Time-Dependent Stress Response to Force-Feeding Is Associated with Dynamic Gut Microbiota Changes in Mule Ducks
Abstract
1. Introduction
2. Materials and Methods
2.1. Experiment Design and Sample Collection
2.2. Histopathological Analyses
2.3. Serum Hormone and Biomarker Quantification
2.4. Short-Chain Fatty Acid Detection
2.5. Bacterial 16S rDNA Gene Sequencing
2.6. Statistical Analyses
3. Results
3.1. The Growth Performance and Intestinal Morphology of M-Ds
3.2. Hormone, Inflammatory, and Oxidative Indicators, Along with Liver Function Parameters in Serum and Intestinal Tissue
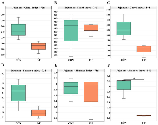
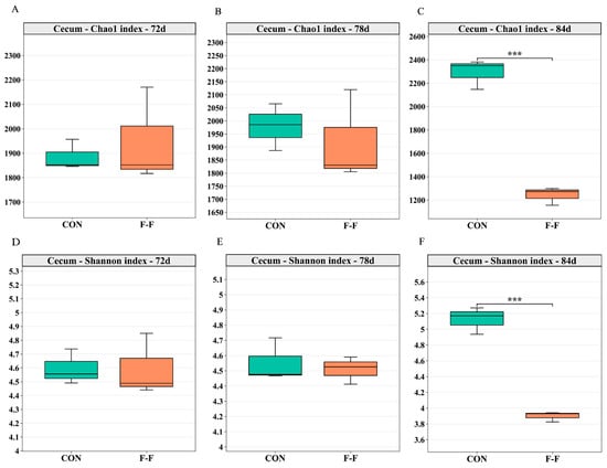
3.3. Effects of F-F on Gut Microbiota Composition in M-Ds
3.4. Correlation Analysis Between Gut Microbiota Composition and Serum/Intestinal Markers in M-Ds
4. Discussion
5. Conclusions
Supplementary Materials
Author Contributions
Funding
Institutional Review Board Statement
Data Availability Statement
Conflicts of Interest
Abbreviations
| M-D | Mule Duck |
| F-F | force-feeding |
| ADG | average daily gain |
| H&E | Hematoxylin and Eosin |
| V/C | villus-to-crypt ratio |
| AMS | amylase |
| IL−1β | interleukin−1 beta |
| IL−4 | interleukin−4 |
| IL−6 | interleukin−6 |
| IL−17 | interleukin−17 |
| IL−22 | interleukin−22 |
| TGF−β1 | transforming growth factor−beta 1 |
| TNF−α | tumor necrosis factor − alpha |
| CRH | corticotropin-releasing hormone |
| CORT | corticosterone |
| ACTH | adrenocorticotropic hormone |
| SCFAs | short-chain fatty acids |
| SOD | superoxide dismutase |
| MDA | malondialdehyde |
| GSH-Px | glutathione peroxidase |
| CAT | catalase |
| ALT | alanine aminotransferase |
| AST | aspartate aminotransferase |
| GLU | glucose |
| ALP | alkaline phosphatase |
| HDL | high-density lipoprotein |
| LDL | low-density lipoprotein |
References
- Bonnefont, C.M.D.; Molette, C.; Lavigne, F.; Manse, H.; Bravo, C.; Lo, B.; Rémignon, H.; Arroyo, J.; Bouillier-Oudot, M. Evolution of Liver Fattening and Foie Gras Technological Yield during the Overfeeding Period in Mule Duck. Poult. Sci. 2019, 98, 5724–5733. [Google Scholar] [CrossRef]
- Guémené, D.; Guy, G. The Past, Present and Future of Force-Feeding and “Foie Gras” Production. Worlds Poult. Sci. J. 2004, 60, 210–222. [Google Scholar] [CrossRef]
- Heath, D.; Meneley, A. The Naturecultures of Foie Gras: Techniques of the Body and a Contested Ethics of Care. Food Cult. Soc. 2010, 13, 421–452. [Google Scholar] [CrossRef]
- Guémené, D.; Guy, G.; Noirault, J.; Destombes, N.; Faure, J.-M. Rearing Conditions during the Force-Feeding Period in Male Mule Ducks and Their Impact upon Stress and Welfare. Anim. Res. 2006, 55, 443–458. [Google Scholar] [CrossRef]
