcomes, especially in flat terrain zones. To reduce the impact of nodes with significant measurement discrepancies in the terrain nodes on the associated positioning, we investigate the effects of ‘error equilibration’ on the terrain matching results and leverage our knowledge of image noise processing [19,20], a new methodology for underwater terrain matching positioning based on Pulse-Coupled Neural Network (PCNN) is present in this paper. This technique utilizes the pulse coupling approach to enhance the precision of terrain matching nodes, which are subsequently employed in the matching procedures. In comparison to existing methodologies, this approach takes into account the interrelationship among nodes on the “surface terrain” and demonstrates significant theoretical advantages.
2. The Impact of Terrain Measurement Error on Terrain Matching Results
In the context of underwater terrain matching and positioning, the local prior terrain data H are extracted from the Digital Terrain Map (DTM), and the Real-Time Measured (RTM) data Y are as follows:
Here, and represent the actual data in the RTM data and a priori terrain data, and represent the errors in the RTM data and a priori terrain data, respectively, and is the number of terrain data nodes. Since the RTM data and priori terrain data are represented as vectors, the similarity between the two can typically be quantified using vector spacing.
The terrain matching positioning algorithm involves calculating the similarity between the RTM data and prior terrain data, and then searching for the terrain node sequence with the smallest distance between vectors in the prior terrain data. If there is no discrepancy between the RTM data and the prior terrain data, the final result of terrain matching positioning is achieved when the measured value and the prior value of the same measurement point have the minimum distance, which is ‘0’. Nevertheless, in practical terrain measurements, the presence of measurement errors often results in minimal instances where the distance between vectors is ‘0’, indicating suboptimal matching positioning results. Assuming that the RTM data are , the prior terrain data are and the prior terrain data are close to the topographic survey data at the same position, the similarity and are calculated as follows:
The expansion Equation (4) was obtained.
refers to a specific quantity that represents the difference in height between a previous value and a measured value. When the two comparison terms consist of the prior value and the measured value of the same point, the resulting value is ‘0’. The comparison between the previous value and the measured value at various points indicates a non-zero result for this item. The interference term arises from measurement error . Based on the aforementioned analysis, Equation (4) is further expressed as follows:
The presence of measurement error results in a deviation in the terrain matching position, thereby complicating the differentiation between the actual point and its neighboring point. Assuming that the errors and are independent and normally distributed, is the matched noise. is co-distributed with and . is the deviation sequence of two comparison points. Equation (5) can be reformulated as follows:
Equation (6) depicts the comparison of similarity among the positioning point sequence, the adjacent point sequence, and the RTM measurement sequence in the previous terrain. If , then:
If or , masks the information of the determined value . Currently, it is challenging to ascertain the relationship between and . The terrain matching node is defined as the matching point. The nodes of the terrain matching are either noise points or matching points. The confidence level of the terrain information conveyed by noise points is significantly lower than that of matching points. The current terrain matching algorithm operates under the assumption that the error in all sounding data has an equal impact on terrain matching positioning. The overall error is calculated as the average of individual errors without taking into account the impact of noisy data points on the overall error. Hence, in cases where the topographic features are not readily discernible, the discrepancy in errors across the entire area is minimal, resulting in a phenomenon known as “error equalization.” Consequently, the confidence in the matching result decreases, and there may even be instances of mismatching. Screening out the noise points before conducting the terrain matching operation can significantly enhance the positioning accuracy of terrain matching. Equation (6) was rewritten as follows:
The sum of matching points of is , while the noise point summation term of is . Since composition is a noise point, the confidence of the positioning information provided by this item is low. This is the explanation for the discrepancy in the terrain matching process. In order to enhance the accuracy of terrain matching positioning results, it is advisable to remove the noise term. Equation (9) denotes the similarity sequence following the removal of the noise term.
The total number of matching nodes after removing the noise term becomes since Equation (9) contains all the matching points of . At this time, is constant, which effectively improves the accuracy of terrain matching positioning.
