Abstract
Biofertilizers are becoming increasingly popular in many countries and for many crops, but very few studies on their effect on grain yield have been conducted in rice. Therefore, we evaluated three different biofertilizers (based on Azospirillum, Trichoderma, or unidentified rhizobacteria) in the Philippines during four cropping seasons between 2009 and 2011, using four different fertilizer rates (100% of the recommended rate [RR], 50% RR, 25% RR, and no fertilizer as Control). The experiments were conducted under fully irrigated conditions in a typical lowland rice environment. Significant yield increases due to biofertilizer use were observed in all experimental seasons with the exception of the 2008/09 DS. However, the effect on rice grain yield varied between biofertilizers, seasons, and fertilizer treatments. In relative terms, the seasonal yield increase across fertilizer treatments was between 5% and 18% for the best biofertilizer (Azospirillum-based), but went up to 24% in individual treatments. Absolute grain yield increases due to biofertilizer were usually below 0.5 t·ha−1, corresponding to an estimated additional N uptake of less than 7.5 kg N ha−1. The biofertilizer effect on yield did not significantly interact with the inorganic fertilizer rate used but the best effects on grain yield were achieved at low to medium fertilizer rates. Nevertheless, positive effects of the biofertilizers even occurred at grain yields up to 5 t·ha−1. However, the trends in our results seem to indicate that biofertilizers might be most helpful in rainfed environments with limited inorganic fertilizer input. However, for use in these target environments, biofertilizers need to be evaluated under conditions with abiotic stresses typical of such systems such as drought, soil acidity, or low soil fertility.
1. Introduction
Biofertilizers are becoming increasingly popular in many countries and for many crops. They are defined as products containing active or latent strains of soil microorganisms, either bacteria alone or in combination with algae or fungi that increase the plant availability and uptake of mineral nutrients [1]. In general, they contain free-living organisms associated with root surfaces but they may also include endophytes, microorganisms that are able to colonize the intercellular or even intracellular spaces of plant tissues without causing apparent damage to the host plant. The concept of biofertilizers was developed based on the observation that these microorganisms can have a beneficial effect on plant and crop growth (e.g., [2]). Consequently, a range of plant growth-promoting rhizobacteria (PGPR) has been identified and well characterized. Direct beneficial effects can occur when the microorganisms provide the plants with useful products. The best known case of this are microorganisms that can directly obtain N from the atmosphere and convert this into organic forms usable by plants. Such biological nitrogen fixers (BNF) include members of the genus Rhizobium, Azospirillum, and blue-green algae. Rhizobia are symbiotically associated with legumes and nitrogen fixation occurs within root or stem nodules where the bacterium resides [3]. The genus Azospirillum also has several N-fixing species, which are rhizobacteria associated with monocots and dicots such as grasses, wheat, maize and Brassica chinensis L. [4,5]. Azospirillum strains have been isolated from rice repeatedly, and recently the strain Azospirillum sp. B510 has been sequenced [6,7]. Considerable N fixation by Azotobacter spp. and Azospirillum spp. in the rice crop rhizosphere was reported repeatedly [6,8], but others [9] questioned such high amounts of non-symbiotic N fixation in agriculture. Instead, it was hypothesized that the beneficial effect of Azospirillum inoculums may not derive from its N-fixing properties but from its stimulating effect on root development [2], probably often triggered by phytohormones [10]. This view was confirmed by [11], who concluded that the main effect of Azospirillum spp. is the stimulation of the density and length of root hairs, the rate of appearance of lateral roots, and the root surface area. Phytohormone production and a beneficial effect on plant growth were also shown for a range of other microorganisms [12,13].
Another important genus for biofertilizer producers is Trichoderma, a fungus present in nearly all soils. Trichoderma spp. thrive in the rhizosphere and can also attack and parasitize other fungi. Trichoderma spp. have been known for decades to increase plant growth and crop yield [14,15,16], to improve crop nutrition and fertilizer uptake [16,17], to speed up plant growth and enhance plant greenness [18], as well as to control numerous plant pathogens [19,20,21]. A part of these effects may also be related to the fact that some Trichoderma spp. seem to hasten the mineralization of organic materials [22], thus probably releasing nutrients from soil organic matter. Positive effects on plant nutrition were also described for other organisms, and many soil bacteria may enhance the mineral uptake of the plant, as for example by the increased solubility of phosphate in the soil solution [23].
There is a wide range of reports on the effect of biofertilizer application in crops grown in non-flooded soils (unlike lowland rice), and the technology for Rhizobium inoculation of leguminose plants is well established. A review on results from Azospirillum inoculation experiments across the world and covering 20 years was conducted by [11]. They found a success rate of 60–70% with statistically significant yield increases on the order of 5–30%. However, the vast majority of these trials were on wheat, maize, sorghum, or millet, and only one of the experiments included in the analysis was on rice. Consequently, results from biofertilizer use in rice are still rare. Some reports from groups promoting the use of biofertilizers indicated considerable yield increases upon their use. Trichoderma harzianum, used as a coating agent for rice seed, was reported to result in a 15–20% yield increase compared with rice plants receiving full inorganic fertilizer rates only [22]. As already mentioned above [8], reported enhanced growth and development of rice and maize after the use of biofertilizer containing Azospirillum spp, and asserted the biofertilizer would provide 30–50% of the crop’s N requirement. Similarly, [6] claimed that the inoculation of rice seedlings with Azotobacter spp. and Azospirillum spp. was able to substitute for the application of inorganic N fertilizer, and that this technology enabled rice yields of 3.9 to 6.4 t·ha−1 (yield increases in comparison with the control were about 2–3 t·ha−1). Another study tested the effect of rice root inoculation with Azospirillum spp. under different N fertility levels, and found a more pronounced yield response at lower levels of inorganic N fertilization [24]. Generally, rice yield increases in this study were lower, and ranged around 0.5 t·ha−1. A yield-increasing effect on rice by inoculation with Azospirillum sp. strain B510 was also shown by [25] but the experiment was conducted in pots only.
