You are currently viewing a new version of our website. To view the old version click .
Agriculture
  • Article
  • Open Access

2 January 2026

Assessment of Heavy Metal Soil Contamination and Remediation Strategies in Eastern Slovakia: A Case Study from Dargov

,
,
,
and
Faculty of Mining, Process Control and Geotechnologies, Technical University of Košice, 04001 Košice, Slovakia
*
Author to whom correspondence should be addressed.
Agriculture2026, 16(1), 117;https://doi.org/10.3390/agriculture16010117 
(registering DOI)
This article belongs to the Special Issue Migration and Diffusion of Heavy Metals and Metalloids in Agri-Soil Systems

Abstract

Heavy metal contamination of agricultural soils represents a critical environmental and agronomic challenge, particularly in regions exposed to intensive land use and transport-related emissions. This study presents a detailed assessment of soil contamination in the Dargov cadastral area (Eastern Slovakia), where elevated concentrations of Cu, Zn, Pb, Ni, As, Cd, and Cr were detected through multi-depth sampling near the I/19 first-class road. Analytical results confirmed exceedances of Slovak regulatory thresholds (Decree No. 59/2013), with persistent contamination observed even in the deepest sampling interval (20–40 cm), indicating vertical migration and long-term accumulation. Concentrations of Pb (85–210 mg·kg−1), Cd (2.1–5.4 mg·kg−1), Zn (120–340 mg·kg−1), and Ni (45–95 mg·kg−1) exceeded Slovak regulatory thresholds. The highest values were consistently detected in the 0–10 cm layer and within 3 m of the I/19 road, with a gradual decline at greater depths and distances. Nevertheless, Cd and Ni remained above permissible limits even in the deepest sampling interval (20–40 cm), confirming vertical migration and long-term persistence of contamination. The spatial distribution of contaminants suggests a dominant influence of road traffic, with implications for crop safety, soil fertility, and rural land management. Based on the findings, the study proposes context-sensitive remediation strategies, including phytoremediation and chemical immobilization, and emphasizes the need for integrated monitoring systems and land-use planning to mitigate risks. The case study contributes to the broader discourse on sustainable soil management in Central European agricultural landscapes affected by diffuse pollution.

1. Introduction

Soil contamination by heavy metals represents a major environmental challenge that directly affects agricultural productivity, food security, and ecosystem sustainability. Unlike organic pollutants, which may degrade over time, heavy metals such as lead (Pb), cadmium (Cd), copper (Cu), and zinc (Zn) are non-biodegradable and persist in the environment for decades to centuries. Their accumulation in soils, even at relatively low levels, poses long-term ecological risks due to their potential to bioaccumulate and biomagnify through food chains. In particular, Pb and Cd are regarded as highly toxic, with proven effects on human health, while Cu and Zn, though essential micronutrients, become toxic when present in elevated concentrations [1,2,3,4,5,6,7].
The widespread issue of heavy metal contamination in soils has been extensively documented, with numerous studies identifying pollution hotspots across industrial, mining, and agricultural regions. In recent years, increasing attention has been directed toward the role of road transport as a diffuse yet significant source of soil contamination. In Europe, soil quality surveys have revealed frequent exceedances of regulatory thresholds in areas adjacent to high-traffic roadways, where emissions from vehicle exhaust, tire and brake wear, and road surface abrasion contribute to the accumulation of toxic metals. Similar concerns have been documented across EU Member States, with national reports highlighting cadmium and lead exceedances in roadside soils. The Central and Eastern European (CEE) region is particularly vulnerable due to its dense transport infrastructure and legacy of insufficient environmental regulation. In Slovakia, the Czech Republic, Poland, and Hungary, elevated concentrations of Pb and Cd have been reported in roadside soils, with localized enrichment of Cu and Zn linked to traffic-related mechanical degradation and particulate deposition [8,9,10,11,12,13,14].
In Slovakia, national environmental monitoring programs have identified heavy metals as priority soil pollutants, especially in zones influenced by transport corridors. Data from roadside soil surveys indicate that cadmium concentrations frequently exceed permissible limits, while lead contamination is prevalent in areas exposed to long-term vehicular emissions and atmospheric deposition. The persistence of these contaminants poses a direct threat to agricultural sustainability and complicates compliance with EU directives on soil protection and food safety. Of particular concern is the accumulation of cadmium in edible crops grown near roads, which may present a health risk to consumers, while chronic exposure to lead is associated with neurotoxic effects and developmental disorders. These findings underscore the need for targeted soil assessments in transport-affected areas and for the development of mitigation strategies that address traffic-derived pollution sources [15,16,17,18,19].
The Dargov cadastral area in Eastern Slovakia exemplifies these challenges. Located in a region with mixed agricultural land use and soils classified as sandy loam to loam, Dargov has been affected by both local and transboundary pollution sources. Preliminary assessments suggest elevated levels of Pb and Cd, raising concerns about the safety of agricultural production and the long-term fertility of soils. At the same time, Dargov illustrates the socio-economic dimensions of soil contamination: as a predominantly rural area, the resources available for costly remediation are limited, and farmers must balance food production with environmental protection [20,21,22,23].
The location of the study area within the Trebišov District of Eastern Slovakia is shown in Figure 1.
Figure 1. Location of the study area (Dargov) in Eastern Slovakia. The village of Dargov is indicated by a red point (elaborated by the authors).
A review of remediation techniques indicates that no single method is universally effective. Phytoremediation using hyperaccumulator plant species such as Thlaspi caerulescens (J. Presl & C. Presl) and Brassica juncea (L.) Czern. has shown promise in reducing Cd and Pb concentrations under controlled conditions. Bioremediation, employing metal-resistant microbial communities, is another promising avenue but remains less tested in field applications. Chemical immobilization with soil amendments such as lime or biochar can rapidly reduce metal bioavailability, but may lead to long-term changes in soil structure. Integrated approaches that combine biological and chemical techniques are therefore increasingly recommended in both the scientific literature and environmental practice [1,24,25,26,27].
The present study seeks to contribute to this debate by providing a detailed assessment of heavy metal contamination in soils of the Dargov cadastral area, while situating these findings within a broader regional and global context. Specifically, the objectives are:
  • To quantify the concentrations of Pb, Cd, Cu, and Zn in soils of the Dargov region.
  • To evaluate these concentrations against Slovak and EU regulatory thresholds.
  • To assess contamination gradients in relation to the highway corridor.
To discuss feasible remediation strategies for the area, taking into account local socio-economic conditions.
By combining empirical soil data with a literature-based review, this article aspires to bridge local environmental monitoring with global best practices. The case study of Dargov provides not only site-specific insights but also a model for addressing heavy metal contamination in comparable agricultural regions across Central and Eastern Europe.

