Abstract
In this study, a one-dimensional variational algorithm that combines brightness temperatures (BTs), measured by ocean-based microwave radiometers (MWR), with reanalysis data was developed to generate high accuracy temperature profiles. A forward radiative transfer model was used to simulate the BTs. For the V band (50–70 GHz), there is a good agreement between observations and simulations, but for K band (20–30 GHz), which is more affected by water vapor, large errors are observed. To reduce the errors, a combined temperature and water vapor background error covariance matrix is applied to the 1D-Var algorithm. In addition, a correction factor is added to the 1D-Var iterative equation to improve retrieval accuracy. The results of the improved 1D-Var method have been compared with the MWR built-in neural network (NN) method, original 1D-Var method, and radiosonde data, which shows that the retrievals of the combined 1D-Var method showed significant improvements between 0 to 10 km. The statistical results show that the maximum mean absolute error of the combined 1D-Var method is less than 2 K in clear sky and cloudy conditions. This paper demonstrates that the proposed combined 1D-Var method has better performance than many known retrieval methods.
1. Introduction
The atmospheric vertical profiles of temperature and humidity are a vital component of the global observation system (GOS) used in numerical weather prediction (NWP) [1,2]. NWP models require high-quality measurements of high accuracy and temporal resolution. Radiosonde observations (RAOBs) measure temperature, relative humidity, and pressure from the surface to an altitude of 30 km, and in most cases the RAOB measurements are regarded as the true value [3]. RAOB measurements have short temporal coverage, taking measurements only twice a day (UTC 00:00 and 12:00) at the same location. Furthermore, in remote areas, collecting radiosonde measurments is costly and the sensors in the radiosonde can be easily lost. To compensate for RAOB data sparsity, to improve both temporal and spatial resolution, various remote sensing techniques have been proposed, e.g., infrared, microwave and millimeter-wave spectral band measurements [4,5]. Compared to infrared, microwave remote sensing is less affected by cloud coverage and has the advantage of vertical measurements [4].
A microwave radiometer (MWR) with 22 channels that operates in the V band (50 to 70 GHz) and K band (20 to 30 GHz) has the ability to provide a vertical distribution of temperature and relative humidity continuously and, with high temporal resolution, this is due to the strong absorption of oxygen and water vapor in these two bands. In the past few decades, MWR measurements have been proven useful for retrieving the atmospheric profiles [6,7], especially, for precipitable water vapor and liquid water path [8,9]. One important advantage is that MWR receives brightness temperatures of atmospheric radiation in long unattended modes and is operational in most weather conditions. Various retrieval methods have been applied to find retrieval profiles [10,11,12]. In recent years, several studies have focused on obtaining the retrieval algorithm with high accuracy/efficacy.
The inversion of atmospheric parameters is an ill-posed problem because the atmospheric transport function, , is the Fredholm integral equation. When the atmospheric profiles are known, y can be solved with a unique solution; unfortunately, the retrieval of profiles from measurements is unclear, and the solutions are not unique. Previous studies have shown that backpropagation neural network (BPNN) retrieval algorithms have good performance [13]. However, Solheim et al. compared several retrieval methods and concluded that the results of statistical inversion methods depend on the quality and size of the training data [14]. BPNN is a proven retrieval technique, Maitra and Chakraborty et al. compared the BPNN method with other methods (piecewise linear regression, feedforward neural network) and found that the BPNN method has better performance in the retrieval of relative humidity profiles [15]. Westwater et al. introduced the BPNN-based retrieval of precipitable water vapor (PWV) from a dual frequency MWR, which sailed from Australia to the Republic of Nauru. This experiment validates the potential of MWR to measure the atmospheric vertical parameters in the ocean [16].
One-dimensional variational (1D-VAR) methods are physical retrieval methods, which combine a priori information and a forward atmosphere transport model that calculates optimal profiles via an iterative approach. Several studies have proven that the root mean square errors (RMSE) of temperature and humidity is less than 1 K and 1 g/m3 by combining data collected from different instruments [17,18]. Rodgers and Clive introduced the basic principles of each retrieval method and compared the advantages and limitations of the subsequent inversion methods in detail [19]. Cimini et al. found that the retrieval results of temperature and humidity, which were obtained at a Swiss station in Payerne, confirm the theoretical expectation in the lowest 3 km of the surface. The paper described the advantages and disadvantages of the BPNN retrieval method and 1D-VAR retrieval method. Overall, these methods (BPNN, 1D-VAR) can solve nonlinear problems and achieve good results. Any additional information can be supplemented with MWR, radiosonde, and radiation transmission equation (RTE) model data. The 1D-VAR method provides better results for temperature for altitudes 1–5 km from the surface. For humidity, all retrieval methods show similar results [1]. Hweison suggested that the 1D-VAR can have better performance when coupling the MWR BTs and the output of the NWP model [20]. Cimini et al. used the 1D-VAR algorithm to retrieve atmospheric profiles of temperature and humidity in extremely dry conditions; results show that this method has better accuracy than statistical methods for altitude under 5 km when used with a background taken from the U.S. National Oceanic and Atmospheric Administration (NOAA) Local Analysis and Prediction System’s hourly output at the Arctic [21]. Martinet et al. combined the prediction based on a convective scale model and the BTs to retrieve the atmospheric vertical temperature profiles [22]. Currently, two of the most used reanalysis data are sampled from the National Center for Environmental Prediction (NCEP) and the European Centre for Medium-scale Weather Forecast (ECMWF) analysis data. Yang et al. used the forecasts of the Rapid Refresh (RAP), developed by NCEP, to retrieve the atmospheric profiles of New York State [23].