Based on these reports, it can be assumed that biofertilizers could offer an opportunity for rice farmers to increase yields, productivity, and resource use efficiency. And, the increasing availability of biofertilizers in many countries and regions and the sometimes aggressive marketing brings ever more farmers into contact with this technology. However, rice farmers get little advice on biofertilizers and their use from research or extension because so little is known on their usefulness in rice. Necessary would be recommendations describing under which conditions biofertilizers are effective, what their effect on the crop is, and how they should best be used. To start addressing these issues, we conducted this study, testing different biofertilizers in an irrigated lowland rice system in the Philippines during four seasons. The objectives of the study were (1) to evaluate the effects of different biofertilizers on irrigated rice grain yield, (2) to investigate possible interactions of the effect of these biofertilizers with different inorganic fertilizer rates, and (3) to determine, based on the results, whether biofertilizers are a possible option to improve the productivity of rice production and under which conditions they give good results.
2. Materials and Methods
2.1. Site Description
The experiments were conducted during two dry seasons (DS) and two wet seasons (WS). In the 2008/09 DS and the 2009 WS, an experimental site at the Central Experimental Station of the University of the Philippines at Los Baños (CES-UPLB) was used, whereas the experiment in the 2010 WS and the 2010/11 DS was conducted at the Experimental Station of the International Rice Research Institute (IRRI) in Los Baños (ES-IRRI). Both experimental sites were located in close vicinity (about 1 km apart) in Laguna Province, Philippines (14°11’ North, 121°15’ East, 21 masl), in a typical lowland rice production area with the dominant soil type “anthraquic Gleysols” [26]. Detailed soil characteristics were analyzed only for the field at ES-IRRI (Table 1) but the soil at CES-UPLB was similar. The soil at both sites had a fine texture (clayey loam) and a high cation exchange capacity (CEC). Topsoil pH values at CES-UPLB in the 2009 DS and WS were 6.9 and 6.8, respectively, while pH values of 6.9 (2010 WS) and 6.5 (2011 DS) were observed at the ES-IRRI site. The soil organic carbon concentrations at both farms were relatively high, ranging between 1.5% and 1.9%. Related to this, organic N concentrations were also high at both farms (0.15–0.27%). The high soil organic matter content also caused high P availability as indicated by high Olsen P values, which were far above the critical low level of 10–15 mg·kg−1 [27]. Similarly, the exchangeable K was adequate for both experimental sites at the start of the cropping seasons [27].
Table 1.
Average top-soil characteristics (0–15 cm depth) for all experimental seasons and both experimental sites.
| Site | UPLB | IRRI | ||||
|---|---|---|---|---|---|---|
| Soil type | Anthraquic Gleysols | Anthraquic Gleysols | ||||
| 2008/2009 DS | 2009 WS | 2010 WS | 2010/2011 DS | |||
| pH (1:1) | - | 6.9 | 6.8 | 6.9 | 6.5 | |
| Total organic C | g kg−1 | 18.6 | 15.9 | 16.2 | 15.0 | |
| Total soil N | g kg−1 | 2.7 | 1.6 | 1.5 | 1.5 | |
| Olsen P | mg kg−1 | 55 | 40 | 35 | 30 | |
| Avail K | cmol kg−1 | - | - | 1.26 | 1.32 | |
| Exch K | cmol kg−1 | 1.50 | 1.06 | 1.50 | 1.50 | |
| Exch Ca | cmol kg−1 | - | - | 18.9 | 18.1 | |
| Exch Mg | cmol kg−1 | - | - | 13.5 | 13.3 | |
| Exch Na | cmol kg−1 | - | - | 1.01 | 1.00 | |
| CEC | cmol kg−1 | - | - | 33.6 | 33.0 | |
| Clay | g kg−1 | - | - | 441 | 445 | |
| Silt | g kg−1 | - | - | 332 | 355 | |
| Sand | g kg−1 | - | - | 227 | 200 | |
2.2. Experimental Treatments and Design
In all four seasons, the experiment was a two-factor experiment arranged in a randomized complete block design (RCBD) with three replications. Main plots were assigned to four different fertilizer levels: i) the full recommended rate (100% RR) of inorganic fertilizer; ii) 50% RR, 25% of RR, and the Control treatment in which no inorganic fertilizer was applied. However, the recommended rate changed between seasons and was 120 kg N ha−1, 60 kg P2O5 ha−1, and 60 kg K2O ha−1 in the DS, and 90 kg N ha−1, and 30 kg P2O5 ha−1, 30 kg K2O ha−1 in the WS. The exact N, P, and K amounts applied are given in Table 2.
Table 2.
