Two Processes of Anglesite Formation and a Model of Secondary Supergene Enrichment of Bi and Ag in Seafloor Hydrothermal Sulfide Deposits
Abstract
:1. Introduction
2. Geological Setting
3. Sampling and Methods
3.1. Specimen and Analytical Techniques
3.2. In Situ Major Element Determination
3.3. In Situ Trace Element Determination
3.4. In Situ S Isotope Analysis
3.5. In Situ Pb Isotope Analysis
4. Results
4.1. Occurrence and Major and Trace Element Concentrations of Anglesite
4.2. Rare Earth Element Compositions in Anglesite
4.3. In Situ S and Pb Isotopic Compositions of the Anglesite and Sulfides
5. Discussion
5.1. Variable REE Compositions, Origin of Eu Anomalies and Sources of REEs
5.2. Sulfur Sources of Anglesite
5.3. Fluid–Rock and/or Sediment Interaction
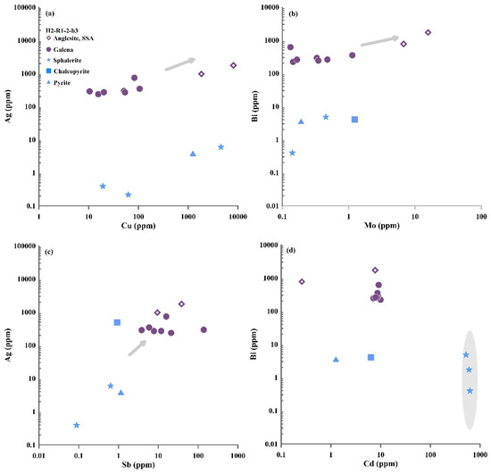
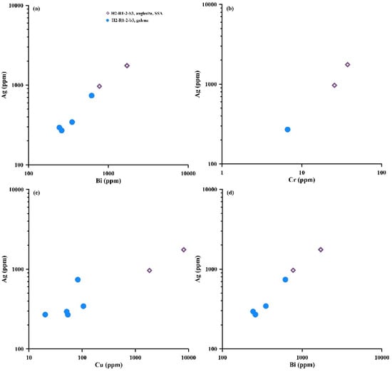
5.4. The Secondary Enrichment of Bi and Ag in Secondary Supergene Anglesite
6. Conclusions
Supplementary Materials
Author Contributions
Funding
Institutional Review Board Statement
Informed Consent Statement
Data Availability Statement
Acknowledgments
Conflicts of Interest
References
- Barton, P.B.; Bethke, P.M.; Roedder, E. Environment of ore deposition in the Creede mining district, San Juan Mountains, Colorado; Part III, Progress toward interpretation of the chemistry of the ore-forming fluid for the OH Vein. Econ. Geol. 1977, 72, 1–24. [Google Scholar] [CrossRef]
- Fanfani, L.; Zuddas, P.; Chessa, A. Heavy metals speciation analysis as a tool for studying mine tailings weathering. J. Geochem. Explor. 1997, 58, 241–248. [Google Scholar] [CrossRef]
- Szczerba, M.; Sawłowicz, Z. Remarks on the origin of cerussite in the Upper Silesian Zn-Pb deposits, Poland. Mineralogia 2009, 40, 54–64. [Google Scholar] [CrossRef]
- Lara, R.H.; Briones, R.; Monroy, M.G.; Mullet, M.; Humbert, B.; Dossot, M.; Naja, G.M.; Cruz, R. Galena weathering under simulated calcareous soil conditions. Sci. Total Environ. 2011, 409, 3971–3979. [Google Scholar] [CrossRef] [PubMed]
- Nordstrom, D.K. Hydrogeochemical processes governing the origin, transport and fate of major and trace elements from mine wastes and mineralized rock to surface waters. Appl. Geochem. 2011, 26, 1777–1791. [Google Scholar] [CrossRef]
- Ayuso, R.A.; Foley, N.K.; Seal II, R.R.; Bove, M.; Civitillo, D.; Cosenza, A.; Grezzi, G. Lead isotope evidence for metal dispersal at the Callahan Cu–Zn–Pb mine: Goose Pond tidal estuary, Maine, USA. J. Geochem. Explor. 2013, 126, 1–22. [Google Scholar] [CrossRef]
- Keim, M.F.; Markl, G. Weathering of galena: Mineralogical processes, hydrogeochemical fluid path modeling, and estimation of the growth rate of pyromorphite. Am. Miner. 2015, 100, 1584–1594. [Google Scholar] [CrossRef]
- Courtin-Nomade, A.; Waltzing, T.; Evrard, C.; Soubrand, M.; Lenain, J.-F.; Ducloux, E.; Ghorbel, S.; Grosbois, C.; Bril, H. Arsenic and lead mobility: From tailing materials to the aqueous compartment. Appl. Geochem. 2016, 64, 10–21. [Google Scholar] [CrossRef]
- Paradis, S.; Simandl, G.J.; Keevil, H.; Raudsepp, M. Carbonate-Hosted Nonsulfide Pb-Zn Deposits of the Quesnel Lake District, British Columbia, Canada. Econ. Geol. 2016, 111, 179–198. [Google Scholar] [CrossRef]
- Jazi, M.A.; Karimpour, M.H.; Shafaroudi, A.M. Nakhlak carbonate-hosted Pb(Ag) deposit, Isfahan province, Iran: A geological, mineralogical, geochemical, fluid inclusion, and sulfur isotope study. Ore Geol. Rev. 2017, 80, 27–47. [Google Scholar] [CrossRef]
- Keim, M.F.; Gassmann, B.; Markl, G. Formation of basic lead phases during fire-setting and other natural and man-made processes. Am. Mineral. J. Earth Planet. Mater. 2017, 102, 1482–1500. [Google Scholar] [CrossRef]
