Next Article in Journal
Cereal Commodity Trading in Ethiopian Local Marketplace: Examining Farmers’ Quantity Measurement Behaviors
Next Article in Special Issue
Implementation of Mitigation Measures to Reduce Phosphorus Losses: The Vestre Vansjø Pilot Catchment
Previous Article in Journal
Definition of Reference Models for Power, Weight, Working Width, and Price for Seeding Machines
 
 
Font Type:
Arial Georgia Verdana
Font Size:
Aa Aa Aa
Line Spacing:
Column Width:
Background:
Article

Recovery of Phosphorus and other Nutrients during Pyrolysis of Chicken Manure

1
Department of Technical Mineralogy, Institute for Technical Chemistry, Karlsruhe Institute of Technology, Hermann-von-Helmholtz-Platz 1, 76344 Eggenstein-Leopoldshafen, Germany
2
Department of Pyrolysis/Gas Treatment, Institute for Technical Chemistry, Karlsruhe Institute of Technology, Hermann-von-Helmholtz-Platz 1, 76344 Eggenstein-Leopoldshafen, Germany
*
Author to whom correspondence should be addressed.
Agriculture 2018, 8(12), 187; https://doi.org/10.3390/agriculture8120187
Submission received: 31 October 2018 / Revised: 22 November 2018 / Accepted: 27 November 2018 / Published: 30 November 2018
(This article belongs to the Special Issue Phosphorus in Agriculture)

Abstract

Feedstock recycling of secondary raw materials is the backbone of the Circular Economy (CE). The efficient recovery of resources, energy, along with achieving minimal environmental impact is mandatory for the successful realization of CE. Chicken manure is an interesting waste stream due to its content of nutrients, in particular of phosphorus, which makes it a suitable feedstock for fertilizer applications. However, the contamination caused by antibiotics, organic pollutants, and sanitary aspects demand the manures treatment before further recycling. Thermochemical treatment based on intermediate pyrolysis targets decentral application to produce carbonized solids for fertilizer application. This work evaluated pyrolysis char from the pyrolysis of chicken manure in comparison to the original feedstock using state-of-the-art thermal treatment, i.e., combustion in grate furnaces. The samples were evaluated in terms of chemical and mineralogical composition by applying several analytical techniques. Bio-availability of the main nutrients (NPK) was assessed by adopting standard methods. Additionally, the effect on toxicity was discussed by means of heavy metals analysis, as well as of pot tests. Results showed, that pyrolysis had a far more positive effect on nutrient availability compared to combustion, and it provided a suitable method for the thermal treatment of contaminated feedstocks.

1. Introduction

Phosphorus is listed by the European Union (EU) as a critical raw material. It is a non-renewable resource, which is concentrated in a few countries, resulting in an unstable market. Although there is a long-term depletion of phosphorus resources, its scarcity is not an urgent problem. The current reserves are sufficient to cover production at the current rate for the next 200 years [1,2]. Besides the political uncertainty, the main issues with respect to phosphorus are related to the depletion of the resource to the environment, and the effects on water bodies and soil pollution. The excessive production of sewage sludge and animal manure causes the accumulation of phosphorus in the soils of some EU countries. One of the main problems relates to the presence of organic pathogens, which may be a cause of soil contamination. The aforementioned issues and the need for feedstock recycling from secondary raw materials are the backbone of EU policy related to the Circular Economy, which seeks out technological solutions aimed at the sustainable recovery of secondary raw materials whilst addressing environmental and contamination issues.
Chicken manure from intensive farming is available in large amounts. It is widely accepted as a superb fertilizer containing the most important nutrients, such as phosphorus, nitrogen, and potassium in a readily available form [3,4]. However, chicken manure from intensive farming may also contain a wide spectrum of organic contaminants, such as pathogens, hormones, and antimicrobials [5]. Moreover, chicken manure has emerged as a potential cause of botulism in cattle and poultry. Therefore, its direct utilization as a fertilizer should be avoided and thermochemical treatment should be used to overcome the mentioned issues.
Pyrolysis is the thermochemical conversion of organic matter in the absence of a gasification medium into condensable vapors and a carbonized solid, i.e., the pyrolysis char [6,7]. The implementation of processes based on pyrolysis technologies provides an economic alternative for feedstock recycling compared to the combustion of contaminated organic waste streams. Intermediate pyrolysis in screw reactors is a flexible technology in terms of feedstock and treatment conditions, which can be implemented for the production of both liquids and solids depending on the feedstock and on the targeted product. Intermediate pyrolysis is suitable for small-scale facilities and can generate the heat required by the process through post combustion of the organic vapors, whilst the pyrolysis char is recovered as the major product [8]. Moreover, excess heat is also generated from post combustion of organic vapors, which can be economically integrated into the livestock facility.
Pyrolysis char, pyrochar or biochar, is a carbonized solid from the thermochemical conversion of biomass and waste. Compared to the original and composted feedstock, biochar greatly reduces greenhouse gas emissions of methane and ammonia. Moreover, the leaching of nitrates into groundwater is reduced [9]. Minerals present in the original feedstock are quantitatively embedded in the carbonaceous matrix that is produced during the pyrolysis process. Although the beneficial effects of biochar are nowadays widely accepted, the relationship between the chemical and mineralogical composition of the biochar and the bio-availability of the main nutrients (NPK) remains undisclosed.
This work was aimed at providing a better understanding of the mineralogical changes that take place during the pyrolysis process and of the consequential effects on the bio-availability of phosphorus, as well as of the other main nutrients. Additionally, pot experiments were carried out to evaluate the analysis results with more realistic scenarios.