The present study aims to improve temperature retrieval results of the 1D-VAR method using a combined background of temperature and water vapor density. The MWR and reanalysis data are introduced in Section 2. The basic theory for 1D-VAR retrieval methods is presented in Section 3. The results of the 1D-VAR retrieval algorithm are described in Section 4. Section 5 provides a brief summary and conclusion.
2. Instrument and Datasets
2.1. Microwave Radiometer
For this study, the 22-channel MWR, manufactured by Radiometrics Corporation, Boulder, CO, USA (model MP-3000A), was installed at the DaChen island, at 28.45° N, 121.90° E, from July 2018 to August 2018 [24]. This MWR has two atmospheric radiation receiving subsystems. One measures the brightness temperatures at 22 to 30 GHz (K-band) with eight channels, with 22.234, 22.500, 23.034, 25.000, 26.234, 28.000, and 30.000 GHz center frequencies. The other measures at 51 to 60 GHz (V-band) via the remaining 14 channels, with 51.248, 51.760, 52.280, 52.804, 53.336, 53.848, 54.400, 54.940, 55.500, 56.020, 56.660, 57.288, 57.964, and 58.800 GHz center frequencies. Near the center of the strong water absorption line (22.234 GHz) and oxygen absorption line (58.800 GHz), temperature and humidity profile information can be obtained via pressure broadening with vertical height and homogeneous mixing of [17,22]. Surface sensors and infrared sensor are attached to the MWR, to determine the surface parameters and cloud height, respectively. The temporal resolution of MWR is 3 min. In this study, the retrieval algorithm built in MWR is the BPNN algorithm. Before the experiment, the MWR has been calibrated using liquid nitrogen to ensure accuracy.
2.2. Dataset
This study focuses on the period from 3 to 31 July 2018. The BTs in the zenith direction of the MWR are used as a measurement. The profiles for water vapor density (g/m3) and temperature (K) are the retrieved atmospheric state vectors. We divide the vertical profile between 0 and 10 km (altitude) into 58 layers; the resolution of the profiles are 50 m (from the surface) to 500 m, 100 m to 2 km, and 250 m to 10 km. Five-year (January 2013–December 2017) radiosonde data were used as the training set of the BPNN retrieval model; radiosonde data collected July 2018 were used as the validation set of the retrieval results. The radiosonde data were obtained from a nearby station, Honjia (28.51° N, 121.43° E). The distance between Honjia station and MWR is 50 km. There were 71 profiles for comparison after omitting invalid data. The ECMWF analysis (ERA5) with a spatial resolution of 0.25° × 0.25° were used as the initial atmospheric state vector and the background of the 1D-VAR retrieval model [25]. ERA5 assimilates multiple observation sources using advanced modeling. For matching the 58 layers of the retrieval method, a linear interpolation algorithm is adopted to obtain the temperature and relative humidity.
3. 1D-VAR Algorithm
The 1D-VAR retrieval algorithm used in this study is based on the Bayesian optimal estimation theory [19]. With a priori knowledge, the probability distribution function (PDF) of state space x can be described by the measurement y,
where and are the PDF of state space and measurement, respectively. is the conditional PDF of y given x, which includes the simulated values of the MonoRTM model and the instrumental noise. To estimate the optimal state quantity x, we assume that the prior information and the errors in the state space and the measurement space are uncorrelated and subject to a Gaussian distribution, when linearizing the atmospheric forward model,
where is the forward model and is the system error.
Therefore, the PDF could be written as
where is the simulated BT by the forward model for different frequencies of temperature and humidity profile, R denotes the total error related to the instrument noise and the error in the covariance matrix of the forward model, and is a constant. and denote matrix transpose and inverse, respectively.
The prior knowledge of x can be described by a Gaussian PDF,
where is the background state, B is the error covariance matrix of , and is a constant. In practice, is not needed and is used as a normalizing factor [19].
Substituting Equations (3) and (4) in Equation (1), which could be written as
where is a constant. To maximize the posterior PDF, the most probable value of state x given measurements y can be found via
where is the cost function, which means the minimization of is the maximization of .
In this study, there are two important components of the 1D-VAR retrieval method: (1) the parameters of the cost function and the Jacobian matrix of the forward radiative transfer model, which include , B, , R, and , (2) a method to obtain the optimal state value from the cost function.