- McClenaghan, M.; Parkhill, M.; Pronk, A.; Sinclair, W. Indicator mineral and till geochemical signatures of the Mount Pleasant W-Mo-Bi and Sn-Zn-In deposits, New Brunswick, Canada. J. Geochem. Explor. 2017, 172, 151–166. [Google Scholar] [CrossRef] [Green Version]
- McClenaghan, M.B.; Paulen, R.C.; Oviatt, N.M. Geometry of indicator mineral and till geochemistry dispersal fans from the Pine Point Mississippi Valley-type Pb-Zn district, Northwest Territories, Canada. J. Geochem. Explor. 2018, 190, 69–86. [Google Scholar] [CrossRef]
- Dill, H.G.; Weber, B.; Botz, R. Metalliferous duricrusts (“orecretes”)-markers of weathering: A mineralogical and climatic-geomorphological approach to supergene Pb-Zn-Cu-Sb-P mineralization on different parent materials. Neues Jahrb. Mineral. Abh. 2013, 190, 123–195. [Google Scholar] [CrossRef]
- Dill, H.G. Die Vererzung am Westrand der Bhmischen Masse-Metallogenese in einer ensialischen Orogenzone. Geol. Jahrb. 1985, 73, 3–461. [Google Scholar]
- Romero, F.M.; Prol-Ledesma, R.M.; Canet, C.; Alvares, L.N.; Pérez-Vázquez, R.G. Acid drainage at the inactive Santa Lucia mine, western Cuba: Natural attenuation of arsenic, barium and lead, and geochemical behavior of rare earth elements. Appl. Geochem. 2010, 25, 716–727. [Google Scholar] [CrossRef]
- Santoro, L.; Rollinson, G.K.; Boni, M.; Mondillo, N. Automated scanning electron microscopy (qemscan(r))-based mineral identification and quantification of the jabali zn-pb-ag nonsulfide deposit (yemen). Econ. Geol. 2015, 110, 1083–1099. [Google Scholar] [CrossRef]
- Jébrak, M.; Marcoux, É.; Nasloubi, M.; Zaharaoui, M. From sandstone- to carbonate-hosted stratabound deposits: An isotope study of galena in the Upper-Moulouya District (Morocco). Miner. Depos. 1998, 33, 406–415. [Google Scholar] [CrossRef]
- Bernardinetti, S.; Pieruccioni, D.; Mugnaioli, E.; Talarico, F.M.; Trotta, M.; Harroud, A.; Tufarolo, E. A pilot study to test the reliability of the ERT method in the identification of mixed sulphides bearing dykes: The example of Sidi Flah mine (Anti-Atlas, Morocco). Ore Geol. Rev. 2018, 101, 819–838. [Google Scholar] [CrossRef]
- Batonneau, Y.; Brémard, C.; Laureyns, J.; Merlin, J.C. Microscopic and imaging Raman scattering study of PbS and its photo-oxidation products. J. Raman Spectrosc. 2000, 31, 1113–1119. [Google Scholar] [CrossRef]
- De Giudici, G.; Zuddas, P. In situ investigation of galena dissolution in oxygen saturated solution: Evolution of surface features and kinetic rate. Geochim. Cosmochim. Acta 2001, 65, 1381–1389. [Google Scholar] [CrossRef]
- Brookins, D.G. Eh-pH Diagrams for Geochemistry; Springer: Berlin/Heidelberg, Germany, 1988. [Google Scholar]
- Eary, L. Geochemical and equilibrium trends in mine pit lakes. Appl. Geochem. 1999, 14, 963–987. [Google Scholar] [CrossRef]
- Jeong, G.Y.; Lee, B.Y. Secondary mineralogy and microtextures of weathered sulfides and manganoan carbonates in mine waste-rock dumps, with implications for heavy-metal fixation. Am. Miner. 2003, 88, 1933–1942. [Google Scholar] [CrossRef]
- Grondijs, H.F.; Schouten, C. A study of the Mount Isa ores [Queensland, Australia]. Econ. Geol. 1937, 32, 407–450. [Google Scholar] [CrossRef]
- Verhaert, M.; Bernard, A.; Dekoninck, A.; Lafforgue, L.; Saddiqi, O.; Yans, J. Mineralogical and geochemical characterization of supergene Cu–Pb–Zn–V ores in the Oriental High Atlas, Morocco. Miner. Depos. 2017, 52, 1049–1068. [Google Scholar] [CrossRef]
- Lee, P.-K.; Kang, M.-J.; Choi, S.-H.; Touray, J.-C. Sulfide oxidation and the natural attenuation of arsenic and trace metals in the waste rocks of the abandoned Seobo tungsten mine, Korea. Appl. Geochem. 2005, 20, 1687–1703. [Google Scholar] [CrossRef]
