Next Article in Journal
Long-Term Assessment of Morocco’s Offshore Wind Energy Potential Using ERA5 and IFREMER Wind Data
Previous Article in Journal
Underwater Terrain Matching Method Based on Pulse-Coupled Neural Network for Unmanned Underwater Vehicles
 
 
Font Type:
Arial Georgia Verdana
Font Size:
Aa Aa Aa
Line Spacing:
Column Width:
Background:
Article

Control System Design for Offshore Floating Platform Transportation by Combination of Towing and Pushing Tugboats

1
Department of Smart Mobility Engineering, College of Information Technology and Convergence, Pukyong National University, Busan 48513, Republic of Korea
2
Department of Intelligent Robot Engineering, Pukyong National University, Busan 48513, Republic of Korea
*
Author to whom correspondence should be addressed.
J. Mar. Sci. Eng. 2024, 12(3), 459; https://doi.org/10.3390/jmse12030459
Submission received: 24 January 2024 / Revised: 28 February 2024 / Accepted: 3 March 2024 / Published: 6 March 2024
(This article belongs to the Section Ocean Engineering)

Abstract

This study investigates the automated transportation control problem of an offshore floating platform that has limited or no maneuverability. The proposed solution involves two tugboats pushing into the platform and two other tugs towing it in the opposite direction. By implementing cooperative control of these tugs, the desired planar motion of the platform is achieved. For this, the proposed control consists of the following components: (1) an observer estimates the environmental disturbances, (2) a platform motion controller acts as the supervisory control, (3) an optimal constrained allocation distributes the required actions over the tugboats, and (4) the tugboats’ controller derived the control inputs of the tugs to fulfill these requirements. Simulation studies are conducted where the proposed solution is compared to one based on the robust H control framework. The results prove the efficiency and robustness of the proposed system.

1. Introduction

Using tugboats has been an effective method for positioning and transporting marine vessels in various scenarios, especially those with limited or no maneuverability. Berthing and unberthing of large ships, towing disabled vessels, navigating cargo barges through narrow channels, etc., can be named as a few of those scenarios. A tug assists by towing or pushing the vessels, thus adding maneuverability to the whole system. By cooperative control of several tugs, complex movements can be achieved while ensuring safe operations. Furthermore, the deployment of oversized or unwieldy offshore platforms like heavy cargo ships, floating cranes, offshore wind turbines, etc., is becoming popular thanks to the growth of offshore energy exploitation and maritime trade. Hence, transportation systems using multiple tugboats are becoming more and more relevant in marine mobility. A recent study forecasts that the tugboat service market will grow at a compound annual growth rate (CAGR) of 14.33% between 2023 and 2028 and the market size will increase by USD 3.15 billion [1]. Even so, automated control problems of these transportation systems are still wide-open.
Firstly, most of these systems rely on manually controlled tugboats. That is, each tugboat is controlled by a skilled pilot, managing its thrust, position, heading angle, etc. With the involvement of multiple tugs, their pilots also need to communicate and cooperate. This is not an easy task, as it requires significant time and effort and also puts involved people at risk. In recent years, there has been a noticeable increase in the commercialization of autonomous tugboats [2,3,4]. This opens the door for automated control of the offshore platform transportation system with better performance and without human intervention.
Secondly, the configuration of tugboats, i.e., the number of boats and their role in transportation, is considered. The tugs can contact and push the platform to be transported or tow it over towing lines. Existing proposals vary from a single tug to a maximum of six cooperating, as shown in Figure 1. Lee et al. [5] proposed the use of a single tugboat to tow a vessel via a towing line and move it in a tight space. The vessel has no propulsion but is equipped with passive actuation mechanisms like rudders. In this configuration, not only is the tug controlled, but also the vessel’s actuators have to actuate to be able to ensure the desired trajectory of the vessel and the stability of the whole transportation system. An offshore platform without any actuators requires at least two tugboats to assist. The popular arrangement is that both tugboats tow the platform, where one of them plays the guiding role at the front and the other plays the following row at the back [6,7]. Even so, the system dynamics are still nonholonomic. Therefore, the configurations of four tugboats are usually used in practical applications, and in research, the combinations of six tugs are proposed in order to provide sufficient maneuverability in complex operating situations. In [8,9,10], the tugs attach and provide propelling to the platform from different directions. Towing a platform by towing lines provides more freedom to the tugboats so a system of four towing tugboats is preferred in [7,11,12]. Regardless of pushing or towing, the tugs are usually positioned evenly around the transported platform to keep the balance for the platform, as well as provide comparable controllability in all directions on the horizontal plane. However, this arrangement takes up space, so in crowded and complicated work areas, they are difficult to implement. To overcome this, we previously proposed in [13] the novel configuration of tugboats for the offshore transportation system. It consists of two pushing tugboats and two other tugs to tow the platform. All are positioned on one side of the platform so that they use the space more effectively. By coordinating opposing pushing and towing forces from the tugs, the maneuverability of the system is still comparable with conventional configurations. Unfortunately, the system models in [13] do not fully reflect the interaction between the platform and the tugs in this configuration.
The control system for this transportation configuration then needs designing. The objective is to govern the tugs such that the desired movement of the transported platform is achieved and the stability of the entire system is preserved. The control flow starts by determining the force and torque required to act on the platform to achieve this desired movement. It is then distributed across the tugboats from where the control action for each tug is calculated and acted upon. [13] introduced the first control attempt for our proposed tugboat configuration by a centralized H control with pseudo-inverse-based allocation of the platform control inputs. However, the resulting outputs can be unusable due to this allocation method. For example, force amplitude is negative, or the impact angle violates practical geometry constraints. In addition, the motion references for the tugs have not been defined in this study due to the shortcomings in the system model. Therefore, the feasibility of the proposed control cannot be verified. Our latter study [14] solved these issues by (1) considering the allocation design as a constrained optimization problem and (2) designing the H control based on a modified system model with the state variables of the towing tugboats containing the towing force and its impact angle, which correspond with the output of the allocation. Simulation results have validated the proper control performances of this transportation control system but also hinted that they can be improved in terms of positioning accuracy, control-distribution efficiency, and control-effort consumption. For other conventional tugboat configurations, decentralized architecture has also been adopted besides our centralized control. An optimal-based allocation is combined with the sliding mode control in [10] and with feedback control in [9] for the offshore platform-transportation system with attached tugboats. In the case of four tugboats towing the platform, model predictive control with a dynamic coordination-decision mechanism was introduced in [11], consensus control was designed in [15], and dynamic surface control was combined with optimal-based and robust control in [12]. The decentralized control has flexibility in the coordination of different control techniques that suit the characteristics of each vessel in the system. However, most decentralized control systems adopt the cascade scheme, where only the input-to-state stability can be preserved.
Therefore, we propose a novel control system for offshore platform transportation with the mentioned arrangement of pushing and towing tugboats in this paper. The control aims for precise positioning and tracking of the platform and preserves the stability of the entire system. In such, challenging tasks like berthing and navigating through a busy workspace can be conducted safely and successfully, even with the presence of ocean disturbances. For this, the mathematical models of the entire system are first derived, in which, the tugboat models are written with new state variables. Then, the control strategy is proposed, consisting of (1) an observer estimating the environmental disturbances, (2) a platform motion controller acting as the supervisory control, (3) an optimal constrained allocation distributing the required actions over the tugboats, and (4) the tugboats’ controller deriving the control inputs of the tugs. The boundedness of the transportation is proved via the Lyapunov stability theory, and comparative simulations are conducted in challenging scenarios for evaluating the control performance. The problem formulation, control-system design, stability analysis, and simulation studies are respectively organized from the following Section 2, Section 3, Section 4 and Section 5. In Section 6, conclusions are drawn. Hence, the contribution of the paper can be summarized as follows:
  • A complete model of the offshore platform-transportation system using two pushing tugboats and two towing tugboats is first introduced with new state variables.
  • A novel control scheme is proposed for the offshore floating platform transportation system utilizing two pushing and two towing tugboats.
  • Proof of the boundedness of the entire system is provided. Simulation results evaluate the effectiveness of the proposed system.

