Abstract
Ship grounding onto multiple rocks is one of the scenarios where a ship may suffer severe hull damage, thus leading to some serious consequences, such as casualties, oil spill pollution, and property damage. Ship bottom raking is the most common and severe damage type in grounding caused by sharp rocks moving against the bottom plate. This paper investigates the dynamic responses of ship grounding onto multiple sharp rocks, which has rarely been studied in the literature. Nine ship grounding in-tank model tests were conducted to provide experimental data for ship grounding onto a single rock or multiple rocks. A simplified scaled ship model with replaceable bottom plating was designed and used in the model test. Some artificial cone rock models with a 1 mm tip radius and a 15° semi-apex angle were assumed. The damage modes of the bottom plating and motions during ship grounding onto multiple rocks were obtained and recorded in the model tests, as well as the longitudinal grounding resistances. The effects of the initial relative height of each rock and the size of rock distribution on the structural damage mode and dynamic response of a ship model in multi-rock ship grounding were investigated. In addition, the results obtained from single-rock and multi-rock ship grounding model tests are compared.
1. Introduction
Ship grounding accidents usually refer to a moving navigating ship, either under command, under power, or not under command, drifting, striking the sea bottom, shore, or underwater wrecks. It may result in damage to the hull structure. The destruction of the hull structure often leads to water entering the hull, and liquid cargo outflow, which may eventually lead to casualties, oil spill pollution, and property damage [1,2]. For example, the container ship “Dexiang Taipei” ran aground off the coast of Shimen and broke in two in 2016, leaking large quantities of heavy oil, polluting several kilometers of coastline, and dealing a severe blow to the development of coastal fisheries, as shown in Figure 1. In addition, the probability of grounding accidents is still high. According to the latest statistics from the International Oil Pollution Compensation Fund (IOPCF), about 21% of oil tanker spills in its member countries from 1978 to 2023 have been caused by ship grounding accidents [3]. Consequently, investigating the damage mechanisms and dynamic responses of ship structures in ship grounding is crucial.
Figure 1.
The grounding of the container ship “Dexiang Taipei”.
Structural dynamic responses in ship grounding are very complex and the bottom raking is the most common and severe type as compared to bottom stranding. Many details of structural damage cannot be adequately modeled by theoretical and numerical methods. Experiments are an indispensable approach for investigating a ship’s structural damage mechanisms and providing data for the validation of results from the numerical simulations and the calibration of analytical procedures. Some ship-grounding-related experimental studies have been carried out to study the grounding damage mode or energy absorption mechanism. For bottom raking, Lu and Calladine [4] and Paik [5] conducted a series of wedge-cutting tests on plates and longitudinally stiffened plates on an idealized structural component level. Rodd [6] reported four double-hull-bottom-structure grounding model tests carried out by the US Naval Surface Warfare Center (NSWC). The ship bottom-structure test specimen was mounted to a railway car and run over an artificial conical rock connected to vertical and horizontal load cells. Muscat-Fenech and Atkins [7] performed cutting tests on thin plates over conical rock models of different sizes in quasi-static loading to investigate the effects of the shape of the seabed obstacle on the damage of the bottom plating. Simonsen and Tornqvist [8] studied crack propagations in combined in-plane bending and extension or in pure extension experiments. Calle et al. [9] completed a related grounding model test on a railway with a small-scale ship model fabricated from mild steel. The fractured ship bottom structure revealed a predominant tearing failure of the plate and transversal reinforcements with a negligible reduction in the plate thickness.
The tests described above are “dry” grounding model tests that focus on the internal damage mechanism in ship grounding, without taking into account the effects of external water on the ship motions in actual grounding incidents. The importance of structure–fluid interaction has long been recognized, and some “wet” grounding model tests have been conducted. A series of American Society for Industrial Security (ASIS)-sponsored grounding experiments [10] was carried out in the Netherlands to simulate ship grounding of a 1:4 scaled very large crude carrier (VLCC) and absorbed energy and bottom structure damage were analyzed for two models by Wang et al. [11]. Recently, Zhu et al. [12,13] designed and conducted a series of in-tank ship grounding model tests over two different sharp conical rocks to investigate the structural damage and motion responses of the ship model under different initial relative grounding heights, velocities, and rock eccentricities. Two damage modes were presented, i.e., Mode I for discontinuous fracture/tear combined with dent and Mode II for continuous fracture/tear. The seabed obstacle was also simplified to a single conical rock in the experimental studies. In the scenario, the load caused by the rock moves, which leads to the propagation of fracture and/or denting.
For bottom stranding, Alsos and Amdahl [14,15] conducted a series of panel indentation experiments to study the damage mode of a ship settled vertically on a rock. Various configurations of stiffened panels are loaded laterally by a cone-shaped indenter until the occurrence of fracture. Wang et al. [16] simplified the seabed obstacle to a conical rock with a spherical nose in their experimental studies. The structural damage was investigated for different indenter geometries. Cai et al. [17], Wang et al. [18], and Liu et al. [19] used a hemispherical indenter as an obstacle when they simulated structural damage in ship grounding. A semi-cylindrical rigid indenter was used by Chen et al. [20] when they conducted an investigation of the influence of stiffeners on the crushing resistance of web girders in ship grounding.