Inorganic fertilizer treatments in all four experimental seasons as ratio of the recommended rate (RR) and as actual nutrients applied in the dry and wet season.
| Fertilizer Rate | Unit | Dry Season | Wet Season |
|---|---|---|---|
| 0% RR | N-P2O5-K2O in kg·ha−1 | 0-0-0 | 0-0-0 |
| 25% RR | N-P2O5-K2O in kg·ha−1 | 30-15-15 | 22.5-7.5-7.5 |
| 50% RR | N-P2O5-K2O in kg·ha−1 | 60-30-30 | 45-15-15 |
| 100% RR | N-P2O5-K2O in kg·ha−1 | 120-60-60 | 90-30-30 |
| or | |||
| 0% RR | N-P-K in kg·ha−1 | 0-0-0 | 0-0-0 |
| 25% RR | N-P-K in kg·ha−1 | 30-7-13 | 22.5-3-6 |
| 50% RR | N-P-K in kg·ha−1 | 60-13-25 | 45-7-13 |
| 100% RR | N-P-K in kg·ha−1 | 120-26-50 | 90-13-25 |
Subplots (30 m2 each) were assigned to the different biofertilizers tested in the experiment. Three different biofertilizers available in the Philippines were used, and an overview of their characteristics is given in Table 3. The products were Bio-N® (BN), BioGroe® (BG), and BioSpark® (BS; the same product was called BioCon in 2009). In addition, a Control treatment was used in which no biofertilizer was applied. Thus, the total number of treatment combinations tested was 16.
BN was developed in the early 1980s by Dr. M Umali-Garcia [28]. According to the distributor (BIOTECH, UPLB), it contains Azospirillum lipoferum and A. brasilense, isolated from Saccharum spontaneum (local name is Talahib). BN is available in dry powder form in a 200-gram package, which can be used for seed inoculation, direct broadcasting on seeds, or mixed with water as a root dip. The BN product has a shelf-life of 3 months and the package we used was well before its expiry date. BN is specifically targeted at rice and corn.
The second product tested was BG, developed by Dr. ES Paterno of BIOTECH at UPLB. It contains unknown plant growth-promoting bacteria (rhizobacteria) that influence root growth by producing plant hormones and providing nutrients in soluble form [28].
The last product tested was BS, developed by Dr. VC Cuevas. According to personal information from her, it contains three different species of Trichoderma isolated from Philippine forest soils (including Trichoderma harzianum), and is mass-produced using a pure organic carrier [29]. The product can be used for seed coating or for soil application in the seedbed.
Table 3.
Characteristics of the three biofertilizer used and tested.
| Product ID | BN | BG | BS |
|---|---|---|---|
| Product name | Bio-N® | BioGroe® | BioSpark® |
| Active ingredient | Azospirillum lipoferum, A. brasilense | Plant growth-promoting rhizobacteria (not defined) | Trichoderma parceramosum, T. pseudokoningii, and UV-irradiated strain of T. harzianum |
| Active organism | Bacteria | Bacteria | Fungus |
| Product type | Dry powder in200-g pack | Dry powder in100-g pack | Dry powder in250-g pack |
| Carrier medium | Sterile charcoal/soil mixture | Sterile charcoal/soil mixture | Dry organic medium (rice hull) |
| Producer declared cell number | 108 cfu g−1 | - | 109 cfu g−1 |
| Shelf life | 3 months | 6 months | 24 months |
| Product amount recommended and used (for 1 ha) | 1000 g 40 kg−1 seed | 400 g 40 kg−1 seed | 200 g 40 kg−1 seed |
| 2011 biofertilizer costs needed for 40 kg seed | US$6.82 | US$3.64 | US$6.36 |
| Elemental contents * | |||
| N % | 0.13 | 0.34 | 1.27 |
| P % | 0.091 | 0.063 | 0.687 |
| K % | 0.22 | 0.24 | 0.72 |
| Supplier | BioTech UPLB | BioTech UPLB | BioSpark Corp. |
* Source: Analytical Service Laboratory, GQNPC, IRRI.
2.3. Crop Establishment and Management
In all experiments, rice variety PSB Rc18, a modern-type variety with 120 days duration, was used. Seed for the BN and Control treatments was soaked for 24 h, incubated for another 24 h, and sown using the modified dapog (mat) method. BN was prepared in a slurry solution and applied by dipping the roots of the seedlings into the slurry, 1 h before transplanting in the field. For the BG and BS treatments, seeds were initially also soaked for 24 h. The biofertilizers BG and BS were then applied by mixing the seeds with the biofertilizer product, thus coating the seeds. BG and BS were applied at 400 g 40 kg−1 seed and 200 g 40 kg−1 seed, respectively. The seed-biofertilizer mixture was then incubated for 10 hours in an open jute sac to allow cooling, followed by 14 hours incubation in the closed sack like the control. Seeds were sown using the modified dapog method. In all treatments, 14-day-old seedlings were transplanted at 2–3 seedlings per hill with a planting distance of 20 cm × 20 cm. Missing hills were replanted within 7 days after transplanting (DAT).
