Multidimensional Drought Relationships in the Yangtze River Basin: Causality, Propagation Thresholds, and Drought Resistance Capacity
Abstract
1. Introduction
2. Materials and Methods
2.1. Study Area
2.2. Data Sources
2.3. Methods
2.3.1. Drought Index and Drought Characteristics
2.3.2. Pearson Correlation Coefficient and Convergent Cross-Mapping
2.3.3. Drought Propagation and Resistance Capacity
3. Results
3.1. Spatiotemporal Characteristics of Different Drought Types
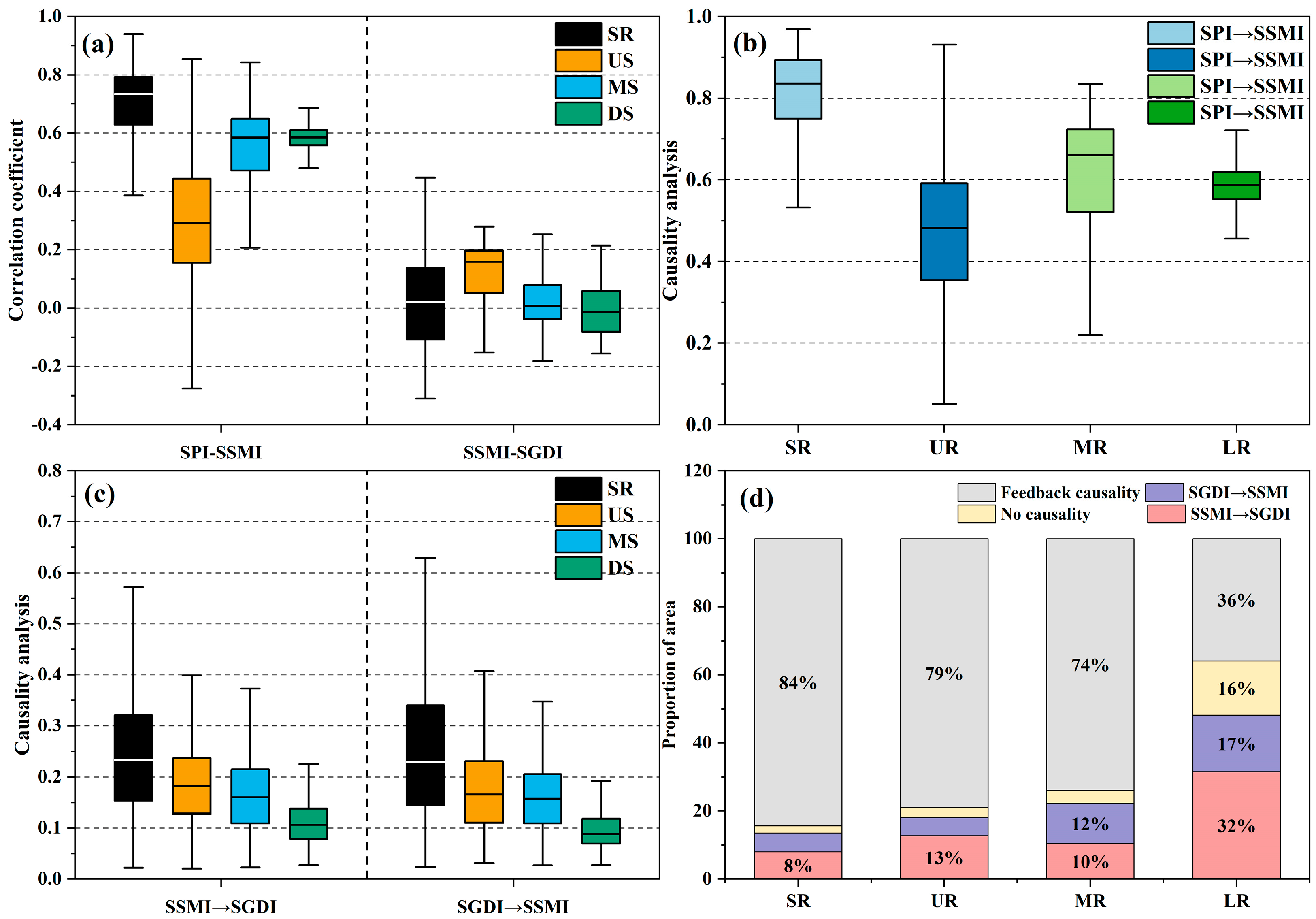
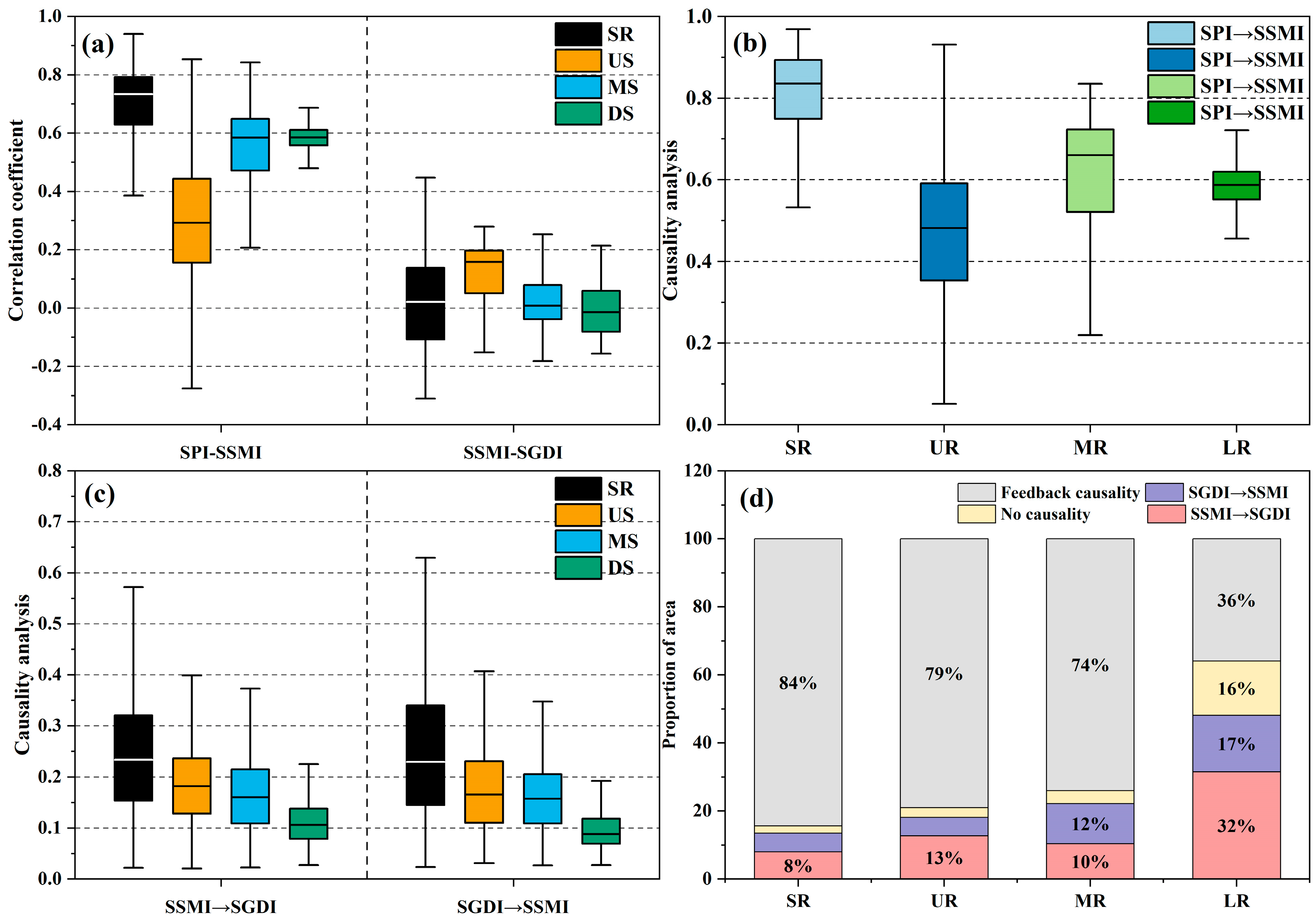
3.2. Relationships Between Different Drought Types
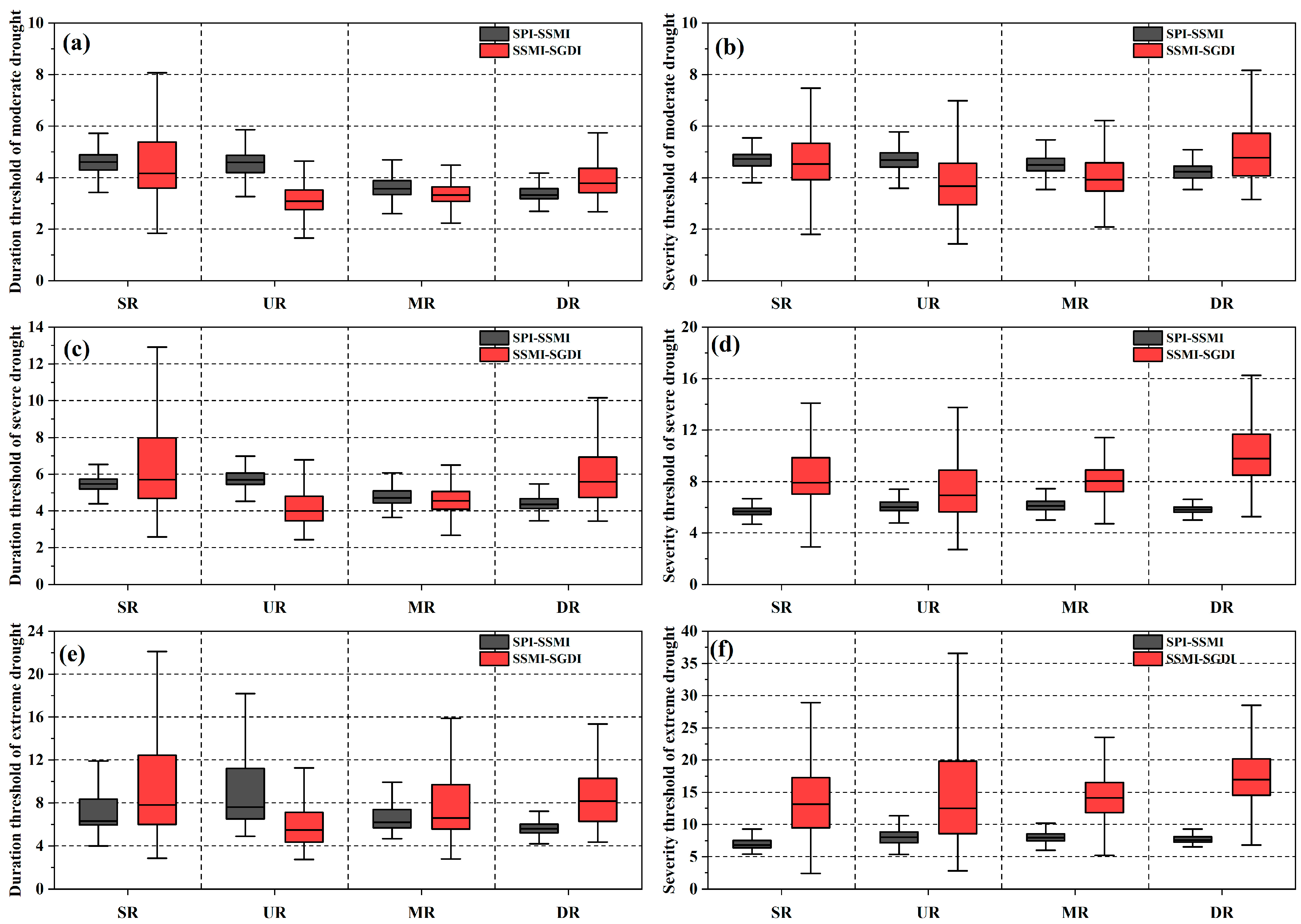
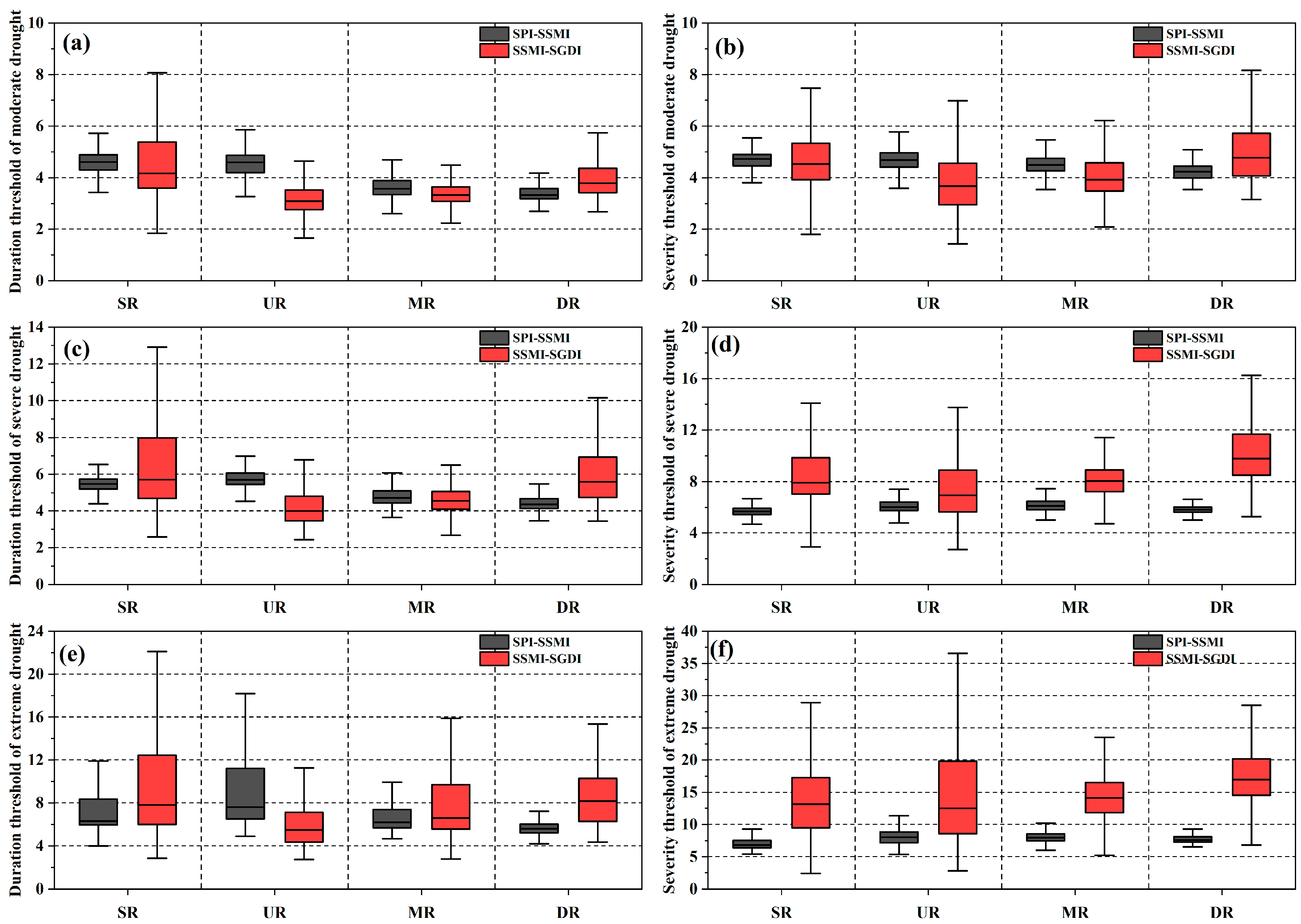
3.3. Drought Propagation Thresholds Among Different Drought Types
3.4. Changes in the Drought Resistance Capacity
4. Discussion
4.1. Comparison of the Correlations and Causal Relationships
4.2. Factors Influencing the Characteristics of Drought Propagation
4.3. Limitations and Perspectives
5. Conclusions
- (1)
- With respect to MD, the drought duration in the SR of the YRB is relatively long, and the drought severity in the MR and DR is relatively high. With respect to AD, the duration and severity in the northwestern part of the SR are relatively large, while the severity in the central part of the UR is also relatively large. With respect to GD, the duration and severity in the northwestern part of the SR are relatively high, whereas those in the DR are relatively low.