2. Materials and Methods

2.1. Experimental Procedure and Sample Preparation

Chicken manure pellets were obtained from a large German supplier.
Pyrolysis chars from the chicken manure were produced at the pilot-scale screw pyrolysis reactor STYX at the Karlsruhe Institute of Technology (KIT) in Germany. The main features of the facility are described elsewhere [10,11]. Four experiments were carried out at different off-set temperatures. The relevant process parameters and the yield of the pyrolysis chars are reported in Table 1.
Additionally, a combustion ash was produced from the chicken manure in a muffle oven by adopting the DIN 51719 procedure. This procedure was developed to analyze the ash content of coals. It was used in this study because a higher temperature of 815 °C was more realistic in the combustion process than a temperature 550 °C, which is usually chosen for biofuels.
All samples were ground in a Pulverisette mill from RETSCH prior to the analysis.

2.2. Chemical Composition

Bulk concentrations of carbon, hydrogen, nitrogen, and sulphur were determined after combustion in oxygen using infrared spectroscopy (C, H, S) and thermal conductivity (N) (DIN EN 15104). The apparatus (Leco Truspec Micro) was calibrated in the concentration range of the samples. After combustion in oxygen in a closed vessel, total chlorine was analyzed via Ion chromatography (IC) according to DIN EN 16994.
The main elements Na, Mg, Al, P, K, and Ca in the chicken manure, pyrolysis chars, and the ash (815 °C) were determined via ICP-OES (iCAP 7600, from Thermo Fisher Scientific). Then, 50 mg of the samples (accuracy ± 0.01 mg) were dissolved in 9 mL nitric acid and 1 mL hydrofluoric acid at 250 °C for 12 h in a pressure digestion vessel DAB-2 (Berghof). After complexation with boric acid, the analysis of the elements was accomplished using four different calibration solutions and an internal standard (scandium Sc).
Trace elements (V, Cr, Mn, Co, Ni, Cu, As, Cd, Sn, Sb, Tl, Pb) in the chicken manure and pyrolysis chars were analyzed using ICP-MS according to DIN EN 17294-2 after digestion of the original samples in a microwave according to DIN EN 15290. Hg was analyzed separately in a Fluid injection AAS according to DIN EN 1483.

2.3. Mineralogical Phase Analysis

The mineralogical phase composition, which is an important factor for determining the availability of nutrients, was analyzed via X-Ray powder diffraction (XRD). The analysis was performed in the range of 2θ from 3° to 63° with Cu Kα-radiation on a Bruker D8. To obtain comparable results, all analyses were carried out following the same procedure (i.e., sample preparation, analysis, and evaluation procedure). Typically, the absolute content of the mineralogical phase was adopted for comparison. However, this study adopted the intensity of the mineralogical phases for comparison of the different samples. Chicken manure feedstock and the respective pyrolysis chars were characterized by a main carbon amorphous phase, which could not be distinguished in the XRD analysis, in variable concentration depending on the pyrolysis temperature.