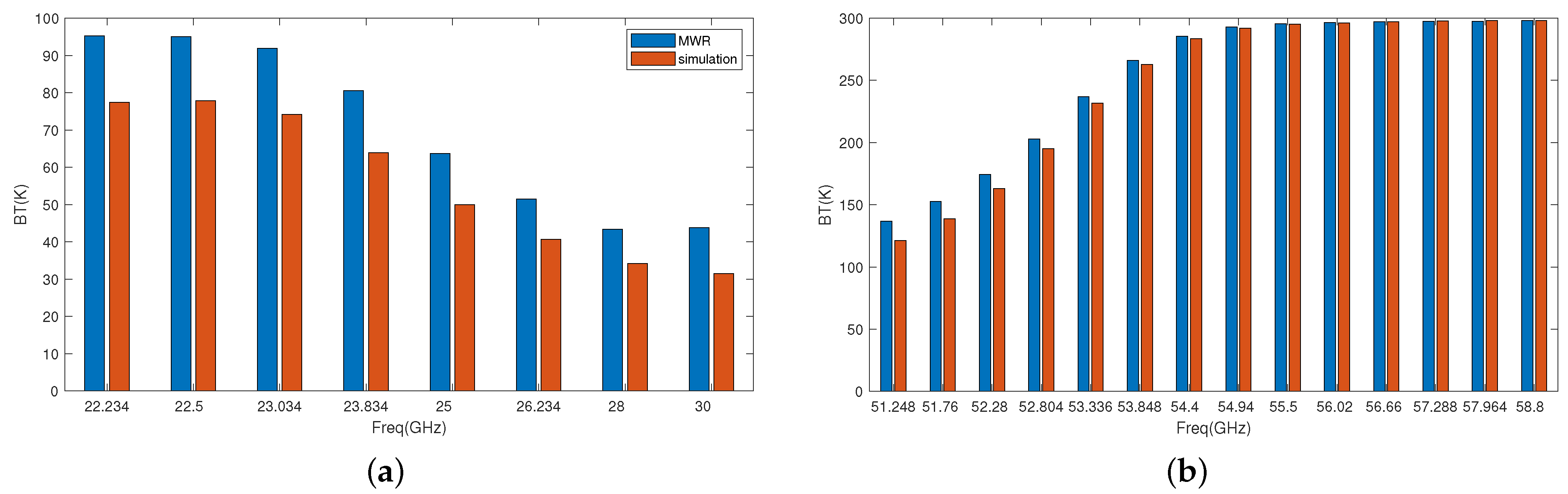
The forward radiative transfer model applied in this study is the monochromatic radiative transfer model (MonoRTM), which is designed to calculate the BTs for a limited number of frequencies within the microwave range by utilizing a line-by-line radiative transfer model [26]. As shown in Figure 1, the mean of BTs of the MWR 22 channels were calculated via the MonoRTM model in July 2018. According to the MWR specifications, the accuracy of the BT for each channel should be approximately 0.3 K after the calibration [23]. However, as shown in Figure 1, the simulated BTs are lower than the observations, especially in the water vapor bands as shown in Figure 1a. The main reason for these biases may be due to the uncertainty of the radiosonde accuracy or the distance between MWR site and the location of the radiosonde.
Figure 1.
The mean value of BTs in water vapor band (a) and oxygen band (b) in July 2018, Dachen Island.
The estimates of the background error covariance matrices B can be obtained via the ERA5 reanalysis data and radiosonde data. The background error covariance matrix B represents the correlation between the real state of the atmosphere and the background at different altitudes [20]. The background error covariance matrix B can be written as
where is the ECMWF ERA5 reanalysis data, and is the radiosonde data.
Based on the ERA5 reanalysis data of 155 cases, a 155-by-58 background matrix can be composed, and the background error covariance matrix B is constructed via the covariance of the matrix with a size of 58-by-58. As shown in Figure 2, the background error matrix of temperature has a large covariance below 2 km and above 7 km for the surface, while the large covariance appears at lower levels in the water vapor background error covariance matrix.
Figure 2.
Background error covariance matrices of (left) temperature (K) and (right) water vapor density (g/m3).
This work utilizes observations from the 22 channels MWR and the observation vector y is defined as a vector of the BTs (), where i denotes the index of one of the 22 channels:
The observation error covariance matrix R is the matrix of the combined measurement and forward model errors. With no correlation between the measurements of the channels of the MWR, the observation error covariance matrix, R, can be written as
where N denotes the sensors noise, and F represents the error of forward model. Both are diagonal matrices.
The Jacobian is a matrix that describes the sensitivity of the observation state y to the perturbation of the state vector x at different altitudes for each frequency [27]. In this study, a Jacobian (K) is calculated by setting a variation in the state vector to 1 K in temperature or 0.01 g/m3 in water vapor at each level; the MonoRTM model simulates the perturbation variance of BT. The ratios and are called the Jacobian matrix of temperature and water vapor, respectively. Figure 3 shows the Jacobian’s temperature component for K band (21–30 GHz) and water vapor component for V band (51–59 GHz).
Figure 3.
Jacobian matrix of temperature (left) and water vapor (right), at UTC 00:00, 4 July 2018.
The minimization process was achieved using the Gauss–Newton method. The iterative solution is given by
where and are the estimate of the atmospheric state before and after iteration. is the Jacobian matrix at the iteration, which represents the partial derivatives of with respect to the atmospheric state x (). In this study, a factor of is added to Equation (1) to further restrict the convergence condition, so that the iterative equation is given by
where is a factor starting with an initial value of .