1.1. Influence of Vehicular Traffic on the Accumulation of Heavy Metals in Soils

Road transport is considered one of the major sources of soil contamination, particularly in areas with high traffic intensity. The village of Dargov (Trebišov District, Eastern Slovakia), which forms the focus of this study, is intersected by the first-class road I/19, part of the national road network operating year-round. This area is characterized by elevated traffic density, which increases the likelihood of soil contamination by heavy metals. Such pollutants, including lead (Pb), cadmium (Cd), copper (Cu), and others, are released from vehicle exhaust emissions, tire and brake wear, and corrosion processes, potentially leading to negative impacts on human health and environmental quality [28,29,30].

1.2. Development and Significance of Road I/19

Historically, the former first-class road I/50 served as one of the most important transport arteries in Slovakia, with a total length of 403.3 km. It extended from the Drietoma border crossing with the Czech Republic to the Vyšné Nemecké border crossing with Ukraine. Along its route, it overlapped with several major European transport corridors, specifically E50, E58, E71, E77, E571, and E572 [31,32].
In 2015, a decision by the Ministry of Transport, Construction and Regional Development of the Slovak Republic reclassified I/50 into separate segments: I/9, I/65, I/16, and I/19. The newly designated I/19 now connects Košice with the Ukrainian border at Vyšné Nemecké (via Michalovce and Užhorod), serving as one of the primary east–west transit routes in Eastern Slovakia. The location of this road section is shown in Figure 2, where its course is marked with the number 19. Within the Dargov cadastral area, I/19 functions as a two-lane, bidirectional road with lane widths of 3.25 m. According to Slovak technical standards STN 73 6110, it is classified as a B1 functional class road, ensuring year-round operation. In Dargov, I/19 is connected to a third-class road (III/3650) through a T-intersection. This secondary road provides a local service function, connecting Dargov with Bačkov. It is also a two-lane, bidirectional road with lane widths of 3.00 m and is classified as C2 functional class under STN 73 6110 [33,34].
Figure 2. Road Network in the Slovak Republic.

1.3. Traffic Intensity in the Dargov Area

The most recent national traffic census in Slovakia was conducted in 2022–2023, following technical requirements set by TP100 and TP102 for traffic engineering surveys. The census methodology required the following:
  • Directional traffic counts in 15 min intervals across all monitored directions;
  • Traffic forecasts based on growth coefficients, including explicit reporting of coefficients applied;
  • Determination of traffic load levels used for capacity assessments, with precise timing of peak loads;
  • Data collection forms standardized for morning and afternoon peak periods [35,36].
According to the Slovak Road Administration, the 2023 census recorded average daily traffic volumes of 13,653 vehicles/day on I/19 (Section 00269, direction Dargov–Klečenov) and 11,060 vehicles/day on I/19 (Section 00270, direction Dargov–Sečovce). Compared to the 2015 census, these values represent an increase of 52.8% (Dargov–Sečovce) and 43.7% (Dargov–Klečenov), respectively. The rapid growth in traffic intensity underscores the increasing environmental burden on soils adjacent to I/19, particularly with regard to heavy metal accumulation [36].

2. Materials and Methods

2.1. Study Area

The research was conducted in the cadastral territory of Dargov, located in the Trebišov District of Eastern Slovakia, within the Eastern Slovak Lowland. The sampling area lies at the interface of intensively cultivated agricultural land and linear infrastructure, specifically the first-class road I/19, which is characterized by high traffic density and potential pollutant emissions. The dominant soil type in the area is classified as sandy loam to clay, characterized by moderate to high clay content, favorable water retention capacity, and relatively high cation exchange potential. These soils are typical for the region and are widely used for crop production. Due to their higher clay fraction and associated physicochemical properties, such soils are generally characterized by favorable water retention and elevated cation exchange capacity, which makes them an appropriate matrix for evaluating the accumulation and mobility of heavy metals in the soil profile [37,38,39].
Given the anticipated presence of heavy metal contamination in soils affected by road traffic within the cadastral area of Dargov, a set of preliminary soil samples was collected near the main road. The purpose of this initial analysis was to determine whether the measured concentrations exceeded regulatory thresholds to a degree that would justify further sampling and a more detailed investigation. The results of this screening served as the basis for deciding whether to proceed with a broader environmental survey.
Three preliminary soil samples were collected in situ in the village of Dargov on 20 September 2024 from a single sampling point (48°43′25.2″ N, 21°32′44.7″ E) at three different depths. The sampling site was located along the Dargov–Klečenov road section, at a distance of 3 m from the roadside drainage ditch running parallel to the first-class road I/19, with a total distance of approximately 7 m from the pavement edge.
Sampling was performed at a single control point at three depths: 0–10 cm (sample A1), 10–20 cm (sample A2), and 20–40 cm (sample A3) below the soil surface. The samples were collected using a hand-operated soil auger (vidaXL Manual Earth Auger, vidaXL International B.V., Venlo, The Netherlands)with a steel handle and a spiral diameter of 250 mm, following standard field protocols for environmental soil investigations.

2.2. Analytical Procedures

Soil samples were analyzed for the presence and concentration of heavy metals using an energy-dispersive X-ray fluorescence (ED-XRF) spectrometer, Spectro Xepos (SPECTRO Analytical Instruments GmbH, Kleve, Germany), on October 2024 in the chemical laboratory of the Technical University of Košice. The instrument allows the identification of various types of substances, except gaseous compounds. It is equipped with an air-cooled X-ray tube with a palladium–cobalt anode for radiation generation, and a thermoelectrically cooled detector for signal processing. For the measurement of light elements, the analytical chamber is purged with helium to enhance accuracy. The spectrometer is fitted with a carousel holding twelve 32 mm cuvettes [40].
Instrument calibration was carried out using certified reference materials (CRM) BCR-142R (European Commission Joint Research Centre, Geel, Belgium) and NIST 2711a. Analytical quality was controlled through the use of duplicates and blanks in every batch. The limits of detection (LoD) for Pb, Cd, Cu, and Zn ranged from 0.1 to 0.5 mg·kg−1, and the limits of quantification (LoQ) were determined based on a signal-to-noise ratio greater than 10:1. Measurements were calibrated against aqua regia digest standards to allow comparison with Slovak regulatory limits, noting that XRF provides near-total rather than partial metal concentrations. Matrix corrections were applied using helium purge settings for light elements, and calibration curves were constructed using digested standards to ensure comparability with threshold values.
To verify the consistency between ED-XRF and aqua regia-based methods, a subset of 10% of samples was additionally analyzed in parallel using ICP-OES (Agilent 5110 ICP-OES, Agilent Technologies Inc., Santa Clara, CA, USA) and ICP-MS (Thermo Scientific iCAP RQ ICP-MS, Thermo Fisher Scientific, Waltham, MA, USA) following digestion with aqua regia. The comparison showed mean bias values ranging from −3.5% to +4.2%, root mean square error (RMSE) between 0.8 and 2.5 mg·kg−1, and coefficients of determination (R2) above 0.95 for all target elements. Bland–Altman analysis confirmed that more than 95% of paired measurements fell within the limits of agreement (±2 SD). Detailed results are provided in Supplementary Table S1.
Certified reference materials, duplicates, and procedural blanks were included in each analytical batch. Recovery rates and precision were verified using preliminary samples, with results falling within acceptable ranges for environmental soil analysis.
The soil samples collected for preliminary contamination assessment were first dried in a laboratory oven to remove moisture and stabilize their structure. Subsequently, coarse impurities such as stones and plant residues were manually removed. In cases where the samples exhibited a hardened clayey consistency, mechanical grinding was performed using a SpecTech pulverizer (SpecTech ST-P200 Pulverizer, SpecTech Instruments Ltd., London, UK) to ensure proper disaggregation. The cleaned and disaggregated material was then sieved to achieve particle size uniformity. From each homogenized sample, 5 g was weighed into plastic containers and placed in the spectrometer for analysis.