The simplified seabed obstacles in numerical and analytical methods are more diverse than those in experiments. Wierzbicki and Thomas [21] developed a pioneering theoretical model for plate tearing by a rigid wedge. Based on this, a simplified empirical formula was proposed by Zhang [22]. Simonsen [23] and Zhu [24] built similar rigid cone-plate/stiffened plate models to investigate the energy absorption mechanism in the plate damage process. Yu et al. [25] carried out an investigation for the prediction of the structural performance of double-bottom tankers during ship grounding over “shoal” type seabed obstacles, in which the surface of an obstacle is larger compared to the “rock”. Recently, Sormunen et al. [26] found that rocks vary in shape and size within the same area as well as between different geographical areas, according to statistical analysis. And they suggested that hyperbolic mathematical models could provide a better fit to test results than conical and parabolic models. Then, Sormunen et al. [27] performed an analysis of four different real rocks, with each rock being modeled using four different analytical rock models, and found that rock models with good statistical fit did not necessarily result in approximate grounding energy compared to results using the real rocks. Differences in energy are especially due to the rougher surface of the real rocks. Sun et al. [28] further refined the theoretical model of conical rock cutting plates proposed by Simonsen [23]. The parabolic rock model was adopted by Kim et al. [29,30] and Pineau and Le Sourne [31,32]. The cone rock model was also used in Zhou et al. [33]. In the above literature, a single-rock ship grounding scenario is assumed to present protruding obstructions of the seabed.
It is important to use reported accidents for benchmarking analytical and numerical analyses. In addition to the single-rock ship grounding cases [34], as shown in Figure 2a, there are also multi-rock ship grounding cases in practice. For a multi-rock grounding scenario, there are at least two rocks. This means that there are multiple obstacles interacting with the ship’s bottom structure, which could produce multiple instances of damage. Thus, hull structure damage modes in multi-rock grounding scenarios could be more complex than in a single-rock scenario.

Figure 2.
Ship grounding accident scenario.
Zhu et al. [24] reported that a general cargo ship with a deadweight of 11,000 tons ran aground on multiple rocks at a speed of 17 knots when entering port, with data from the Lloyd’s Register casualty database. The details of the bottom grounding damage are shown in Figure 2b, and the damage modes including multiple tears and dents are more serious and complex. Therefore, assuming a multi-rock model in ship grounding accidents is of practical importance.
Based on the above analysis, a series of multi-rock ship grounding model tests was designed and carried out in a water tank to investigate the dynamic behavior of ships in multi-rock ship grounding scenarios. The damage mode of a ship’s bottom over multiple rocks, the longitudinal grounding resistance, and the ship motions were obtained and discussed. In addition, the correlation between the global motion of the ship model and the local damage during the grounding process was studied by experimental methods. The effects of the size of rock distribution and the initial relative height of each rock on the structural damage mode and dynamic response of a ship model in a multi-rock ship grounding scenario were investigated. In addition, the results of single-rock and multi-rock grounding tests were compared. The origin of the reference coordinate system is located at the intersection of the aft perpendicular and the waterline surface, with the longitudinal axis (X) positively pointing to the bow, the transversal axis (Y) positively pointing to the port side, and the vertical axis (Z) positively pointing upwards.
2. Multi-Rock Ship Grounding Model Tests
2.1. Ship Model
Taking into account that the complete ship size must be capable of being physically installed in the laboratory and easily maneuverable, a geometrically similar ship model was used in the test. It was also simplified at its bow and stern. The ship model is composed of the main rigid hull and the bottom plating specimen. The main hull of the ship model is made of 5.8 mm mild steel. The sketch and three-dimensional (3D) schematic diagram are shown in Figure 3 and Figure 4. The length between the perpendiculars of the ship model is 3.169 m, the width is 0.734 m, the depth is 0.320 m, and the displacement is 371 kg. The ship model has three transverse bulkheads and two longitudinal bulkheads. The block coefficient Cb is 0.88. The main dimensions and details of the ship model are listed in Table 1.
Figure 3.
Main dimensions and details of the ship model.
Figure 4.
Three-dimensional schematic diagram of the ship model.
Table 1.
The main dimensions and details of the ship model.
2.2. Design of the Bottom Plating Specimen
The test plating specimens used in the model tests were designed as three-section folding plates similar to those used by Zhu et al. [13]. They were fabricated from 0.5 mm galvanized mild steel. The first section is a 45° inclined plate, and its length is 311.1 mm; the second section has a length of 373.2 mm and an inclination angle of 15°, and the third section is a horizontal plate, and its length is 800 mm, as shown in Figure 5. The total width of the bottom test specimen is 555 mm, and the effective width is 535 mm. Grids with a length of 50 mm and a width of 50 mm were drawn on the specimen to facilitate the observation of the damage modes of the test plate specimen. The plating specimen was clamped and fixed with 10 mm thick steel plates and bolts of M20, as shown in Figure 4. Additionally, water was prevented from entering through the hull to the specimen joint by applying a sealant.
Figure 5.
Bottom plating specimen: (a) sketch with dimensions, (b) three-dimension illustration.
The engineering stress–strain curve and true stress–strain curve before the necking of the bottom plating specimen are illustrated in Figure 6. Young’s modulus is 199 GPa, the yield stress is 315 MPa, and the ultimate tensile strength (UTS) is 365 MPa.
Figure 6.
Stress–strain curves.
2.3. Rock Model
The rock model is assumed to have a cone shape with a spherical “nose”, as shown in Figure 7. It is defined by two parameters: the semi-apex angle and the tip radius of the nose. For the rock model used in the test, the semi-apex of the cone is 15°, the rock tip radius is 1 mm, and the height is 100 mm. The rock models were milled out from a solid piece of high-strength steel. The hardness of the rock tips was strengthened by quenching.
Figure 7.
Details of the rock models.
2.4. Test Setup and Experimental Procedures
The multi-rock ship grounding model tests were carried out in a water tank with a length of 38.0 m and a width of 4.0 m in the Impact and Fluid–Structure Interaction (IFSI) Laboratory at Wuhan University of Technology, as shown in Figure 8. The experimental details are shown in Figure 9. The pulley, strings, and motor were used to power the ship model and ensure its forward direction. The ship model was accelerated by the string to the designed initial velocity and then sailed at a constant speed. Before the start of grounding, the string was cut, and the ship model ran aground on the rock model at a certain initial velocity without any constraints. The longitudinal grounding resistance was measured by a force sensor. The motions in six degrees of freedom of the ship model were measured and recorded by a motion capture system with four cameras.