- (2)
- In the different regions, the correlation between MD and AD, as well as the unidirectional causal relationship of MD → AD, is highest in the SR, relatively high in the MR and DR, and lowest in the UR. The correlation and causality between AD and GD are relatively high in the UR and relatively low in the MR and DR. However, in the SR, the correlation results are lower than those in the UR, but the degree of causality is greater than that in the UR.
- (3)
- The soil water and groundwater systems in the YRB exhibit greater DRC in the SR and UR and lower DRC in the MR and DR. The soil moisture system’s DRC in the YRB slightly decreases in response to MD, requiring increased attention to drought prevention in the SR and UR. The groundwater system should be monitored closely to prevent the occurrence of severe GD events.
Author Contributions
Funding
Data Availability Statement
Acknowledgments
Conflicts of Interest
References
- Wang, X.J.; Zhang, J.Y.; Tong, X.W.; Shamsuddin, S.; He, R.M.; Xia, X.H. Mechanism and comprehensive countermeasure for drought management from the view of catastrophe theory. Nat. Hazards 2014, 71, 823–835. [Google Scholar] [CrossRef]
- Berghuijs, W.R.; Collenteur, R.A.; Jasechko, S.; Jaramillo, F.; Luijendijk, E.; Moeck, C.; Ype, V.D.V.; Allen, S.T. Groundwater recharge is sensitive to changing long-term aridity. Nat. Clim. Change 2024, 14, 357–363. [Google Scholar] [CrossRef]
- Zheng, Y.; Liu, X.H.; Jiao, W.Z.; Zhao, L.J.; Zeng, X.M.; Xing, X.Y.; Zhang, L.N.; Hong, Y.X.; Lu, Q.Q. A new multi-variable integrated framework for identifying flash drought in the Loess Plateau and Qinling Mountains regions of China. Agric. Water Manag. 2022, 265, 107544. [Google Scholar] [CrossRef]
- Zarei, A.R. Spatiotemporal evaluation and prediction of drought susceptibility. Environ. Dev. Sustain. 2025. [Google Scholar] [CrossRef]
- Zhou, Z.Q.; Wang, P.; Li, L.Q.; Fu, Q.; Ding, Y.B.; Chen, P.; Xue, P.; Wang, T.; Shi, H.Y. Recent development on drought propagation: A comprehensive review. J. Hydrol. 2024, 645, 132196. [Google Scholar] [CrossRef]
- Zhang, X.; Hao, Z.C.; Singh, V.P.; Zhang, Y.; Feng, S.F.; Xu, Y.; Hao, F.H. Drought propagation under global warming: Characteristics, approaches, processes, and controlling factors. Sci. Total Environ. 2022, 838, 156021. [Google Scholar] [CrossRef]
- Shi, M.Q.; Yuan, Z.; Shi, X.L.; Li, M.X.; Chen, F.; Li, Y. Drought assessment of terrestrial ecosystems in the YRB, China. J. Clean. Prod. 2022, 362, 132234. [Google Scholar] [CrossRef]
- Zhang, Y.; Hu, X.; Zhang, Z.X.; Kong, R.; Peng, Z.H.; Zhang, Q.; Chen, X. The increasing risk of future simultaneous droughts over the YRB based on CMIP6 models. Stoch. Environ. Res. Risk Assess. 2023, 37, 2577–2601. [Google Scholar] [CrossRef]
- Yang, Y.H.; Weng, B.S.; Bi, W.X.; Xu, T.; Yang, D.M.; Ma, J. Climate Change Impacts on Drought-Flood Abrupt Alternation and Water Quality in the Hetao Area, China. Water 2019, 11, 652. [Google Scholar] [CrossRef]
- Qin, P.C.; Xu, H.M.; Liu, M.; Du, L.M.; Xiao, C.; Liu, L.L.; Tarroja, B. Climate change impacts on Three Gorges Reservoir impoundment and hydropower generation. J. Hydrol. 2020, 580, 123922. [Google Scholar] [CrossRef]
- Liang, H.X.; Zhang, D.; Wang, W.S.; Yu, S.Y.; Nimai, S. Evaluating future water security in the upper YRB under a changing environment. Sci. Total Environ. 2023, 889, 164101. [Google Scholar] [CrossRef]
- Meng, H.Y.; Qian, L.; Duan, K. Evaluating the impacts of flooding on crop yields by different meteorological indices: A regional case study in the middle-lower reach of the Yangtze River, China. Ecol. Indic. 2024, 162, 112068. [Google Scholar] [CrossRef]
- Han, Z.M.; Huang, S.Z.; Zhao, J.; Leng, G.Y.; Huang, Q.; Zhang, H.B.; Li, Z. Long-chain propagation pathways from mete-orological to hydrological, agricultural and groundwater drought and their dynamics in China. J. Hydrol. 2023, 625, 130131. [Google Scholar] [CrossRef]