2.4. Solubility of Nutrients

The availability of major plant nutrients (NPK) was investigated using three European standard tests. Each test was developed for different purposes. A reasonably high portion of phosphate soluble in water (EN 15958) and/or neutral NH4-citrate (EN15957) provided the short- and medium-term plant availability of the fertilizers’ phosphorous. EN 15920 uses citric acid (2%). It was developed for Thomas-phosphate only. It was used in this study to investigate the influence of an organic acid on the highly calcareous samples. P and K in eluates were measured using ICP-OES. N was determined as TNb (Total Nitrogen bound) in EN 15958 eluate using the EN 12260 procedure.

2.5. Qualitative Pot Tests

Pot experiments were carried out to qualitatively evaluate the real effect of a selected pyrolysis char from chicken manure on the growth of a plant on a standard soil material. Maize was selected as the reference plant for these qualitative tests. Maize was grown under greenhouse conditions for 3 weeks. Pyrolysis char from the chicken manure obtained at a pyrolysis temperature of 450 °C was used. Potting soil was adopted as the control substrate. Sand was used as the standard inert substrate for the experiments mixed with chicken manure char or potting soil in three different mass concentrations, i.e., 33%, 20%, and 10%.

3. Results and Discussion

3.1. Chemical Bulk Composition

The yields of the pyrolysis chars obtained at different temperatures are reported in Table 1. As expected, the yield decreased with the increasing pyrolysis temperature because more organics present in the original material were released from the solid as organic vapors. The vapors should be thermally destroyed in a post-combustion process for heat recovery or condensed in liquid form and further upgraded for downstream processing [8,12,13]. The ash content of the chicken manure at 815 °C was 19.2 wt.% of the original dry feed. Concentrations of the main and trace elements in the samples are shown in Table 2.
The elements could be distinguished into three groups depending on the enriched, stable, and reduced concentrations in comparison to the original feedstock. Although carbon was one of the elements which was volatilized during pyrolysis, the concentration had remained more or less constant in a range between 35.4 wt.% and 42.1 wt.%, at all the pyrolysis temperatures. The content of carbon was considerably below the typical values reported for biochar from wood for soil applications [14,15]. Owing to the complete oxidation of the carbon, its concentration in the ash was below 0.2 wt.%. Hydrogen and nitrogen were mainly volatilized during pyrolysis and combustion. Only in the 350 °C char, was the nitrogen concentration higher than in the chicken manure. Sulphur seemed to be more volatile at the low pyrolysis temperatures of 350 °C and 400 °C. At higher temperatures, it was enriched in the chars and the ash compared to sulphur in the chicken manure. Na, Mg, Al, P, K, Ca, Fe, and Cl concentrations increased with the temperatures of pyrolysis and combustion. The results from the analysis of some of the selected heavy metals are reported in Table 3.
Heavy metals were found in very low concentrations in the chicken manure and the related pyrolysis chars. Co, As (all < 0.8 mg/kg), Cd (all < 0.2 mg/kg), Sn (all < 3 mg/kg), Sb (all < 1 mg/kg), Hg (all < 0.07 mg/kg), and Pb were near or below the detection limit. V, Cr, and Ni were below 20 mg/kg without a significant variation with respect to the pyrolysis temperature. Only the pyrolysis char at 450 °C was slightly enriched in V, Ni, and Cu.