Inorganic fertilizers used for the fertilizer treatments were urea (46-0-0 N-P2O5-K2O) and compound (14-14-14 N-P2O5-K2O) fertilizer. Compound fertilizer was applied basal just before transplanting according to the treatment. The remaining N was applied in equal splits at 10 DAT and at 55 DAT. A water depth of 3–5 cm was aimed for at every irrigation from early tillering until 1–2 weeks before physiological maturity. To control insect pests and diseases in the 2010 WS and 2010/11 DS, granular Furadan was applied 20 DAT at a rate of 33 kg·ha−1 and Hopcin was applied at a rate of 0.8 L·ha−1 at flowering. Molluscicide was applied right after transplanting to control golden apple snails in the field. Post-emergence herbicide was applied once at the 2-3-leaf stage of emerging weeds. Hand-weeding was done thereafter as needed. Application rates were based on the recommended rate of the specific pesticides that were used.
2.4. Sampling and Statistical Analysis
Grain yields were determined in the study for a 5-m2 (2.5 m × 2.0 m) designated sampling area, which was strategically located at the center of each subplot, leaving at least two border rows. Grain moisture content was determined immediately after threshing (Riceter grain moisture meter, Kett Electric Laboratory, Tokyo, Japan) and all grain yields are reported at 14% moisture content. The data gathered in the study were statistically analyzed using the procedures described by [30]. Analysis of variance was conducted using SAS (Version 9.0) and treatment means were compared by the least significant difference (LSD) and were considered significant at p ≤ 0.05.
3. Results and Discussion
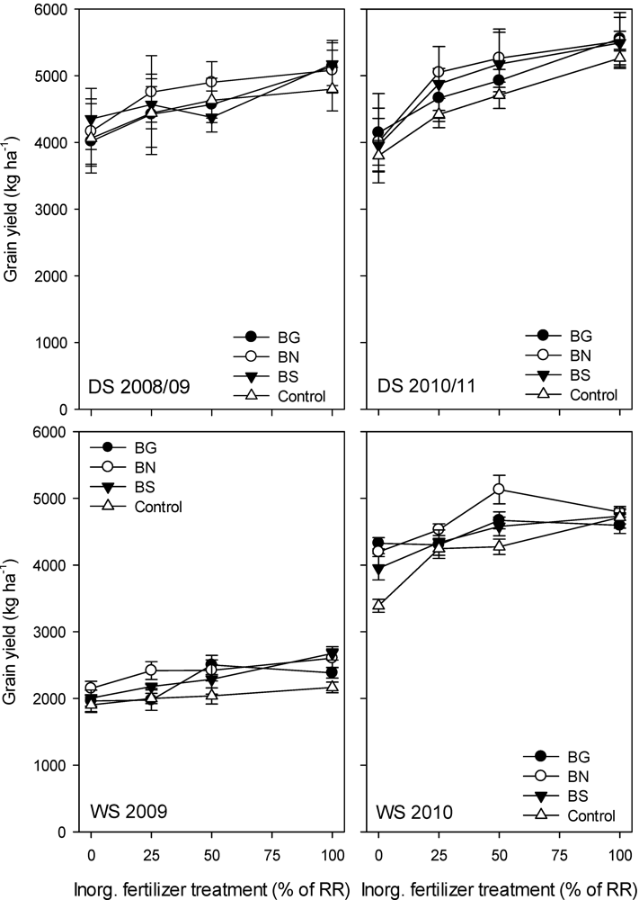
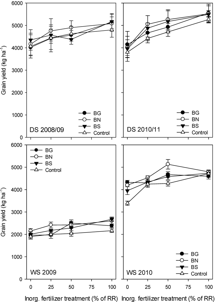
In all four seasons and across the biofertilizer treatments, grain yield increased with increasing amounts of applied fertilizer (Table 4, Figure 1). However, this increase was not always statistically significant and the yield increase varied considerably between seasons. Overall, the lowest grain yields occurred in the 2009 WS, ranging only from 1.9 to 2.7 t·ha−1. Generally, low yields in that season were due to a typhoon that caused considerable damage through flooding of the experimental field and lodging of the crop. For this reason, the crop was harvested prematurely by about 1 week, which further reduced attainable yields.
Grain yields in the other three experimental seasons were similar and ranged from 4.0 to 5.2 t·ha−1 in the 2009 DS, from 3.4 to 5.1 t·ha−1 in the 2010 WS, and from 3.8 to 5.6 t·ha−1 in the 2010/11 DS. These ranges already indicate a relatively low yield increase due to fertilizer application in the 2008/09 DS (up to 1.2 t·ha−1 for the full fertilizer rate of 120-60-60 kg N-P2O5-K2O ha−1) and the 2009 WS (up to 0.8 t·ha−1 for the full fertilizer rate of 90-30-30 kg N-P2O5-K2O ha−1). A higher response to inorganic fertilizer was achieved in the 2010 WS (up to 1.7 t·ha−1 for the full fertilizer rate of 90-30-30 kg N-P2O5-K2O ha−1) and the 2010/11 DS (up to 1.8 t·ha−1 for the full fertilizer rate of 120-60-60 kg N-P2O5-K2O ha−1).
The effects of biofertilizer treatments on grain yield, depending on the inorganic fertilizer treatment, are shown in Table 4 and Figure 1. Significant yield increases due to biofertilizer use were observed in all experimental seasons with the exception of the 2008/09 DS. In the 2010/11 DS, no significant difference between the three biofertilizers tested was detected, but all three achieved better yields than the Control. The biofertilizer achieving the highest average grain yields across all four inorganic fertilizer treatments and in all four seasons was BN. Statistically significant interactions between biofertilizer treatment and inorganic fertilizer treatment could not be detected in any season (at p ≤ 0.05), suggesting that the effect of the biofertilizer was independent of the inorganic fertilizer rate. However, there was a trend of higher yield increases due to biofertilizer use at low to medium inorganic fertilizer rates (Table 4, Figure 1). This trend was most obvious for the BN biofertilizer whereas the performance of the BS and BG biofertilizers was less consistent.