As mentioned above, the original version of the 1D-var retrieval method utilized only the observation BTs and a priori climatology (temperature or water vapor) as input. As shown in Figure 1, the bias between the observation BTs and the simulation BTs within K band becomes larger when the water vapor content is high in the atmosphere. In Equation (10), the Jacobian of the simulated BTs is one of the components, defined as . Furthermore, as the nonlinear nature of the forward transfer model in K band, depends on the current simulated BT and the state vector. Therefore, as the iterative equations are updated, the inversion results are affected by the uncertainty of the simulated BTs within K band. Thus, to diminish the impact of uncertainty, the original temperature state vector can be combined with the water vapor state vector, and written as . The combined background covariance matrix is given as
The Jacobian can be written the same way,
By substituting the new state vector , Equations (11) and (12), into Equation (10), the new iteration equation is used to minimize the cost function . When the difference of cost function is very small or achieves a maximum iteration, the iteration is stopped.
To evaluate and validate the results of the 1D-Var method, root-mean-square-error (RMSE) and mean-absolute-error (MAE) are used as criteria for the inversion results. The RMSE and MAE between the radiosonde data and results of the 1D-Var method are computed via
where n is the sample size, is the ith retrieved value based on 1D-Var method, and is the corresponding radiosonde value (the true value) [3].
4. Results
4.1. Case Study
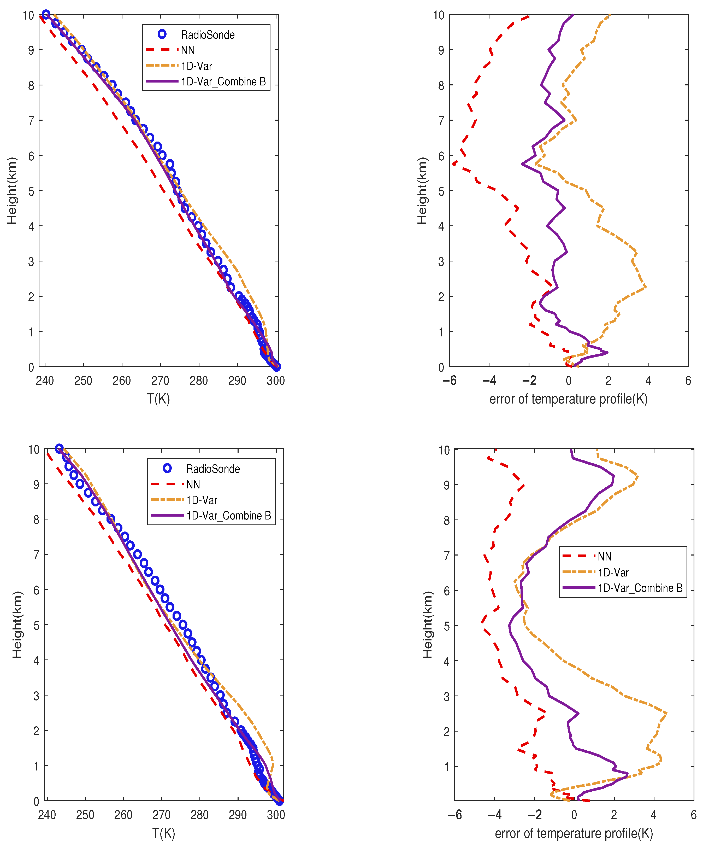
Examples of temperature profile comparisons that utilize the 1D-Var method and neural network (NN) method are shown in the top row of Figure 4 (daytime and clear sky) and in the bottom row of Figure 4 (night-time and cloudy). Due to the rainfall sensor and infrared sensor on the MWR, it is possible to determine cloudy and rain days. The NN method relies on a large volume of historical datasets, and the application of the NN method approach to atmospheric temperature profiles retrieval is described in detail by Maitra and Chakraborty et al. [15]. The cases represent the retrieval of atmosphere profiles at UTC 00:00 and 12:00 on 8 July 2018. The corresponding ERA5 reanalysis data were used as the initial field. These profiles were collected at Dachen Island (28.45° N, 121.90° E) at 12-h intervals and represent the typical performance of each retrieval method. As shown in the left panel of Figure 4, the blue hollow circles, red dashed and yellow dash dotted, and the purple solid represent the results of the radiosonde, NN method, original 1D-Var method, and 1D-Var method with combined background error covariance matrix (combined 1D-Var method), respectively. The temperature profiles of various retrieval methods agree well with the radiosonde profiles below 1 km. Furthermore, the combined 1D-Var method improves the temperature retrieval from 1 km to 4 km. Above 5 km, the retrieval profiles of the combined 1D-Var method and the original 1D-Var method are close to that of the radiosonde, and both have better accuracy than the results of the NN method. In the right panel of Figure 4, the blue hollow circles, red dashed, and the yellow solid represent the errors of retrieval results of NN method, 1D-Var method, and combined 1D-Var method, respectively. In the daytime, the retrieval errors of the combined 1D-Var method are within 2 K, which is better than the other two methods, below 5 km. From surface to 10 km (altitude), the RMSEs of the NN, 1D-Var, and combined 1D-Var are 2.9779, 1.7279, and 1.213 K, respectively. The NN, 1D-Var, and combined 1D-Var MAEs are respectively 2.4179, 1.3765, and 0.9326 K at the same range. Compared to MWR and traditional 1D-Var, the RMSE/MAE of the combined 1D-VAR is reduced by 59.3%/61.4% and 30.0%/32.2%, respectively.