3.2. Mineralogical Analysis

Solubility and consequently the availability to plants of nutrients and other elements depend on several aspects. One important factor is the mineralogical phase binding the nutrient. Chicken manure consists mainly of organic compounds, which are more easily disintegrated into soils than most of the inorganic phases. With increasing temperatures during pyrolysis, the organic phases decomposed to coke and inorganic phases with different solubility. The high content of organic compounds in chicken manure, which is mineralized with increasing temperatures, could not be distinguished in the XRD analysis because it was amorphous. Therefore, only the intensities normalized to 100 are shown % in Figure 1. Phosphorus, as well as nitrogen compounds, could not be identified in the chicken manure, which indicated that both elements were mainly bound in organic phases or in crystallites in the nanometer range.
Various P-phases, mainly hydrophosphate (apatite) and diphosphates, could be distinguished in the char. K-feldspar could be found in the chicken manure and pyrolysis char. Moreover, other K phases like diphosphates and sylvine were identified in the char. The main phase, calcite, in chicken manure and pyrochars derives from the substrate used in gathering the chicken manure. Mineral compounds like quartz, feldspars, clay minerals, and hematite can be part of the chicken nutrition. Most of them are found in all samples, since they do not react during pyrolysis and combustion.

3.3. Solubility of the Nutrients

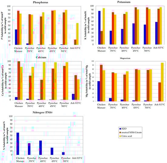
Results of the solubility tests are depicted graphically in Figure 2. Solubility of P in water was below 4% of the total P in all the pyrolysis chars. The highest solubility of P in neutral ammonium citrate (84.1%) could be found in the pyrolysis char obtained at 450 °C, whereas in citric acid (90.7%) it could be found in the pyrolysis char obtained at 500 °C. Phosphorus was partially soluble in the neutral ammonium citrate and in the citric acid, as well as in the combustion ash at 815 °C. However, a systematic trend could not be observed.
K solubility in water was highest in the chicken manure with 87.1%. After the pyrolysis treatment, it decreased initially but an increase in the pyrolysis temperature led to an increase of the K solubility in water up to 450 °C (54.7%). In neutral ammonium citrate, only 35.1% of P was soluble in chicken manure, but up to 96.5% was soluble from the pyrolysis coke at 450 °C. Citric acid was most efficient for K in chicken manure (94.2%) and in combustion ash (96.9%). However, K solubility was above 77% in all the char samples with citric acid as well.
Nitrogen solubility could only be analyzed in water. The highest nitrogen solubility was found in the chicken manure. With increasing temperatures nitrogen solubility decreases steadily, due to the mineralization of nitrogen containing compounds.
Mg and Ca, which are also important elements for plant growth, showed poor solubility in water from the pyrolysis chars and the combustion ash. Only Mg in the chicken manure was partially soluble in water. Neutral ammonium citrate was a very good solvent for Mg and Ca from the chicken manure with 90.9% and 100%, respectively.
The solubility of Mg and Ca in neutral ammonium citrate was significantly lower in the pyrolysis chars compared to that of the original feedstock, but it increased with the increasing pyrolysis temperature (Mg: 80.1% at 450 °C and Ca: 88.0% at 500 °C). Mg and Ca solubility in citric acid slightly increased with the increasing pyrolysis temperature. Mg present in the combustion ash was almost fully soluble in citric acid. On the other hand, the solubility of Ca in citric acid was at its lowest in the combustion ash.