Figure 1.
Grain yield of PSB Rc18 as affected by inorganic fertilizer rates and biofertilizer treatments. Shown are the results of all four seasons and bars represent the standard error of the mean.
Figure 1.
Grain yield of PSB Rc18 as affected by inorganic fertilizer rates and biofertilizer treatments. Shown are the results of all four seasons and bars represent the standard error of the mean.

Table 4.
Grain yield of the variety PSB Rc18 as affected by inorganic fertilizer level and biofertilizer treatments in all four experimental seasons and both sites.
| Season | Biofertilizer treatment *** | Inorganic fertilizer treatment ** | ||||
|---|---|---|---|---|---|---|
| 0% RR | 25% RR | 50% RR | 100% RR | Mean * | ||
| Grain yield (kg·ha−1) | ||||||
| 2008/09 DS | BG | 4016 | 4421 | 4569 | 5134 | 4508 a |
| BN | 4163 | 4753 | 4900 | 5081 | 4683 a | |
| BS | 4351 | 4569 | 4375 | 5173 | 4610 a | |
| Control | 4062 | 4440 | 4630 | 4799 | 4534 a | |
| Mean * | 4158 c | 4548 b | 4617 b | 5034 a | ||
| 2009 WS | BG | 1963 | 1975 | 2502 | 2383 | 2206 bc |
| BN | 2149 | 2417 | 2420 | 2604 | 2398 a | |
| BS | 2005 | 2179 | 2287 | 2674 | 2286 ab | |
| Control | 1902 | 2000 | 2038 | 2165 | 2026 c | |
| Mean * | 2005 c | 2143 bc | 2038 ab | 2456 a | ||
| 2010 WS | BG | 4326 | 4303 | 4670 | 4596 | 4482 ab |
| BN | 4197 | 4529 | 5131 | 4794 | 4663 a | |
| BS | 3952 | 4336 | 4578 | 4732 | 4399 bc | |
| Control | 3389 | 4245 | 4274 | 4716 | 4219 c | |
| Mean * | 3965 c | 4353 b | 4659 a | 4710 a | ||
| 2010/11 DS | BG | 4145 | 4665 | 4926 | 5556 | 4825 a |
| BN | 4009 | 5049 | 5262 | 5519 | 4960 a | |
| BS | 3955 | 4876 | 5175 | 5492 | 4861 a | |
| Control | 3801 | 4420 | 4707 | 5265 | 4548 b | |
| Mean * | 3977 c | 4751 b | 5014 b | 5458 a | ||
* In each season, mean values in a column or row followed by the same letter are not significantly different at the 5% level of significance according to LSD; ** RR: Recommended rate: 120-60-60 kg N-P2O5-K2O ha−1 in the DS; 90-30-30 kg N-P2O5-K2O ha−1 in the WS; *** Biofertilizer treatments are described in detail in the text.
The grain yield increase due to biofertilizer only (0% RR inorganic fertilizer treatment) usually ranged from 200 to 300 kg grain ha−1 for the best biofertilizers with the exception of the 2010 WS, when the BN treatment had an almost 800 kg·ha−1 better grain yield than the Control. In relative terms (Table 5), the seasonal yield increase across fertilizer treatments was between 5% and 18% for the BN biofertilizer (up to 24% for individual treatment combinations), between 3% and 13% for the BS biofertilizer (up to 24% for individual treatment combinations), and between 1% and 9% for the BG biofertilizer (up to 28% for individual treatment combinations). For the calculation of the relative yield increase, only average values could be compared and no statistical analysis could be conducted.
The effect of biofertilizer on the agronomic efficiency of N fertilizer (AEN) is shown in Table 6. For these calculations, the yield of each treatment was compared with the grain yield baseline (the Control treatment in which no biofertilizer and no inorganic fertilizer were used) and the yield increase was divided by the N rate applied. Again, only average values could be compared and no statistical analysis was possible. The results (Table 6) indicate considerably higher overall AEN values in the 2010 WS and the 2010/11 DS. Also, the AEN values are generally higher at low N rates and decrease with higher N application rates. The biggest AEN increase caused by biofertilizer occurred at the lowest N fertilizer rate (25% RR treatment), and, among the different biofertilizers tested, the BN biofertilizer resulted in the highest and most consistent AENs.
In our experiments, the selected biofertilizers were used as recommended by the producers but we could not check the viability or the contents of the products. Thus, we did not verify whether the biofertilizers contained the declared organisms (Table 6; the contents of BG remained unidentified) or the required number of living cells in the inoculate. The importance of quality control and regulation for biofertilizer production was emphasized by [31], who also pointed out that the frequent absence of such mechanisms can cause non-functional products. Maintenance of high standards for Azospirillum inoculants with proven efficient strains and cell numbers on the order of 1 × 109 to 1 × 1010 colony-forming units (cfu) g−1 or mL−1 was also requested by [11]. But, the fact that the products in our study caused a significant effect on grain yield in three out of four seasons (only two out of four seasons for BG) indicated that the biofertilizers tested had sufficient active ingredients and that the producers maintained a good quality over the four seasons (or 2.5 years). Theoretically, the effect of the biofertilizers could also have been caused by non-living ingredients but the applied amount was so small that even micronutrients could not explain the observed effects. Also, no micronutrient deficiencies are known from either of the two experimental sites.