3. Terrain Matching Positioning Based on PCNN
3.1. PCNN Model
Through careful examination of the mammalian cerebral cortex, Eckhorn established a model for the behavior characteristics of neurons within the visual sector [21,22,23]. This ultimately led to the development of the innovative PCNN model through continuous refinement. The PCNN is an innovative single-layer artificial neural network prototype that does not require sample data training, as network execution is primarily controlled by an iterative process. In contrast to traditional multi-tiered artificial neural networks, the PCNN enables autonomous learning and supervision.
As depicted in Figure 1, the PCNN model comprises three interlinked functional units: the linking component, the feeding component, and the step function. The PCNN operates in an iterative manner, where the values of previous neurons influence the subsequent ones. As indicated in Equation (10), the input of the linking component is determined by the output value from the previous iteration.
where is the linking value associated with neuron ; and are amplification factor and decay time constant; is the output value of neuron ; and n is the iteration number of PCNN. The input of the feeding component is determined by the output value from the previous iteration, as demonstrated in Equation (11).
where is the feeding value associated with neuron ; and are amplification factor and decay time constant; and is the value of the sounding data . Different from the original PCNN model, consider a single weight value , which is the synaptic weight attached to both linking component and feeding component. is a constant value. The combined output of the linking component and feeding component is depicted in Equation (12):
where is the state of neuron , as depicted in Figure 1, which determines the output value of neurons based on the step function defined in Equation (13).
where is threshold value, which can be dynamically calculated and updated using Equation (14):
where and are the amplification factor and decay time constant. As evident from the above equations, the output of PCNN is significantly influenced by the values of the following parameters: , , , , , , and . Therefore, to enhance the quality of the output, it is necessary to adjust the parameters to their optimal values.
Figure 1.
PCNN model.
3.2. Node Screening Method Based on PCNN
The input to the PCNN is a two-dimensional matrix, whereas terrain matching necessitates at least three two-dimensional matrices as input parameters. The input matrices encompass the prior terrain corresponding to the search point and the RTM terrain. Assuming there are search points, there totally terrain matching input matrices. The pulse-coupling neural network can only process one piece of matrix data at a time, and the output value after processing is binary: “0” and “1”. Hence, when designing the PCNN structure and input/output data, it is imperative that the terrain matching result be aligned with it. Given that the output of PCNN is Boolean-type data, “0” and “1” are subsequently represented as judgments on whether terrain nodes are similar or not. Here, “0” signifies “not similar”, and “1” indicates “similar”. Primarily, the function of a Pulse-Coupled Neural Network is to manipulate this similarity matrix to determine which points in the matrix have high similarity and identify what values of similarity truly encapsulate the similarity between nodes. In this comparison and screening process, the PCNN network affects the similarity values of neighboring nodes by disseminating node similarity degrees to the surrounding nodes. Considering that the task involves determining the similarity degree of two nodes, the input value must correlate with the similarity degree of nodes. Thus, the distance matrix of matched terrain in RTM and DTM is utilized as the input value, normalized into the [0, 1] interval to derive the node normalized likelihood :
After the aforementioned processing, the input for terrain matching becomes a matrix. Each element within the matrix denotes the similarity between the nodes in the search area in DTM and the nodes in the corresponding RTM, with values ranging between [0, 1]. If there are elements in the measured terrain, the number of elements in each matrix is determined. The matrix is then input into the pulse-coupled neural network for noise reduction. Ultimately, the resulting matrix following noise reduction has been obtained. The output ‘1’ signifies a true matching point, while the output ‘0’ indicates a false matching point with no available similarity value.