- Litt, J.; Leterrier, C.; Savietto, D.; Fortun-Lamothe, L. Influence of Dietary Strategy on Progression of Health and Behaviour in Mule Ducks Reared for Fatty Liver Production. Animal 2020, 14, 1258–1269. [Google Scholar] [CrossRef]
- Liu, Y.H.; Zhu, X.Y.; Huang, L.Q.; Jia, Y.X.; Xia, Z.F. Effects of Force-Feeding on Immunology, Digestive Function and Oxidative Stress in the Duodenal and Jejunal Mucosa of Pekin Ducks. Animal 2019, 13, 2199–2206. [Google Scholar] [CrossRef]
- Servière, J.; Carriere, M.; Duvaux-Ponter, C.; Guy, G.; Roussel, S. Neurogenic Inflammation in the Upper Digestive Tract of the Mule Duck: Effect of a Chemical Algogen and Force-Feeding. Br. Poult. Sci. 2011, 52, 792–799. [Google Scholar] [CrossRef]
- Atallah, E.; Trehiou, S.; Alquier-Bacquie, V.; Lasserre, F.; Arroyo, J.; Molette, C.; Remignon, H. Development of Hepatic Steatosis in Male and Female Mule Ducks after Respective Force-Feeding Programs. Front. Physiol. 2024, 15, 1392968. [Google Scholar] [CrossRef]
- Zhu, L.H.; Meng, H.; Duan, X.J.; Xu, G.Q.; Zhang, J.; Gong, D.Q. Gene Expression Profile in the Liver Tissue of Geese after Overfeeding. Poult. Sci. 2011, 90, 107–117. [Google Scholar] [CrossRef] [PubMed]
- Lv, X.; Obianwuna, U.E.; Yang, W.; Zhang, Z.; An, K.; Shi, B.; Dong, Y.; Wu, S.; Xia, Z. Astaxanthin Supplementation Mitigated Intestinal Damage and Immunity in Overfed Pekin Ducks by Regulating Gut Morphology, Intestinal Inflammation, and Antioxidant Balance. Anim. Nutr. 2025, 21, 426–438. [Google Scholar] [CrossRef] [PubMed]
- Vasaï, F.; Brugirard Ricaud, K.; Bernadet, M.D.; Cauquil, L.; Bouchez, O.; Combes, S.; Davail, S. Overfeeding and Genetics Affect the Composition of Intestinal Microbiota in Anas Platyrhynchos (Pekin) and Cairina Moschata (Muscovy) Ducks. FEMS Microbiol. Ecol. 2014, 87, 204–216. [Google Scholar] [CrossRef]
- Vasaï, F.; Ricaud, K.B.; Cauquil, L.; Daniel, P.; Peillod, C.; Gontier, K.; Tizaoui, A.; Bouchez, O.; Combes, S.; Davail, S. Lactobacillus Sakei Modulates Mule Duck Microbiota in Ileum and Ceca during Overfeeding. Poult. Sci. 2014, 93, 916–925. [Google Scholar] [CrossRef]
- Wen, K.; Liu, L.; Zhao, M.; Geng, T.; Gong, D. The Changes in Microbiotic Composition of Different Intestinal Tracts and the Effects of Supplemented Lactobacillus During the Formation of Goose Fatty Liver. Front. Microbiol. 2022, 13, 906895. [Google Scholar] [CrossRef]
- Fournier, E.; Peresson, R.; Guy, G.; Hermier, D. Relationships between Storage and Secretion of Hepatic Lipids in Two Breeds of Geese with Different Susceptibility to Liver Steatosis. Poult. Sci. 1997, 76, 599–607. [Google Scholar] [CrossRef] [PubMed]