2.3. Assessment of Soil Data from Preliminary Sampling

The results of the preliminary soil samples collected were compared with the permissible threshold values defined by Decree No. 59/2013 of the Ministry of Agriculture and Rural Development of the Slovak Republic. It was observed that the concentrations of heavy metals in the analyzed soil samples exceeded the established limits. Preliminary soil samples were collected from an area classified according to the cadastral map of the municipality of Dargov as orchards and agricultural land. The soil type in the study area is classified as sandy loam to loam. Since these areas are important for local agriculture and fruit production, the exceedance of permissible heavy metal concentrations is particularly concerning [41].
The assessment of exceedance was based on the above-mentioned decree. A comparison of the analytical results with the threshold values for risk elements in agricultural soils confirmed that the measured concentrations surpassed the allowable levels. Full results of the comparison between the regulatory threshold values for selected risk elements in sandy loam to loam agricultural soils and the concentrations measured in the preliminary soil samples are provided in Supplementary Table S2.
Comparison of the measured concentrations of selected heavy metals in soil samples with the threshold values specified in Decree No. 59/2013 of the Ministry of Agriculture of the Slovak Republic, which is shown in Figure 3, confirmed that several values significantly exceed the permitted limits. Furthermore, the results indicate a decreasing trend in heavy metal concentrations with increasing soil depth. For certain elements such as Pb, Ni, Zn, and Cd, the concentrations measured at 40 cm below the surface fell below the regulatory limits.
Figure 3. Comparison of regulatory threshold values for selected risk elements in sandy loam to loam agricultural soils with concentrations measured in preliminary soil samples (Supplementary Table S2).
Based on these findings, the research was extended to include additional sampling across various locations within the study area to obtain a more comprehensive understanding of the spatial extent and severity of contamination. The outcomes of this expanded investigation will inform the development of targeted remediation strategies aimed at preserving soil quality, supporting sustainable agricultural use, and minimizing risks to public health.

2.4. Execution of the Detailed Soil Contamination Survey

On 26 October 2024, 48 soil samples were taken in the village of Dargov for detailed and final analysis of heavy metals. The collected soil samples were placed in closable ZIP bags measuring 100 × 120 mm. The soil samples were taken in the same way as the preliminary samples, using a ground drill with a steel handle with a spiral diameter of 250 mm. Furthermore, all soil samples were pre-processed immediately after collection (drying, homogenization, sieving, and grinding) and stored under laboratory conditions to ensure their stability and representativeness until analysis.
Soil sampling was conducted in two phases along the Dargov–Klečenov road section. In the first phase, samples were collected at a lateral distance of 3 m from the drainage ditch, with a regular spacing of 10 m between sampling points. The vertical profile included depths of 0–10 cm, 10–20 cm, and 20–40 cm from the ground surface. The total horizontal distance from the edge of the first-class road I/19 to the sampling points in this phase was approximately 7 m.
In the second phase, the sampling line was shifted to a lateral distance of 6 m from the drainage ditch, while maintaining the same spacing and depth intervals. The corresponding total distance from the road edge was approximately 10 m. This adjustment was implemented to evaluate concentration gradients of heavy metals in relation to both soil depth and increasing distance from the potential source of contamination (Figure 4).
Figure 4. Sampling Site in the Village of Dargov (Prepared by Authors).
The sampling points were distributed within a continuous roadside segment approximately 90 m in length, characterized by uniform terrain, vegetation cover, and exposure conditions. Based on these parameters, the area was considered homogeneous, and the samples were treated as replicates within a single study zone. The spatial layout enabled the assessment of intra-area variability while preserving methodological consistency.
Although the design focused on short-range gradients (7 m and 10 m from the road edge), the results provide a preliminary indication of contamination dispersion. For future studies, the inclusion of additional sampling distances—particularly beyond 10 m—would enhance the resolution of spatial trends and allow for more robust source attribution.
The present survey design focused on short-range gradients (3 m and 6 m from the ditch, depths 0–10, 10–20, and 20–40 cm). No reference site outside the traffic plume was included, and distances beyond 10 m were not tested. This limitation is acknowledged, and future studies should incorporate reference sites located upwind and at greater distances from road I/19 to strengthen source attribution. Documentation of prevailing wind direction would further improve spatial inference.

2.5. Analysis of Heavy Metal Content in Soil Samples

In January–February 2025, the collected soil samples were analyzed for the presence and concentration of heavy metals using the Spectro Xepos energy-dispersive X-ray fluorescence spectrometer. The preparation and evaluation procedures were identical to those applied to the initial screening samples, which were collected to assess whether the contamination levels justified a broader investigation. This coding system enables clear identification of vertical profiles at each sampling location. It should be noted that the values presented do not represent statistical replicates. Each sample was collected and analyzed individually to reflect spatial variability across the study area.
All measurements were conducted using the Spectro Xepos energy-dispersive X-ray fluorescence (EDXRF) spectrometer, calibrated with certified reference materials in accordance with the manufacturer’s protocol. Analytical precision was assessed through repeated measurements of selected samples, with the coefficient of variation (CV) remaining below 5% across all analyzed elements. Quality control was ensured by the use of internal standards and periodic verification of instrument stability throughout the analytical sessions.
The analysis of soil samples collected at distances of 3 m and 6 m from the drainage ditch confirmed that the concentrations of several heavy metals exceeded the regulatory limit values specified in Decree No. 59/2013 of the Ministry of Agriculture and Rural Development of the Slovak Republic. Complete results are provided in the Supplementary Tables S3 and S4.