3.4. Relation between Mineral Composition and Solubility of Nutrients

In Chicken manure, P and N are mainly bound in organic substances. Some of them are easily soluble with water. Therefore, the highest solubility with water at about 40% for P and 60% for N was found in the chicken manure. With increasing mineralization due to increasing temperatures, water solubility of P and N decreases. The pyrolysis chars contained hydroxyl apatite, which was rather insoluble with water but soluble in acids, as well as alkali-pyrophosphates and earth alkali pyrophosphates, including their mixed crystals. Alkali pyrophosphates were more soluble than the earth alkali pyrophosphates. Only small portions of P were bound in the alkali pyrophosphates in coke; therefore, the solubility with water is reduced. However, even the earth alkali pyrophosphates could be solved by neutral ammonium citrate and citric acid solution. On the contrary, most of the pyrophosphates were transformed to KCaPO4 and mainly to hydroxyl apatite in the combustion ash, which explained the reduced solubility of P from ash even with neutral ammonium citrate and citric acid.
K could be found in different minerals in the chicken manure, as well as in the pyrolysis chars and combustion ash. K-Feldspar and clay minerals were components of the chicken manure and pyrolysis chars, and clay was decomposed during combustion. Sylvine (KCl) was found in the pyrolysis chars and combustion ash. It is an easily soluble mineral. As mentioned above, alkali pyrophosphates are also easily soluble in water and in other solvents as well. Therefore, K was soluble in water (up to 60%), and it was very soluble in citric acid and neutral ammonium citrate from the pyrolysis chars and combustion ash. Increasing the pyrolysis temperature also led to increased solubility due to the decomposition of K feldspar and clay minerals.
Dolomite (CaMg(CO3)2), present as impurity in calcite, was identified as the source for Mg in the chicken manure. It was also found in all the other samples. During combustion, dolomite was decomposed to magnesium oxide and calcium oxide. The high Mg solubility from chicken manure in all the tested solvents could be explained by the soluble organic compounds containing Mg, which could not be identified by the XRD. With increasing temperatures, Mg solubility decreased in water. Dolomite was rather insoluble in water and it was generally less soluble in acid than in calcite due to the smaller ion radius of Mg. The high solubility in neutral ammonium citrate was also due to the temperature of this leaching procedure at 65 °C, which increased the reaction kinetic of the small Mg ion. Magnesium oxide forms Mg(OH)2 in water which is insoluble in water and soluble in acids.
Ca was found in various minerals in all samples. The main mineral compound in chicken manure and the pyrolysis chars was calcite (CaCO3), which was used as a substrate during the chicken manure gathering. During combustion, CaCO3 was decomposed to calcium oxide (CaO). Besides calcite and dolomite, smaller amounts of anhydrite (CaSO4), hydroxyl apatite (Ca5[OH|(PO4)3]), Ca pyrophosphates (Ca2P2O7), and mixed pyrophosphates (K2CaP2O7) were identified especially in the pyrolysis chars. KCaPO4 was only found in the combustion ash. All these minerals were at best slightly soluble in water since CaO in water is hydrolyzed to Ca(OH)2, which is only slightly soluble (1.7 g/L). It is worth noting that CaCO3 is less soluble with 0.014 g/L. Calcite is very good soluble in acids. This fact explains the nearly 100% Ca solubility from the pyrolysis chars in citric acid. The solubility with neutral ammonium citrate could be explained with the increased temperature in the test and the formation of easily soluble calcium bicarbonate (Ca(HCO3)2).
The equilibrium reaction Ca(HCO3)2(aq) → CO2(g) + H2O(l) + CaCO3(s) took place at increased temperatures during this test explaining the improved solubility with neutral ammonium citrate in comparison to water elution, although the elution in citric acid remained the most effective.

3.5. Qualitative Pot Tests

The results of the pot tests are qualitatively reported in Figure 3 for three different concentrations of active material, i.e. chicken manure char (CMC) and potting soils (PS). Looking first at the control experiments with potting soils in sand (S); it showed a slight increase of the biomass produced with the increasing concentration of soil. On the other hand, an increase of the concentration of the pyrolysis char led to a massive decrease of the biomass produced, highlighting some sort of toxicity at high concentrations. It is worth noting that the biomass produced at 10% pyrochar was more than the biomass produced with potting soil at its best condition of 33%. Chicken manure pyrolysis chars (CMC) with their high content of calcite were proposed by Hass et al. [16] for acid soils. However, the authors also found that the risks of elevated levels of dissolved P may limit the chicken manure pyrolysis char application rate. This effect of high portions of pyrolysis char on the growth of maize could be shown in this study as well.
Although Figure 3 reports promising results, the results are to be considered carefully since no systematic analysis has been carried out yet.