Figure 4.
Temperature (left) and temperature error (right) profiles observed by the radiosonde and retrieved using various retrieval algorithms, at UTC 00:00 (top row) and 12:00 (bottom row), 8 July 2018.
The bottom row of Figure 4 is the same as the top row of Figure 4, except that it is a night-time profile under cloudy conditions. From the comparison of the three retrieval method results, both the NN and original 1D-Var inversions have a large deviation from the radiosonde; the NN retrievals are lower than the true values at all elevations and the original 1D-Var retrievals are higher than the true value at the lower elevations. Meanwhile, the combined 1D-Var retrievals have a significant improvement in the lower layers. Although there is a large deviation between the combined 1D-Var retrieval profile and the true values (radiosonde) for temperature in the range of 4–7 km, the retrieval results of the combined 1D-Var method are satisfactory. Between 0 and 10 km, the RMSEs of NN, 1D-Var, and combined 1D-Var are 2.9312, 2.5979, and 2.0111 K, respectively. The MAEs of the three methods are 2.6200, 2.2161, and 1.6025 K in the same range. Compared to MWR and traditional 1D-Var, the RMSE/MAE of the combined 1D-VAR is reduced by 31.2%/38.8% and 22.6%/27.7%, respectively.
4.2. Statistical Analysis
Details of the retrieval profiles have been illuminated using case study examples. To ensure reasonable conclusions, comparisons were conducted between the three retrievals and the radiosonde for the entire month of July 2018 using observations from Dachen Island. After omitting the rainy day, a total of 52 radiosonde soundings were selected, including 26 comparisons each for daytime (UTC 00:00) and night-time (UTC 12:00).
The daytime results are shown in Figure 5 (top row). According to the RMSE statistics, the vertical distribution of atmospheric temperature is roughly consistent with the characteristics of the ground-based remote sensing data. From 0 to 10 km, the inversion accuracy gradually decreases. The combined 1D-Var method achieves a better temperature retrieval accuracy below 2.5 km with a maximum RMS error of 1.6 K. Above 2.5 km, the RMS error profile of combined 1D-Var method is close to the original 1D-Var profile. Both methods perform better than the NN method. In the range of 0 to 10 km, the RMSEs of NN, 1D-Var, and combined 1D-Var method are 3.2551, 2.1495, and 1.8637 K, respectively. The right panel of Figure 5 (top row) is the MAE profiles of temperature, which is similar to the RMSE profiles. The MAEs of the three methods are 2.5718, 1.7358, and 1.4940 K, respectively.
Figure 5.
The RMSEs (left) and MAEs (right) profiles for temperature via the NN (red dashed), 1D-Var (yellow dashed), and combined 1D-Var (purple solid) methods for daytime cases (top row) and night cases (bottom row).
The comparison of the temperature profiles at night-time shown in Figure 5 (bottom row). The results show that the RMSEs increased at altitudes between 0.5 to 2 km. Meanwhile, the RMSEs of the combined 1D-Var method were smaller than those in the other two methods above 2.5 km. As shown in the right panel of Figure 5 (bottom row), the MAE profiles are also similar to the RMSE profiles. From 0 to 10 km, the RMSEs of NN, 1D-Var, and combined 1D-Var method are 3.3041, 4.0329, and 2.6909 K, respectively; the MAEs are 2.7386, 3.0191, and 2.1459 K, respectively. The results indicate that the combined 1D-Var retrieval results are significantly improved from the original 1D-Var method below 3 km. Moreover, from 3 to 10 km, in contrast to the NN approach, the RMSE with combined 1D-Var has varied between 2 and 3 K.
As shown in Figure 5, the retrieval errors of MWR built-in NN method is smaller between the surface and 2 km, which is related to the dataset quality of the historical radiosonde data. Above 2 km, the errors increase with the rise of altitude and are larger than the errors of other two retrieval methods, and the reason for the results may be caused by the larger deviation of historical radiosonde data above 2 km. The combined 1D-Var method retrieval results have a significant improvement below 4 km compared to the traditional 1D-Var method, The improvement is due to the smoothing effect of the water vapor density background error covariance matrix on the observed vector, and the high accuracy of the simulated BTs. However, above 4 km, due to the extremely low water vapor content, the retrieval performance of the combined 1D-Var method is limited.
To further evaluate the combined 1D-Var algorithm, all the 52 radiosonde soundings were divided into clear sky and cloudy groups to compare the RMSE and MAE results. The RMSEs and MAEs of the three retrieval methods are shown in Figure 6, where the left panel and right panel show the RMSEs and MAEs of each level of temperature. As shown in the top row of Figure 6, the RMSE trends to increase as the height rises. Below 1 km, the RMSEs of the three inversion methods are within 2 K. From 1 to 4 km, the RMSEs of the NN and original 1D-Var method increase with altitude, while the RMSEs of the combined 1D-Var method are lower than that of the original 1D-Var method. Above 4 km, the RMSEs of the combined 1D-Var method are increased with a maximum RMSE of 3.66 K. As shown in the right panel of Figure 6 (top row), the MAE profiles are like the RMSE profiles. From 4 to 8 km, the MAEs of the combined 1D-Var method have a certain deviation with a maximum of 3.28 K. As shown in the top row of Figure 6, the RMSEs of the three methods are 3.1837, 2.6127, and 2.3948 K; the MAEs are 2.6525, 1.8659, and 1.8861 K for the range between the surface and 10 km, respectively.