3. Results

3.1. Statistical Evaluation of Heavy Metal Concentrations Based on Sampling Distance (3 m and 6 m)

The statistical analysis focused on determining whether element concentrations differ significantly between the 3 m and 6 m sampling distances. Statistical analyses were performed using IBM SPSS Statistics (v29, IBM Corp., Armonk, NY, USA).The data distribution was initially assessed using the Shapiro–Wilk test (Supplementary Table S5).
  • Parametric Group (Cu, Zn, Ni): Elements that met the normality assumption (p > 0.05) were analyzed using the independent samples t-test (Supplementary Tables S6–S8). The test confirmed statistically significant concentration differences between the distances for Cu and Zn, with markedly higher mean values observed at 3 m. The difference for Ni was non-significant.
  • Non-Parametric Group (Pb, As, Cd, Cr): Elements that violated the normality assumption in at least one distance group were analyzed using the Mann–Whitney U test (Supplementary Tables S9 and S10).
The non-parametric test revealed statistically significant differences between the two sampling distances (p < 0.001) for Pb, As, and Cr, all showing consistently higher concentrations at 3 m. This spatial trend is reinforced by the elevated Mean Rank scores for the 3 m group (e.g., Pb: 34.92 vs. 14.08). In contrast, Cd did not exhibit a significant difference (p = 0.833), indicating no spatial variation for this element.
These findings confirm that proximity to the drainage ditch significantly influences the distribution of Pb, As, and Cr in the soil. The resulting concentration profiles (data distribution) for all elements at both distances are visually represented in Figure 5. A Box Plot was selected for visualization to consistently display the concentration distribution across both parametric (Cu, Zn, Ni) and non-parametric (Pb, As, Cd, Cr) groups.
Figure 5. Box plot illustrating the distribution of heavy metal concentrations [mg·kg−1] in soil samples collected at two sampling distances (3 m vs. 6 m). The plot visually confirms the statistical results, showing higher median concentrations and a broader distribution near the drainage ditch (3 m) for the significantly affected elements (Cu, Zn, Pb, As, Cr) (Supplementary Tables S5–S10).

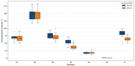
3.2. Statistical Evaluation of Heavy Metal Concentrations Based on Sampling Depth (10 cm and 40 cm)

To evaluate whether element concentrations differ significantly based on sampling depth, the distribution normality was assessed using the Shapiro–Wilk test (Supplementary Table S11). As none of the paired groups fully satisfied the normality assumption, the non-parametric Mann–Whitney U test was applied to compare the 10 cm and 40 cm depths for all elements (Supplementary Tables S12 and S13).
The Mann–Whitney U test revealed statistically significant concentration differences between the two depths for three elements:
  • Nickel (Ni): A significant difference was observed (p = 0.003), with consistently higher concentrations at the 10 cm depth (Mean Rank: 21.38 vs. 11.63).
  • Cadmium (Cd): The test confirmed significantly elevated levels at 10 cm (p < 0.001), supported by distinct Mean Rank scores (22.47 vs. 10.53).
  • Chromium (Cr): A significant difference was found (p = 0.029), again indicating higher concentrations in the surface layer (Mean Rank: 20.13 vs. 12.88).
Conversely, Cu, Zn, Pb, and As showed no statistically significant differences (p > 0.05), suggesting similar concentrations across the analyzed depths.
This pattern suggests significant surface accumulation (10 cm) of Ni, Cd, and Cr, possibly linked to anthropogenic inputs or low vertical mobility. These findings are visually supported by the box plot in Figure 6. A Box Plot was selected for visualization to consistently display the concentration distribution for all elements, directly supporting the preceding non-parametric Mann–Whitney U analysis. The plot’s display of individual outliers (fliers) further highlights extreme local concentration values, which are typical for non-normally distributed environmental data. The plot highlights elevated medians and broader ranges for Ni, Cd, and Cr in surface samples, consistent with the statistical outcomes.
Figure 6. Box plot illustrating the distribution of heavy metal concentrations [mg·kg−1] in soil samples collected at two different depths (10 cm vs. 40 cm). The plot visually confirms the results of the Mann–Whitney U test, showing significantly elevated median concentrations in the surface layer (10 cm) for Ni, Cd, and Cr, while Cu, Zn, Pb, and As show similar distributions across both depths (Supplementary Tables S11–S13).
The reliability of the applied analytical approach was confirmed by cross-checking the ED-XRF results with ICP-OES/ICP-MS. The strong agreement between the two methods (R2 consistently above 0.95, with low RMSE values) supports the robustness of the XRF results for regulatory comparison.

4. Discussion

The soil sampling conducted in the vicinity of the main road within the cadastral area of Dargov revealed elevated concentrations of several heavy metals, with certain values exceeding the threshold limits established by Decree No. 59/2013 of the Ministry of Agriculture of the Slovak Republic. While the spatial proximity to the roadway suggests a plausible association with traffic-related emissions, the current study design does not permit definitive source attribution. It is therefore necessary to consider that additional anthropogenic influences—including agricultural activity, urban runoff, and legacy land use—may have contributed to the observed contamination levels.
Due to the absence of source apportionment techniques such as isotopic analysis or receptor modeling, the relative contributions of individual pollution sources (e.g., vehicular traffic, agrochemical inputs, or urban infrastructure) remain undetermined. Future investigations should incorporate more targeted sampling strategies and advanced analytical tools to enable a more robust differentiation of contamination pathways.
Although the present study did not experimentally evaluate any remediation techniques, a concise overview of selected decontamination strategies is included for contextual purposes. This synthesis is intended to inform future decision-making and policy development, but does not reflect empirical findings or tested interventions within the scope of this research.

4.1. Liming as a Potential Remediation Strategy

Although no remediation techniques were experimentally tested within the scope of this study, liming is proposed as one of several potential strategies for future investigation aimed at mitigating heavy metal contamination in agricultural soils. Lime-based materials—including calcium carbonate (CaCO3), calcium oxide (CaO), and calcium hydroxide (Ca(OH)2)—are widely recognized for their capacity to stabilize contaminated soils through chemical precipitation and pH adjustment.
Liming has traditionally been applied to correct soil acidity, but its role in reducing the mobility and bioavailability of heavy metals has gained increasing attention. The addition of lime can enhance the negative surface charge of soil particles, promoting the precipitation of metals such as Cd, Cu, Pb, and Zn as insoluble hydroxides. Moreover, calcium released during liming may inhibit the translocation of these metals from roots to shoots, thereby reducing their uptake by plants [42,43,44].
Despite its potential, liming presents certain limitations that warrant further study. Agricultural-grade limestone has low solubility and may become ineffective in strongly acidic soils due to surface coating. Excessive application can also lead to elevated pH levels that are suboptimal for plant growth and may generate airborne dust during handling [45].
Given these considerations, liming is recommended as a candidate for future field-based or laboratory-scale research to evaluate its effectiveness under site-specific conditions. Such studies should assess not only their remediation potential but also their agronomic compatibility and long-term sustainability in the context of heavy metal pollution near transport corridors.