The PCNN model for terrain matching point selection is designed based on the existing PCNN model and the characteristics of terrain matching, as illustrated in Figure 2. The red point denotes the present processing node in the PCNN measurement point validity screening process, while the black point signifies the node that is coupled with the current processing node. When processing the current point , the input includes not only the normalized likelihood value of the current point but also the normalized likelihood value of the connection point. As depicted in Figure 3, the diagram illustrates the coupling model used in the process of PCNN terrain measurement nodes. In this model, there are a total of 8 adjacent connection points to the current point . Let the coupling weight matrix in the coupling model be denoted as and , and rewrite the link value and feedback value in the PCNN model as follows:
Figure 2.
Model of the PCNN process on one node.
Figure 3.
Couple models of effective measurement points identified and coupling weights using PCNN.
The PCNN takes the similarity measurement matrix between the local prior DTM data and the corresponding real-time measurement nodes in the terrain as input. The elements in the matrix have values within the range of [0, 1]. The pulse-coupled neural network functions to process the similarity matrix and identify matching points that satisfy the criteria, thereby accurately representing the similarity of the nodes. For points exhibiting high similarity and high reliability, a value of ‘1’ is assigned, while other points are assigned a value of ‘0’. This process involves screening nodes that are similar to each other. Figure 4 illustrates the matching process and the resulting output of a search point corresponding to the previously collected DTM data and the real-time measurement of the terrain.
Figure 4.
Data processing diagram based on PCNN.
Upon achieving a stable ignition map after N iterations, the nodes on the matching surface that correspond to each search point are processed by the PCNN network, resulting in an output of ‘0’ or ‘1’. The symbols ‘0’ and ‘1’ denote the similarity of nodes on the matching surface to the corresponding nodes on the measured terrain. The process of terrain screening using PCNN is shown in Figure 5, and M is the total amount of search points.
Figure 5.
Using PCNN to screen nodes.
3.3. Matching Positioning Based on Screening Nodes
The quantity of ignition nodes solely indicates the number of points with a significant similarity between two terrain surfaces during the matching process and does not accurately reflect the actual similarity between the DTM data and the real-time terrain data associated with the search point. Further calculation is required to determine the actual similarity. Following the aforementioned processing, the surface most closely resembling the measured terrain is ultimately identified as the matching surface corresponding to the search point with the highest number of ignitions. The matrix of ignition output corresponding to the matching surface serves as the discriminant matrix for identifying small error points. The symbol ‘0’ denotes a significant error that precludes participation in the matching process. The symbol ‘1’ denotes a small error and the ability to offer dependable matching information. As depicted in Figure 5, the discriminant matrix can be utilized directly for performing weight processing of ‘0’ or ‘1’ on the data during the matching process. The nodes classified as noise points by the PCNN network are assigned a weight of ‘0’, indicating that they do not contribute to matching positioning. The similarity between the matching surface corresponding to a search point and the measured terrain after weighting is quantified by distance.
represents the number of rows and columns in a search point, and represents the search point itself. Additionally, represents the number of rows and columns in the corresponding matching plane nodes, and denotes the number of nodes in the matching plane. The weight matrix, denoted as , represents the node ignition matrix associated with the matching surface featuring the highest ignition node at the conclusion of the iteration computed in the preceding step. The results of the maximum likelihood estimation method are normalized to derive the weighted maximum likelihood estimation Equation (19). The input value for maximum likelihood estimation is subjected to denoising, resulting in a more accurate and reliable outcome compared to the scenario without denoising. The calculation formulas for weighted maximum likelihood estimation are represented by Equations (9) and (10). The procedure for weighted terrain matching positioning is depicted in Figure 6.
Figure 6.
Matching positioning flow chart based on ignition matrix weighting.
4. Simulation and Result Analysis
4.1. Semi-Physical Simulation Platform
The simulation tests were conducted using an underwater semi-physical simulation system. The system center served as a control and navigation cabin for UUV. The configuration of the simulation system is depicted in Figure 7.
Figure 7.
Structure of the underwater semi-physical simulation system.