2. Problem Formulation

The floating platform to be transported has neither propulsion nor actuators to regulate its movement. The proposed system uses two tugboats towing the platform via towing lines and two other tugs pushing it in the opposite direction. All are positioned on one side of the platform; for example, the front of the platform in a route following the task or the outside of the platform in the berthing operation. Hence, the longitudinal distances from their contact/connection points on the platform to the center of the platform can be considered equal. The other connection points of the ropes on the towing tugs are assumed to be at the tugs’ center. Among the tugs, the towing ones are on the outside and the pushing ones are on the inside. The arrangement of the floating platform and the tugboats, collectively referred to as vessels, are illustrated in Figure 2a. By varying the amplitude and angle of impact of the towing and pushing forces, the maneuverability of the platform can be sufficiently fulfilled. This is achieved by controlling the motion of the corresponding tugboats.

2.1. Kinematic and Dynamic Equations

Figure 2b depicts the schematic drawing with notations for system parameters and motion variables. The motions are realized in a north–east–down reference frame xyz and the standard body-fixed frame of each vessel. One can see that the whole system has 30 degrees of freedom (DoF), with the 6-DoF motions for each vessel. However, in a vessel dynamic-positioning problem, we can assume that the heave, pitch, and roll motion are sufficiently small and, therefore, neglected. Only the planar motions, i.e., surge, sway, and yaw, are worth considering [16]. The planar kinematics and dynamics of these vessels can be generally written as follows [17]:
η ˙ k = R ( ψ k ) ν k , M k ν ˙ k + D k ν k = τ k + τ D k
where the subscript k = s , 1 ~ 4 refers to the transported platform, the towing tugboats on the left and the right of the platform, and the pushing tugboats on the left and the right of the platform, respectively. For each vessel, the inertia matrix M k R 3 × 3 consists of its mass, the moment of inertia about its vertical axis, the added mass, and added inertia due to hydrodynamic forces and moments. D k R 3 × 3 is the total damping matrix. Assume that both are diagonal matrices. The vessel’s horizontal position and the heading angle in the reference frame are provided by η k = [ x k y k ψ k ] T R 3 , while the vector ν k R 3 indicates the velocities of the corresponding surge, sway, and yaw motions in the body-fixed frames. The kinematic relationship between frames is provided by the rotation matrix R ( ψ k ) which is:
R ( ψ k ) = [ cos ψ k sin ψ k 0 sin ψ k cos ψ k 0 0 0 1 ]
In the body-fixed frame, the total forces and torque acting on a vessel comprise the controllable one τ k R 3 and the unpredictable disturbances τ D k R 3 . The disturbances are majorly contributed by the wind and wave forces whose models have been thoroughly presented, such as in [11]. For the transported platform, Vector τ s represents the surge and sway forces and yaw moment resultant of the towing and pushing forces from the tugboats. From the schematic drawing in Figure 2b, τ s is computed as follows:
τ s = T ( α ) F ,   α = [ α 1   α 2   α 3   α 4 ] T ,   F = [ F 1   F 2   F 3   F 4 ] T , T ( α ) = [ c α 1 c α 2 c α 3 c α 4 s α 1 s α 2 s α 3 s α 4 l 1 y c α 1 l b s α 1 l 2 y c α 2 + l b s α 2 l 3 y c α 3 l b s α 3 l 4 y c α 4 l b s α 4 ]
In Equation (3), F i ,   i = 1 ~ 4 , is the amplitude of the towing/pushing force from the corresponding tugboat, and α i is the angle of impact of the force on the transported platform. Apparently, F i 0 . l b is the distance from the mass center of the platform to the contacting/connection point with the tugboats in the longitudinal direction of the platform. l i y ,   i = 1 ~ 4 , on the other hand, is the corresponding distance in the platform’s lateral direction. Additionally, c (     ) = cos (     ) and s (     ) = sin (     ) for simplification.
In the case of the towing tugboats, the input τ t ,   t = 1 , 2 , combines the forces and torques generated by the onboard actuators τ T t and the towing force F t . It is noteworthy that the direction of the towing force is along the towing line. That is, its impact angle on the tug depends on the relative angle α t and the yaw angle ψ t of the tug itself:
τ t = τ T t B t ( α t , ψ s , ψ t ) F t ,   t = 1 , 2 , B t ( α t , ψ s , ψ t ) = [ c ( α t + ψ s ψ t ) s ( α t + ψ s ψ t ) 0 ] T
Similarly, τ p ,   p = 3 , 4 , of the pushing tug p is the result of actuation τ T p and the contact force F p along the tug’s longitudinal axis. They are written as follows:
τ p = τ T p [ 1 0 0 ] T F p ,   p = 3 , 4
From the theory of elasticity, the contact forces and towing forces are modeled in the same form [18]:
F i = s ( δ l i ) k i δ l i ,   i = 1 ~ 4 , δ l i = d i l i c   ,   s ( δ l i ) = 1 / ( 1 + e c 1 ( δ l i c 2 ) ) , d i = ( x i x s l i c ( θ i + ψ s ) ) 2 + ( y i y s + l i s ( θ i + ψ s ) ) 2
In the case of the towing forces, k i ,   i = 1 ,   2 , is the stiffness of the rope, δ l i is the difference between the rope’s length l i c and the distance d i between two connecting points, and s ( δ l i ) is a smooth function to define that the force only appears when the rope is tensioned. For the contact force, k i ,   i = 3 ,   4 , is the stiffness of the contact patch, δ l i is the difference between the longitudinal distance l i c from the tug’s center to its front end and the distance d i from the tug’s center to the contact point on the platform, and s ( δ l i ) indicates the force only appears when the tug contacts with the platform.
Moreover, the motion control problems of pushing-type tugboats have been well established, especially in comparison to the towing-type ones. Therefore, their dynamics are dismissed, and it is assumed that their responses perfectly meet any movement requirements. That leaves the motions of the platform and the towing tugboats to be examined in the remainder of the paper.