- Vitkova, M.; Ettler, V.; Šebek, O.; Mihaljevič, M. Metal-contaminant leaching from lead smelter fly ash using pH-stat experiments. Mineral. Mag. 2008, 72, 521–524. [Google Scholar] [CrossRef]
- Gammons, C.H.; Metesh, J.J.; Snyder, D.M. A Survey of the Geochemistry of Flooded Mine Shaft Water in Butte, Montana. Mine Water Environ. 2006, 25, 100–107. [Google Scholar] [CrossRef]
- Kimura, M. Back-arc rifting in the Okinawa Trough. Mar. Pet. Geol. 1985, 2, 222–240. [Google Scholar] [CrossRef]
- Ishibashi, J.-I.; Ikegami, F.; Tsuji, T.; Urabe, T. Hydrothermal Activity in the Okinawa Trough Back-Arc Basin: Geological Background and Hydrothermal Mineralization. In Subseafloor Biosphere Linked to Hydrothermal Systems: TAIGA Concept; Ishibashi, J.-I., Okino, K., Sunamura, M., Eds.; Springer: Tokyo, Japan, 2015; pp. 337–359. [Google Scholar]
- Sibuet, J.-C.; Deffontaines, B.; Hsu, S.-K.; Thareau, N.; Le Formal, J.-P.; Liu, C.-S. Okinawa trough backarc basin: Early tectonic and magmatic evolution. J. Geophys. Res. Space Phys. 1998, 103, 30245–30267. [Google Scholar] [CrossRef] [Green Version]
- Yan, Q.; Shi, X. Petrologic perspectives on tectonic evolution of a nascent basin (Okinawa Trough) behind Ryukyu Arc: A review. Acta Oceanol. Sin. 2014, 33, 1–12. [Google Scholar] [CrossRef]
- Zeng, Z.; Wang, X.; Chen, C.-T.A.; Qi, H. Understanding the Compositional Variability of the Major Components of Hydrothermal Plumes in the Okinawa Trough. Geofluids 2018, 2018, 1536352. [Google Scholar] [CrossRef] [Green Version]
- Kawagucci, S.; Ueno, Y.; Takai, K.; Toki, T.; Ito, M.; Inoue, K.; Makabe, A.; Yoshida, N.; Muramatsu, Y.; Takahata, N.; et al. Geochemical origin of hydrothermal fluid methane in sediment-associated fields and its relevance to the geographical distribution of whole hydrothermal circulation. Chem. Geol. 2013, 339, 213–225. [Google Scholar] [CrossRef]
- Nakagawa, S.; Takai, K.; Inagaki, F.; Chiba, H.; Ishibashi, J.-I.; Kataoka, S.; Hirayama, H.; Nunoura, T.; Horikoshi, K.; Sako, Y. Variability in microbial community and venting chemistry in a sediment-hosted backarc hydrothermal system: Impacts of subseafloor phase-separation. FEMS Microbiol. Ecol. 2005, 54, 141–155. [Google Scholar] [CrossRef] [PubMed]
- Kawagucci, S.; Chiba, H.; Ishibashi, J.-I.; Yamanaka, T.; Toki, T.; Muramatsu, Y.; Ueno, Y.; Makabe, A.; Inoue, K.; Yoshida, N.; et al. Hydrothermal fluid geochemistry at the Iheya North field in the mid-Okinawa Trough: Implication for origin of methane in subseafloor fluid circulation systems. Geochem. J. 2011, 45, 109–124. [Google Scholar] [CrossRef] [Green Version]
- Kawagucci, S.; Miyazaki, J.; Nakajima, R.; Nozaki, T.; Takaya, Y.; Kato, Y.; Shibuya, T.; Konno, U.; Nakaguchi, Y.; Hatada, K. Post-drilling changes in fluid discharge pattern, mineral deposition, and fluid chemistry in the Iheya North hydrothermal field, Okinawa Trough. Geochem. Geophys. Geosyst. 2013, 14, 4774–4790. [Google Scholar] [CrossRef]
- Sakai, H.; Gamo, T.; Kim, E.-S.; Shitashima, K.; Yanagisawa, F.; Tsutsumi, M.; Ishibashi, J.; Sano, Y.; Wakita, H.; Tanaka, T.; et al. Unique chemistry of the hydrothermal solution in the mid-Okinawa Trough Backarc Basin. Geophys. Res. Lett. 1990, 17, 2133–2136. [Google Scholar] [CrossRef]
- Ishibashi, J.; Sano, Y.; Wakita, H.; Gamo, T.; Tsutsumi, M.; Sakai, H. Helium and carbon geochemistry of hydrothermal fluids from the Mid-Okinawa Trough Back Arc Basin, southwest of Japan. Chem. Geol. 1995, 123, 1–15. [Google Scholar] [CrossRef]
- Ishibashi, J.-I.; Noguchi, T.; Toki, T.; Miyabe, S.; Yamagami, S.; Onishi, Y.; Yamanaka, T.; Yokoyama, Y.; Omori, E.; Takahashi, Y.; et al. Diversity of fluid geochemistry affected by processes during fluid upwelling in active hydrothermal fields in the Izena Hole, the middle Okinawa Trough back-arc basin. Geochem. J. 2014, 48, 357–369. [Google Scholar] [CrossRef] [Green Version]