- Dong, S.Q.; Li, L.Q.; Zhou, Z.Q.; Fu, Q.; Li, M.; Xue, P. Groundwater drought propagation and the drought resistance capacity in different climatic regions of China. Agric. Water Manag. 2025, 312, 109425. [Google Scholar] [CrossRef]
- Ding, Y.B.; Xu, J.T.; Wang, X.W.; Cai, H.J.; Zhou, Z.Q.; Sun, Y.N.; Shi, H.Y. Propagation of meteorological to hydrological drought for different climate regions in China. J. Environ. Manag. 2021, 283, 111980. [Google Scholar] [CrossRef]
- Shi, H.Y.; Zhou, Z.Q.; Liu, L.; Liu, S.N. A global perspective on propagation from meteorological drought to hydrological drought during 1902–2014. Atmos. Res. 2022, 280, 106441. [Google Scholar] [CrossRef]
- Wan, F.; Han, W.H.; Long, Q.B.; Wang, W.J.; Wang, G.Q.; Zhang, F. Study on the evolution law and stage response relationship between meteorological elements and hydrological drought in Xiangtan area. Front. Environ. Sci. 2023, 11, 1327622. [Google Scholar] [CrossRef]
- Zhou, Z.Q.; Ding, Y.B.; Zhao, Y.Y.; Chen, P.; Fu, Q.; Xue, P.; Liu, S.N.; Huang, S.Z.; Shi, H.Y. A new perspective for assessing hydro-meteorological drought relationships at large scale based on causality analysis. Environ. Res. Lett. 2023, 18, 104046. [Google Scholar] [CrossRef]
- Zhao, Y.Y.; Zhou, Z.Q.; Cao, Z.D.; Zou, Y.G.; Wang, Y. Capturing information about the nonlinear impact between droughts and vegetation dynamics based on nonlinear dynamical system theory. J. Hydrol. 2024, 643, 132011. [Google Scholar] [CrossRef]
- Dong, Q.; Chen, K.; Deng, W.; Zhang, H.; Zhang, J. Analysis of propagation thresholds and impact mechanisms from meteor-ological drought to hydrological drought in the middle and upper reaches of the Han River Basin, China. Environ. Monit. Assess. 2025, 197, 633. [Google Scholar] [CrossRef]
- Bhardwaj, K.; Shah, D.; Aadhar, S.; Mishra, V. Propagation of Meteorological to Hydrological Droughts in India. J. Geophys. Res. Atmos. 2020, 125, e2020JD033455. [Google Scholar] [CrossRef]
- Bai, M.; Li, Z.L.; Huo, P.Y.; Wang, J.W.; Li, Z.J. Propagation characteristics from meteorological drought to agricultural drought over the Heihe River Basin, Northwest China. J. Arid. Land 2023, 15, 523–544. [Google Scholar] [CrossRef]
- Wang, T.; Tu, X.J.; Singh, V.P.; Chen, X.H.; Lin, K.R.; Zhou, Z.L.; Zhu, J.L. A CMIP6-based framework for propagation from meteorological and hydrological droughts to socioeconomic drought. J. Hydrol. 2023, 623, 128782. [Google Scholar] [CrossRef]
- Liu, X.; Yue, F.; Li, L.; Zhou, F.; Wen, H.; Yan, Z.; Wang, L.; Wong, W.W.; Liu, C.; Li, S. Chronic nitrogen legacy in the aquifers of China. Commun. Earth Environ. 2025, 6, 58. [Google Scholar] [CrossRef]
- Zhou, Z.Q.; Shi, H.Y.; Fu, Q.; Ding, Y.B.; Li, T.X.; Liu, S.N. Investigating the propagation from meteorological to hydrological drought by introducing the nonlinear dependence with directed information transfer index. Water Resour. Res. 2021, 57, e2021WR030028. [Google Scholar] [CrossRef]
- Zhang, R.Q.; Lu, L.; Ye, Z.; Huang, F.N.; Li, J.D.; Wei, L.; Mao, T.N.; Xiong, Z.L.; Wei, S.G. Assessment of Agricultural Drought Using Soil Water Deficit Index Based on ERA5-Land Soil Moisture Data in Four Southern Provinces of China. Agriculture 2021, 11, 411. [Google Scholar] [CrossRef]
- Shah, J.G.; Kumar, R.; Samaniego, L.; Markonis, Y.; Hanel, M.; Attinger, S.; Hari, V.; Rakovecc, O. On the role of antecedent meteorological conditions on flash drought initialization in Europe. Environ. Res. Lett. 2023, 18, 064039. [Google Scholar] [CrossRef]
- Ding, Y.B.; Lu, Z.H.; Wu, L.L.; Zhou, Z.Q.; Ao, T.Q.; Xu, J.T.; Wei, R.J. Evaluating the spatiotemporal dynamics of driving factors for multiple drought types in different climate regions of China. J. Hydrol. 2024, 640, 131710. [Google Scholar] [CrossRef]
- Liu, Y.; Shan, F.Z.; Yue, H.; Wang, X.; Fan, Y.H. Global analysis of the correlation and propagation among meteorological, agricultural, surface water, and groundwater droughts. J. Environ. Manag. 2023, 333, 117460. [Google Scholar] [CrossRef]