2.2. Transformed System Model

The motion equation of the transported platform and the towing tugboats can be written solely in the reference frame as follows:
M ¯ k η ¨ k + D ¯ k η ˙ k = τ ¯ k + τ ¯ D k ,   k = s ,   1 ,   2
where:
M ¯ k = R ( ψ k ) M k R ( ψ k ) T ,   D ¯ k = R ( ψ k ) ( D k R ( ψ k ) T M k S ( ψ ˙ k ) R ( ψ k ) T ) ,   τ ¯ k = R ( ψ k ) τ k ,   τ ¯ D k = R ( ψ k ) τ D k ,   S ( ψ ˙ k ) = [ 0 ψ ˙ k 0 ψ ˙ k 0 0 0 0 0 ]
Additionally, from the relative position between the platform and the towing tugs, the horizontal position of the tugs can be written as follows:
η t = [ x t y t ψ t ] = [ x s + l t c ( θ t + ψ s ) + d t c ( α t + ψ s ) y s l t s ( θ t + ψ s ) d t s ( α t + ψ s )   ψ t ]
Taking the second-time derivatives from both sides of Equation (9) and substitute η ¨ s and η ¨ t from Equation (7) results in:
M ˜ t z ¨ t + D ˜ t z ˙ t = G t T R ( ψ t ) τ T t D ˜ s t η ˙ s B ˜ s t F G s t T τ ¯ D s + G t T τ ¯ D t ,   z t = [ α t ψ t d t ] T
where the details of the coefficient matrices are provided in Appendix A. From Equation (10), one can see that the dynamics of the towing tugboats are now represented through the relative motion with the platform they convey. The state variables contain the impact angle α t of the towing force on the platform and the distance d t , which, from Equation (6), corresponds to the amplitude of the force.

3. Control System Design

The objective of this transportation control design is to derive the actuation laws of the tugboats to convey the offshore platform safely and precisely following a desired trajectory, even in the presence of unpredictable environmental disturbances. For this, the proposed control system is depicted in Figure 3 and consists of the following components: (1) third-order sliding mode observer, (2) platform motion controller, (3) control allocation, and (4) motion controllers for the towing tugboats. Their design is presented in the following subsections.

3.1. Higher-Order Sliding Mode Observer Design

Assume that the influences of environmental disturbances on the vessels are differential and their first-order time-derivative is bounded. That is, τ ˙ D k ε k ,   k = s ,   1 ,   2 and ε k are positive scalars. Third-order sliding mode observers are adopted to estimate these influences. Different from the conventional sliding mode technique, the higher-order sliding mode observer is continuous, so it is able to alleviate the well-known chattering phenomenon so that robust and smooth estimations are achieved. The observers are formulated as follows:
χ ^ ˙ k 1 = χ ^ k 2 + Δ k 1 χ ˜ k 1 2 / 3 ,   χ ^ ˙ k 2 = M ¯ k 1 ( D ¯ k χ ^ k 2 + τ ¯ k + χ ^ k 3 ) + Δ k 2 χ ˜ k 1 1 / 3 , χ ^ ˙ k 3 = Δ k 3 χ ˜ k 1 0
The state vectors χ ^ k 1 , χ ^ k 2 , and χ ^ k 3 estimate η k , η ˙ k , and τ ¯ D k , respectively. The difference between the true and estimated values is defined by the observer errors:
  χ ˜ k 1 = η k χ ^ k 1 ,   χ ˜ k 2 = η ˙ k χ ^ k 2 ,   χ ˜ k 3 = τ ¯ D k χ ^ k 3
Additionally, Δ k 1 , Δ k 2 , and Δ k 3 R 3 × 3 are the observer gains to be chosen later. The operator p , with p a real number, for a vector with n elements is defined as:
p = [ | 1 | p s i g n ( 1 )   | 2 | p s i g n ( 2 )     | n | p s i g n ( n ) ] T
By taking the time-derivative of Equation (12) and subsequently substituting the vessels’ dynamics (1) and observer (11), the dynamics of the resultant observer error are as follows:
χ ˜ ˙ k 1 = χ ˜ k 2 Δ k 1 χ ˜ k 1 2 / 3 , χ ˜ ˙ k 2 = M ¯ k 1 D ¯ k χ ˜ k 2 + M ¯ k 1 χ ˜ k 3 Δ k 2 χ ˜ k 1 1 / 3 , χ ˜ ˙ k 3 = τ ¯ ˙ D k Δ k 3 χ ˜ k 1 0

3.2. Transported Platform Controller Design

The motion controller for the transported platform acts as a supervisory controller and determines the required forces and torque acting on it to achieve the desired movement. The objective is reflected via the following control errors:
e s 1 = η s d η s + Λ s 1 0 t ( η s d η s ) d ι ,   e s 2 = υ s d v s
where η s d is the required trajectory of the platform in the reference frame xyz. υ s d indicates the needed surge, sway, and yaw velocities to compensate for the error e s 1 and is designed as follows:
υ s d = R ( ψ s ) T ( η ˙ s d + Λ s 1 ( η s d η s ) + Λ s 2 e s 1 )
Then, the desired actuation τ s d on the platform is proposed as in Equation (17), such that if the forces and torque τ s meet τ s d , the control errors’ dynamics can be derived as in Equation (18).
τ s d = D s v s R ( ψ s ) T χ ^ s 3 + M s ( υ ˙ s d + R ( ψ s ) e s 1 ) + Λ s 3 e s 2
e ˙ s 1 = R ( ψ s ) e s 2 Λ s 2 e s 1 , e ˙ s 2 = R ( ψ s ) e s 1 M s 1 Λ s 3 e s 2 M s 1 χ ˜ s 3 M s 1 ( τ k τ s d )
In Equations (15)–(18), Λ s 1 , Λ s 2 , and Λ s 3 R 3 × 3 are diagonal positive definite matrices to be provided later.