4.2. Organic Composts as Potential Amendments for Heavy Metal Immobilization

Organic composts—particularly biosolids and animal manure—represent promising candidates for future research into soil remediation strategies targeting heavy metal contamination. Biosolids, derived from domestic wastewater treatment processes, have historically contributed to metal accumulation in soils; however, improvements in treatment technologies and industrial effluent separation have significantly reduced their contaminant load. Alkaline-stabilized biosolids have demonstrated potential in reducing the bioavailability of metals such as cadmium (Cd) and zinc (Zn), with field studies reporting increased soil pH and humic acid content following sludge application, thereby enhancing sorption capacity and limiting leaching of soluble metal forms [46,47,48,49].
Animal manure, sourced from poultry, swine, cattle, and dairy operations, offers additional remediation potential due to its organic richness and relatively low metal content. Although elevated concentrations of copper (Cu) and zinc (Zn) have been observed in pig manure and poultry bedding, recent advances in manure treatment—including chemical stabilization with lime slurry, ferric chloride, or alum—have effectively reduced the bioavailability of key contaminants. Treated manure by-products may thus serve as nutrient-rich amendments capable of immobilizing heavy metals in agricultural soils, particularly when applied in accordance with nitrogen and phosphorus loading guidelines [50,51,52].
These findings from the literature suggest that organic composts could play a valuable role in site-specific remediation efforts. Their effectiveness, however, remains to be validated under local conditions through targeted field trials and laboratory-scale experiments.

4.3. Phytoremediation Using Metal-Tolerant Plant Species

Phytoremediation is a plant-based strategy for mitigating environmental contamination, particularly in soils affected by heavy metals. Among its various forms, phytoextraction and phytostabilization are the most relevant for metal remediation. Phytoextraction involves the uptake of metals from the soil into the aboveground biomass of hyperaccumulator plants, which can subsequently be harvested and processed through drying, incineration, or composting. In certain cases, metal recovery from ash is feasible, offering potential for resource recycling and economic return [24,53,54].
Phytostabilization, by contrast, relies on the ability of metal-tolerant plants to immobilize contaminants within the rhizosphere. This process reduces the mobility and bioavailability of metals, thereby limiting their migration to groundwater and entry into the food chain. Immobilization occurs through mechanisms such as root adsorption, precipitation, and complexation, often aided by root exudates and soil amendments [55,56,57].
Several plant species have demonstrated suitability for phytoremediation under Central European soil conditions. Members of the Brassicaceae family, such as Brassica juncea (L.) Czern. and Thlaspi caerulescens J. Presl & C. Presl, are known hyperaccumulators of cadmium (Cd) and zinc (Zn). Locally adapted species, including Ambrosia artemisiifolia L. (ragweed), Taraxacum officinale F.H. Wigg. (dandelion), Artemisia vulgaris L. (wormwood), Zea mays L. (corn), and Medicago sativa L. (alfalfa), exhibit tolerance to metal stress and may be effective in phytostabilization applications. Additionally, Helianthus annuus L. (sunflower) has shown the capacity to accumulate selected radionuclides and heavy metals, making it a candidate for broader remediation efforts [58,59].
To assess the feasibility of phytoremediation at the study site, future research should incorporate bioavailability testing (e.g., DTPA or CaCl2 extraction), plant uptake assays, and monitoring of key soil parameters such as pH, cation exchange capacity (CEC), and organic matter (OM). These data will support the selection of appropriate plant species and amendment strategies, and provide a basis for evaluating the long-term effectiveness of phytoremediation under site-specific conditions.

4.4. Strategic Infrastructure Planning as a Long-Term Mitigation Measure

Following the consideration of multiple potential sources of soil contamination—including road traffic, agricultural activity, and urban runoff—the construction of the D1 motorway section Bidovce–Vyšné Nemecké (UA state border) emerges as a viable long-term intervention to reduce environmental pressure on adjacent agricultural land. Although not a direct remediation technique, this infrastructural solution may contribute to the mitigation of heavy metal accumulation in roadside soils by diverting high-intensity traffic away from vulnerable areas.
By alleviating transport congestion across the affected municipalities, the proposed motorway could lead to measurable improvements in air quality and a reduction in pollutant deposition onto agricultural surfaces. In addition to environmental benefits, the project would enhance road safety and reduce accident rates, thereby supporting broader public health and land protection objectives.
Given its strategic nature, the motorway construction should be considered as part of an integrated contamination management framework, complementing site-specific remediation efforts and long-term monitoring programs. Its effectiveness in reducing pollutant input should be evaluated in conjunction with source apportionment studies and stakeholder-informed decision models [60,61].

5. Conclusions

This study confirmed that agricultural soils in the cadastral area of Dargov, Eastern Slovakia, located along the I/19 transport corridor, exhibit elevated concentrations of heavy metals, with several elements (Pb, Cu, Zn, Ni, As, Cd) exceeding regulatory thresholds defined by Slovak Decree No. 59/2013 and relevant EU standards. The highest concentrations were observed in surface layers at short distances from the road, indicating traffic-related emissions as a likely contributor. However, due to the absence of background sampling sites and source differentiation techniques, the influence of other anthropogenic factors—including agricultural activity, urban runoff, and historical land use—cannot be excluded.
The current sampling design, focused on short-range transects (3 m and 6 m from the roadside ditch), provided a preliminary indication of contamination gradients. To enhance future assessments, it is recommended to incorporate extended distance classes (e.g., 0–1–3–6–10–25–50–100 m), replicate sampling across depths and locations, and document GPS coordinates and prevailing wind direction. These measures would improve spatial resolution and support more robust attribution of contamination sources. Future research should include a reference site outside the traffic plume, record GPS coordinates of all sampling points, and document prevailing wind direction. These measures would strengthen spatial inference and allow more robust source attribution beyond near-road contrasts. Additionally, bioavailability testing (e.g., DTPA, CaCl2) and monitoring of soil parameters such as pH, cation exchange capacity (CEC), and organic matter (OM) are essential for evaluating risk and guiding remediation decisions.
Although no remediation techniques were experimentally tested, the study presents a conceptual overview of candidate strategies for future investigation. Liming was identified as a practical short-term intervention for reducing soil acidity and immobilizing metals. Organic composts, including biosolids and animal manure, offer potential for enhancing sorption capacity and nutrient balance, while phytoremediation using locally adapted metal-tolerant species may support long-term ecological recovery. These approaches should be validated under site-specific conditions through field trials and laboratory-scale experiments.
In addition to remediation, strategic infrastructure planning—such as the proposed construction of the D1 motorway section Bidovce–Vyšné Nemecké—may contribute to long-term pollutant reduction by diverting traffic away from vulnerable agricultural zones. While not a direct decontamination measure, such interventions can reduce environmental pressure and improve public health outcomes.
Overall, the Dargov case study highlights the need for integrated soil protection frameworks that combine contamination assessment, preventive infrastructure planning, and sustainable remediation approaches. These findings contribute to the broader understanding of roadside pollution in Central and Eastern Europe and offer a transferable model for regions facing similar environmental pressures.

Supplementary Materials

The following supporting information can be downloaded at: https://www.mdpi.com/article/10.3390/agriculture16010117/s1.