Figure 8.
Ship grounding in-water model test set-up in the WUT-IFSI lab.
Figure 9.
Schematic diagram of the ship grounding model test setup.
2.5. Test Cases
The grounding scenario is shown and illustrated in Figure 10. The velocity in the X direction (in the earth-fixed coordinate system) at which the ship model first comes into contact with the rock is defined as the initial grounding velocity V0. The initial relative height hR0 is defined as the relative height between the baseline of the ship hull and the rock apex. In multi-rock ship grounding scenarios, the heights of each rock can be different, and therefore a single parameter cannot characterize the initial relative grounding height. For the multi-rock scenario, the initial relative heights of the ship relative to each rock model hiR0 are listed in turn. The rotation of the ship around the Y-axis is called trim; trim by the stern is positive, and the range is −90°~90°. The ship motions are measured in the earth-fixed coordinate system.
Figure 10.
Schematic diagram of a multi-rock grounding scenario. (a) before grounding, (b) after grounding.
In contrast to the single-rock grounding scenario, the multi-rock grounding scenario also requires consideration of the spacing of the rock distribution. The details of the rock arrangement are shown in Figure 11. The center line of the rock model is marked as ci. The spacing between the two farthest rock centerlines in the multi-rock ship grounding case is defined as the rock distribution range s. The axis of symmetry of the two farthest rocks is noted as c. The transversal distance between the centerline of the bottom and the symmetry axis c is defined as the rock eccentricity e. The details of the test cases are listed in Table 2. Nine ship grounding model tests were conducted, six for the multi-rock grounding scenario and three for the single-rock grounding scenario. The water depth was 0.6 m in the model tests. Based on the assumption that rocks are distributed in the same longitudinal position, the effects of rock distribution width, initial relative grounding height, and the number of rocks on the damage modes and structural dynamic response of a ship running aground were investigated by scaled model tests.
Figure 11.
Schematic diagram of rock arrangement: (a) a single rock, (b) two rocks, and (c) three rocks.
Table 2.
Test cases.
3. Experimental Results
The damage mode, the motion in 6 degrees of freedom, and the longitudinal grounding resistance can be obtained in the model tests. Table 3 lists the experimental results for all cases, including the grounding duration, the maximum damage length of the bottom plating, the total damage length, the maximum damage width, the average damage width, and the average longitudinal grounding force. In a single-rock grounding scenario, the total grounding damage length is equal to the maximum damage length; in a multiple-rock grounding scenario, the total grounding damage length is defined as the sum of all damage lengths.
Table 3.
Experimental results.
In this section, the results of two typical double-rock ship grounding model tests are first compared to investigate the effect of the rock distribution range on the structural dynamics; then, the results of two typical triple-rock ship grounding tests are analyzed to compare the effect of the initial grounding height; and finally, the results of a single-rock grounding under the same conditions are compared with a multi-rock grounding, to further observe the structural damage modes and the dynamic response.
3.1. Double-Rock Ship Grounding Model Tests
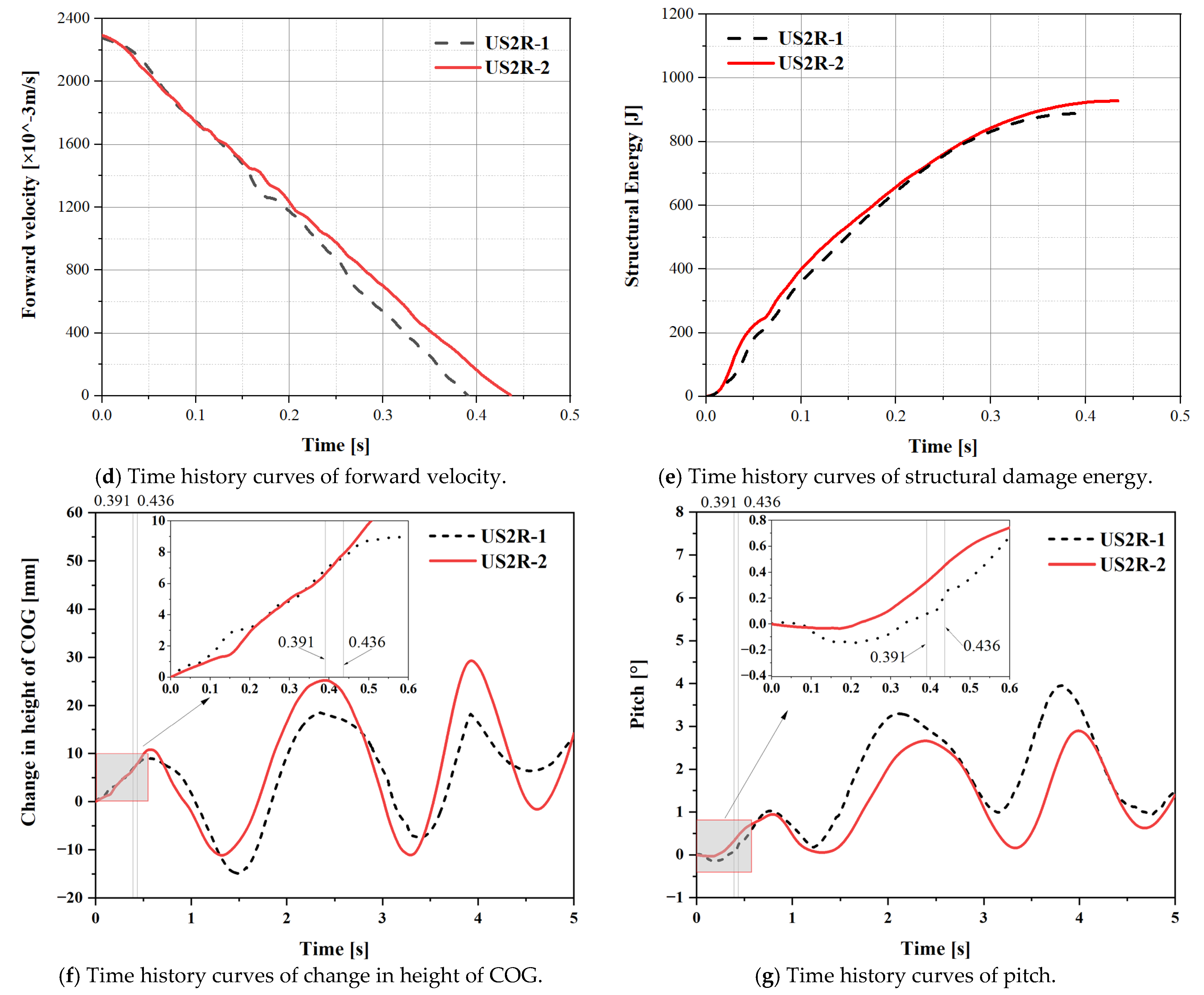
In order to investigate the effect of the rock distribution range on the dynamic response of the ship structure, two double-rock ship grounding model tests were carried out. The distance between the two rocks is 186 mm in US2R-1 and 124 mm in US2R-2, respectively. Figure 12 shows the comparison of the experimental results. It can be found from Figure 12a that the damage mode of the ship’s bottom plate is two continuous fractures/tears. The width of the grounding damage varies within a certain range due to the heave and pitch motion of the hull; therefore, an average damage width is used to characterize the width of the tear. The grounding damage lengths are 460.0 mm and 495.6 mm, and the average damage widths are 21.6 mm and 19.6 mm, respectively. The grounding damage is shorter and wider when the rock distribution range is larger. It is shown in Figure 12b that the longitudinal grounding resistance for both tests US2R-1 and US2R-2 first rises to a peak value, then fluctuates slightly due to the effect at the folding line of the bottom plating, and then gradually tends towards a certain value.