- Watanabe, M.; Hoshino, K.; Shiokawa, R.; Takaoka, Y.; Fukumoto, H.; Shibata, Y.; Shinjo, R.; Oomori, T. Metallic mineralization associated with pillow basalts in the Yaeyama Central Graben, Southern Okinawa Trough, Japan. JAMSTEC Rep. Res. Dev. 2006, 3, 1–8. [Google Scholar] [CrossRef]
- Fukuba, T.; Noguchi, T.; Fujii, T. The Irabu Knoll: Hydrothermal Site at the Eastern Edge of the Yaeyama Graben. In Subseafloor biosphere linked to hydrothermal systems: TAIGA Concept; Ishibashi, J.-I., Okino, K., Sunamura, M., Eds.; Springer: Tokyo, Japan, 2015; pp. 493–496. [Google Scholar]
- Nakano, A. Geochemistry of hydrothermal fluids from the Hatoma Knoll in the South Okinawa Trough. JAMSTEC J. Deep. Sea Res. 2001, 18, 139–144. [Google Scholar]
- Kawagucci, S.; Toki, T.; Ishibashi, J.; Takai, K.; Ito, M.; Oomori, T.; Gamo, T. Isotopic variation of molecular hydrogen in 20–375 °C hydrothermal fluids as detected by a new analytical method. J. Geophys. Res. Space Phys. 2010, 115, 03021. [Google Scholar] [CrossRef] [Green Version]
- Kishida, K.; Sohrin, Y.; Okamura, K.; Ishibashi, J.-I. Tungsten enriched in submarine hydrothermal fluids. Earth Planet. Sci. Lett. 2004, 222, 819–827. [Google Scholar] [CrossRef]
- Konno, U.; Tsunogai, U.; Nakagawa, F.; Nakaseama, M.; Ishibashi, J.I.; Nunoura, T.; Nakamura, K.I. Liquid CO2 venting on the seafloor: Yonaguni Knoll IV hydrothermal system, Okinawa Trough. Geophys. Res. Lett. 2006, 33, L16607. [Google Scholar] [CrossRef]
- Suzuki, R.; Ishibashi, J.-I.; Nakaseama, M.; Konno, U.; Tsunogai, U.; Gena, K.; Chiba, H. Diverse Range of Mineralization Induced by Phase Separation of Hydrothermal Fluid: Case Study of the Yonaguni Knoll IV Hydrothermal Field in the Okinawa Trough Back-Arc Basin. Resour. Geol. 2008, 58, 267–288. [Google Scholar] [CrossRef]
- Zeng, Z. New hydrothermal field in the Okinawa Trough. In Proceedings of the 25th Goldschmidt Conference, Prague, Czech Republic, 16–21 August 2015; p. 3573. [Google Scholar]
- Tsuji, T.; Takai, K.; Oiwane, H.; Nakamura, Y.; Masaki, Y.; Kumagai, H.; Kinoshita, M.; Yamamoto, F.; Okano, T.; Kuramoto, S. Hydrothermal fluid flow system around the Iheya North Knoll in the mid-Okinawa trough based on seismic reflection data. J. Volcanol. Geotherm. Res. 2012, 213, 41–50. [Google Scholar] [CrossRef] [Green Version]
- Liu, Y.; Hu, Z.; Gao, S.; Günther, D.; Xu, J.; Gao, C.; Chen, H. In situ analysis of major and trace elements of anhydrous minerals by LA-ICP-MS without applying an internal standard. Chem. Geol. 2008, 257, 34–43. [Google Scholar] [CrossRef]
- Liu, Y.; Zong, K.; Kelemen, P.; Gao, S. Geochemistry and magmatic history of eclogites and ultramafic rocks from the Chinese continental scientific drill hole: Subduction and ultrahigh-pressure metamorphism of lower crustal cumulates. Chem. Geol. 2008, 247, 133–153. [Google Scholar] [CrossRef]
- Sun, S.-S.; McDonough, W.F. Chemical and isotopic systematics of oceanic basalts: Implications for mantle composition and processes. Geol. Soc. 1989, 42, 313–345. [Google Scholar] [CrossRef]
- Bao, Z.; Chen, L.; Zong, C.; Yuan, H.; Chen, K.; Dai, M. Development of pressed sulfide powder tablets for in situ sulfur and lead isotope measurement using LA-MC-ICP-MS. Int. J. Mass Spectrom. 2017, 421, 255–262. [Google Scholar] [CrossRef]
- Chen, L.; Chen, K.; Bao, Z.; Liang, P.; Sun, T.; Yuan, H. Preparation of standards for in situ sulfur isotope measurement in sulfides using femtosecond laser ablation MC-ICP-MS. J. Anal. At. Spectrom. 2017, 32, 107–116. [Google Scholar] [CrossRef]
- Yuan, H.; Liu, X.; Chen, L.; Bao, Z.; Chen, K.; Zong, C.; Li, X.-C.; Qiu, J.W. Simultaneous measurement of sulfur and lead isotopes in sulfides using nanosecond laser ablation coupled with two multi-collector inductively coupled plasma mass spectrometers. J. Asian Earth Sci. 2018, 154, 386–396. [Google Scholar] [CrossRef]