The semi-physical simulation platform is depicted in Figure 7. It includes several Algorithm Development Computers (ADCs), UUV navigation control cabins, monitoring computers, UUV motion simulation computers, performance evaluation computers, and UUV upper monitoring computers. These components are interconnected via Ethernet. In contrast to the actual UUV, the semi-physical simulation system relies on the motion simulation computer to supply marine environment information and UUV sensor measurement data. Utilizing the aforementioned semi-physical simulation platform enables the execution of UUV navigation and control algorithm development and debugging.
4.2. Data Sources
The DTM data source was obtained through measurements using the GeoSwath Plus (GS+) [24] during a sea trial, as depicted in Figure 8. The GS+ is a conventional Multibeam Echo Sounder (MBES) that operates on the principle of phase interference. It is manufactured by Kongsberg GeoAcoustics Ltd., located in Great Yarmouth, UK. The primary parameters of GS+ are presented in Table 1.
Figure 8.
Underwater bathymetry map surveying equipment and their connections.
Table 1.
Main parameters of GS+.
The sea trial area (1000 m × 900 m), with depths ranging from 5 to 40 m, is situated in close proximity to Qingdao (see Figure 9). Following the completion of the filtering and gridding procedures [25,26], a DTM with a grid spacing of 2 m × 2 m was generated, as depicted in Figure 10.
Figure 9.
Measured area.
Figure 10.
DTM (a): 3D digital terrain (b): contour map.
4.3. Terrain Matching Positioning Simulation
The flattest terrain features in the DTM are chosen for terrain matching and positioning simulation. Following the analysis and computation of each region in the DTM, the coordinate position is chosen as the search center for the terrain matching simulation. The search area encompasses a node range centered on the search point. The data from the node, which is centered on the search point, are captured as the real-time measurement of the terrain, and this measurement is processed by introducing noise. The vertical error noise is denoted as . The simulation yielded the following results.