Figure 12.
Comparisons of experimental results for Test cases US2R-1 and US2R-2.
During the steady state, the longitudinal grounding resistance of the ship model in US2R-1 is greater than that in US2R-2, corresponding to a slightly greater grounding damage width of the bottom plate specimen in US2R-1, as shown in Figure 12a. And it also can be found in Figure 12d that the forward velocity of the ship model in Test US2R-1 is also reduced more rapidly after about 0.15 s. The structural damage energy is obtained by integrating the longitudinal grounding resistance along the damage length. It is shown in Figure 12e that the difference in magnitude of structural damage energy is minimal in US2R-2 and US2R-1.
The comparison in Figure 12f shows that the COG in case US2R-1 is higher during the initial stage, and the height of the COG is almost the same for the two cases in the other stage of the grounding process before the forward speed decreases to zero. Between 0 s and 5 s, the two curves for US2R-1 and US2R-2 have the same trend, but they oscillate with slightly different periods and amplitudes due to the different final action positions of the rocks. Figure 12g compares the time history curves of pitch angle. It can be found that the ship model has a greater trim angle in case US2R-2, which results in a smaller rock penetration and a smaller average damage width. However, the trends of the heave and pitch motions are in general the same.
3.2. Triple-Rock Ship Grounding Model Tests
In order to study the effect of initial relative grounding height on the dynamic response of the structure in multi-rock ship grounding, two triple-rock ship grounding tests were conducted. In case US3R-1, three rocks are all 60 mm in height. In case US3R-3, the initial relative heights of the rocks are 60 mm, 52 mm, and 60 mm from left to right. A comparison of the experimental results for cases is given in Figure 13. From Figure 13a, it can be seen that there are three distinct sections of continuous damage on the bottom plate of the ship in both cases.

Figure 13.
Comparisons of experimental results for cases US3R-1 and US3R-3.
There is raking damage and sliding damage in multi-rock grounding. Raking damage refers to the continuous tearing damage caused by rock penetration when the ship runs aground, while sliding damage refers to the continuous dents caused by the crushing load when the ship slides over the rock obstacle. In US3R-1, three tears with an average damage width of 19.70 mm are left on the bottom plating, and they are raking damage. In US3R-3, two tears and a continuous dent are left on the bottom plating, with the “raking” happening at the two sides, and “sliding” in the middle. The high-speed video image shows that at 0.390 s, the forward speed of the ship’s model decreases to zero, at which time the ship is no longer moving forward, but there is still a pitch and heave motion. Between 0.6 s and 1.4 s the hull descended, and the bottom plating was crushed by the vertical grounding resistance force. A diamond-shaped fracture was eventually left on the bottom after a continuous dent.
It can be seen in Figure 13b that the longitudinal grounding force in US3R-1 is greater, and therefore, the forward velocity of the ship model decreased more rapidly in US3R-1, as shown in Figure 13d. The ship model’s forward velocity for case US3R-1 decreased to zero in 0.313 s, while it did not decrease to zero until 0.390 s in US3R-3. During the grounding process, the pitch and heave motion of the two cases were almost the same before the forward speed decreased to zero. But they differed slightly in oscillation periods and amplitudes due to the different final grounding positions, as shown in Figure 13f,g. Ultimately, the structural damage energy is greater in US3R-1 at 1020 J, which is 95% of the initial kinetic energy, and the structural damage dissipated 83% of the initial kinetic energy in US3R-2.