3.6. Can Pyrolysis Chars be Used as Fertilizers?

This question must be approached from different angles. The view that most of the investigated nutrients are plant available as far as the performed elution test can reveal has already been discussed. Another aspect is that fertilizer must not have toxic elements. The German Fertilizer Regulation (Düngemittelverordnung DüMV) gives limits for harmful substances, which require labelling. According to the regulation, all heavy metals are below the limits given.
Unfortunately, the German Fertilizer Regulation does not approve pyrolysis chars as fertilizers or culture media. Only some types of ashes, coals, and wood chars with at least 80% carbon on dry basis are accepted as culture media. In fact, typical biochar is used as a soil enhancer due to it carbon content. However, the contents of nutrients are limited to values greatly below the ones demanded by the German Fertilizer Regulation. As it is for NPK fertilizer obtained from ashes, the minimum concentrations for P2O5 and K2O are 5% and for N 3%, respectively. P2O5 was higher than 6% in all the treated samples, K2O was higher than 5% in the pyrolysis char from temperatures above 400 °C and in the ash. N concentration was sufficient in all the analyzed samples. Therefore, the stipulation given in the German Fertilizer Regulation was met, but the pyrolysis chars still have to be approved officially as a fertilizer or culture media. This study showed that the utilization of pyrolysis char as a fertilizer had positive effects on the growth of maize under specific conditions. Therefore, an authorization procedure should be carried out. The execution of a multi seasonal large-scale field test is part of this procedure and will be fundamental to systematically assess the effectiveness of the pyrolysis char as a fertilizer.

4. Conclusions

The aim of this work was to systematically evaluate the potential of pyrolysis chars from chicken manure feedstock as fertilizer. Therefore, the relationships between the mineralogy of the main nutrients, in particular of phosphorus, and the nutrient bioavailability to plants were investigated, discussed, and compared with investigations of combustion ash from chicken manure. It could be shown that pyrolysis chars contained alkali-pyrophosphates and sylvine, which were soluble to a sufficient proportion in water and/or in neutral ammonium citrate. The solubility of the investigated nutrients in combustion ash was considerably lower due to the different mineral content, with more earth alkali phosphates and hydroxyl apatite. Moreover, the first pot test proved that under well-defined conditions, pyrolysis chars improved the growth of maize. Heavy metals concentrations were well below the limits of the German Fertilizer Regulation. In addition, the utilization of the pyrolysis char in soil was beneficial in terms of overall carbon balance. The results of this study encourage further steps in the direction towards approving pyrolysis chars as fertilizers.

Author Contributions

Conceptualization, H.L. and D.S.; Data curation, B.B., M.T.M. and F.R.; Funding acquisition, H.L. and D.S.; Investigation, B.B., M.T.M. and F.R.; Methodology, B.B.; Project administration, M.T.M.; Supervision, H.L.; Writing—original draft, B.B. and M.T.M.; Writing—review & editing, H.L., F.R. and D.S.

Funding

This project was funded by the Research Program Energy Efficiency and Material (EMR) of the Helmholtz Association.

Acknowledgments

The authors would like to thank Jürgen Reichelt, Institut für Bau- und Reststoff-Forschung (IBR), for support in the XRD analysis and evaluation, as well as Eurofins Umwelt for the elemental analysis. Moreover, we are grateful to Natalia Requena and the team for Molecular Phytopathology at the Botanical institute of the Karlsruhe Institute of Technology for the great support during the pot test.

Conflicts of Interest

The authors declare no conflict of interest.