3.3. Optimal Constrained Control Allocation Design

As indicated in Equation (3), the required control (17) on the platform can be fulfilled by manipulating the pushing/towing forces and their impact angles, and both are resultant from the motion of the pushing/towing tugboats. One can also see in Equation (3) that there can be countless combinations of the forces and angles to achieve a particular τ s d . In reality, the impact angles are limited by the geometry of the vessels and working areas, and the forces’ amplitude cannot be larger than the maximum thrust of the tugs. A control allocation, as its name, allocates τ s d into the desired pushing/towing forces and impact angles while still being able to satisfy the mentioned constraints. Moreover, a proper and effective allocation should also minimize the required thrusts and, subsequently, power the consumption of the tugs. Hence, designing the control allocation for this system can be considered a constrained optimization problem, and we propose it in the following linear form:
min ς { J = ς T H ς + h T ς } ,   s . t .   ς l o ς ς u p ,   A e q ς = b e q
The vector of optimization variables is ς = [ Δ F T   Δ α T   s T   F d T   α d T ] T , with the subscript d indicating the desired values, and Δ F = F d F , Δ α = α d α , and s R 3 being slack variables. H R 19 × 19 is a symmetric positive definite matrix as the quadratic objective term, and h R 19 is the vector of the linear objective term of the total objective function J . The function considers the pushing/towing forces and the tugboats’ motion (via the relative angles α ) and their rate of change. The linear constraints consist of (1) the equality of the platform control and the allocated forces and impact angles, and (2) the lower and upper bounds of the optimization variables. To derive the first constraint, the nonlinear relationship (3) is modified with the desired values and slack variables:
τ s d + s = T ( α d ) F d
By adopting the Taylor series expansions to the first order of (20) about the current forces F and angles α , the following linear approximation is obtained:
τ s d + s T ( α ) F + T ( α ) Δ F + T F ( α ) Δ α , T F ( α ) = [ F 1 s α 1 F 2 s α 2 F 3 s α 3 F 4 s α 4 F 1 c α 1 F 2 c α 2 F 3 c α 3 F 4 c α 4 F 1 ( l 1 y s α 1 + l b c α 1 ) F 2 ( l 2 y s α 2 l b c α 2 ) F 3 ( l 3 y s α 3 + l b c α 3 ) F 4 ( l 4 y s α 4 l b c α 4 ) ]
Then, Aeq and beq are provided by:
A e q = [ T ( α ) T F ( α ) F I 3 × 3 O 3 × 4 O 3 × 4 I 4 × 4 O 4 × 4 O 4 × 3 I 4 × 4 O 4 × 4 O 4 × 4 I 4 × 4 O 4 × 3 O 4 × 4 I 4 × 4 ] ,   b e q = [ τ s d T ( α ) F   F   α ]
with I n × n being the identity matrix size n and O m × l being the m-by-l null matrix. On the other hand, the boundary constraints can be simply written as:
  ς l o = [ F T ( α min α ) T s min T   0 T   α min T ] T ,   ς u p = [ ( F max F ) T ( α max α ) T s max T   F max T   α max T ] T
with the subscripts min and max indicating the minimum and maximum possible values, respectively. The quadratic objective function (19) with linear constraints (22) and (23) can be easily solved by numerical tools like the quadprog function in MathWorks MATLAB [19]. The optimization solutions yield the desired pushing/towing forces and impact angles from the tugboats such that (1) the difference between τ s d and T ( α d ) F d is minimal; (2) the power consumption of the tugboats is minimized, where the consumption is understood via the desired pushing/towing forces F d , impact angles α d , and their rate of change Δ F and Δ α , with the weights of these values being determined in H and h; and (3) the desired thrust is within the limit of the tugboats’ propulsion, and the tugboats’ position is within the allowable working area.

3.4. Tugboats’ Controller Design

The objective of the tugboats’ controllers is that the forces and impact angles required by the above allocation are satisfied. As the motion control of the pushing tugboats is dismissed in this study, only towing tugboats are considered. For this, the control errors of the towing tug t , ( t = 1 ,   2 ), are defined as follows:
e t 1 = z t d z t , e t 2 = υ i 1 z ˙ t ,   υ t 1 = Λ t 1 e t 1
In which z t = [ α t ψ t d t ] T as mentioned in Equation (10). The reference vector z t d of the tugboat t consists of the desired impact angle α t d provided by the allocation, the desired yaw motion ψ t d , and the length of the towing line l t c . That is, z t d = [ α t d ψ t d l t c ] T . Then, with Λ t 1 R 3 × 3 being a positive definite matrix, υ t 1 is the desired velocity vector of z t to achieve the reference z t d . Taking the time derivative of e t 1 and e t 2 and substituting the towing tugboats’ modified model (10), the dynamics of the control errors are derived as follows:
  e ˙ t 1 = e t 2 Λ t 1 e t 1 , e ˙ t 2 = υ ˙ t 1 M ˜ t 1 ( D ˜ t z ˙ t + G T R ( ψ t ) τ T t D ˜ s t η ˙ s B ˜ s t F G s T τ ¯ D s + G T τ ¯ D t )
The proposed control laws for the tugboats are as follows:
τ T t = R ( ψ t ) T G t T ( B ˜ s t F d + D ˜ s t η ˙ s + D ˜ t z ˙ t + M ˜ t υ ˙ t 1 + M ˜ t ( I Λ t 1 Λ t 1 ) e t 1 + M ˜ t ( Λ t 2 + Λ t 1 ) e t 2 + G s t T χ ^ s 3 ) R ( ψ t ) T χ ^ t 3
with Λ t 2 R 3 × 3 also being a positive definite.