Table 5.
Relative yield increase over the Control treatments with the same inorganic fertilizer rate for all biofertilizers tested, in all seasons and at both experimental sites.
| Season | Biofertilizer treatment *** | Inorganic fertilizer treatment ** | ||||
|---|---|---|---|---|---|---|
| 0% RR | 25% RR | 50% RR | 100% RR | Mean | ||
| Relative yield increase (%) * | ||||||
| 2008/09 DS | BG | -1 | 0 | -1 | 7 | 1 |
| BN | 2 | 7 | 6 | 6 | 5 | |
| BS | 7 | 3 | -6 | 8 | 3 | |
| Control | - | - | - | - | - | |
| 2009 WS | BG | 3 | -1 | 23 | 10 | 9 |
| BN | 13 | 21 | 19 | 20 | 18 | |
| BS | 5 | 9 | 12 | 24 | 13 | |
| Control | - | - | - | - | - | |
| 2010 WS | BG | 28 | 1 | 9 | -3 | 8 |
| BN | 24 | 7 | 20 | 2 | 12 | |
| BS | 17 | 2 | 7 | 0 | 6 | |
| Control | - | - | - | - | - | |
| 2010/11 DS | BG | 9 | 6 | 5 | 6 | 6 |
| BN | 5 | 14 | 12 | 5 | 9 | |
| BS | 4 | 10 | 10 | 4 | 7 | |
| Control | - | - | - | - | - | |
* The relative yield increase was calculated for treatment means and in comparison to the control without biofertilizer use but within the same inorganic fertilizer treatment; ** RR: Recommended rate: 120-60-60 kg N-P2O5-K2O ha−1 in the DS; 90-30-30 kg N-P2O5-K2O ha−1 in the WS; *** Biofertilizer treatments are described in detail in the text.
Table 6.
Estimated agronomic efficiency (AEN) of applied N depending on the inorganic fertilizer treatment and the biofertilizer used.
| Season | Biofertilizer treatment ** | Inorganic fertilizer treatment * | |||
|---|---|---|---|---|---|
| 0% RR | 25% RR | 50% RR | 100% RR | ||
| Reference grain yield (kg·ha−1) | AEN *** (kg grain yield increase kg−1 N applied) | ||||
| 2008/09 DS | BG | 12 | 8 | 9 | |
| BN | 23 | 14 | 8 | ||
| BS | 17 | 5 | 9 | ||
| Control | 4062 | 13 | 9 | 6 | |
| 2009 WS | BG | 3 | 13 | 5 | |
| BN | 23 | 12 | 8 | ||
| BS | 12 | 9 | 9 | ||
| Control | 1902 | 4 | 3 | 3 | |
| 2010 WS | BG | 41 | 28 | 13 | |
| BN | 51 | 39 | 16 | ||
| BS | 42 | 26 | 15 | ||
| Control | 3389 | 38 | 20 | 15 | |
| 2010/11 DS | BG | 29 | 19 | 15 | |
| BN | 42 | 24 | 14 | ||
| BS | 36 | 23 | 14 | ||
| Control | 3801 | 21 | 15 | 12 | |
* RR: Recommended rate: 120-60-60 kg N-P2O5-K2O ha−1 in the DS; 90-30-30 kg N-P2O5-K2O ha−1 in the WS; ** Biofertilizer treatments are described in detail in the text; *** For the estimation of AEN in each experimental season, the grain yield of the treatment without inorganic fertilizer and biofertilizer (0% RR and Control) was used as reference.
The general effect of inorganic fertilizer was as expected, and grain yields increased continuously with increasing fertilizer rates (Table 4). However, the response to inorganic fertilizer was low in the 2008/09 DS and the 2009 WS, as also indicated by the low AEN (Table 5). Good and economic values for AEN are usually 15–20 kg grain yield per kg N applied, and, at AEN < 10, inorganic fertilizer use may give negative economic returns depending on the input and output prices [32,33]. Low response in the 2009 WS can be explained by the negative effects of a typhoon and the early harvest. The low response in the 2008/09 DS could be due to the combination of a very fertile soil (high grain yield in the 0% RR treatment) and a limited yield potential in that season (low maximum yields in the 100% RR treatment).
The tested biofertilizers did increase grain yield significantly, and especially the BN biofertilizer did so consistently. Even in seasons in which no significant effect could be detected due to the yield variability between plots, the grain yield with biofertilizer was usually better than without. The seasonal yield increase across fertilizer treatments was between 5% and 18% for the BN biofertilizer (up to 24% for individual treatments; Table 5), which is within the 5–30% range reported for Azospirillum inoculums and non-rice crops by [4,11]. Similarly, the here-observed yield increase for the Trichoderma-based BS (3–13%) was close to the 15–20% rice yield increase described by [22]. The trend of yield increases between the different inorganic fertilizer treatments was not so clear across seasons but yield increases were often lower at higher inorganic fertilizer rates (Figure 1), which was also reported by [24]. Absolute grain yield increases due to biofertilizer were usually below 0.5 t·ha−1 (Table 1, Figure 1), corresponding to an estimated additional N uptake of less than 7.5 kg N ha−1 (based on 0.5% N in straw, 1.0% N in grain, and harvest index 0.5). Both values are far below grain yield increases and additional N uptake reported by [6] and [8], but similar to the rice grain yield increases reported by [24].