3.3. Comparison of Single-Rock Ship Grounding and Multiple-Rock Ship Grounding
Experimental results of US1R-1, US2R-1, and US3R-1 are presented to study the effect of the rock number on structural dynamic responses in ship grounding. The initial grounding velocity of the ship model in the three cases was 2.3 m/s. It can be observed from the final damage of the bottom plating in Figure 14a that the bottom is heavily indented and torn in one or numerous locations. Tears corresponding to the quantities of the rock are left on the ship’s bottom. In addition, the free edges on both sides of the tear are wavy and upward. This indicates that there is membrane tensile deformation and bending deformation on both sides of the tears. The final damage lengths in three cases are 781.5 mm, 495.0 mm, and 367.2 mm, respectively, corresponding to the time history curves of the damage length in Figure 14c. The maximum single damage widths in the three cases are 50.6 mm, 42.0 mm, and 31.6 mm, respectively. In the ship grounding model test, different maximum damage widths correspond to different maximum rock penetrations. It can be concluded that the maximum rock penetration decreases as the number of rocks increases, while the maximum damage width becomes smaller. It can be found from Table 3 that the total damage length in the multi-rock grounding scenario is larger than in the single-rock scenario.

Figure 14.
Comparison of results of test cases US1R-1, US2R-1, and US3R-1.
Figure 14b shows the longitudinal grounding resistances along the damage length in the three tests. In all tests, the longitudinal grounding resistance exhibited a peak at around Ld = 96 mm and then a relatively stable stage accompanied by some fluctuations. According to the observation, the points F1, F2, and F3 in the curve correspond to the initial fracture of the bottom plate in the three cases, respectively. The grounding process can be divided into several stages. For example, in US2R-1, the ship model first made contact with the rock model at the point Ld = 0 mm. Then the plating was dented and fractured. The resistance increased rapidly as the rock penetrated and reached a peak at the point Ld = 96 mm. It is also noted that a smaller peak at point F2 corresponds to the initial fracture of the plate. After the rock traveled across the folding line, the resistance decreased, and the grounding resistance fluctuated in a small range around a certain value. The fluctuations are related to the ship’s heave and pitch. At the point Ld = 460 mm, the grounding resistance decreased to zero as the forward velocity of the ship model decreased to zero.
To further investigate the dynamic responses of the ship model in a multi-rock grounding scenario, the time history curves of the forward velocity are shown in Figure 14d. It can be found that the forward velocity of the ship model in US3R-1 decreased fastest due to the largest longitudinal grounding resistance in US3R-1 compared with the other two cases. The grounding durations of the three tests were 0.640, 0.391s, and 0.313s, respectively. They are marked as t1, t2, and t3 in Figure 14e,f. The time history curves of pitch are shown in Figure 14e. It can be found that between 0s and 5s, the three curves follow the same trend, but their oscillation periods and amplitudes are slightly different. The heights of the COG increased during the grounding process before the forward speed decreased to zero. At the end of the grounding (zero forward speed), the COG of the ship model was lifted the highest for Case US3R-1, followed by Case US2R-1, and the least for Case US1R-1. This suggests that as the number of rocks increases, the ship model will be lifted higher. It can be found that trends in pitch history curves are almost the same. The ship model was trimmed by the stern due to the vertical grounding resistance, and the pitch angle increased with time before the end of the grounding process. There is a slight difference in the amplitude, which may be related to the different velocities of water ingress after damage to the bottom plate. The time history curves of heave are shown in Figure 14f. It can be found that trends in the heave history curves are consistent. In the case of a multi-rock grounding scenario, the center of gravity is higher at the end of the grounding process.
In order to further investigate the dynamic mechanical behavior of ship grounding over multiple rocks, the bottom damage and longitudinal grounding resistance of test cases US1R-2 and US3R-2 are shown in Figure 15. The initial velocity of the two tests was 2.14 m/s, and the initial relative grounding depth was 68 mm. It can be seen from the figure that the damage modes of the ship’s bottom plates are continuous tearing modes. The average damage widths were 33.2 mm in US1R-2 and 21.0 mm in US3R-2. The single maximum damage widths were 51.2 mm and 32.9 mm, respectively. The single-rock grounding test had a larger individual maximum and average damage width than the triple-rock grounding test in the same initial conditions. The average grounding force for the triple-rock grounding test condition was 3021.35 N, which is approximately 2.30 times the one in the single-rock grounding test (1315.54 N).
Figure 15.
Experimental results of test cases US1R-2 and US3R-2.
Similarly, a comparison of the experimental results of bottom damage and longitudinal grounding resistance for a set of single-rock (US1R-3) and double-rock (US2R-3) grounding experiments with the same initial conditions is presented in Figure 16. The initial velocity for both tests was 1.75 m/s, and the initial relative depth of grounding was 60 mm. The results of the tests show that the damage modes are similar to those of the above tests. The average grounding force for the triple-rock grounding test condition was 1942.63 N, which is approximately 1.66 times the one in the single-rock grounding test (1168.41 N).
Figure 16.
Experimental results of test cases US1R-3 and US2R-3.
4. Discussion
Real seabed environments are complex. The shapes, sizes, and numbers of seabed obstacles vary locally as well as between different geographical areas. It is of great importance to investigate the dynamic responses of ships grounding over different rocks as much as possible to consider more grounding scenarios. In previous studies, the seabed obstacle was often simplified to a single rock. Ship grounding onto multiple rocks is also one of the typical grounding scenarios. Therefore, assuming a multi-rock model in ship grounding accidents is of practical importance.