4. Stability Analysis

To analyze the stability of the entire system and derive the choice of control gains, the following Lyapunov function candidate is considered:
V = V χ + V τ , V χ = k = s , 1 , 2 χ ˜ k T P k χ ˜ k ,   V τ = 1 2 k = s , 1 , 2 ( e k 1 T e k 1 + e k 2 T e k 2 )
with:
χ ˜ k = [ χ ˜ k 1 2 / 3   χ ˜ k 2 χ ˜ k 3 2 ] ,   P k = [ Γ k 1 0.5 Γ k 12 O 3 × 3 0.5 Γ k 12 Γ k 2 0.5 Γ k 23 O 3 × 3 0.5 Γ k 23 Γ k 3 ] , Γ k i = d i a g { γ k i x ,   γ k i y ,   γ k i ψ } ,   i = 1 ,   12 ,   2 ,   23 ,   3
d i a g { } being the diagonal matrix with the diagonal line provided by the vector in { } . γ indicates scalars that satisfy the following conditions such that P k is positive definite [20].
γ k 1 j > 0 ,   γ k 1 j γ k 2 j 1 4 γ k 12 j 2 > 0 , ( γ k 1 j γ k 2 j 1 4 γ k 12 j 2 ) γ k 3 j 1 4 γ k 1 j 2 γ k 23 j 2 > 0 ,   j = x , y , ψ
Taking the time derivative of V χ results in:
V ˙ χ = k = s , 1 , 2 χ ˜ k T Q 1 k χ ˜ k 1 / 2 k = s , 1 , 2 χ ˜ k T Q 2 k χ ˜ k
with:
Q 1 k = [ Q k 11 O 3 × 3 Γ k 12 M k 1 2 3 Γ k 12 Γ k 23 Δ k 2 Q k 12 O 3 × 3 2 Q k 23 Γ k 23 M k 1 4 Q k 13 d i a g { χ ˜ k 1 0 } O 3 × 3 O 3 × 3 ] ,   Q 2 k = [ O 3 × 3 O 3 × 3 O 3 × 3 M k 1 D k Γ k 12 2 M k 1 D k Γ k 2 O 3 × 3 O 3 × 3 M k 1 D k Γ k 23 O 3 × 3 ] , Q k 11 = 4 3 Γ k 1 Δ k 1 Γ k 12 Δ k 2 ,   Q k 12 = 2 Γ k 2 Δ k 2 + 2 Γ k 12 Δ k 1 3 + 4 Γ k 1 3 , Q k 13 = Γ k 3 ( d i a g { τ ˙ D k } × χ ˜ k 1 0 Δ k 3 ) ,   Q k 23 = Γ k 2 M k 1 Γ k 23 ( d i a g { τ ˙ D k } d i a g { χ ˜ k 3 0 } Δ k 3 d i a g { χ ˜ k 1 0 } d i a g { χ ˜ k 3 0 } )
One can see that Q 2 k is a positive semi-definite matrix. Hence, the second term in Equation (30) is negative semi-definite. In addition with the Theorem 1 in [20], by choosing the observer gains Δ k 1 , Δ k 2 , and Δ k 3 as:
Δ k i = d i a g { δ k i h ,   δ k i h ,   δ k i h } ,   δ k i h >   ε k ,   h = 1 ,   2 ,   3 ,   γ k 12 h > 0 ,   γ k 23 h > 0 ,   j = x ,   y ,   ψ ,
there exists some positive κ such that:
V ˙ χ κ V χ   3 / 4
In other words, the proposed observer is finite-time stable. On the other hand, taking the time derivative of V τ provides:
V ˙ τ e T S e + 1 2 ζ T ζ
where:
e = [ e s 1 e s 2 e 11 e 21 e 12 e 22 ] ,   ζ = [ z ˙ 1 d z ˙ 2 d s χ ˜ s 3 χ ˜ 13 χ ˜ 23 ] ,   S = [ S 11 O 3 × 3 O 3 × 3 O 3 × 3 O 3 × 3 O 3 × 3 O 3 × 3 S 22   S 23   O 3 × 3 O 3 × 3 O 3 × 3 Λ 11 O 3 × 3 O 3 × 3 O 3 × 3 O 3 × 3 O 3 × 3 O 3 × 3 Λ 11 O 3 × 3 O 3 × 3 O 3 × 3 O 3 × 3 O 3 × 3 O 3 × 3 S 55 S 56 O 3 × 3 O 3 × 3 O 3 × 3 O 3 × 3 S 65 S 66 ] , S 11 = Λ s 2 1 2 I 3 × 3 , S 22 = M s 1 Λ s 3 1 2 M s 2 ,   S 23 = M s 1 [ Ε τ 1 O Ε τ 2 ] Ε s , S 55 = Λ 12 M ˜ 1 1 B ˜ s 1 E 11 1 2 G M ˜ 1 T M ˜ 1 1 G T 1 2 G s M ˜ 1 T M ˜ 1 1 G s T ,   S 56 = M ˜ 2 1 B ˜ s 2 E 12 , S 65 = M ˜ 2 1 B ˜ s 2 E 12 ,   S 66 = Λ 22 M ˜ 2 1 B ˜ s 2 E 11 1 2 G M ˜ 1 T M ˜ 1 1 G T 1 2 G s M ˜ 2 T M ˜ 2 1 G s T , Ε s = [ 1 0 0 0 0 0 0 1 0 O 3 × 3 0 0 0 1 0 0 0 0 0   O 3 × 9   0 0 0 0 0 1 0 0 0 O 3 × 3 0 1 0 0 0 0 0 0 1 ] ,   E 11 = [ 0 0 k 1 s ( δ l 1 ) 0 0 0 0 0 0 0 0 0 ] ,   E 12 = [ 0 0 0 0 0 k 2 s ( δ l 2 ) 0 0 0 0 0 0 ] , Ε τ 1 = T F ( α ) [ I 2 × 2   O 2 × 1 O 2 × 3 ] ,   Ε τ 2 = T ( α ) d i a g { s ( δ l i ) k i } [ I 2 × 2   O 2 × 1 O 2 × 3 ]
With ζ being bounded, the proposed control ensures the system to be bounded if the controllers’ gains are chosen such that the matrix S is positive definite [21]. It is noted that the function s ( ) models the smooth transition between two discrete states: tension or intension (in the case of towing lines), and contact or non-contact (in the case of the pushing tugboats). Then, during the effective operation of the tugs, we can simply replace s ( ) = 1 . Additionally, S contains nonlinear elements. By considering the nonlinear system as a polytopic system, the controllers’ gains can be optimally derived using linear matrix inequality techniques [22]. Then, the stability of the whole system is preserved.

5. Simulation Studies

5.1. Implementation

Simulation studies have been conducted to validate and evaluate the proposed control system. The system models in Section 2.1 and the control system in Section 3 are solved numerically using MathWorks MATLAB/Simulink 2023b. For the former, the specifications of the platform and the tugboats are taken from the experimental prototypes. which were previously provided in [13]. The data on the environmental disturbances, including wind and waves, are taken from [11]. Other parameters related to the towing lines are provided in Table 1. The chosen gains of the observer, the allocation, and the controllers are also listed in this table. As mentioned above, the dynamics and control of the pushing tugs are dismissed in this paper. Therefore, in the simulations, they are represented by second-order critically damped systems with natural frequency 5 [rad/s].
Additionally, a robust control based on the well-known H framework is taken into comparison. The control was used for the same offshore platform-transportation system, and its details were provided in [14]. The control was designed based on the linearization of the transformed models in Section 2.2 with the objective being to minimize the H norm of the closed-loop system. Moreover, the pushing/towing forces and their impact angles were not considered in the allocation. The system performance of the comparative was also validated in that paper, so it would be useful for evaluating the proposed system.
Two simulation scenarios are considered. In the former case, the platform starts from position and heading angle η s = [ 0   0   0   ] T . It is required to move along the x-direction, and it subsequently changes direction twice with turning angles of 45 and −45 [deg] before reaching the destination at [ 14     5 ] T [m]. This is a simple imitation of a moving route of the offshore platform at sea. The latter simulation mimics a berthing operation of this platform in which the platform initially moves parallel with the dock from its initial position at [ 7     10 ] T [m] and its heading angle at 270 [deg] with respect to the dock. The platform is then required to move along a circular route with a radius of 5 [m] while continuously rotating to reach the final docking state η s = [ 0   0   0   ] T . The total time for these two operations is 300 [s].