- Chen, K.; Yuan, H.; Bao, Z.; Zong, C.; Dai, M. Precise and accurate in situ determination of lead isotope ratios in NIST, USGS, MPI-DING and CGSG glass reference materials using femtosecond laser ablation MC-ICP-MS. Geostand. Geoanal. Res. 2014, 38, 5–21. [Google Scholar]
- Yuan, H.; Yin, C.; Liu, X.; Chen, K.; Bao, Z.; Zong, C.; Dai, M.; Lai, S.; Wang, R.; Jiang, S. High precision in-situ Pb isotopic analysis of sulfide minerals by femtosecond laser ablation multi-collector inductively coupled plasma mass spectrometry. Sci. China Earth Sci. 2015, 58, 1713–1721. [Google Scholar] [CrossRef]
- Hannington, M.D.; De Ronde, C.E.J.; Petersen, S.; Hedenquist, J.W.; Thompson, J.F.H.; Goldfarb, R.J.; Richards, J.P. Sea-Floor Tectonics and Submarine Hydrothermal Systems. In One Hundredth Anniversary Volume; Society of Economic Geologists: Littelton, Colorado, USA, 2005; pp. 111–141. [Google Scholar]
- Zeng, Z.; Chen, S.; Ma, Y.; Yin, X.; Wang, X.; Zhang, S.; Zhang, J.; Wu, X.; Li, Y.; Dong, D.; et al. Chemical compositions of mussels and clams from the Tangyin and Yonaguni Knoll IV hydrothermal fields in the southwestern Okinawa Trough. Ore Geol. Rev. 2017, 87, 172–191. [Google Scholar] [CrossRef]
- Ohmoto, H. Stable isotope geochemistry of ore deposits. Rev. Mineral. Geochem. 1986, 16, 491–560. [Google Scholar]
- Ohmoto, H.; Rye, R.O. Isotopes of sulfur and carbon. In Geochemistry of Hydrothermal Ore Deposits, 2nd ed.; Barnes, H.L., Ed.; J Wiley and Sons: New York, NY, USA, 1979; pp. 509–567. [Google Scholar]
- Sakai, H.; Marais, D.; Ueda, A.; Moore, J. Concentrations and isotope ratios of carbon, nitrogen and sulfur in ocean-floor basalts. Geochim. Cosmochim. Acta 1984, 48, 2433–2441. [Google Scholar] [CrossRef]
- Alt, J.C.; Anderson, T.F.; Bonnell, L. The geochemistry of sulfur in a 1.3 km section of hydrothermally altered oceanic crust, DSDP Hole 504B. Geochim. Cosmochim. Acta 1989, 53, 1011–1023. [Google Scholar] [CrossRef]
- Shanks, W.C.; Böhlke, J.K.; Seal, R.R. Stable isotopes in mid-ocean ridge hydrothermal systems: Interactions between fluids, minerals, and organisms. Geophys. Monogr. Am. Geophys. Union 1995, 91, 194. [Google Scholar]
- Alt, J.C.; Shanks, W.C. Serpentinization of abyssal peridotites from the MARK area, Mid-Atlantic Ridge: Sulfur geochemistry and reaction modeling. Geochim. Cosmochim. Acta 2003, 67, 641–653. [Google Scholar] [CrossRef]
- Rees, C.; Jenkins, W.; Monster, J. The sulphur isotopic composition of ocean water sulphate. Geochim. Cosmochim. Acta 1978, 42, 377–381. [Google Scholar] [CrossRef]
- Shu, Y.; Nielsen, S.G.; Zeng, Z.; Shinjo, R.; Blusztajn, J.; Wang, X.; Chen, S. Tracing subducted sediment inputs to the Ryukyu arc-Okinawa Trough system: Evidence from thallium isotopes. Geochim. Cosmochim. Acta 2017, 217, 462–491. [Google Scholar] [CrossRef]
- Alt, J.C. The chemistry and sulfur isotope composition of massive sulfide and associated deposits on Green Seamount, eastern Pacific. Econ. Geol. 1988, 83, 1026–1033. [Google Scholar] [CrossRef]
- Mills, R.; Elderfield, H. Rare earth element geochemistry of hydrothermal deposits from the active TAG Mound, 26 N Mid-Atlantic Ridge. Geochim. Cosmochim. Acta 1995, 59, 3511–3524. [Google Scholar] [CrossRef]
- Shannon, R.D. Revised effective ionic radii and systematic studies of interatomic distances in halides and chalcogenides. Acta Crystallogr. Sect. A 1976, 32, 751–767. [Google Scholar] [CrossRef]
- Rimskaya-Korsakova, M.N.; Dubinin, A.V. Rare earth elements in Sulfides of submarine hydrothermal vents of the Atlantic Ocean. Geochmica Cosmochim. Acta 2003, 389, 432–436. [Google Scholar]