Results from ship grounding scaled model tests have shown that damage modes of bottom plating in multi-rock grounding scenarios are more complex. The pitch motion of a ship is affected by the rock number and rock distribution. In an attempt to further study the damage mechanisms in multi-rock ship grounding, the energy dissipations are discussed here.
In the process of ship grounding, the ship first contacts the rock with a certain initial speed and the grounding process begins. Then, under the action of grounding resistance and water resistance, the hull structure is damaged and the ship’s forward speed decreases. Eventually, the forward speed of the ship model decreases to zero, and the grounding process ends.
The rock models in the grounding scenario are assumed to be rigid bodies, which do not deform or sustain damage. At the end of the grounding process, the ship’s kinetic energy decreases to zero. The initial ship grounding energy is finally converted into structural damage energy , hydromechanical energy , and hull potential energy .
Here, the initial kinetic energy is calculated using Equation (2). The structural damage energy dissipated by the plastic deformation, the fracture, and the friction is obtained by integrating the longitudinal grounding resistance along the damage length as Equation (3). The gravitational potential energy change of ship is mainly caused by the change in the height of the COG due to the heave motion, which can be obtained by Equation (4). The hydromechanical energy is calculated using Equation (5).
where M is the mass of the ship model, V0 is the initial velocity, and k = 0.1 is the surge added mass coefficient; Ld is the final damage length and FL is the longitudinal grounding resistance. ∆Z is the increment in height of the COG due to the heave and pitch motion of the ship, kg/m3 is the water density, g = 9.81 m/s2 is the acceleration of gravity, and Cw is the waterline area coefficient, for the present model Cw = Lwl/Lpp, where Lwl is the length of the waterline (other details can be found in reference [13]).
The energy balance diagrams of cases US1R-1, US2R-1, and US3R-1 are shown in Figure 15 as an example. As can be seen in Figure 17, the structural damage energies are 80%, 82%, and 95% of the initial kinetic energy, and the hydromechanical energies are 5%, 18%, and 20% of the initial kinetic energy for the single-rock, double-rock, and triple-rock ship grounding tests, respectively. The gravitational potential energies account for less than 1% of the initial kinetic energy. Among these three cases, the largest proportion of structural damage dissipation energy and the smallest proportion of hydromechanical energy dissipation was found in US3R-1. The hydromechanics energy for the tests could be attributed to several factors: the profiles of the simplified ship model in the bow area, the shallow water effect, and the flooding after the fracture of the bottom plating in the grounding process.
Figure 17.
Energy dissipations in cases US1R-1, US2R-1, and US2R-1.
The percentages of structural damage energy dissipation, hydromechanical energy dissipation, and gravitational potential energy in ship grounding for each test case are shown in Table 4. The majority of the initial kinetic energy was absorbed by structural damage, ranging from 80% to 95%, while hydromechanical energy accounted for about 5% to 20%. The gravitational potential energy of the ship model was minimal in comparison. It is evident that structural damage plays a significant role in dissipating energy, with only a small fraction being attributed to hydromechanical processes. The gravitational potential energy, on the other hand, seems almost negligible when considering the overall energy distribution in ship grounding. Under the same initial conditions, the larger the initial grounding speed of the ship model, the larger the proportion of hydromechanical energy dissipation to the initial kinetic energy and the smaller the proportion of damage energy dissipation will be. In addition, the multi-rock grounding test exhibited a greater structural damage dissipation energy than the single-rock grounding structure under the same initial conditions. However, due to the limitations of the test conditions, the Froude number in the model test in this paper is larger than that of a tanker in operation.
Table 4.
Energy balance.
5. Concluding Remarks
The dynamic response characteristics of ship grounding in a multi-rock scenario were studied experimentally. The multi-rock ship grounding model tests were carried out in a water tank. Ship grounding responses over rocks with different quantities were compared. It is worth noting that the rocks in the model tests were simplified as rigid bodies, ignoring the energy dissipated by the deformation and damage of the rocks themselves in grounding. The following concluding remarks are drawn based on the experimental study:
- The damage modes of the bottom structure in a multi-rock ship grounding scenario were obtained by experiment. When a ship runs aground on multiple sharp rocks, it may be indented and torn in numerous locations of the bottom plating as shown in the tests. Both raking damage and sliding damage may co-exist on the bottom plating in multi-rock grounding, producing fractures and plastic indentation, respectively. The initial relative grounding height affects the damage mode of the ship’s bottom plate.
- The range of grounding damage is shorter and wider when the rock distribution range is larger in the multi-rock grounding scenario. However, the rock distribution range has little influence on the magnitude of structural damage energy.
- The maximum rock penetration decreases as the number of rock models increases in ship grounding, while the maximum damage width becomes smaller in the process.
- In the reported model tests, the structural damage energy accounted for 80–95% of the initial kinetic energy, and the hydromechanical energy accounted for 5–20%. Multi-rock grounding exhibited greater structural damage dissipation energy than single-rock grounding under the same initial conditions, as shown in the tests.
The practical recommendations based on this study are as follows:
- In a multi-rock grounding scenario, the damage modes of bottom plating could be more complicated. Thus, the grounding damage modes should be categorized in a multi-rock grounding scenario. For some applications, such as residual strength calculations, the extent of damage over the entire affected area will normally be used. For other applications, such as determining the oil spill flow and damage stability, only the raking damage (rupture) in the bottom plating should be included.
- Since the number and distribution width of rocks affect the heave motion of the ship model in grounding, the longitudinal grounding resistance increases but is not equal to the product of the longitudinal grounding force and the number of rocks in the single-rock scenario with the same initial conditions. Different damage modes may co-exist on the bottom plating, and the total damage length could be larger than in the single-rock scenario, as reported in the model tests. Therefore, multi-rock grounding scenarios need to be considered by ship designers when conducting an Accidental Limit State (ALS) design based on groundings.