5.2. Results and Discussion

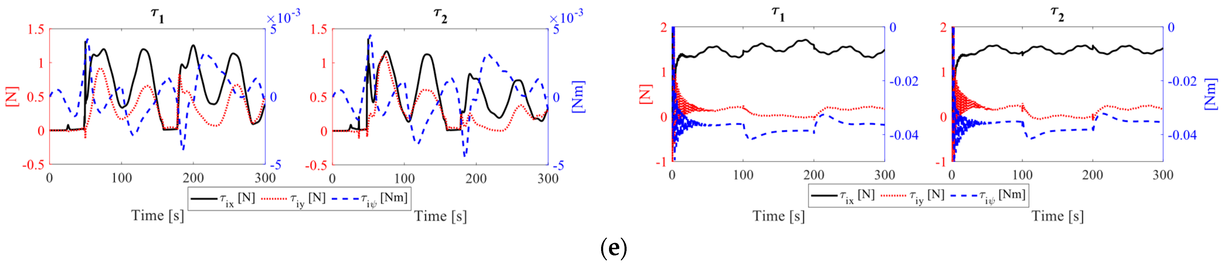
The simulation results of the first scenarios are depicted in Figure 4. The responses provided by the comparative H control are shown on the left, and those of the proposed system are on the right. Figure 4a shows the route made by the platform and the tugs. The posture of the vessels is also displayed every 50 [s] in this figure. Here, both considered systems can transport the platform following the desired route. However, a large variation can be seen, and the motion in the x-direction lags behind its reference in the comparative system. The towing tugboats in this system also adjust their direction frequently to control the transported platform. Subsequently, it may lead to more fuel consumption for this longer route. The time responses and the tracking errors in the left parts of Figure 4b,c convey something similar. One explanation is that although comparison control ensures stability, it is significantly affected by environmental disturbances. The control inputs shown in Figure 4e hint that the actions are not responsive enough to effectively compensate for the changing of the wind and wave forces acting on the vessels.
Meanwhile, precise tracking motion and effective disturbance rejection are realized in the proposed system. The trajectory of the transported platform closely follows the desired one, as in Figure 4a. The movement of the towing tugs struggles a bit at the beginning, but they quickly settle down and easily follow the requirements set by the control allocation. Particularly, their routes are more consistent than those of the comparative control as seen in the right parts of Figure 4b,c. The control actions of the proposed system are shown in Figure 4d,e. Here, the tugboats’ actuators have to do their operation more, which can be difficult for the traditional manually controlled tugs. With the deployment of autonomous tugs, these actions can be achieved and result in maintaining the platform’s desired movement and compensating for disturbances. However, this can also be considered as a downside. It is also worth noting that even with the more responsive platform control, the designed control allocation can still properly distribute over the tugboats. As seen in the top figures of Figure 4d, the control input (17) provided by the platform control on the left and the input computed by Equation (3) from the allocated forces and impact angles on the right match each other properly. In contrast, those in the comparison system have clear differences, hence contributing to worse motion performance.
The results from the berthing scenario are depicted in a similar manner in Figure 5. The same observation for the previous simulation also applies to this case. Above all, the berthing operation requires precise positioning of the transported platform to ensure safety and avoid colliding with the dock or other ships. The conveying tugboats must also remain firmly within their allowable working area (determined through the maximum and minimum impact angle constraints). Therefore, the tracking route made by the comparison control shown in Figure 5a (left) needs improving. Especially, around the 100 [s] interval, the position of the towing tugboats violates the provided geometry constraint. That is, the impact angles α 1 and α 2 exceed their maximum allowable values, as shown in the bottom-left parts of Figure 5b. This risks the tugs colliding with the surroundings. The figures on the right of Figure 5a,b,c prove that the proposed transportation system, on the other hand, berths the platform precisely and safely. The root mean square error (RMSE) of positioning is 0.0069 [m] with the proposed system. Compared to the RMSE of 0.3280 [m] of the comparative system, it improves up to 97.9%. The movement of the towing tugboats is smooth most of the time, except at the moment of changing between the straight and curved trajectories. Due to the discontinuity of the reference trajectory at these points, the differential terms in the control laws become sufficiently large in the numerical simulations. This results in the sudden movements of the tugs and responsive adjustments in the control inputs, as can be seen in the right part of Figure 5b–d. Although the sway is quickly settled, the control effort of the tugs is also significantly higher than that of the comparative system. Considering the priority of the berthing scenario, this is an acceptable trade-off but needs addressing in the future.

6. Conclusions

This study has investigated the automated motion-control problem of the offshore transportation system using a combination of two towing tugboats and two pushing tugs arranged on one side of the platform. Mathematical models of the entire system have been formulated and demonstrate the impact of the tugboats on the motion of the transported platform. The proposed control aims to automatically regulate the towing tugs such that the platform can be transported safely and precisely. For this, the control system consists of disturbance observers, a supervisory platform controller, a control allocation, and controllers for the towing tugs. The control system design and stability were discussed in detail in the paper. Its performance was validated and evaluated through simulation studies, while the proposed system shows superior motion performance in comparison to the control system based on the robust H framework. However, the proposed control also demands responsive control actions. This problem will be addressed in future development, for example, by considering the command-filtered control techniques, such that excellent performance can still be achieved with more gentle control input. Additionally, experiments will be conducted in the laboratory and real-world operations for further evaluation.

Author Contributions

Conceptualization, T.H. and Y.-B.K.; methodology, T.H.; software, Y.-B.K.; validation, T.H. and Y.-B.K.; formal analysis, T.H.; investigation, T.H.; resources, Y.-B.K.; data curation, T.H.; writing—original draft preparation, T.H.; writing—review and editing, T.H. and Y.-B.K.; visualization, T.H.; supervision, Y.-B.K.; project administration, Y.-B.K.; funding acquisition, Y.-B.K. All authors have read and agreed to the published version of the manuscript.

Funding

This work was supported by the National Research Foundation of Korea (NRF) grant funded by the Korean government (MSIT) (No. 2022R1A2C1003486).

Institutional Review Board Statement

Not applicable.