- Li, F.; Kusche, J.; Chao, N.; Wang, Z.; Löcher, A. Long-Term (1979–Present) Total Water Storage Anomalies Over the Global Land Derived by Reconstructing GRACE Data. Geophys. Res. Lett. 2021, 48, e2021GL093492. [Google Scholar] [CrossRef]
- McKee, T.B.; Doesken, N.J.; Kleist, J. The relationship of drought frequency and duration to time scales. In Proceedings of the 8th Conference on Applied Climatology, Anaheim, CA, USA, 17–22 January 1993; pp. 179–184. [Google Scholar]
- Wu, J.F.; Chen, X.H.; Yao, H.X.; Zhang, D.J. Multi-timescale assessment of propagation thresholds from meteorological to hydrological drought. Sci. Total Environ. 2021, 765, 144232. [Google Scholar] [CrossRef]
- Shi, H.Y.; Zhao, Y.Y.; Liu, S.N.; Cai, H.J.; Zhou, Z.Q. A New Perspective on Drought Propagation: Causality. Geophys. Res. Lett. 2022, 49, e2021GL096758. [Google Scholar] [CrossRef]
- Zhou, Z.Q.; Xue, P.; Zhou, X.; Wang, T.; Ding, Y.B.; Zhao, Y.Y.; Chen, P.; Wang, X.W. Assessing the soil moisture-vegetation mutual feedback relationship in different climatic regions of mainland China. Catena 2025, 249, 108684. [Google Scholar] [CrossRef]
- Wei, X.T.; Huang, S.Z.; Li, J.F.; Huang, Q.; Leng, G.Y.; Guo, W.W.; Zheng, X.D.; Bai, Q.J. The negative-positive feedback transition thresholds of meteorological drought in response to agricultural drought and their dynamics. Sci. Total Environ. 2024, 906, 167817. [Google Scholar] [CrossRef] [PubMed]
- Wei, X.T.; Huang, S.Z.; Huang, Q.; Zheng, X.D.; Su, X.L.; Leng, G.Y.; Li, Z.Y.; Guo, Y.; Fang, W.; Liu, Y.J. Propagation characteristics and mechanism from meteorological to agricultural drought in various seasons. J. Hydrol. 2022, 610, 127897. [Google Scholar] [CrossRef]
- Towler, E.; Lazrus, H.; PaiMazumder, D. Characterizing the potential for drought action from combined hydrological and societal perspectives. Hydrol. Earth Syst. Sci. 2019, 23, 1469–1482. [Google Scholar] [CrossRef]
- Lai, Y.; Li, J.; Lee, T.C.; Tse, W.P.; Chan, F.K.S.; Chen, Y.D.; Gu, X. A 131-year evidence of more extreme and higher total amount of hourly precipitation in Hong Kong. Environ. Res. Lett. 2024, 19, 034008. [Google Scholar] [CrossRef]
- Luo, D.; Yang, X.L.; Xie, L.F.; Ye, Z.B.; Ren, L.L.; Zhang, L.Y.; Wu, F.; Jiao, D.L. Propagation characteristics of meteorological drought to hydrological drought in China. J. Hydrol. 2025, 656, 133023. [Google Scholar] [CrossRef]
- Su, T.; Miao, C.; Duan, Q.; Gou, J.; Guo, X.; Zhao, X. Hydrological response to climate change and human activities in the Three-River Source Region. Hydrol. Earth Syst. Sci. 2023, 27, 1477–1492. [Google Scholar] [CrossRef]
- Yang, B.; Duan, Y.H.; Zhao, J.Y.; Tan, C.H.; Gesang, J.M.; Chen, L.; Zhao, Y.G.; Zhang, X.X. Response of soil hydrothermal processes within the active layer to variable alpine vegetation in the Yangtze River Source Area, Qinghai-Tibet plateau. J. Hydrol. Reg. Stud. 2024, 54, 101850. [Google Scholar] [CrossRef]
- Qiu, J.X.; Gao, Q.Z.; Wang, S.; Su, Z.R. Comparison of temporal trends from multiple soil moisture data sets and precipitation: The implication of irrigation on regional soil moisture trend. Int. J. Appl. Earth Obs. Geoinf. 2016, 48, 17–27. [Google Scholar] [CrossRef]
- Wang, C.Y.; Liu, M.H.; Han, Y.P.; Chen, S.; Zhang, F.F.; Qiu, R.J.; Wu, D.F.; Zhang, G.C.; Wang, F.Q.; Liu, J.G. Assessing the impacts of irrigation and soil types on the water balance and groundwater depletion in an irrigation district of the North China Plain based on a coupled SWAT-MODFLOW model. Agric. Water Manag. 2025, 321, 109890. [Google Scholar] [CrossRef]
- Zhang, F.W.; Li, H.Q.; Li, Y.K.; Guo, X.W.; Dai, L.C.; Lin, L.; Cao, G.M.; Li, Y.N.; Zhou, H.K. Strong seasonal connectivity between shallow groundwater and soil frost in a humid alpine meadow, northeastern Qinghai-Tibetan Plateau. J. Hydrol. 2019, 574, 926–935. [Google Scholar] [CrossRef]