Figure 6.
The RMSE (left) and MAE (right) profiles for temperature from the NN (red dashed), 1D-Var (yellow dashed), and combined 1D-Var (purple solid) methods for clear skies (top row) and cloudy (bottom row).
Cloud coverage is a factor that affects the retrieval results of the atmospheric temperature profile. The bottom row of Figure 6 shows the comparison of temperature profiles under cloudy conditions collected using different methods. As shown in the left panel of Figure 6 (bottom row), the RMSEs are within 2 K below 0.5 km. Between 0.5 to 3 K, there is no significant fluctuation in the RMSEs of the combined 1D-Var method. Meanwhile, in the range of 3 to 10 K, the combined 1D-Var method has greatly improved temperature retrieval. In the right panel of Figure 6 (bottom row), the MAEs of the combined 1D-Var are within 2 K below 2 km. In addition, between 2 and 10 km, the MAEs of the combined 1D-Var method is lower than that of the other two methods. In the bottom row of Figure 6, the RMSEs of the three methods are 3.1837, 2.6127, and 2.3948 K, while the MAEs are 2.6603, 2.7019, and 1.7979 K.
From the inversion of the temperature in Figure 6, the NN results are lower than the other two methods below 2 km; they become higher with height. Considering the entire range (0 to 10 km), the proposed method achieved a high accuracy in most cases. The results show that the RMSEs of the temperature profile were reduced by 25% and 31% under clear skies and cloudy, respectively, using the combined 1D-Var method.
The results in Figure 6 are similar to those in Figure 5, which indicate that the combined 1D-Var method, below 4 km, has an improvement on the accuracy of the atmospheric temperature profile retrieval for marine areas with high water vapor content, and above 4 km, the retrieval results of the combined 1D-Var method are close to those of the traditional 1D-Var method.
To ensure the reasonable conclusions, T-test is performed for the temperature profiles of each retrieval method at various heights namely at 0 m, 500 m, 2500 m, 5000 m, and 7500 m. T-test can be used to test if the means of the two retrieval results are significantly different. Two parameters have been used to determine if the means of two normal distributions are the same, namely, p-value and confidence interval. The p-value is a statistical parameter that shows the probability of a result exceeding the normal margin of error when the null hypothesis is true. Before performing the test, the threshold (significance level of the test) was set to 5%. If the p-value is less than 5%, this indicates a failure to reject the null hypothesis. The confidence interval is an estimate given in the form of an interval for an unknown parameter value in the parametric distribution of the temperature profiles retrieved by each retrieval method. The proposed retrieval method is more robust for smaller p and confidence interval values.
As shown in Table 1, below 0.5 km, the p and CI values are close to or smaller than the other two methods in the clear sky. Above 2.5 km, the T-test of the 1D-Var retrieval method and the combined 1D-Var method failed to reject the null hypothesis at 0.05 significance level, and the combined 1D-Var method had a better performance below 2.5 km. As shown in Table 2, the T-test of the neural network method rejected the null hypothesis at a significance level of 0.05 at each level. Below 2.5 km, the combined 1D-Var method has a better performance. Above 2.5 km, traditional 1D-Var method performs better compared to other methods, which can be due to the low water vapor content in the atmosphere above 5 km.
Table 1.
Statistical significance in temperature profiles in the clear-sky group.
Table 2.
Statistical significance in temperature profiles in the cloudy group.
5. Summary and Conclusions
This paper describes an improved 1D-Var retrieval method for atmospheric temperature profiles from ground-based MWR measurements on an island. The method was tested for 30 days via MWR measurements. The results of improved 1D-Var method have been compared with the MWR built-in NN algorithm and the original 1D-Var algorithm. The results show that the improved 1D-Var method with a combination of temperature and water vapor background error covariance matrices outperforms the NN and 1D-Var methods.
The bias between the observed BTs and the simulated BTs is one of the main factors affecting the retrievals. The simulated BTs are calculated using the forward radiation model (MonoRTM). To reduce the effect, the observation error covariance matrix in the 1D-Var method can be introduced. However, convergence problems were encountered in ocean environments, partially due to the water vapor content in the atmosphere. To address this problem, a background error covariance combination scheme has been introduced to help constrain the retrievals. In addition, based on optimization theory, a Gauss–Newton iterative function with correction coefficients () between 0 and 1 is constructed. To further evaluate and validate the improved 1D-Var method, statistical analyses of the inversion results are performed for various conditions, e.g., day and night, cloudy and sunny days.
Based on the case study and the statistical comparison of the three inversion methods (NN method, 1D-Var, and combined 1D-Var) with radiosonde soundings, we conclude that:
- The three methods have good agreement from 0 to 10 km, the RMSEs and MAEs of the NN inversion algorithm gradually become larger with the increase of height, the original 1D-Var method has larger deviation in the low level, the combined 1D-Var method improves the inversion accuracy of the 1D-Var method, and the inversion results do not increase with the increase of height;
- Compared to the MWR, the RMSE/MAE of the combined 1D-Var are reduced by 25%/29% under clear sky conditions and by 31%/48% under cloudy sky conditions, respectively;
- Compared to the MWR, the RMSE/MAE of the combined 1D-Var is reduced by 43%/42% during daytime; and by 19%/22% during night-time, respectively.