Informed Consent Statement

Not applicable.

Data Availability Statement

Data are contained within the article.

Acknowledgments

This work was also supported by the National Research Foundation (NRF), Republic of Korea under Project BK21 FOUR (Smart Convergence and Application Education Research Center).

Conflicts of Interest

The authors declare no conflicts of interest.

Appendix A

Taking the time derivative of both sides of Equation (9) results in:
η ˙ t = R ˜ t η ˙ s + G t z ˙ t , R ˜ t = [ 1 0 l t s ( θ t + ψ s ) d t s ( α t + ψ s ) 0 1 l t c ( θ t + ψ s ) d t c ( α t + ψ s ) 0 0 0 ] ,   G t = [ d t s ( α t + ψ s ) 0 c ( α t + ψ s ) d t c ( α t + ψ s ) 0 s ( α t + ψ s ) 0 1 0 ]
The second-order time derivative of η t derived from (A1) is as follows:
η ¨ t = R ˜ t η ¨ s + G t z ¨ t + W 1 t W 2 t η ˙ s + N 1 t N 2 t z ˙ t , W 1 t = [ l t c ( θ t + ψ s ) d t c ( α t + ψ s ) d t c ( α t + ψ s ) s ( α t + ψ s ) l t s ( θ t + ψ s ) + d t s ( α t + ψ s ) + d t s ( α t + ψ s ) c ( α t + ψ s ) 0 0 0 ] ,   W 2 t = [ 0 0 ψ ˙ s 0 0 α ˙ t 0 0 d ˙ t ] , N 1 t = [ d t c ( α t + ψ s ) d t c ( α t + ψ s ) s ( α t + ψ s ) d t s ( α t + ψ s ) d t s ( α t + ψ s ) c ( α t + ψ s ) 0 0 0 ] ,   N 2 t = [ ψ ˙ s 0 0 α ˙ t 0 0 2 d ˙ t 0 ψ ˙ s ]
Then, by substituting η ¨ t and η ¨ s from Equation (7), Equation (10) is obtained with the system matrices listed by:
M ˜ t z ¨ t + D ˜ t z ˙ t = G t   T R ( ψ t ) τ T t D ˜ s t η ˙ s B ˜ s t F G s t T τ ¯ D s + G t   T τ ¯ D t , M ˜ t = G t   T M ¯ t G t ,   D ˜ t = G t   T ( M ¯ t N 1 t N 2 t + D ¯ t G t ) ,   D ˜ s t = G t   T ( M ¯ t W 1 t W 2 t + D ¯ t R ˜ t M ¯ t R ˜ t M ¯ s 1 D ¯ s ) , B ˜ s t = G t   T ( M ¯ t R ˜ t M ¯ s 1 R ( ψ s ) T ( α ) + R ( ψ t ) B ˜ t ) ,   G s t T = G t   T M ¯ t R ˜ t M ¯ s 1 , B ˜ t = B t [ n 1   n 2   n 2   n 4 ] , [ n j = 1   if   j = t n j = 0   otherwise ,   j = 1 ~ 4 ,