The calculated AEN values (Table 6) suggested higher N use efficiency for treatments with biofertilizer use. Increased nutrient uptake and fertilizer use efficiency were also reported for Trichoderma spp. [16,17,34] and for Azospirillum spp. [11]. But, the results could be explained in several ways. One possibility is that the biofertilizer stimulated root growth and thereby increased the uptake of indigenous N from the soil (the higher AEN would then be only an artifact of the calculation method). Second, the increased root growth could reduce N fertilizer losses, and the third option could be biological N fixation (which could explain the superior performance of the BN biofertilizer, supposedly containing organisms capable of biological N fixation). But, our experiment cannot answer the question of which process or combination of processes is at work here, if that is possible at all under field conditions [9].
4. Summary and Conclusions
The study was conducted to evaluate the effect of different biofertilizers on the grain yield of lowland rice, and investigate possible interaction effects with different inorganic fertilizer amounts. The results showed significant yield increases for all products tested in some seasons but the most consistent results were achieved by the Azospirillum-based biofertilizer. In most cases, the observed grain yield increases were not huge (0.2 to 0.5 t·ha−1) but could provide substantial income gains given the relatively low costs of all biofertilizers tested. The positive effect of the tested biofertilizers was not limited to low rates of inorganic fertilizers and some effect was still observed at grain yields up to 5 t·ha−1. However, the trends in our results seem to indicate that the use of biofertilizers might be most helpful in low- to medium-input systems. The results achieved can already be used to develop better advice for farmers on biofertilizer use in lowland rice, but several important questions remain. In particular, biofertilizers need to be evaluated under conditions with abiotic stresses typical for most low- to medium-input systems (e.g., under drought or low soil fertility) and with a range of germplasm because their effect might depend also on the variety used. More upstream-oriented research would be needed to better understand the actual mechanisms involved, which in turn could also contribute to making the best use of biofertilizers in rice-based systems.
References
- Vessey, J.K. Plant growth promoting rhizobacteria as biofertilizers. Plant Soil 2003, 255, 571–586. [Google Scholar]
- Davidson, J. Plant beneficial bacteria. Biotechnol. 1988, 6, 282–286. [Google Scholar]
- Dela Cruz, R.E. State of the art in biotechnology: Crop production. In Biotechnology for Agriculture, Forestry and the Environment; PCARRD: Los Baños, Laguna, Philippines, 1993. [Google Scholar]
- Bashan, Y.; Levanony, H. Current status of Azospirillum inoculation technology: Azospirillum as a challenge for agriculture. Can. J. Microbiol. 1990, 36, 591–608. [Google Scholar] [CrossRef]
- Singh, S.; Rekha, P.D.; Arun, A.B.; Hameed, A.; Singh, S.; Shen, F-T.; Young, C-C. Glutamate wastewater as a culture medium for Azospirillum rugosum production and its impact on plant growth. Biol. Fert. Soils 2011, 47, 419–426. [Google Scholar] [CrossRef]
- Razie, F.; Anas, I. Effect of Azotobacter and Azospirillum on growth and yield of rice grown on tidal swamp rice fields in south Kalimantan. Jurnal Tanah dan Lingkungan 2008, 10, 41–45. [Google Scholar]
- Kaneko, T.; Minamisawa, K.; Isawa, T.; Nakatsukasa, H.; Mitsui, H.; Kawaharada, Y.; Nakamura, Y.; Watanabe, A.; Kawashima, K.; Ono, A.; et al. Complete genomic structure of the cultivated rice endophyte Azospirillum sp. B510. DNA Res. 2010, 17, 37–50. [Google Scholar] [CrossRef]
- Sison, M.L.Q. Available biotechnologies and products. Presented at the workshop on promoting popular awareness and appreciation of biotechnolog. Cagayan de Oro City, Philippines, 16 February 1999.