The results suggest that the improved 1D variational method is superior to the NN method and the original 1D variational method. As concluded from the statistical study, the 1D-Var method and the reanalysis data can be used instead of the MWR built-in NN method to achieve the retrieval of atmospheric temperature profiles, when there is a lack of historical sounding data. In addition, the combined 1D-Var method can improve the accuracy of the atmospheric profiles in the range of 0 to 10 km, especially in the lower layers (<4 km). Furthermore, to increase the accuracy of simulated BTs in the water vapor band, an improved forward radiation model is considered. The 1D-Var method could be extended by combining observations from other instruments, such as the height of the cloud base or the gradient of the atmospheric refractive index.
The background error covariance matrix (B) and the observation error covariance matrix (R) are important for the inversion accuracy of the 1D-Var method. In this study, the 1D-Var method uses the same B and R due to limitations of the sample size. In different seasons or weather conditions, B and R should be dynamically adjusted to improve the accuracy of the 1D-Var method. In addition, there are large errors when the atmospheric profile inversion is performed on rainy days. The critical issue is that raindrops affect the MWR observations. It is well known that MWR measurements become inherently less reliable in rainy conditions, and the atmospheric radiative transfer simulations become much more involved. The retrieval of atmospheric temperature profiles under rainy conditions will require further analysis in the future.
Author Contributions
H.Y.: conceptualization, methodology, software and writing—original draft preparation. Y.Z.: formal analysis, writing—review and editing, and supervision. S.C.: visualization and software. All authors have read and agreed to the published version of the manuscript.
Funding
This research received no external funding.
Institutional Review Board Statement
Not applicable.
Informed Consent Statement
Not applicable.
Data Availability Statement
Data underlying the results presented in this paper are not publicly available at this time due to being part of ongoing work but may be obtained from the authors later upon reasonable request.
Acknowledgments
We particularly thank Atmospheric and Environmental Research (AER) for making the radiative transfer models publicly available.
Conflicts of Interest
The authors declare no conflict of interest.
References
- Cimini, D.; Hewison, T.J.; Martin, L.; Güldner, J.; Gaffard, C.; Marzano, F.S. Temperature and humidity profile retrievals from ground-based microwave radiometers during TUC. Meteorol. Z. 2006, 15, 45–56. [Google Scholar] [CrossRef]
- Le Pichon, A.; Assink, J.D.; Heinrich, P.; Blanc, E.; Charlton-Perez, A.; Lee, C.F.; Keckhut, P.; Hauchecorne, A.; Rüfenacht, R.; Kämpfer, N.; et al. Comparison of co-located independent ground-based middle atmospheric wind and temperature measurements with numerical weather prediction models. J. Geophys. Res. Atmos. 2015, 120, 8318–8331. [Google Scholar] [CrossRef]
- Xu, G.; Xi, B.; Zhang, W.; Cui, C.; Dong, X.; Liu, Y.; Yan, G. Comparison of atmospheric profiles between microwave radiometer retrievals and radiosonde soundings. J. Geophys. Res. Atmos. 2015, 120, 10313–10323. [Google Scholar] [CrossRef]
- Westwater, E.R.; Crewell, S.; Mätzler, C. A review of surface-based microwave and millimeter-wave radiometric remote sensing of the troposphere. URSI Radio Sci. Bull. 2004, 2004, 59–80. [Google Scholar]
- Li, J.; Wolf, W.W.; Menzel, W.P.; Zhang, W.; Huang, H.L.; Achtor, T. Global soundings of the atmosphere from atovs measurements: The algorithm and validation. J. Appl. Meteorol. 2000, 39, 1248–1268. [Google Scholar] [CrossRef]
- Tan, H.; Mao, J.; Chen, H.; Chan, P.W.; Wu, D.; Li, F.; Deng, T. A Study of a Retrieval Method for Temperature and Humidity Profiles from Microwave Radiometer Observations Based on Principal Component Analysis and Stepwise Regression. J. Atmos. Ocean. Technol. 2011, 28, 378–389. [Google Scholar] [CrossRef]
- Sánchez, J.L.; Posada, R.; García-Ortega, E.; López, L.; Marcos, J.L. A method to improve the accuracy of continuous measuring of vertical profiles of temperature and water vapor density by means of a ground-based microwave radiometer. Atmos. Res. 2013, 122, 43–54. [Google Scholar] [CrossRef]