- Michard, A.; Albarede, F. The REE content of some hydrothermal fluids. Chem. Geol. 1986, 55, 51–60. [Google Scholar] [CrossRef]
- Klinkhammer, G.; Elderfield, H.; Edmond, J.; Mitra, A. Geochemical implications of rare earth element patterns in hydrothermal fluids from mid-ocean ridges. Geochim. Cosmochim. Acta 1994, 58, 5105–5113. [Google Scholar] [CrossRef]
- Douville, E.; Bienvenu, P.; Charlou, J.L.; Donval, J.P.; Fouquet, Y.; Appriou, P.; Gamo, T. Yttrium and rare earth elements in fluids from various deep-sea hydrothermal systems. Geochim. Cosmochim. Acta 1999, 63, 627–643. [Google Scholar] [CrossRef]
- Hongo, Y.; Obata, H.; Gamo, T.; Nakaseama, M.; Ishibashi, J.; Konno, U.; Saegusa, S.; Ohkubo, S.; Tsunogai, U. Rare Earth Elements in the hydrothermal system at Okinawa Trough back-arc basin. Geochem. J. 2007, 41, 1–15. [Google Scholar] [CrossRef] [Green Version]
- Schmidt, K.; Koschinsky, A.; Garbe-Schönberg, D.; de Carvalho, L.M.; Seifert, R. Geochemistry of hydrothermal fluids from the ultramafic-hosted Logatchev hydrothermal field, 15°N on the Mid-Atlantic Ridge: Temporal and spatial investigation. Chem. Geol. 2007, 242, 1–21. [Google Scholar] [CrossRef]
- Barrett, T.J.; Jarvis, I.; Jarvis, K.E. Rare earth element geochemistry of massive sulfides-sulfates and gossans on the Southern Explorer Ridge. Geology 1990, 18, 583–586. [Google Scholar] [CrossRef]
- Gillis, K.; Smith, A.; Ludden, J. Trace element and Sr-isotopic contents of hydrothermal clays and sulfides from the Snake Pit hydrothermal field: ODP site 649. In Proceedings of the Ocean Drilling Program, Mid-Atlantic Ridge; Covering Legs 106 and 109 of the Cruises of the Drilling Vessel JOIDES Resolution, St. John, Newfoundland to Malaga, Spain, Sites 648–649. Ocean Drilling Program; Texas A&M University: College Station, TX, USA; 1990, pp. 315–319.
- De Baar, H.J.; Brewer, P.G.; Bacon, M.P. Anomalies in rare earth distributions in seawater: Gd and Tb. Geochim. Cosmochim. Acta 1985, 49, 1961–1969. [Google Scholar] [CrossRef]
- Piepgras, D.; Wasserburg, G. Strontium and neodymium isotopes in hot springs on the East Pacific Rise and Guaymas Basin. Earth Planet. Sci. Lett. 1985, 72, 341–356. [Google Scholar] [CrossRef]
- Langmuir, C.; Humphris, S.; Fornari, D.; Van Dover, C.; Von Damm, K.; Tivey, M.; Colodner, D.; Charlou, J.-L.; Desonie, D.; Wilson, C.; et al. Hydrothermal vents near a mantle hot spot: The Lucky Strike vent field at 37°N on the Mid-Atlantic Ridge. Earth Planet. Sci. Lett. 1997, 148, 69–91. [Google Scholar] [CrossRef]
- Pearce, J.A.; Peate, D.W. Tectonic implications of the composition of volcanic arc magmas. Annu. Rev. Earth Planet. Sci. 1995, 23, 251–285. [Google Scholar] [CrossRef]
- Plank, T.; Langmuir, C.H. The chemical composition of subducting sediment and its consequences for the crust and mantle. Chem. Geol. 1998, 145, 325–394. [Google Scholar] [CrossRef]
- Yang, Y.-Z.; Wang, Y.; Ye, R.-S.; Li, S.-Q.; He, J.-F.; Siebel, W.; Chen, F. Petrology and geochemistry of Early Cretaceous A-type granitoids and late Mesozoic mafic dikes and their relationship to adakitic intrusions in the lower Yangtze River belt, Southeast China. Int. Geol. Rev. 2017, 59, 62–79. [Google Scholar] [CrossRef]
- Gamo, T.; Sakai, H.; Kim, E.-S.; Shitashima, K.; Ishibashi, J.-I. High alkalinity due to sulfate reduction in the CLAM hydrothermal field, Okinawa Trough. Earth Planet. Sci. Lett. 1991, 107, 328–338. [Google Scholar] [CrossRef]
- Gamo, T. Wide variation of chemical characteristics of submarine hydrothermal fluids due to secondary modification processes after high temperature water-rock interaction: A review. In Biogeochemical Processes and Ocean Flux in the Western Pacific; Sakai, H., Nozaki, Y., Eds.; Terra Scientific Publishing Company (TERRAPUB): Tokyo, Japan, 1995; pp. 425–451. [Google Scholar]