- Guo, Y.L.; Huang, F.; Sun, P.A.; Zhang, C.; Xiao, Q.; Wen, Z.; Yang, H. Hydrogeological Functioning of a Karst Underground River Basin in Southwest China. Groundwater 2023, 61, 895–913. [Google Scholar] [CrossRef] [PubMed]
- Li, Z.X.; Gui, J.; Cui, Q.; Xue, J.; Du, F.; Si, L.P. Soil water sources and their implications for vegetation restoration in the Three-Rivers Headwater Region during different ablation periods. Catena 2024, 28, 719–734. [Google Scholar] [CrossRef]
- Xie, W.P.; Yang, J.S. Assessment of Soil Water Content in Field with Antecedent Precipitation Index and Groundwater Depth in the Yangtze River Estuary. J. Integr. Agric. 2013, 12, 711–722. [Google Scholar] [CrossRef]
- Qiao, W.Y.; Hu, B.; Kattel, G.R.; Liu, J. Impact of urbanization on net carbon sink efficiency in economically developed area: A case study of the Yangtze River Delta urban agglomeration, China. Ecol. Indic. 2023, 157, 111211. [Google Scholar] [CrossRef]
- Shi, B.; Zhang, C.C.; Feng, K.; Shi, S.G.; Wei, G.Q.; Hoitink, A.J.F. Soil Stratum Tides. Geophys. Res. Lett. 2023, 50, e2022GL101621. [Google Scholar] [CrossRef]
- Yang, L.H.; Zeng, S.D.; Xia, J.; Wang, Y.L.; Huang, R.Y.; Chen, M.H. Effects of the Three Gorges Dam on the downstream streamflow based on a large-scale hydrological and hydrodynamics coupled model. J. Hydrol. Reg. Stud. 2022, 40, 101039. [Google Scholar] [CrossRef]
- Dai, Z.J.; Du, J.Z.; Li, J.F.; Li, W.H.; Chen, J.Y. Runoff characteristics of the Changjiang River during 2006: Effect of extreme drought and the impounding of the Three Gorges Dam. Geophys. Res. Lett. 2008, 35, L07406. [Google Scholar] [CrossRef]
- Yuan, X.; Wang, J.H.; He, D.M.; Lu, Y.; Sun, J.R.; Li, Y.; Guo, Z.P.; Zhang, K.Y. Influence of cascade reservoir operation in the Upper Mekong River on the general hydrological regime: A combined data-driven modeling approach. J. Environ. Manag. 2022, 324, 116339. [Google Scholar] [CrossRef]
- Xu, Y.Y.; Cheng, X.; Gun, Z. What Drove Regional Changes in the Number and Surface Area of Lakes Across the YRB During 2000–2019: Human or Climatic Factors? Water Resour. Res. 2022, 58, e2021WR030616. [Google Scholar]
- Liu, X.B.; Peng, J.; Liu, Y.X.; Yu, S.Y.; Wang, Y.L. The Three Gorges Dam has weakened the drought propagation process in the YRB. J. Hydrol. 2024, 632, 130875. [Google Scholar] [CrossRef]
- Zhu, Q.; Zhang, H. Groundwater drought characteristics and its influencing factors with corresponding quantitative contribution over the two largest catchments in China. J. Hydrol. 2022, 609, 127759. [Google Scholar] [CrossRef]
- Jiang, Q.; Li, W.Y.; Fan, Z.D.; He, X.G.; Sun, W.W.; Chen, S.; Wen, J.H.; Gao, J.; Wang, J. Evaluation of the ERA5 reanalysis precipitation dataset over Chinese Mainland. J. Hydrol. 2021, 595, 125660. [Google Scholar] [CrossRef]
- Hong, X.; Jia, S.F.; Zhu, W.B.; Song, Z.K. Evaluation of global seamless soil moisture products over China: A perspective of soil moisture sensitivity to precipitation. J. Hydrol. 2024, 641, 131789. [Google Scholar] [CrossRef]
- Amiri, V.; Ali, S.; Sohrabi, N. Estimating the spatio-temporal assessment of GRACE/GRACE-FO derived groundwater storage depletion and validation with in-situ water quality data (Yazd province, central Iran). J. Hydrol. 2023, 620, 129416. [Google Scholar] [CrossRef]
- Van Lanen, H.A.; Wanders, N.; Tallaksen, L.M. Hydrological drought across the world: Impact of climate and physical catchment structure. Hydrol. Earth Syst. Sci. 2013, 17, 1715–1732. [Google Scholar] [CrossRef]
- Li, R.H.; Chen, N.C.; Zhang, X.; Zeng, L.L.; Wang, X.P.; Tang, S.J.; Li, D.R.; Niyogi, D. Quantitative analysis of agricultural drought propagation process in the YRB by using cross wavelet analysis and spatial autocorrelation. Agric. For. Meteorol. 2020, 280, 107809. [Google Scholar] [CrossRef]













| Grade | Causality | Strength |
|---|---|---|
| 1 | [0, 0.2) | Very weak |
| 2 | [0.2, 0.4) | Weak |
| 3 | [0.4, 0.6) | Strong |
| 4 | [0.6, 0.8) | Very strong |