References

  1. Tugboats Services Market by Application, Power Rating, and Geography—Forecast and Analysis 2023–2027. Available online: https://www.technavio.com/report/tugboats-services-market-industry-analysis (accessed on 22 January 2024).
  2. Autonomous Sea-Going Tug Boat Odyssey Gets Ready to Launch. Available online: https://www.forbes.com/sites/edgarsten/2021/09/14/autonomous-sea-going-odyssey-readying-launch/?sh=2da840b55a26 (accessed on 22 January 2024).
  3. Koznowski, W.; Łebkowski, A. Unmanned Electric Tugboat Formation Multi-Agent Energy-Aware Control System Concept. Energies 2022, 15, 9592. [Google Scholar] [CrossRef]
  4. Choi, J.H.; Jang, J.Y.; Woo, J. A Review of Autonomous Tugboat Operations for Efficient and Safe Ship Berthing. J. Mar. Sci. Eng. 2023, 11, 1155. [Google Scholar] [CrossRef]
  5. Lee, D.-H.; Chakir, S.; Kim, Y.-B.; Tran, D.-Q. Control system design for vessel towing system by activating rudders of the towed vessel. Int. J. Nav. Archit. Ocean Eng. 2020, 12, 943–956. [Google Scholar] [CrossRef]
  6. Du, Z.; Negenborn, R.R.; Reppa, V. Cooperative Multi-Agent Control for Autonomous Ship Towing Under Environmental Disturbances. IEEE/CAA J. Autom. Sin. 2021, 8, 1365–1379. [Google Scholar] [CrossRef]
  7. Du, Z.; Negenborn, R.R.; Reppa, V. Multi-Vessel Cooperative Speed Regulation for Ship Manipulation in Towing Scenarios. IFAC-PapersOnLine 2021, 54, 384–389. [Google Scholar] [CrossRef]
  8. Bidikli, B.; Tatlicioglu, E.; Zergeroglu, E. Robust dynamic positioning of surface vessels via multiple unidirectional tugboats. Ocean Eng. 2016, 113, 237–245. [Google Scholar] [CrossRef]
  9. Feemster, M.G.; Esposito, J.M. Comprehensive framework for tracking control and thrust allocation for a highly overactuated autonomous surface vessel. J. Field Robot. 2011, 28, 80–100. [Google Scholar] [CrossRef]
  10. Lee, S.-M.; Lee, J.H.; Roh, M.-I.; Kim, K.-S.; Ham, S.-H.; Lee, H.-W. An optimization model of tugboat operation for conveying a large surface vessel. J. Comput. Des. Eng. 2021, 8, 654–675. [Google Scholar] [CrossRef]
  11. Du, Z.; Negenborn, R.R.; Reppa, V. Distributed Dynamic Coordination Control for Offshore Platform Transportation Under Ocean Environmental Disturbances. IEEE Trans. Control Syst. Technol. 2023, 31, 2093–2106. [Google Scholar] [CrossRef]
  12. Xia, G.; Sun, C.; Zhao, B.; Sun, X.; Xia, X. Robust cooperative trajectory tracking control for an unactuated floating object with multiple vessels system. ISA Trans. 2022, 123, 263–271. [Google Scholar] [CrossRef] [PubMed]
  13. Lee, D.-H.; Huynh, T.; Kim, Y.-B.; Park, J.-S. Motion Control System Design for Barge-Type Surface Ships Using Tugboats. J. Mar. Sci. Eng. 2022, 10, 1413. [Google Scholar] [CrossRef]
  14. Huynh, T.; Park, J.-S.; Lee, D.-H.; Kim, Y.-B. Robust Control System Design for Offshore Platform Transportation Using Multiple Tugboats. In Proceedings of the AETA 2023—Recent Advances in Electrical Engineering and Related Sciences: Theory and Application, Busan, Republic of Korea, 14–16 December 2023. [Google Scholar]
  15. Ianagui, A.S.S.; Tannuri, E.A. Automatic load maneuvering and hold-back with multiple coordinated DP vessels. Ocean Eng. 2019, 178, 357–374. [Google Scholar] [CrossRef]
  16. Thor, I.F. Guidance and Control of Ocean Vehicles; John Wiley & Sons: Hoboken, NJ, USA, 1994. [Google Scholar]
  17. Thor, I.F. Marine Control Systems: Guidance, Navigation and Control of Ships, Rigs and Underwater Vehicles, 1st ed.; Marine Cybernetics: Trondheim, Norway, 2002; ISBN 8292356002. [Google Scholar]
  18. MathWorks Spatial Contact Force—Multibody Modeling. Available online: https://www.mathworks.com/help/physmod/sm/ref/spatialcontactforce.html (accessed on 27 August 2022).
  19. Quadprog—Quadratic Programming. Available online: https://www.mathworks.com/help/optim/ug/quadprog.html (accessed on 22 January 2024).
  20. Moreno, J.A. Lyapunov function for Levant’s Second Order Differentiator. In Proceedings of the 2012 IEEE 51st IEEE Conference on Decision and Control (CDC), Maui, HI, USA, 10–13 December 2012; IEEE: Piscataway, NJ, USA, 2012; pp. 6448–6453. [Google Scholar]
  21. Slotine, J.J.E.; Li, W. Applied Nonlinear Control; Pearson: Hoboken, NJ, USA, 1991; ISBN 0130408905. [Google Scholar]
  22. Boyd, S.; El Ghaoui, L.; Feron, E.; Balakrishnan, V. Linear Matrix Inequalities in System and Control Theory; Society for Industrial and Applied Mathematics, 3600 University City Science Center: Philadelphia, PA, USA, 1994. [Google Scholar]
Figure 1. Offshore floating platform transportation using tugboats.
Figure 1. Offshore floating platform transportation using tugboats.
Jmse 12 00459 g001
Figure 2. The proposed platform transportation system: (a) conceptual illustration; (b) schematic drawing.
Figure 2. The proposed platform transportation system: (a) conceptual illustration; (b) schematic drawing.
Jmse 12 00459 g002
Figure 3. Block diagram of the proposed control system.
Figure 3. Block diagram of the proposed control system.
Jmse 12 00459 g003
Figure 4. Performance of the offshore transportation with the H control (left) and proposed control (right) in the first scenario: (a) trajectory tracking; (b) time responses; (c) control errors; (d) responses of the control allocation; (e) tugboats’ control inputs.
Figure 4. Performance of the offshore transportation with the H control (left) and proposed control (right) in the first scenario: (a) trajectory tracking; (b) time responses; (c) control errors; (d) responses of the control allocation; (e) tugboats’ control inputs.
Jmse 12 00459 g004aJmse 12 00459 g004bJmse 12 00459 g004c
Figure 5. Performance of the offshore transportation with the H control (left) and proposed control (right) in the second scenario: (a) trajectory tracking; (b) time responses; (c) control errors; (d) responses of the control allocation; (e) tugboats’ control inputs.
Figure 5. Performance of the offshore transportation with the H control (left) and proposed control (right) in the second scenario: (a) trajectory tracking; (b) time responses; (c) control errors; (d) responses of the control allocation; (e) tugboats’ control inputs.
Jmse 12 00459 g005aJmse 12 00459 g005b
Table 1. Specifications of the transportation system and the proposed control parameters.
Table 1. Specifications of the transportation system and the proposed control parameters.
ParameterNotationValue
Towing line Length [m] l t c 0.7
Stiffness [N/m] k t 10,000
Smooth function c 1 ,   c 2 20, 0.2
Offshore platformObserver gains Δ s 1 ,   Δ s 2 ,   Δ k 3 d i a g { 120 ,   120 ,   60 } ,   d i a g { 49.194 ,   49.194 ,   34.785 } , d i a g { 16.287 ,   16.287 ,   12.927 }
Controller gains Λ s 1 ,   Λ s 2 ,   Λ s 3 0.1 I 3 × 3 ,   d i a g { 3 ,   4 ,   3 } ,   20 I 3 × 3
Control allocationObjective terms H ,   h 1000 d i a g { 1 8 ,   30 1 3 ,   0.04 1 4 ,   0.02 1 4 } , 0.01 [ 1 11   O 1 × 8 ] T
Boundary conditions α min ,   α max ,   s min ,   s max ,   F max π 3 1 4 T ,   π 3 1 4 T ,   0.1 1 3 T ,   0.1 1 3 T ,   2 1 4 T
Towing tugboatsObserver gains Δ t 1 ,   Δ t 2 ,   Δ t 3 300 I 3 × 3 ,   77.782   I 3 × 3 ,   22.104 I 3 × 3
Controller gains Λ t 1 ,   Λ t 2 I 3 × 3 ,   10 I 3 × 3
1 n denotes for a row matrix with n elements of 1.
Disclaimer/Publisher’s Note: The statements, opinions and data contained in all publications are solely those of the individual author(s) and contributor(s) and not of MDPI and/or the editor(s). MDPI and/or the editor(s) disclaim responsibility for any injury to people or property resulting from any ideas, methods, instructions or products referred to in the content.

Share and Cite

MDPI and ACS Style

Huynh, T.; Kim, Y.-B. Control System Design for Offshore Floating Platform Transportation by Combination of Towing and Pushing Tugboats. J. Mar. Sci. Eng. 2024, 12, 459. https://doi.org/10.3390/jmse12030459

AMA Style

Huynh T, Kim Y-B. Control System Design for Offshore Floating Platform Transportation by Combination of Towing and Pushing Tugboats. Journal of Marine Science and Engineering. 2024; 12(3):459. https://doi.org/10.3390/jmse12030459

Chicago/Turabian Style

Huynh, Thinh, and Young-Bok Kim. 2024. "Control System Design for Offshore Floating Platform Transportation by Combination of Towing and Pushing Tugboats" Journal of Marine Science and Engineering 12, no. 3: 459. https://doi.org/10.3390/jmse12030459

APA Style

Huynh, T., & Kim, Y.-B. (2024). Control System Design for Offshore Floating Platform Transportation by Combination of Towing and Pushing Tugboats. Journal of Marine Science and Engineering, 12(3), 459. https://doi.org/10.3390/jmse12030459

Note that from the first issue of 2016, this journal uses article numbers instead of page numbers. See further details here.

Article Metrics

Back to TopTop