- Ishibashi, J.-I.; Urabe, T. Hydrothermal activity related to arc-backarc magmatism in the western Pacific. In Backarc Basins; Taylor, B., Ed.; Springer: Boston, MA, USA, 1995; pp. 451–495. [Google Scholar]
- Kawagucci, S. Fluid geochemistry of high-temperature hydrothermal fields in the Okinawa Trough. In Subseafloor Biosphere Linked to Hydrothermal Systems: TAIGA Concept; Ishibashi, J.-I., Okino, K., Sunamura, M., Eds.; Springer: Tokyo, Japan, 2015; pp. 387–403. [Google Scholar]
- Takai, K.; Nakagawa, S.; Nunoura, T. Comparative investigation of microbial communities associated with hydrothermal activities in the Okinawa trough. In Subseafloor Biosphere Linked to Hydrothermal Systems: TAIGA Concept; Ishibashi, J.-I., Okino, K., Sunamura, M., Eds.; Springer: Tokyo, Japan, 2015; pp. 421–435. [Google Scholar]
- Ueda, A.; Sakai, H. Sulfur isotope study of Quaternary volcanic rocks from the Japanese Islands Arc. Geochim. Cosmochim. Acta 1984, 48, 1837–1848. [Google Scholar] [CrossRef]
- Woodhead, J.D.; Harmon, R.S.; Fraser, D. O, S, Sr, and Pb isotope variations in volcanic rocks from the Northern Mariana Islands: Implications for crustal recycling in intra-oceanic arcs. Earth Planet. Sci. Lett. 1987, 83, 39–52. [Google Scholar] [CrossRef]
- Herzig, P.M.; Hannington, M.D.; Arribas, A.A., Jr. Sulfur isotopic composition of hydrothermal precipitates from the Lau back-arc: Implications for magmatic contributions to seafloor hydrothermal systems. Miner. Deposita 1998, 33, 226–237. [Google Scholar] [CrossRef]
- Chen, Z.; Zeng, Z.; Tamehe, L.S.; Wang, X.; Chen, K.; Yin, X.; Yang, W.; Qi, H. Magmatic sulfide saturation and dissolution in the basaltic andesitic magma from the Yaeyama Central Graben, southern Okinawa Trough. Lithos 2021, 388, 106082. [Google Scholar] [CrossRef]
- Alt, J.C.; Shanks, W.C.; Bach, W.; Paulick, H.; Garrido, C.J.; Beaudoin, G. Hydrothermal alteration and microbial sulfate reduction in peridotite and gabbro exposed by detachment faulting at the Mid-Atlantic Ridge, 15°20′N (ODP Leg 209): A sulfur and oxygen isotope study. Geochem. Geophys. Geosyst. 2007, 8, 08002. [Google Scholar] [CrossRef]
- Delacour, A.; Früh-Green, G.L.; Bernasconi, S.M.; Kelley, D.S. Sulfur in peridotites and gabbros at Lost City (30°N, MAR): Implications for hydrothermal alteration and microbial activity during serpentinization. Geochim. Cosmochim. Acta 2008, 72, 5090–5110. [Google Scholar] [CrossRef]
- Zhang, Y.; Zeng, Z.; Chen, S.; Wang, X.; Yin, X. New insights into the origin of the bimodal volcanism in the middle Okinawa Trough: Not a basalt-rhyolite differentiation process. Front. Earth Sci. 2018, 12, 325–338. [Google Scholar] [CrossRef]
- Zhang, Y.; Zeng, Z.; Li, X.; Yin, X.; Wang, X.; Chen, S. High-potassium volcanic rocks from the O kinawa T rough: Implications for a cryptic potassium-rich and DUPAL -like source. Geol. J. 2017, 53, 1755–1766. [Google Scholar] [CrossRef]
- Chen, Z.; Zeng, Z.; Yin, X.; Wang, X.; Zhang, Y.; Chen, S.; Shu, Y.; Guo, K.; Li, X. Petrogenesis of highly fractionated rhyolites in the southwestern Okinawa Trough: Constraints from whole-rock geochemistry data and Sr-Nd-Pb-O isotopes. Geol. J. 2018, 54, 316–332. [Google Scholar] [CrossRef] [Green Version]
- Li, X.; Zeng, Z.; Chen, S.; Ma, Y.; Yang, H.; Zhang, Y.; Chen, Z. Geochemical and Sr-Nd-Pb isotopic compositions of volcanic rocks from the Iheya Ridge, the middle Okinawa Trough: Implications for petrogenesis and a mantle source. Acta Oceanol. Sin. 2018, 37, 73–88. [Google Scholar] [CrossRef]