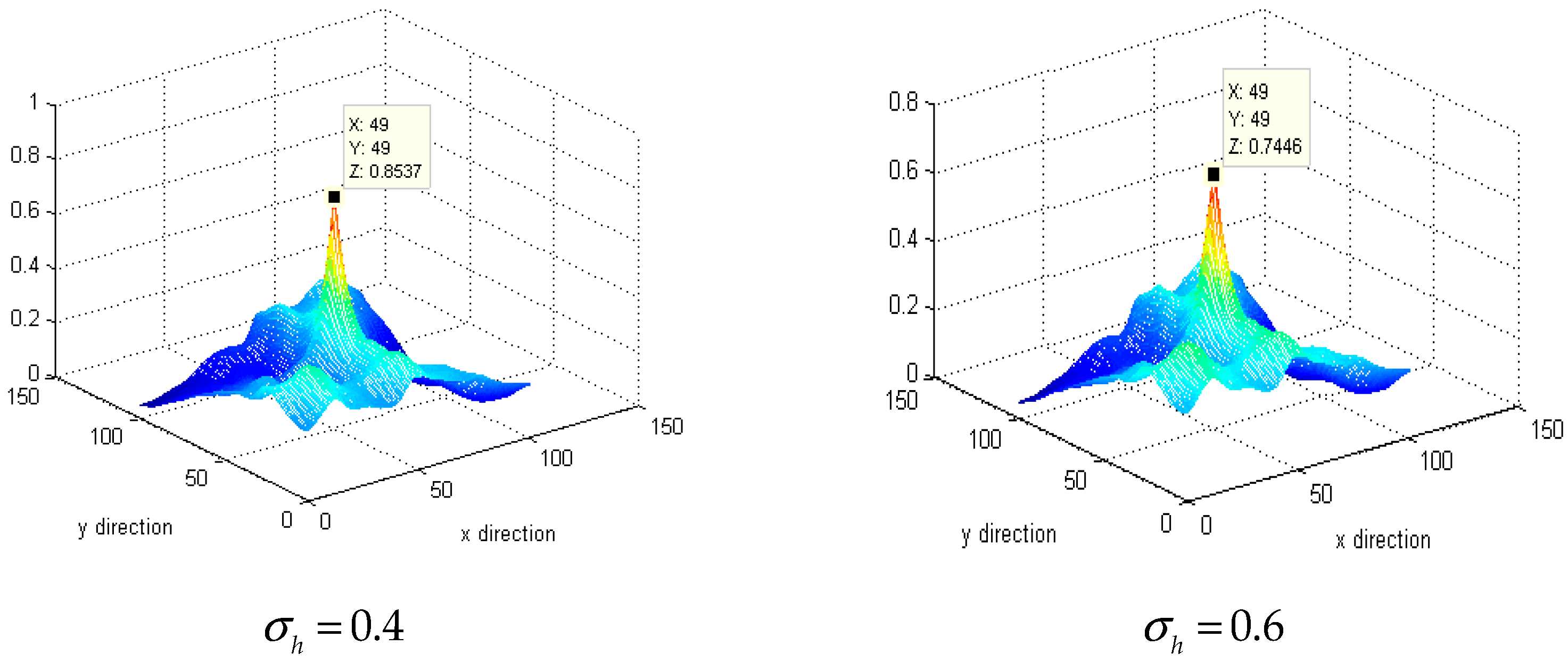
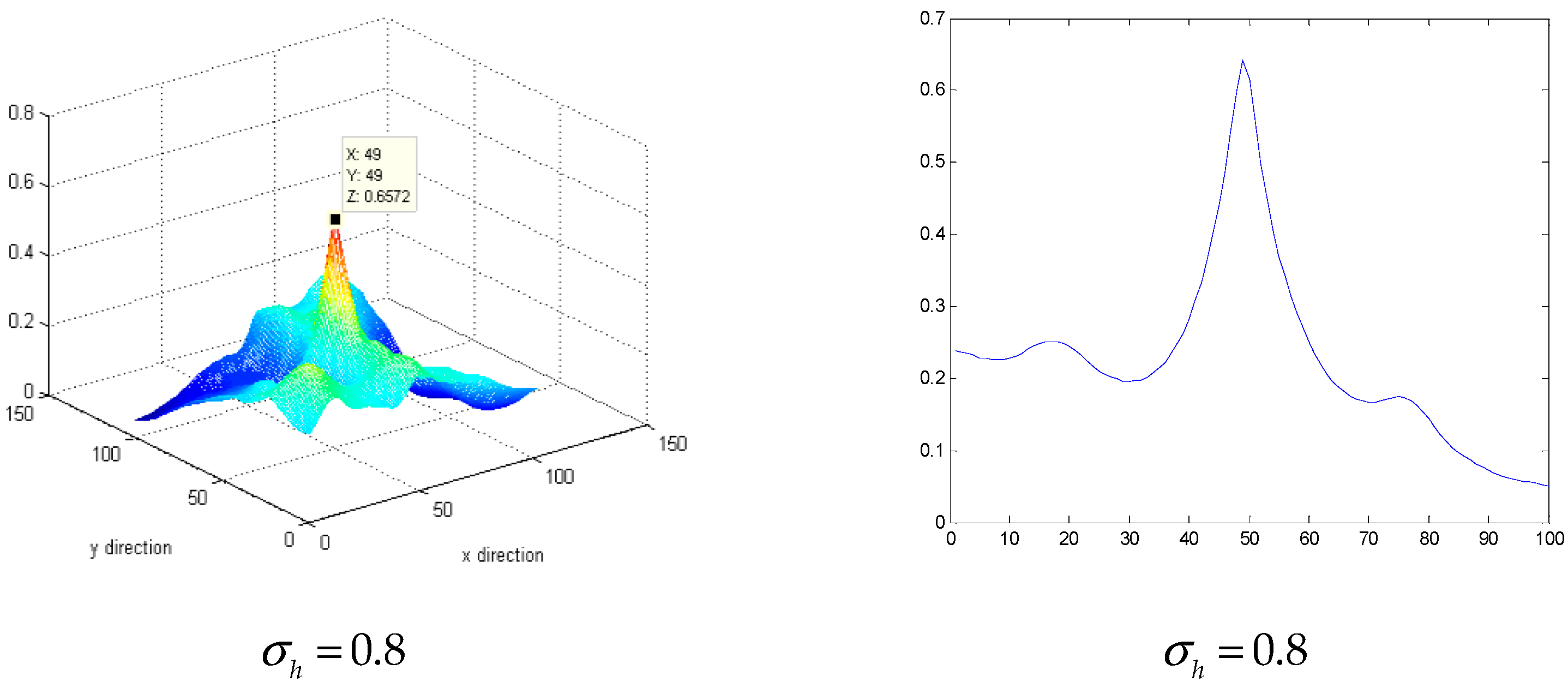
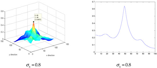
As shown in Figure 11, Figure 12, Figure 13 and Figure 14 the conventional matching algorithm involves the computation of the distance between the node sequences that correspond to the two matching planes. The best matching point is determined based on the minimum distance. It matches all points with the same weight without considering the degree of pollution received by the node. In the case of a small error, the error has little effect on the positioning accuracy and positioning stability. Nevertheless, the underwater topography is a reconstructed surface with significant measurement errors, and certain nodes exhibit particularly high levels of error, thereby significantly impacting the stability of matching accuracy. The use of minimum distance as the criterion for evaluating the effectiveness of the PCNN demonstrates its strong discriminative capability. When the input parameters of the condition are chosen appropriately, a more favorable matching effect can be achieved. In contrast to the conventional matching approach, the pulse-coupled network has the capability to remove data points with significant errors through its robust nonlinear processing, thereby enhancing the reliability of the matching information. As a result, it prevents individual data points that are significantly affected by noise from becoming integrated and causing mismatches.
Figure 11.
Similarity function diagram after node screening.

Figure 12.
Similarity function diagram before node screening.
Figure 13.
The distribution of positioning points and the deviation of each positioning result after node screening.
Figure 14.
The distribution of positioning points and the deviation of each positioning result with no node screening.
5. Conclusions