Author Contributions

Each author (I.B., S.K., M.Š., A.Š. and M.B.) equally contributed to this publication. Conceptualization, I.B. and S.K.; methodology, I.B.; software, S.K.; validation, M.Š., A.Š. and M.B.; formal analysis, A.Š.; investigation, M.Š.; resources, I.B.; data curation, S.K. and M.Š.; writing—original draft preparation, I.B. and M.B.; writing—review and editing, I.B. and M.Š.; visualization, S.K.; supervision, I.B.; project administration, S.K. and M.Š.; funding acquisition, S.K., M.Š. and A.Š. All authors have read and agreed to the published version of the manuscript.

Funding

This work is supported by the Scientific Grant Agency of the Ministry of Education, Science, Research, and Sport of the Slovak Republic and the Slovak Academy Sciences as part of the research projects VEGA: 1/0431/25: “Research and development of new methods based on the principles of modelling, logistics and simulation in solving technological and environmental problems with regard to the economic efficiency and safety of raw material extraction”, as part of the research project VEGA 1/0430/22: “Research, development and concept creation of new solutions based on TestBed in the context of Industry 4.0 to streamline production and logistics for Mining 4.0” and VEGA 1/0674/24: “Application of circular economy principles to the creation of circle business models in the construction, transport, mining, water and waste management sectors in Slovakia”.

Institutional Review Board Statement

Not applicable.

Data Availability Statement

The data presented in this article are available on request from the corresponding author.

Acknowledgments

The authors would like to thank the anonymous referees for their valuable comments that improved the quality of the manuscript.

Conflicts of Interest

The authors declare no conflicts of interest.