- Chen, Z.; Zeng, Z.; Qi, H.; Wang, X.; Yin, X.; Chen, S.; Yang, W.; Ma, Y.; Zhang, Y. Amphibole perspective to unravel the rhyolite as a potential fertile source for the Yonaguni Knoll IV hydrothermal system in the southwestern Okinawa Trough. Geol. J. 2020, 55, 4279–4301. [Google Scholar] [CrossRef]
- Vidal, P.; Clauer, N. Pb and Sr isotopic systematics of some basalts and sulfides from the East Pacific Rise at 21°N (project RITA). Earth Planet. Sci. Lett. 1981, 55, 237–246. [Google Scholar] [CrossRef]
- Chen, H.J. U, Th, and Pb isotopes in hot springs on the Juan de Fuca Ridge. J. Geophys. Res. Solid Earth 1987, 92, 11411–11415. [Google Scholar] [CrossRef]
- Hegner, E.; Tatsumoto, M. Pb, Sr, and Nd isotopes in basalts and sulfides from the Juan de Fuca Ridge. J. Geophys. Res. Space Phys. 1987, 92, 11380–11386. [Google Scholar] [CrossRef]
- Hinkley, T.K.; Tatsumoto, M. Metals and isotopes in Juan de Fuca Ridge hydrothermal fluids and their associated solid materials. J. Geophys. Res. Space Phys. 1987, 92, 11400–11410. [Google Scholar] [CrossRef]
- Fouquet, Y.; Marcoux, E. Lead isotope systematics in Pacific hydrothermal sulfide deposits. J. Geophys. Res. Space Phys. 1995, 100, 6025–6040. [Google Scholar] [CrossRef]
- Charlou, J.; Donval, J.; Fouquet, Y.; Jean-Baptiste, P.; Holm, N. Geochemistry of high H2 and CH4 vent fluids issuing from ultramafic rocks at the Rainbow hydrothermal field (36°14′N, MAR). Chem. Geol. 2002, 191, 345–359. [Google Scholar] [CrossRef]
- Yao, H.-Q.; Zhou, H.-Y.; Peng, X.-T.; Bao, S.-X.; Wu, Z.-J.; Li, J.-T.; Sun, Z.-L.; Chen, Z.-Q.; Li, J.-W.; Chen, G.-Q. Metal sources of black smoker chimneys, Endeavour Segment, Juan de Fuca Ridge: Pb isotope constraints. Appl. Geochem. 2009, 24, 1971–1977. [Google Scholar] [CrossRef]
- Stavinga, D.; Jamieson, H.; Layton-Matthews, D.; Paradis, S.; Falck, H. Geochemical and mineralogical controls on metal(loid) mobility in the oxide zone of the Prairie Creek Deposit, NWT. Geochem. Explor. Environ. Anal. 2017, 17, 21–33. [Google Scholar] [CrossRef]
- Turekian, K.K. Oceans; Prentice-Hall: Engelwood Cliffs, NJ, USA, 1968. [Google Scholar]
- Fallon, E.K.; Petersen, S.; Brooker, R.; Scott, T.B. Oxidative dissolution of hydrothermal mixed-sulphide ore: An assessment of current knowledge in relation to seafloor massive sulphide mining. Ore Geol. Rev. 2017, 86, 309–337. [Google Scholar] [CrossRef] [Green Version]














Publisher’s Note: MDPI stays neutral with regard to jurisdictional claims in published maps and institutional affiliations. |
© 2021 by the authors. Licensee MDPI, Basel, Switzerland. This article is an open access article distributed under the terms and conditions of the Creative Commons Attribution (CC BY) license (https://creativecommons.org/licenses/by/4.0/).
Share and Cite
Zeng, Z.; Chen, Z.; Qi, H. Two Processes of Anglesite Formation and a Model of Secondary Supergene Enrichment of Bi and Ag in Seafloor Hydrothermal Sulfide Deposits. J. Mar. Sci. Eng. 2022, 10, 35. https://doi.org/10.3390/jmse10010035
Zeng Z, Chen Z, Qi H. Two Processes of Anglesite Formation and a Model of Secondary Supergene Enrichment of Bi and Ag in Seafloor Hydrothermal Sulfide Deposits. Journal of Marine Science and Engineering. 2022; 10(1):35. https://doi.org/10.3390/jmse10010035
Chicago/Turabian StyleZeng, Zhigang, Zuxing Chen, and Haiyan Qi. 2022. "Two Processes of Anglesite Formation and a Model of Secondary Supergene Enrichment of Bi and Ag in Seafloor Hydrothermal Sulfide Deposits" Journal of Marine Science and Engineering 10, no. 1: 35. https://doi.org/10.3390/jmse10010035
APA StyleZeng, Z., Chen, Z., & Qi, H. (2022). Two Processes of Anglesite Formation and a Model of Secondary Supergene Enrichment of Bi and Ag in Seafloor Hydrothermal Sulfide Deposits. Journal of Marine Science and Engineering, 10(1), 35. https://doi.org/10.3390/jmse10010035