This paper presents a method for underwater terrain matching positioning based on PCNN, aiming to address the negative impacts of ‘error equalization’ on terrain matching. The proposed method is designed to enhance the accuracy of matching positioning in flat terrain areas. The following conclusions can be drawn:
- The deviation in the positioning of terrain matching is primarily attributed to measurement noise. The terrain height information is sparser in areas with gradual terrain changes, and the increased measurement error at higher elevations will have a negative impact on terrain matching positioning. The identification and elimination of these sources of noise can significantly enhance both positioning accuracy and stability.
- Compared with the traditional matching method, the PCNN exhibits nonlinear processing capabilities, enabling it to detect and remove significant noise points in the measured terrain. Following node screening, the matched information demonstrates high authenticity.
- The mathematical model proposed in this paper demonstrates a strong ability to recognize noise points. The rate of convergence of the similarity function value near the reference point is increased while the similarity value of the non-reference area is reduced.
Compared with the existing methods, this method is suitable for flat terrain areas and has less dependence on terrain features. However, in the terrain feature distribution area, this method is slightly more computational than the traditional method. In future research, a smaller initial value is needed and the number of calculations in the terrain distribution area should be reduced.
Author Contributions
Conceptualization, P.C. and S.S.; methodology, P.C. and J.S.; software, Z.L., Z.W. and J.C.; validation, G.L. and Z.L.; formal analysis, P.C.; writing—original draft preparation, Z.L. and P.C.; writing—review and editing, P.C., L.L. and S.S.; visualization, P.C. and L.L.; project administration, J.S. and P.C.; funding acquisition, P.C. and J.S. All authors have read and agreed to the published version of the manuscript.