References

  1. Cordell, D.; White, S. Peak Phosphorus. Sustainability 2011, 3, 2027–2049. [Google Scholar] [CrossRef]
  2. Cordell, D.; White, S. Life’s Bottleneck. Annu. Rev. Environ. Resour. 2014, 39, 161–188. [Google Scholar] [CrossRef]
  3. Kidinda, L.K.; Bandi, B.T.K.; Mukalay, J.B.; Kabemba, M.K.; Ntata, C.N.; Ntale, T.M.; Tamina, D.T.; Kimuni, L.N. Impact of Chicken Manure Integration with Mineral Fertilizer on Soil Nutriments Balance and Maize (Zea mays) Yield. Am. J. Plant Nutr. Fertil. Technol. 2015, 5, 71–78. [Google Scholar] [CrossRef]
  4. Nahm, K.H. Bioavailability of Phosphorus in Poultry Manure. Avian Poult. Biol. Rev. 2003, 14, 53–62. [Google Scholar] [CrossRef]
  5. US EPA. Office of Science and Technology, Literature Review of Contaminants in Livestock and Poultry Manure and Implications for Water Quality, 2013. Available online: https://nepis.epa.gov/Exe/ZyNET.exe/P100H2NI.txt?ZyActionD=ZyDocument&Client=EPA&Index=2011%20Thru%202015&Docs=&Query=&Time=&EndTime=&SearchMethod=1&TocRestrict=n&Toc=&TocEntry=&QField=&QFieldYear=&QFieldMonth=&QFieldDay=&UseQField=&IntQFieldOp=0&ExtQFieldOp=0&XmlQuery=&File=D%3A%5CZYFILES%5CINDEX%20DATA%5C11THRU15%5CTXT%5C00000008%5CP100H2NI.txt&User=ANONYMOUS&Password=anonymous&SortMethod=h%7C-&MaximumDocuments=1&FuzzyDegree=0&ImageQuality=r75g8/r75g8/x150y150g16/i425&Display=hpfr&DefSeekPage=x&SearchBack=ZyActionL&Back=ZyActionS&BackDesc=Results%20page&MaximumPages=1&ZyEntry=1 (accessed on 5 October 2018).
  6. Bridgwater, A.V. Fast Pyrolysis of Biomass: A Handbook; CPL Scientific Publishing Services Limited: Berks, UK, 1999. [Google Scholar]
  7. Bridgwater, A.V. Review of fast pyrolysis of biomass and product upgrading. Biomass Bioenergy 2012, 38, 68–94. [Google Scholar] [CrossRef]
  8. Tomasi Morgano, M.; Bergfeldt, B.; Leibold, H.; Richter, F.; Stapf, D. Intermediate Pyrolysis of Agricultural Waste: A Decentral Approach towards Circular Economy. Chem. Eng. Trans. 2018, 65, 649–654. [Google Scholar]
  9. Clough, T.; Condron, L.; Kammann, C.; Müller, C. A Review of Biochar and Soil Nitrogen Dynamics. Agronomy 2013, 3, 275–293. [Google Scholar] [CrossRef]
  10. Tomasi Morgano, M.; Leibold, H.; Richter, F.; Seifert, H. Screw pyrolysis with integrated sequential hot gas filtration. J. Anal. Appl. Pyrolysis 2015, 113, 216–224. [Google Scholar] [CrossRef]
  11. Tomasi Morgano, M.; Leibold, H.; Richter, F.; Stapf, D.; Seifert, H. Screw pyrolysis technology for sewage sludge treatment. Waste Manag. (N. Y.) 2018, 73, 487–495. [Google Scholar] [CrossRef] [PubMed]
  12. Yang, H.; Yao, J.; Chen, G.; Ma, W.; Yan, B.; Qi, Y. Overview of Upgrading of Pyrolysis Oil of Biomass. Energy Procedia 2014, 61, 1306–1309. [Google Scholar] [CrossRef]
  13. Stefanidis, S.D.; Kalogiannis, K.G.; Lappas, A.A. Co-processing bio-oil in the refinery for drop-in biofuels via fluid catalytic cracking. WIREs Energy Environ. 2018, 7, e281. [Google Scholar] [CrossRef]
  14. Cross, A.; Sohi, S.P. The priming potential of biochar products in relation to labile carbon contents and soil organic matter status. Soil Biol. Biochem. 2011, 43, 2127–2134. [Google Scholar] [CrossRef]
  15. Galinato, S.P.; Yoder, J.K.; Granatstein, D. The economic value of biochar in crop production and carbon sequestration. Energy Policy 2011, 39, 6344–6350. [Google Scholar] [CrossRef]
  16. Hass, A.; Gonzalez, J.M.; Lima, I.M.; Godwin, H.W.; Halvorson, J.J.; Boyer, D.G. Chicken manure biochar as liming and nutrient source for acid Appalachian soil. J. Environ. Qual. 2012, 41, 1096–1106. [Google Scholar] [CrossRef] [PubMed]
Figure 1. Mineral composition of the chicken manure and of the respective pyrolysis chars and combustion ash.
Figure 1. Mineral composition of the chicken manure and of the respective pyrolysis chars and combustion ash.
Agriculture 08 00187 g001
Figure 2. Solubility of nutrients, P, K, N, Mg, Ca in % in different solutions: Water, Neutral ammonium citrate, and 2% Citric acid.
Figure 2. Solubility of nutrients, P, K, N, Mg, Ca in % in different solutions: Water, Neutral ammonium citrate, and 2% Citric acid.
Agriculture 08 00187 g002
Figure 3. Pot experiments with pyrolysis char CMC at 450 °C (left) and potting soil PS (right) in sand substrate S. CMC = Chicken Manure Char; PS = Potting Soil; S = Sand. Concentrations: (1/3:2/3) = 33%; (1/5:4/5) = 20%; (1/10:9/10) = 10%.
Figure 3. Pot experiments with pyrolysis char CMC at 450 °C (left) and potting soil PS (right) in sand substrate S. CMC = Chicken Manure Char; PS = Potting Soil; S = Sand. Concentrations: (1/3:2/3) = 33%; (1/5:4/5) = 20%; (1/10:9/10) = 10%.
Agriculture 08 00187 g003
Table 1. Experimental pyrolysis conditions and yields of the pyrolysis char in mass % of the original feedstock.
Table 1. Experimental pyrolysis conditions and yields of the pyrolysis char in mass % of the original feedstock.
ExperimentTemperatureSolids Residence TimeSolids Mass Flow RateYield of the Pyrolysis Char
(-)(°C)(min)(kg/h)(Mass % of Feed)
135010455.7
240010447.3
345010440.0
450010439.1
Table 2. Concentration (mass fraction in % of the sample) of the main and trace elements in the chicken manure and in the related pyrolysis chars and combustion ash at 815 °C.
Table 2. Concentration (mass fraction in % of the sample) of the main and trace elements in the chicken manure and in the related pyrolysis chars and combustion ash at 815 °C.
Chicken ManurePyrochar 350 °CPyrochar 400 °CPyrochar 450 °CPyrochar 500 °CCombustion Ash (815 °C)
C35.440.137.742.136.50.19
H4.783.072.372.301.71<0.01
N5.967.685.434.713.69<0.01
S0.780.490.540.830.851.77
Cl0.340.490.450.510.67n.a.
Ca5.849.5311.712.413.331.5
Fe0.130.220.280.290.320.81
K2.243.764.334.755.018.92
Mg0.701.201.351.521.623.79
Na0.260.440.490.560.591.67
P1.382.312.653.013.217.30
n.a. = not analyzed.
Table 3. Concentration (in mg/kg of feed) of selected relevant heavy metals.
Table 3. Concentration (in mg/kg of feed) of selected relevant heavy metals.
Chicken ManurePyrochar 350 °CPyrochar 400 °CPyrochar 450 °CPyrochar 500 °CLimits DüMV
Co<1<1<121<40
Cr53346<300
Cu77657014086<500
Ni778179<40
Pb<2<2<24<2<100
V53394n.m.
n.m. = not mentioned; DüMV = Düngemittel Verordnung.