- Giller, K.E.; Merckx, R. Exploring the boundaries of N2-fixation in cereals and grasses: An hypothetical and experimental framework. Symbiosis 2003, 35, 3–17. [Google Scholar]
- Ereful, N.C.; Paterno, E.S. Assessment of cytokinin production in some plant growth-promoting bacteria. Asia Life Sci. 2007, 16, 137–152. [Google Scholar]
- Okon, Y.; Labandera-Gonzales, C.A. Agronomic applications of Azospirillum: An evaluation of 20 years worldwide field inoculation. Soil Biol. Biochem. 1994, 26, 1591–1601. [Google Scholar] [CrossRef]
- Fernando, L.M.; Merca, F.E.; Paterno, E.S. Isolation and partial structure elucidation of gibberellin produced by plant growth promoting bacteria (PGPB) and its effect on the growth of hybrid rice (Oryza sativa L.). Philipp. J. Crop Sci. 2010, 35, 12–22. [Google Scholar]
- Difuntorum-Tamabalo, D.; Paterno, E.S.; Barraquio, W.; Duka, I.M. Identification of an indole-3-acetic acid-producing plant growth-promoting bacterium (PGPB) isolated from the roots of Centrosema pubescens Benth. Philipp. Agr. Sci. 2006, 89, 149–156. [Google Scholar]
- Lindsey, D.L.; Baker, R. Effect of certain fungi on dwarf tomatoes grown under gnotobiotic conditions. Phytopathology 1967, 57, 1262–1263. [Google Scholar]
- Chang, Y-C.; Chang, Y-C.; Baker, R.; Kleifeld, O.; Chet, I. Increased growth of plants in the presence of the biological control agent Trichoderma harzianum. Plant Diseases 1986, 70, 145–148. [Google Scholar] [CrossRef]
- Harman, G.E. Myths and dogmas of biocontrol. Changes in perceptions derived from research on Trichoderma harzianum T-22. Plant Diseases 2000, 84, 377–393. [Google Scholar] [CrossRef]
- Yedidia, I.; Srivastva, A.K.; Kapulnik, Y.; Chet, I. Effect of Trichoderma harzianum on microelement concentrations and increased growth of cucumber plants. Plant Soil 2001, 235, 235–242. [Google Scholar] [CrossRef]
- Harman, G.E. Overview of mechanisms and uses of Trichoderma spp. Phytopathology 2006, 96, 190–194. [Google Scholar] [CrossRef]
- Weindling, R. Trichoderma lignorum as a parasite of other soil fungi. Phytopathology 1932, 22, 837–845. [Google Scholar]
- Shoresh, M.; Harman, G.E. The molecular basis of shoot responses of maize seedlings to Trichoderma harzianum T22 inoculation of the root: A proteomic approach. Plant Physiol. 2008, 147, 2147–2163. [Google Scholar] [CrossRef]
- Cuevas, V.C.; Sinohin, A.M.; Orajay, J.I. Performance of selected Philippine species of Trichoderma as biocontrol agents of damping off pathogens and as growth enhancer of vegetables in farmer’s field. Philipp. Agr. Sci. 2005, 88, 63–71. [Google Scholar]
- Cuevas, V.C. Rapid composting for intensive rice land use. In Innovation for Rural Development; SEAMEO-SEARCA: Los Baños, Philippines, 1991; Volume 1, pp. 5–10. [Google Scholar]
- Goldstein, A.H.; Liu, S.T. Molecular cloning and regulation of a mineral phosphate solubilizing gene from Erwinia herbicola. Nat. Biotech. 1987, 5, 72–74. [Google Scholar] [CrossRef]
- Rajabamamohan, R.V.; Nayak, D.N.; Charyulu, P.B.B.N.; Adhy, T.K. Yield response of rice to root inoculation with Azospirillum. J. Agr. Sci. 1983, 100, 689–691. [Google Scholar] [CrossRef]
- Isawa, T.; Yasuda, M.; Awazaki, H.; Minamisawa, K.; Shinozaki, S.; Nakashita, H. Azospirillum sp. strain B510 enhances rice growth and yield. Microbes Environ. 2010, 25, 58–61. [Google Scholar] [CrossRef]
- World Reference Base for Soil Resources; Food and Agriculture Organization of the United Nations: Rome, Italy, 2006; p. 128.
- Fairhurst, T.H.; Witt, C.; Buresh, R.J.; Dobermann, A. A Practical Guide to Nutrient Management, 2nd ed; International Rice Research Institute, International Plant Nutrition Institute, and the International Potash Institute: Singapore, 2007; p. 89. [Google Scholar]
- Paredes, J.C.; Go, I. Putting biofertilizers to good use. BioLife 2008, 5, 4–10. [Google Scholar]
- Cuevas, V.C. Soil inoculation with Trichoderma pseudokoningii rifai enhances yield of rice. Philip. J. Sci. 2006, 135, 31–37. [Google Scholar]
- Gomez, K.A.; Gomez, A.A. Statistical Procedures for Agricultural Research, 2nd ed; John Wiley & Sons: New York, NY, USA, 1984; p. 680. [Google Scholar]
- Reddy, L.N.; Giller, K.E. How effective are effective micro-organisms? LEISA Magazine 2008, 24, 18–19. [Google Scholar]
- Haefele, S.M.; Sipaseuth, N.; Phengsouvanna, V.; Dounphady, K.; Vongsouthi, S. Agro-economic evaluation of fertilizer recommendations for rainfed lowland rice. Field Crop. Res. 2010, 119, 215–224. [Google Scholar]
- Witt, C.; Buresh, R.J.; Peng, S.; Balasubramanian, V.; Dobermann, A. Nutrient management. In Rice: A Practical Guide to Nutrient Management; Fairhurst, T.H., Witt, C., Buresh, R.J., Dobermann, A., Eds.; International Rice Research Institute, International Plant Nutrition Institute, and the International Potash Institute: Singapore, 2007; pp. 1–45. [Google Scholar]
- Harman, G.E. Microbial tools to improve crop performance and profitability and to control plant diseases. In Proceedings of International Symposium on Biological Control of Plant Diseases for the New Century—Mode of Action and Application Technology, Taichung City, Taiwan, 12–13 November 2001.
© 2012 by the authors; licensee MDPI, Basel, Switzerland. This article is an open-access article distributed under the terms and conditions of the Creative Commons Attribution license (http://creativecommons.org/licenses/by/3.0/).