References

  1. Almeaiweed, N.H.; Aloud, S.S.; Alotaibi, K.D.; Al Watban, M.A.; Alrobaish, W.S.; Alorf, M.S. Sustainable Management Approaches to Heavy Metal Pollution in Arid Soils Using Soil Amendments and Plant-Based Remediation. Sustainability 2025, 17, 7558. [Google Scholar] [CrossRef]
  2. Saleem, M.; Pierce, D.; Wang, Y.; Sens, D.A.; Somji, S.; Garrett, S.H. Heavy Metal(oid)s Contamination and Potential Ecological Risk Assessment in Agricultural Soils. J. Xenobiot. 2024, 14, 634–650. [Google Scholar] [CrossRef] [PubMed]
  3. Alengebawy, A.; Abdelkhalek, S.T.; Qureshi, S.R.; Wang, M.Q. Heavy Metals and Pesticides Toxicity in Agricultural Soil and Plants: Ecological Risks and Human Health Implications. Toxics 2021, 9, 42. [Google Scholar] [CrossRef]
  4. Mohamed, H.I.; Ullah, I.; Toor, M.D.; Tanveer, N.A.; Din, M.M.U.; Basit, A.; Sultan, Y.; Muhammad, M.; Rehman, M.U. Heavy Metals Toxicity in Plants: Understanding Mechanisms and Developing Coping Strategies for Remediation. Bioresour. Bioprocess. 2025, 12, 95. [Google Scholar] [CrossRef]
  5. Sahrane, R.; El Kharim, Y.; Bounab, A. Investigating the effects of landscape characteristics on landslide susceptibility and frequency-area distributions: The case of Taounate province, Northern Morocco. Geocarto Int. 2022, 37, 17686–17712. [Google Scholar] [CrossRef]
  6. Gniazdowska, J. Fire wastewaters in Poland and around the world. PRZEMYSŁ Chem. 2024, 1, 42–48. [Google Scholar] [CrossRef]
  7. Badawy, W.M.; El-Agawany, F.I.; Blokhin, M.G.; Mohamed, E.S.; Uzhinskiy, A.; Morsi, T.M. Multivariate and Machine Learning-Based Assessment of Soil Elemental Composition and Pollution Analysis. Environments 2025, 12, 289. [Google Scholar] [CrossRef]
  8. Bartkowiak, A.; Lemanowicz, J.; Rydlewska, M.; Sowiński, P. The Impact of Proximity to Road Traffic on Heavy Metal Accumulation and Enzyme Activity in Urban Soils and Dandelion. Sustainability 2024, 16, 812. [Google Scholar] [CrossRef]
  9. Kumar, M.S.; Sangwan, P.S.; Chandra, M.S.; Bhatt, R.; Gaber, A.; Hossain, A. Assessing Heavy Metal Contamination in Roadside Soils as a Consequence of Motor Vehicle Emissions. Int. J. Environ. Sci. Technol. 2024, 22, 7119–7132. [Google Scholar] [CrossRef]
  10. Sakson, G. Analysis of suspended solids emissions from a combined sewage system using the Stormwater Management Model (SWMM). Geol. Geophys. Environ. 2023, 49, 389–399. [Google Scholar] [CrossRef]
  11. Blind, F.; Fränzle, S. Biomining of ‘Heavy’ Metals and Lanthanides from Red Mud of a Former Lignite Mines by Sorption on Chitin. Polysaccharides 2024, 5, 158–168. [Google Scholar] [CrossRef]
  12. Szili-Kovács, T.; Takács, T. Microbial Biomass and Rhizosphere Soil Properties in Response to Heavy Metal-Contaminated Flooding. Agriculture 2024, 14, 756. [Google Scholar] [CrossRef]
  13. Pietruszewski, W.; Podlasek, A. Multi-Indicator Assessment of Heavy Metals Contamination and Ecological Risk Around the Landfills of the Boruta Zgierz Dye Industry Plant in Central Poland. Sustainability 2025, 17, 5425. [Google Scholar] [CrossRef]
  14. Gruszka, D.; Gruss, I.; Szopka, K. Assessing Environmental Risks of Local Contamination of Garden Urban Soils with Heavy Metals Using Ecotoxicological Tests. Toxics 2024, 12, 873. [Google Scholar] [CrossRef]
  15. Feszterová, M.; Kowalska, M.; Hudec, M. Assessing the Impact of Soil Humic Substances, Textural Fractions on the Sorption of Heavy Metals (Cd, Pb). Appl. Sci. 2024, 14, 2806. [Google Scholar] [CrossRef]
  16. Kuklová, M.; Kukla, J.; Hniličková, H.; Hnilička, F.; Pivková, I. Impact of Car Traffic on Metal Accumulation in Soils and Plants Growing Close to a Motorway (Eastern Slovakia). Toxics 2022, 10, 183. [Google Scholar] [CrossRef] [PubMed]
  17. Pivková, I.; Kukla, J.; Hniličková, H.; Hnilička, F.; Krupová, D.; Kuklová, M. Content of Cadmium and Nickel in Soils and Assimilatory Organs of Park Woody Species Exposed to Polluted Air. Life 2022, 12, 2033. [Google Scholar] [CrossRef]
  18. Fazekašová, D.; Petrovič, F.; Fazekaš, J.; Štofejová, L.; Baláž, I.; Tulis, F.; Tóth, T. Soil Contamination in the Problem Areas of Agrarian Slovakia. Land 2021, 10, 1248. [Google Scholar] [CrossRef]
  19. Mihaliková, E.; Taušová, M.; Čulková, K. Public Expenses and Investment in Environmental Protection and Its Impact on Waste Management. Sustainability 2022, 14, 5270. [Google Scholar] [CrossRef]
  20. Rybárová, J.; Gabániová, Ľ.; Bednárová, L.; Rybár, R.; Beer, M. Strengthening the Mitigation of Climate Change Impacts in Slovakia through the Disaggregation of Cultural Landscapes. Processes 2022, 10, 658. [Google Scholar] [CrossRef]
  21. Wang, J.; Dong, C.; Sun, S.; Mu, L.; Zhang, N.; Bao, L. Characteristics and Correlation Analysis of the Spatial Distribution of Heavy Metals in Arable Soils with Different Soil-Forming Matrices. Sustainability 2024, 16, 10338. [Google Scholar] [CrossRef]
  22. Ene, A.; Moraru, S.S.; Moraru, D.I.; Pantelica, A.; Gosav, S.; Ceoromila, A.M. Major and Trace Element Accumulation in Soils and Crops (Wheat, Corn, Sunflower) around Steel Industry in the Lower Danube Basin and Associated Ecological and Health Risks. Appl. Sci. 2024, 14, 5616. [Google Scholar] [CrossRef]
  23. Yang, D.; Yang, Y.; Hua, Y. Source Analysis Based on the Positive Matrix Factorization Models and Risk Assessment of Heavy Metals in Agricultural Soil. Sustainability 2023, 15, 13225. [Google Scholar] [CrossRef]
  24. Zgorelec, Ž.; Zubčić, L.; Žužul, S.; Kljaković-Gašpić, Z.; Trkmić, M.; Galić, M.; Hrelja, I.; Špehar Ćosić, A.; Perčin, A.; Bilandžija, N. High Cadmium and Mercury Soil Contamination Outweighs the Effect of Soil Amendments When Growing Miscanthus x giganteus. Appl. Sci. 2025, 15, 9075. [Google Scholar] [CrossRef]
  25. Madjar, R.M.; Vasile Scăețeanu, G. An Overview of Heavy Metal Contamination in Water from Agriculture: Origins, Monitoring, Risks, and Control Measures. Sustainability 2025, 17, 7368. [Google Scholar] [CrossRef]
  26. Wrona, P.; Różański, Z.; Pach, G.; Niewiadomski, A.P.; Veiga, J.P. Historical Outline of Iron Mining and Production in the Area of Present-Day Poland. Minerals 2021, 11, 1136. [Google Scholar] [CrossRef]
  27. Zhao, X.; Lei, M.; Gu, R. Knowledge Mapping of the Phytoremediation of Cadmium-Contaminated Soil: A Bibliometric Analysis from 1994 to 2021. Int. J. Environ. Res. Public Health 2022, 19, 6987. [Google Scholar] [CrossRef]
  28. Kang, J.; Liu, X.; Dai, B.; Liu, T.; Haider, F.U.; Zhang, P.; Habiba; Cai, J. Tyre Wear Particles in the Environment: Sources, Toxicity, and Remediation Approaches. Sustainability 2025, 17, 5433. [Google Scholar] [CrossRef]
  29. Jin, M.; Tang, M.; Liu, J.; Zhang, J.; Xiao, R. Multi-Index Assessment of Heavy Metal Contamination and Ecological Risks in Paddy Soils Along National Highways in Southern Henan Province, China. Agronomy 2025, 15, 1348. [Google Scholar] [CrossRef]
  30. Skorbiłowicz, M.; Skorbiłowicz, E.; Rogowska, W. Heavy Metal Concentrations in Roadside Soils on the Białystok-Budzisko Route in Northeastern Poland. Minerals 2021, 11, 1290. [Google Scholar] [CrossRef]
  31. Šimková, Z.; Bednárová, L. Development of road infrastructure in the Slovak Republic. In Proceedings of the 2022 New Trends in Aviation Development (NTAD), Novy Smokovec, Slovakia, 24–25 November 2022; pp. 185–189. [Google Scholar] [CrossRef]
  32. Poliak, M.; Čulík, K.; Huláková, M.; Kováč, E. Economic Evaluation of Vehicle Operation in Road Freight Transport—Case Study of Slovakia. World Electr. Veh. J. 2025, 16, 409. [Google Scholar] [CrossRef]