Share and Cite

MDPI and ACS Style

Bergfeldt, B.; Tomasi Morgano, M.; Leibold, H.; Richter, F.; Stapf, D. Recovery of Phosphorus and other Nutrients during Pyrolysis of Chicken Manure. Agriculture 2018, 8, 187. https://doi.org/10.3390/agriculture8120187

AMA Style

Bergfeldt B, Tomasi Morgano M, Leibold H, Richter F, Stapf D. Recovery of Phosphorus and other Nutrients during Pyrolysis of Chicken Manure. Agriculture. 2018; 8(12):187. https://doi.org/10.3390/agriculture8120187

Chicago/Turabian Style

Bergfeldt, Britta, Marco Tomasi Morgano, Hans Leibold, Frank Richter, and Dieter Stapf. 2018. "Recovery of Phosphorus and other Nutrients during Pyrolysis of Chicken Manure" Agriculture 8, no. 12: 187. https://doi.org/10.3390/agriculture8120187

APA Style

Bergfeldt, B., Tomasi Morgano, M., Leibold, H., Richter, F., & Stapf, D. (2018). Recovery of Phosphorus and other Nutrients during Pyrolysis of Chicken Manure. Agriculture, 8(12), 187. https://doi.org/10.3390/agriculture8120187

Note that from the first issue of 2016, this journal uses article numbers instead of page numbers. See further details here.

Article Metrics

Back to TopTop