Author Contributions
Z.Z.: methodology, investigation, visualization, formal analysis, and writing—first draft. L.Z.: conceptualization, methodology, supervision, formal analysis, funding acquisition, and writing—review and editing. Q.L.: conceptualization, formal analysis, and writing—review and editing. All authors have read and agreed to the published version of the manuscript.
Funding
This work is supported by the general project of the Wuhan University of Technology Start-Up Fund for Distinguished Professors (grant no. 471-40120163) and the National Natural Science Foundation of China (grant no. 12172265).
Institutional Review Board Statement
Not applicable.
Informed Consent Statement
Not applicable.
Data Availability Statement
Data will be made available on request.
Acknowledgments
The authors would like to thank J.T. Xiao, Z.H. Guo, X.R. Chen, Y. Liao and S. Tao for their assistance in carrying out the experimental work of the manuscript.
Conflicts of Interest
The authors declare that they have no known competing financial interests or personal relationships that could have appeared to influence the work reported in this paper.
Abbreviations
| B | Breadth of ship model, mm |
| Bdm | Maximum width of the damage, mm |
| Characteristic average damage width, mm | |
| Cb | Block coefficient |
| Ek,0 | Initial kinetic energy, J |
| Es | Structural damage energy, J |
| Ehydro | Hydromechanical energy, J |
| e | Rock eccentricity, mm |
| FL | Longitudinal grounding resistance, N |
| D | Depth of ship model, m |
| hR | Relative height between the upper surface of horizontal ship bottom plate and the rock tip, mm |
| hR0 | Initial grounding relative height, mm |
| k | Surge added mass coefficient |
| Lpp | Length between perpendiculars of ship model, mm |
| Ld | Damage length, mm |
| rx, ry, rz | Radius of gyration, m |
| T | Draft of ship model, mm |
| Tg | Grounding duration, s |
| t | Plating thickness, mm |
| V | Velocity, m/s |
| V0 | Initial velocity, m/s |
| ΔZ | Change in height of COG of the ship model, mm |
| Δ | Displacement of ship model, kg |
| θ, Φ, ψ | Roll (−90° < θ < 90°), Pitch (−90° < Φ < 90°), Yaw (−180° < ψ < 180°) |
References
- Pilatis, A.N.; Pagonis, D.N.; Serris, M.; Peppa, S.; Kaltsas, G. A Statistical Analysis of Ship Accidents (1990–2020) Focusing on Collision, Grounding, Hull Failure, and Resulting Hull Damage. J. Mar. Sci. Eng. 2024, 12, 122. [Google Scholar] [CrossRef]
- Liao, S.; Weng, J.; Zhang, Z.; Li, Z.; Li, F. Probabilistic Modeling of Maritime Accident Scenarios Leveraging Bayesian Network Techniques. J. Mar. Sci. Eng. 2023, 11, 1513. [Google Scholar] [CrossRef]
- IOPCF. International Oil Pollution Compensation Fund Accident Statistics. 2023. Available online: http://www.iopcfunds.org/incidents/statistics/ (accessed on 21 October 2024).
- Lu, G.; Calladine, C. On the cutting of a plate by a wedge. Int. J. Mech. Sci. 1990, 32, 293–313. [Google Scholar] [CrossRef]
- Paik, J.K.; Hyun, M.H.; Lee, T.K. On the Grounding Damage of Ship Bottom Stiffened Platings (Part I: Experiment). J. Soc. Nav. Archit. Korea 1994, 31, 121–132. [Google Scholar]
- Rodd, J.L. Observations on conventional and advanced double hull grounding experiments. In Proceedings of the International Conference on Designs and Methodologies for Collision and Grounding Protection of Ships, San Francisco, CA, USA; 1996; pp. 13.1–13.13. [Google Scholar]
- Muscat-Fenech, C.; Atkins, A. Denting and fracture of sheet steel by blunt and sharp obstacles in glancing collisions. Int. J. Impact Eng. 1998, 21, 499–519. [Google Scholar] [CrossRef]
- Simonsen, B.C.; Törnqvist, R. Experimental and numerical modelling of ductile crack propagation in large-scale shell structures. Mar. Struct. 2004, 17, 1–27. [Google Scholar] [CrossRef]
- Calle, M.A.; Oshiro, R.E.; Kõrgesaar, M.; Alves, M.; Kujala, P. Combined strain rate, mesh size and calibration test influence on structural failure: Miniature ship grounding test. Ocean Eng. 2019, 173, 215–226. [Google Scholar] [CrossRef]
- Kitamura, O.; Kuriowa, T. Large-Scale Grounding Experiments and Numerical Simulations. Ship Technol. Res. 1996, 43, 62–69. [Google Scholar]
- Wang, G.; Ohtsubo, H.; Liu, D. A Simple Method for Predicting the Grounding Strength of Ships. J. Ship Res. 1997, 41, 241–247. [Google Scholar] [CrossRef]
- Zhu, L.; Zhou, Q.; Chen, M.; Chen, X. Grounding experiments of a ship model in water tank. In Proceedings of the ASME 2018 37th International Conference on Ocean, Offshore and Arctic Engineering. Volume 11A: Honoring Symposium for Professor Carlos Guedes Soares on Marine Technology and Ocean Engineering, Madrid, Spain, 17–22 June 2018. V11AT12A007. ASME. [Google Scholar] [CrossRef]
- Zhu, L.; Zhou, Z.; Pedersen, P.T. Ship grounding model tests in a water tank: An experimental study. Mar. Struct. 2023, 93, 103529. [Google Scholar] [CrossRef]