- Renju, R.; Suresh Raju, C.; Mathew, N.; Antony, T.; Krishna Moorthy, K. Microwave radiometer observations of interannual water vapor variability and vertical structure over a tropical station. J. Geophys. Res. Atmos. 2015, 120, 4585–4599. [Google Scholar] [CrossRef]
- Cadeddu, M.P.; Liljegren, J.C.; Turner, D.D. The Atmospheric Radiation Measurement (ARM) program network of microwave radiometers: Instrumentation, data, and retrievals. Atmos. Meas. Tech. 2013, 6, 2359–2372. [Google Scholar] [CrossRef]
- Decker, M.T.; Westwater, E.R.; Guiraud, F.O. Experimental evaluation of ground-based microwave radiometric sensing of atmospheric temperature and water vapor profiles. J. Appl. Meteorol. 1978, 17, 1788–1795. [Google Scholar] [CrossRef]
- Guiraud, F.O.; Howard, J.; Hogg, D.C. A dual-channel microwave radiometer for measurement of precipitable water vapor and liquid. IEEE Trans. Geosci. Electron. 1979, 17, 129–136. [Google Scholar] [CrossRef]
- Basili, P.; Ciotti, P.; Solimini, D. Inversion of ground-based radiometric data by kalman filtering. Radio Sci. 1981, 16, 83–91. [Google Scholar] [CrossRef]
- Rumelhart, D.E.; Hinton, G.E.; Williams, R.J. Learning representations by back-propagating errors. Nature 1986, 323, 533–536. [Google Scholar] [CrossRef]
- Solheim, F.; Godwin, J.R.; Westwater, E.R.; Han, Y.; Keihm, S.J.; Marsh, K.; Ware, R. Radiometric profiling of temperature, water vapor and cloud liquid water using various inversion methods. Radio Sci. 1998, 33, 393–404. [Google Scholar] [CrossRef]
- Chakraborty, R.; Maitra, A. Retrieval of atmospheric properties with radiometric measurements using neural network. Atmos. Res. 2016, 181, 124–132. [Google Scholar] [CrossRef]
- Westwater, E.R.; Stankov, B.B.; Cimini, D.; Han, Y.; Shaw, J.A.; Lesht, B.M.; Long, C.N. Radiosonde humidity soundings and microwave radiometers during nauru99. J. Atmos. Ocean. Technol. 2003, 20, 953–971. [Google Scholar] [CrossRef]
- Löhnert, U.; Crewell, S.; Simmer, C. An integrated approach toward retrieving physically consistent profiles of temperature, humidity, and cloud liquid water. J. Appl. Meteorol. 2004, 43, 1295–1307. [Google Scholar] [CrossRef]
- Löhnert, U.; Crewell, S.; Krasnov, O.; O’Connor, E.; Russchenberg, H. Advances in continuously profiling the thermodynamic state of the boundary layer: Integration of measurements and methods. J. Atmos. Ocean. Technol. 2008, 25, 1251–1266. [Google Scholar] [CrossRef]
- Rodgers, C.D. Inverse Methods for Atmospheric Sounding (Theory and Practice), 2nd ed.; World Scientific: Singapore, 2000; p. 238. [Google Scholar]
- Hewison, T.J. 1D-VAR Retrieval of Temperature and Humidity Profiles From a Ground-Based Microwave Radiometer. IEEE Trans. Geosci. Remote. Sens. 2007, 45, 2163–2168. [Google Scholar] [CrossRef]
- Cimini, D.; Westwater, E.R.; Gasiewski, A.J. Temperature and Humidity Profiling in the Arctic Using Ground-Based Millimeter-Wave Radiometry and 1DVAR. IEEE Trans. Geosci. Remote. Sens. 2010, 48, 1381–1388. [Google Scholar] [CrossRef]
- Martinet, P.; Dabas, A.; Donier, J.M.; Douffet, T.; Garrouste, O.; Guillot, R. 1D-Var temperature retrievals from microwave radiometer and convective scale model. Tellus 2015, 67, 27925. [Google Scholar] [CrossRef]
- Yang, J.; Min, Q. Retrieval of Atmospheric Profiles in the New York State Mesonet Using One-Dimensional Variational Algorithm. J. Geophys. Res. Atmos. 2018, 123, 7563–7575. [Google Scholar] [CrossRef]
- Ware, R.; Carpenter, R.; Gueldner, J.; Liljegren, J.; Nehrkorn, T.; Solheim, F.; Vandenberghe, F. A multichannel radiometric profiler of temperature, humidity, and cloud liquid. Radio Sci. 2003, 38, 1–13. [Google Scholar] [CrossRef]
- Kalnay, E. Ncep/ncar 40-year reanalysis project. Bull. Am. Meteorol. Soc. 1996, 77, 437–472. [Google Scholar] [CrossRef]
- Clough, S.A.; Shephard, M.W.; Mlawer, E.J.; Delamere, J.S.; Iacono, M.J.; Cady-Pereira, K.; Boukabara, S.; Brown, P.D. Atmospheric radiative transfer modeling: A summary of the aer codes. J. Quant. Spectrosc. Radiat. Transf. 2005, 91, 233–244. [Google Scholar] [CrossRef]
- Araki, K.; Murakami, M.; Ishimoto, H.; Tajiri, T. Ground-based microwave radiometer variational analysis during no-rain and rain conditions. Sola 2015, 11, 108–112. [Google Scholar] [CrossRef]
Publisher’s Note: MDPI stays neutral with regard to jurisdictional claims in published maps and institutional affiliations. |
© 2022 by the authors. Licensee MDPI, Basel, Switzerland. This article is an open access article distributed under the terms and conditions of the Creative Commons Attribution (CC BY) license (https://creativecommons.org/licenses/by/4.0/).