| 5 | [0.8, 1.0] | Extremely strong |
| Type | Professional Names | Abbreviation |
|---|---|---|
| Drought type | Groundwater Drought | GD |
| Meteorological Drought | MD | |
| Agricultural Drought | AD | |
| Drought index | Standardized Precipitation Index | SPI |
| Standardized Soil Moisture Index | SSMI | |
| Standardized Groundwater Drought Index | SGDI | |
| Method | Convergent cross-mapping | CCM |
| Weibull | WBL | |
| Exponential | EXP | |
| Generalized Extreme Value | GEV | |
| Generalized Pareto | GP | |
| Root Mean Square Error | RMSE | |
| Drought Resistance Capacity | DRC | |
| Region | Yangtze River Basin | YRB |
| The source region | SR | |
| The upstream region | UR | |
| The midstream region | MR | |
| The downstream region | DR |
| Drought | Spatial Coverage Percentages of Optimal Marginal Distributions (%) | |||||
|---|---|---|---|---|---|---|
| Gamma | Lognormal | EXP | GP | GEV | WBL | |
| SPI Severity | 5.1 | 49.3 | 0.0 | 6.0 | 0.0 | 39.6 |
| SSMI Severity | 4.0 | 6.9 | 24.4 | 50.0 | 0.0 | 14.7 |
| SGDI Severity | 12.7 | 2.8 | 56.0 | 12.8 | 13.4 | 2.2 |
| SPI Duration | 11.6 | 45.7 | 0.3 | 5.1 | 0.0 | 37.2 |
| SSMI Duration | 8.1 | 59.5 | 0.5 | 2.4 | 3.1 | 26.6 |
| SGDI Duration | 8.8 | 8.0 | 35.2 | 28.7 | 12.1 | 7.2 |
| Drought | Spatial Coverage Percentages of Optimal Copula Functions Distributions (%) | ||||
|---|---|---|---|---|---|
| Clayton | Frank | Gumbel | Gaussian | Student-t | |
| SPI-SSMI severity | 0.0 | 89.6 | 4.4 | 0.0 | 5.9 |
| SSMI-SGDI severity | 2.4 | 72.4 | 13.5 | 0.2 | 11.5 |
| SPI-SSMI duration | 1.3 | 42.5 | 28.8 | 2.4 | 25.0 |
| SSMI-SGDI duration | 2.3 | 65.5 | 21.7 | 0.6 | 9.9 |
| Drought | Method | Clayton | Frank | Gumbel | Gaussian | Student-t | Optimal Function |
|---|---|---|---|---|---|---|---|
| SPI-SSMI severity | AIC | 402.4 | −783.5 | −234.6 | −174.1 | −347.2 | Frank |
| BIC | 404.7 | −785.3 | −235.4 | −173.2 | −342.2 | ||
| SSMI-SGDI severity | AIC | 262.3 | −202.0 | −180.2 | 274.2 | 488.4 | Frank |
| BIC | 259.6 | −201.2 | −179.3 | 273.1 | 489.9 | ||
| SPI-SSMI duration | AIC | −135.2 | −579.7 | −372.4 | 729.2 | −438.2 | Frank |
| BIC | −131.2 | −577.1 | −371.3 | 730.4 | −437.8 | ||
| SSMI-SGDI duration | AIC | 427.1 | −1253.2 | −423.5 | 284.1 | −542.2 | Frank |
| BIC | 425.8 | −1254.8 | −422.1 | 282.3 | −544.5 |
Disclaimer/Publisher’s Note: The statements, opinions and data contained in all publications are solely those of the individual author(s) and contributor(s) and not of MDPI and/or the editor(s). MDPI and/or the editor(s) disclaim responsibility for any injury to people or property resulting from any ideas, methods, instructions or products referred to in the content. |
© 2026 by the authors. Licensee MDPI, Basel, Switzerland. This article is an open access article distributed under the terms and conditions of the Creative Commons Attribution (CC BY) license.
Share and Cite
Wang, T.; Shi, B.; Li, L.; Zhou, Z.; Ding, Y. Multidimensional Drought Relationships in the Yangtze River Basin: Causality, Propagation Thresholds, and Drought Resistance Capacity. Agriculture 2026, 16, 118. https://doi.org/10.3390/agriculture16010118
Wang T, Shi B, Li L, Zhou Z, Ding Y. Multidimensional Drought Relationships in the Yangtze River Basin: Causality, Propagation Thresholds, and Drought Resistance Capacity. Agriculture. 2026; 16(1):118. https://doi.org/10.3390/agriculture16010118
Chicago/Turabian StyleWang, Tian, Bo Shi, Linqi Li, Zhaoqiang Zhou, and Yibo Ding. 2026. "Multidimensional Drought Relationships in the Yangtze River Basin: Causality, Propagation Thresholds, and Drought Resistance Capacity" Agriculture 16, no. 1: 118. https://doi.org/10.3390/agriculture16010118
APA StyleWang, T., Shi, B., Li, L., Zhou, Z., & Ding, Y. (2026). Multidimensional Drought Relationships in the Yangtze River Basin: Causality, Propagation Thresholds, and Drought Resistance Capacity. Agriculture, 16(1), 118. https://doi.org/10.3390/agriculture16010118