- Alsos, H.S.; Amdahl, J. On the resistance to penetration of stiffened plates, Part I—Experiments. Int. J. Impact Eng. 2009, 36, 799–807. [Google Scholar] [CrossRef]
- Alsos, H.S.; Amdahl, J.; Hopperstad, O.S. On the resistance to penetration of stiffened plates, Part II: Numerical analysis. Int. J. Impact Eng. 2009, 36, 875–887. [Google Scholar] [CrossRef]
- Wang, G.; Arita, K.; Liu, D. Behavior of a double hull in a variety of grounding or collision scenarios. Mar. Struct. 2000, 13, 147–187. [Google Scholar] [CrossRef]
- Cai, W.; Zhou, Z.; Qian, X.; Cao, D.; Li, S.; Zhu, L.; Hu, H. Numerical Study on Ductile Failure Behaviours of Steel Structures under Quasi-Static Punch Loading. J. Mar. Sci. Eng. 2023, 11, 1197. [Google Scholar] [CrossRef]
- Wang, Z.; Hu, Z.; Liu, K.; Chen, G. Application of a material model based on the Johnson-Cook and Gurson-Tvergaard-Needleman model in ship collision and grounding simulations. Ocean Eng. 2020, 205, 106768. [Google Scholar] [CrossRef]
- Liu, H.; Liu, K.; Wang, X.; Gao, Z.; Wang, J. On the Resistance of Cruciform Structures during Ship Collision and Grounding. J. Mar. Sci. Eng. 2023, 11, 459. [Google Scholar] [CrossRef]
- Chen, B.Q.; Liu, B.; Guedes Soares, C. Numerical investigation on the influence of stiffeners on the crushing resistance of web girders in ship grounding. Mar. Struct. 2019, 63, 351–363. [Google Scholar] [CrossRef]
- Wierzbicki, T.; Thomas, P. Closed-form solution for wedge cutting force through thin metal sheets. Int. J. Mech. Sci. 1993, 35, 209–229. [Google Scholar] [CrossRef]
- Zhang, S. Plate tearing and bottom damage in ship grounding. Mar. Struct. 2002, 15, 101–117. [Google Scholar] [CrossRef]
- Simonsen, B.C. Plate tearing by a cone. Int. J. Mech. Sci. 1998, 40, 1145–1158. [Google Scholar] [CrossRef]
- Zhu, L.; James, P.; Zhang, S. Statistics and damage assessment of ship grounding. Mar. Struct. 2002, 15, 515–530. [Google Scholar] [CrossRef]
- Yu, Z.; Hu, Z.; Amdahl, J.; Liu, Y. Investigation on structural performance predictions of double-bottom tankers during shoal grounding accidents. Mar. Struct. 2013, 33, 188–213. [Google Scholar] [CrossRef]
- Sormunen, O.-V.E.; Kõrgesaar, M.; Tabri, K.; Heinvee, M.; Urbel, A.; Kujala, P. Comparing rock shape models in grounding damage modelling. Mar. Struct. 2016, 50, 205–223. [Google Scholar] [CrossRef]
- Sormunen, O.; Castren, A.; Romanoff, J.; Tabri, K.; Heinvee, M.; Urbel, A.; Kujala, P. Estimating sea bottom shapes for grounding damage calculations. Mar. Struct. 2016, 45, 86–109. [Google Scholar] [CrossRef]
- Sun, B.; Hu, Z.; Wang, J. Bottom structural response prediction for ship-powered grounding over rock-type seabed obstructions. Mar. Struct. 2017, 54, 127–143. [Google Scholar] [CrossRef]
- Kim, S.J.; Kõrgersaar, M.; Ahmadi, N.; Taimuri, G.; Kujala, P.; Hirdaris, S. The influence of fluid structure interaction modelling on the dynamic response of ships subject to collision and grounding. Mar. Struct. 2021, 75, 102875. [Google Scholar] [CrossRef]
- Kim, S.J.; Taimuri, G.; Kujala, P.; Conti, F.; Le Sourne, H.; Pineau, J.-P.; Looten, T.; Bae, H.; Mujeeb-Ahmed, M.; Vassalos, D.; et al. Comparison of numerical approaches for structural response analysis of passenger ships in collisions and groundings. Mar. Struct. 2021, 81, 103125. [Google Scholar] [CrossRef]
- Pineau, J.P.; Le Sourne, H.; Soulhi, Z. Rapid assessment of ship raking grounding on elliptic paraboloid shaped rock. Ships Offshore Struct. 2021, 16, 106–121. [Google Scholar] [CrossRef]
- Pineau, J.-P.; Le Sourne, H. A simplified approach to assess the resistance of a ship sliding on elliptic paraboloïd rock. Mar. Struct. 2022, 83, 103151. [Google Scholar] [CrossRef]
- Zhou, Z.; Zhu, L.; Li, C.B. Ship grounding simulation with different rock shapes and its verification. Ships Offshore Struct. 2024, 1–13. [Google Scholar] [CrossRef]
- Kuroiwa, T. Numerical simulation of actual collision and grounding accidents. In Proceedings of the International Conference on Designs and Methodologies for Collision and Grounding Protection of Ships, San Francisco, CA, USA; 1996. [Google Scholar]
Disclaimer/Publisher’s Note: The statements, opinions and data contained in all publications are solely those of the individual author(s) and contributor(s) and not of MDPI and/or the editor(s). MDPI and/or the editor(s) disclaim responsibility for any injury to people or property resulting from any ideas, methods, instructions or products referred to in the content. |
© 2024 by the authors. Licensee MDPI, Basel, Switzerland. This article is an open access article distributed under the terms and conditions of the Creative Commons Attribution (CC BY) license (https://creativecommons.org/licenses/by/4.0/).




