Funding
This research was funded by the key research and development program of Shanxi Province (202202020101001); the National Natural Science Foundation of China under Grant (51909245, 62003314); the Fundamental Research Program of Shanxi Province (202103021224187, 20210302124010, 20210302123050), and the Postgraduate Science and Technology Project of NUC (20231975).
Institutional Review Board Statement
Not applicable.
Informed Consent Statement
Not applicable.
Data Availability Statement
Data are contained within the article.
Conflicts of Interest
Author Guangqing Liu was employed by Shandong Product Quality Inspection Research Institute. The remaining authors declare that the research was conducted in the absence of any commercial or financial relationships that could be construed as a potential conflict of interest.
References
- Zhang, B.; Ji, D.; Liu, S.; Zhu, X.; Xu, W. Autonomous Underwater Vehicle Navigation: A Review. Ocean Eng. 2023, 273, 113861. [Google Scholar] [CrossRef]
- Zhao, D.-D.; Mao, W.-B.; Chen, P.; Dang, Y.-J.; Liang, R.-H. FPGA-Based Real-Time Synchronous Parallel System for Underwater Acoustic Positioning and Navigation. IEEE Trans. Ind. Electron. 2024, 71, 3199–3207. [Google Scholar] [CrossRef]
- Qin, H.M.; Wang, X.; Wang, G.C.; Hu, M.; Bian, Y.; Qin, X.; Ding, R. A novel INS/USBL/DVL integrated navigation scheme against complex underwater environment. Ocean Eng. 2023, 286, 115485. [Google Scholar] [CrossRef]
- An, P.E.; Beaujean, P.; Dhanak, M.; Micallef, Z. Sensor Bias Error Estimation for Terrain-Aided Navigation using Low-Cost AUVs. Oceans 2023, 2023, 1–7. [Google Scholar]
- Salavasidis, G.; Munafò, A.; McPhail, S.D.; Harris, C.A.; Fenucci, D.; Pebody, M.; Rogers, E.; Phillips, A.B. Terrain-Aided Navigation with Coarse Maps-Toward an Arctic Crossing with an AUV. IEEE J. Ocean. Eng. 2021, 46, 1192–1212. [Google Scholar] [CrossRef]
- Kim, K.; Sato, T.; Oono, A. Depth-based pseudo-terrain-following navigation for cruising AUVs. Control Eng. Pract. 2023, 131, 105397. [Google Scholar] [CrossRef]
- Severin, S.; Hannes, B.; Tamaki, U. Terrain-based Navigation for Underwater Vehicles Using Side Scan Sonar Images. In Proceedings of the Oceans 2008, Quebec City, QC, Canada, 15–18 September 2008; Volume 2008, pp. 1–3. [Google Scholar]
- Lyu, W.W.; Chen, X.H.; Wang, J.L. Adaptive Federated IMM Filter for AUV Integrated Navigation Systems. Sensors 2020, 22, 6086. [Google Scholar] [CrossRef]
- Ronen, L.; Ehud, R. Direct Method for Video-Based Navigation Using a Digital Terrain Map. IEEE Trans. Pattern Anal. Mach. Intell. 2011, 33, 406–411. [Google Scholar]
- Vial, P.; Palomeras, N.; Solà, J.; Carreras, M. Underwater Pose SLAM using GMM scan matching for a mechanical profiling sonar. J. Field Robot. 2023; Early View. [Google Scholar] [CrossRef]
- Liu, C.X.; Ruan, S.S.; Liu, F.M.; Fuming, L. Analysis on reliability of terrain matching algorithm based on ICP. J. Shenzhen Univ. 2005, 22, 22–26. [Google Scholar]
- Cheng, J.H.; Ding, H.Q.; Chang, Y.; Ge, J.Y. Research on underwater terrain matching method based on TERCOM-ICP joint algorithm. Navig. Position. Timing 2023, 10, 39–46. [Google Scholar]