  33. Sventeková, E.; Prievozník, P.; Sibila, M.; Boroš, M. Road Junction Throughput Testing in Transport Logistics—Slovak Case Study. Sustainability 2024, 16, 6249. [Google Scholar] [CrossRef]
  34. STN 73 6110; Slovak Technical Standard. Design of Urban Roads. Slovenian Institute for Standardization—SIST: Bratislava, Slovakia, 2024.
  35. Šarkan, B.; Gnap, J.; Loman, M.; Harantová, V. Examining the Amount of Particulate Matter (PM) Emissions in Urban Areas. Appl. Sci. 2023, 13, 1845. [Google Scholar] [CrossRef]
  36. National Transport Census in 2022 and 2023. Results of the National Transport Census. Available online: https://www.ssc.sk/sk/cinnosti/rozvoj-cestnej-siete/dopravne-inzinierstvo/celostatne-scitanie-dopravy-v-roku-2022-a-2023.ssc (accessed on 21 August 2025).
  37. State Geological Institute of Dionýz Štúr (ŠGÚDŠ). Geochemical Atlas of Slovakia. Map Portal, Bratislava, Slovakia. Available online: https://www.geology.sk/geoinfoportal/mapovy-portal/atlasy/geochemicky-atlas-slovenska/ (accessed on 14 December 2025).
  38. Räty, M.; Keskinen, R.; Yli-Halla, M.; Hyvönen, J.; Soinne, H. Estimating Cation Exchange Capacity and Clay Content from Agricultural Soil Testing Data. Agric. Food Sci. 2022, 31, 189–200. [Google Scholar] [CrossRef]
  39. Wan, Y.; Liu, J.; Zhuang, Z.; Wang, Q.; Li, H. Heavy Metals in Agricultural Soils: Sources, Influencing Factors, and Remediation Strategies. Toxics 2024, 12, 63. [Google Scholar] [CrossRef]
  40. X-Ray Fluorescence Spectrometer SPECTRO XEPOS P. Available online: https://www.uochb.cz/en/ (accessed on 24 August 2025).
  41. Decree of Ministry of Agriculture of the Slovak Republic No. 59/2013 Coll., as Amended, Amending and Supplementing Decree of the Ministry of Agriculture of the Slovak Republic No. 508/2004 Coll., Implementing Section 27 of Act No. 220/2004 Coll. on the Protection and Use of Agricultural Land and Amending Act No. 245/2003 Coll. on Integrated Prevention and Control of Environmental Pollution and Amending and Supplementing Certain Acts. Available online: https://www.epi.sk/zz/2013-59 (accessed on 24 August 2025).
  42. Chafik, Y.; Sena-Velez, M.; Henaut, H.; Missbah El Idrissi, M.; Carpin, S.; Bourgerie, S.; Morabito, D. Synergistic Effects of Compost and Biochar on Soil Health and Heavy Metal Stabilization in Contaminated Mine Soils. Agronomy 2023, 15, 1295. [Google Scholar] [CrossRef]
  43. Giro-Paloma, J.; Formosa, J.; Chimenos, J.M. Stabilization Study of a Contaminated Soil with Metal(loid)s Adding Different Low-Grade MgO Degrees. Sustainability 2020, 12, 7340. [Google Scholar] [CrossRef]
  44. Malcheva, B.Z.; Petrov, P.G.; Stefanova, V.V. Microbiological Control in Decontamination of Sludge from Wastewater Treatment Plant. Processes 2022, 10, 406. [Google Scholar] [CrossRef]
  45. Hongbiao, C.; Zhao, Y.; Hu, K.; Xia, R.; Zhou, J.; Zhou, J. Impacts of atmospheric deposition on the heavy metal mobilization and bioavailability in soils amended by lime. Sci. Total Environ. 2024, 914, 170082. [Google Scholar] [CrossRef]
  46. Cucina, M.; Tacconi, C. Recovery of Energy and Nutrients from Mycotoxin-Contaminated Food Products through Biological Treatments in a Circular Economy Perspective: A Review. Agronomy 2022, 12, 3198. [Google Scholar] [CrossRef]
  47. Sayara, T.; Sánchez, A. Bioremediation of PAH-Contaminated Soils: Process Enhancement through Composting/Compost. Appl. Sci. 2020, 10, 3684. [Google Scholar] [CrossRef]
  48. Wyszkowski, M.; Kordala, N. Geochemical Behaviour of Trace Elements in Diesel Oil-Contaminated Soil During Remediation Assisted by Mineral and Organic Sorbents. Appl. Sci. 2025, 15, 8650. [Google Scholar] [CrossRef]
  49. Hadibarata, T.; Syafrudin, M.; Fitriyani, N.L.; Lee, S.W. Advancements in Composting Technologies for Efficient Soil Remediation of Polycyclic Aromatic Hydrocarbons (PAHs): A Mini Review. Sustainability 2025, 17, 5881. [Google Scholar] [CrossRef]
  50. Wyszkowska, J.; Mikulski, D.; Borowik, A.; Zaborowska, M.; Kucharski, J.; Kozłowski, K.; Bilecka, M.; Gajda, A.; Pietruk, K.; Jedziniak, P.; et al. The Effect of Fertilization with Antibiotic-Contaminated Manure on Microbial Processes in Soil. Agriculture 2025, 15, 979. [Google Scholar] [CrossRef]
  51. Antonious, G.F. Duality of Biochar and Organic Manure Co-Composting on Soil Heavy Metals and Enzymes Activity. Appl. Sci. 2025, 15, 3031. [Google Scholar] [CrossRef]
  52. Quilez, D.; Guillén, M.; Vallés, M.; Daudén, A.; Moreno-García, B. New Insights into Fertilisation with Animal Manure for Annual Double-Cropping Systems in Nitrate-Vulnerable Zones of Northeastern Spain. Agronomy 2025, 15, 142. [Google Scholar] [CrossRef]
  53. Ruwanpathirana, P.; Gunawardana, I.; Navodya, H.; Herath, A.C.; Perera, D.; Ekanayake, M.S. Multifaceted Pollutant Removal by Salicornia brachiata: A Phytoremediation Approach. Plants 2025, 14, 1963. [Google Scholar] [CrossRef]
  54. Drzewiecka, K.; Kaźmierczak, Z.; Woźniak, M.; Rybak, M. The Effect of Salinity on Heavy Metal Tolerance in Two Energy Willow Varieties. Plants 2025, 14, 1747. [Google Scholar] [CrossRef]
  55. Martins, A.S.D.; Huarancca Reyes, T.; Guglielminetti, L.; Damiani, C.R. Screening of In Vitro Heavy Metal Tolerance in Tocoyena brasiliensis Mart. (Rubiaceae). Plants 2025, 14, 1331. [Google Scholar] [CrossRef] [PubMed]
  56. Carvalho, F.E.L.; Montenegro, A.C.; Escobar-Pachajoa, L.D.; Rojas-Molina, J.; Camacho-Diaz, J.E.; Rengifo-Estrada, G.A. Phytoextraction and Cd Allocation to the Stem of Woody Species Used in Cacao Agroforestry. Plants 2025, 14, 1101. [Google Scholar] [CrossRef] [PubMed]
  57. Cao, X.; Dong, Q.; Mao, L.; Yang, X.; Wang, X.; Zou, Q. Enhanced Phytoextraction Technologies for the Sustainable Remediation of Cadmium-Contaminated Soil Based on Hyperaccumulators—A Review. Plants 2025, 14, 115. [Google Scholar] [CrossRef] [PubMed]
  58. Nduwayo, P.; Schaffner, U.; Tarigan, S.I.; Dorner, Z.; Kiss, J.; Desneux, N.; Lesieur, V.; Rousset, Z.; Müller-Schärer, H.; Toepfer, S. Risk Assessment Approaches for Ophraella communa as a Biological Control Agent for Ambrosia artemisiifolia in Agricultural Landscapes of Southeastern Central Europe: A Review. Agronomy 2025, 15, 1771. [Google Scholar] [CrossRef]
  59. Knolmajer, B.; Jócsák, I.; Taller, J.; Keszthelyi, S.; Kazinczi, G. Common Ragweed—Ambrosia artemisiifolia L.: A Review with Special Regards to the Latest Results in Protection Methods, Herbicide Resistance, New Tools and Methods. Agronomy 2025, 15, 1765. [Google Scholar] [CrossRef]
  60. Gasparatos, D. Soil Contamination by Heavy Metals and Metalloids. Environments 2022, 9, 32. [Google Scholar] [CrossRef]
  61. Chakraborty, S.; Kumar, A.; Singh, R.; Singh, A.K. Remediation of Heavy Metal Contaminated Soil Using Biochar: A Sustainable Approach. Sustainability 2023, 15, 12345. [Google Scholar]
Disclaimer/Publisher’s Note: The statements, opinions and data contained in all publications are solely those of the individual author(s) and contributor(s) and not of MDPI and/or the editor(s). MDPI and/or the editor(s) disclaim responsibility for any injury to people or property resulting from any ideas, methods, instructions or products referred to in the content.

Article Metrics

Citations

Article Access Statistics

Article metric data becomes available approximately 24 hours after publication online.