- Wang, J.Y.; Zhang, T.; Zhang, C.; Yao, Y. An Improved ICCP-Based Underwater Terrain Matching Algorithm for Large Initial Position Error. IEEE Sens. J. 2022, 22, 16381–16391. [Google Scholar]
- Zhao, M.; Xu, Z.Y.; Ma, W.Q. Analysis of terrain navigability in underwater terrain aided navigation. J. Phys. Conf. Ser. 2021, 1887, 012001. [Google Scholar] [CrossRef]
- Shen, J.; Lu, X.; Xia, Q.T. Research on multi-index comprehensive evaluation method for terrain navigability of underwater autonomous vehicle. ACM Int. Conf. Proceeding Ser. 2019, 178–183. [Google Scholar] [CrossRef]
- Cai, W.; Liu, Y.; Chen, Y.; Dong, Z.; Yuan, H.; Li, N. A Seabed Terrain Feature Extraction Transformer for the Super-Resolution of the Digital Bathymetric Model. Remote Sens. 2023, 15, 4906. [Google Scholar] [CrossRef]
- Wang, R.P.; Wang, J.Y. Multi-information Fusion Starting Positioning of TAP with Pseudo Peaks Interference. Unmanned Syst. Technol. 2023, 6, 52–61. [Google Scholar]
- Chen, P.Y.; Liu, Y.; Chen, X.L.; Ma, T.; Zhang, L. Underwater Terrain Positioning Method Based on Markov Random Field for Unmanned Underwater Vehicles. Front. Mar. Sci. 2023, 10, 1201716. [Google Scholar] [CrossRef]
- Chen, W.G.; Wang, X.; Zhu, B.Y.; Jiang, T.C.; Zhou, J.X. Research on joint denoising method of multibeam water column image. Hydrogr. Surv. Charting 2023, 43, 19–23. [Google Scholar]
- Zhang, N.N.; Zhang, Y.Y.; Ding, W.Q. Review of Classical Image Denoising Methods. Control Instrum. Chem. Ind. 2021, 48, 409–413. [Google Scholar]
- Subashini, M.M.; Sahoo, S.K. Pulse coupled neural networks and its applications. Expert Syst. Appl. 2014, 41, 3965–3974. [Google Scholar] [CrossRef]
- Khmag, A. Natural digital image mixed noise removal using regularization Perona-Malik model and pulse coupled neural networks. Soft Comput. 2023, 27, 15523–15532. [Google Scholar] [CrossRef]
- Lad, B.V.; Hashmi, M.F.; Keskar, A.G. Parameter adaptive pulse coupled neural network-based saliency map fusion strategy for salient object detection. Neural Comput. Appl. 2023, 35, 15743–15757. [Google Scholar] [CrossRef]
- GeoAcoustics Limited. GeoSwath Plus Operation Manual; GeoAcoustics Limited: Great Yarmouth, UK, 2007. [Google Scholar]
- Chen, P.Y.; Chen, X.L.; Shen, J.; Teng, M. Single Ping Filtering of Multi-Beam Sounding Data Based on Alpha Shapes. Mar. Technol. Soc. J. 2021, 55, 106–114. [Google Scholar] [CrossRef]
- Gao, Y.Q.; Zhao, M.; Wang, P.; Zhang, H.G. An underwater terrain construction method based on moving-Kriging interpolation algorithm. J. Nav. Univ. Eng. 2019, 31, 53–57+112. [Google Scholar]
Disclaimer/Publisher’s Note: The statements, opinions and data contained in all publications are solely those of the individual author(s) and contributor(s) and not of MDPI and/or the editor(s). MDPI and/or the editor(s) disclaim responsibility for any injury to people or property resulting from any ideas, methods, instructions or products referred to in the content. |
© 2024 by the authors. Licensee MDPI, Basel, Switzerland. This article is an open access article distributed under the terms and conditions of the Creative Commons Attribution (CC BY) license (https://creativecommons.org/licenses/by/4.0/).