- Hermier, D.; Saadoun, A.; Salichon, M.R.; Sellier, N.; Rousselot-Paillet, D.; Chapman, M.J. Plasma Lipoproteins and Liver Lipids in Two Breeds of Geese with Different Susceptibility to Hepatic Steatosis: Changes Induced by Development and Force-Feeding. Lipids 1991, 26, 331–339. [Google Scholar] [CrossRef] [PubMed]
- Mittal, M.; Siddiqui, M.R.; Tran, K.; Reddy, S.P.; Malik, A.B. Reactive Oxygen Species in Inflammation and Tissue Injury. Antioxid. Redox Signal. 2014, 20, 1126–1167. [Google Scholar] [CrossRef]
- Even, M.; Davail, S.; Rey, M.; Tavernier, A.; Houssier, M.; Bernadet, M.D.; Gontier, K.; Pascal, G.; Ricaud, K. Probiotics Strains Modulate Gut Microbiota and Lipid Metabolism in Mule Ducks. Open Microbiol. J. 2018, 12, 71–93. [Google Scholar] [CrossRef]
- Shen, Y.; Li, Y.; Xiao, J.; Li, J.; Wu, Y.; Wu, Y.; Tang, H.; Fang, X.; Wang, L.; Gong, Y.; et al. Comparative Microbiomic Analysis of Fecal Microbiota Associated with Abdominal Fat in Ducks. Poult. Sci. 2025, 104, 105282. [Google Scholar] [CrossRef]
- Leser, T.D.; Mølbak, L. Better Living through Microbial Action: The Benefits of the Mammalian Gastrointestinal Microbiota on the Host. Environ. Microbiol. 2009, 11, 2194–2206. [Google Scholar] [CrossRef] [PubMed]
- Yu, Y.; Zhou, Y.F.; Sun, J.; Shi, W.; Liao, X.P.; Liu, Y.H. Pharmacokinetic and Pharmacodynamic Modeling of Sarafloxacin against Avian Pathogenic Escherichia Coli in Muscovy Ducks. BMC Vet. Res. 2017, 13, 47. [Google Scholar] [CrossRef]
- Bao, H.; Xue, Y.; Zhang, Y.; Tu, F.; Wang, R.; Cao, Y.; Lin, Y. Encapsulated Essential Oils Improve the Growth Performance of Meat Ducks by Enhancing Intestinal Morphology, Barrier Function, Antioxidant Capacity and the Cecal Microbiota. Antioxidants 2023, 12, 253. [Google Scholar] [CrossRef] [PubMed]
- Huang, C.; Shi, C.; Li, Z.; Wang, W.; Ming, D.; Gao, Y.; Liu, H.; Ma, X.; Wang, F. Pyrroloquinoline Quinone Regulates Glycolipid Metabolism in the Jejunum via Inhibiting AMPK Phosphorylation of Weaned Pigs. Food Funct. 2022, 13, 9610–9621. [Google Scholar] [CrossRef]
- Huang, C.; Ming, D.; Wang, W.; Wang, Z.; Hu, Y.; Ma, X.; Wang, F. Pyrroloquinoline Quinone Alleviates Jejunal Mucosal Barrier Function Damage and Regulates Colonic Microbiota in Piglets Challenged with Enterotoxigenic Escherichia Coli. Front. Microbiol. 2020, 11, 1754. [Google Scholar] [CrossRef]
- Liu, L.; Xiao, Q.; Gilbert, E.R.; Cui, Z.; Zhao, X.; Wang, Y.; Yin, H.; Li, D.; Zhang, H.; Zhu, Q. Whole-Transcriptome Analysis of Atrophic Ovaries in Broody Chickens Reveals Regulatory Pathways Associated with Proliferation and Apoptosis. Sci. Rep. 2018, 8, 7231. [Google Scholar] [CrossRef]
- Luo, R.; Chen, C.; Shi, Y.; Tao, Q.; Bai, D.; Li, A. Effects of Overfeeding on Liver Lipid Metabolism in Mule Ducks Based on Transcriptomics and Metabolomics. Br. Poult. Sci. 2023, 64, 143–156. [Google Scholar] [CrossRef]
- Chartrin, P.; Bernadet, M.D.; Guy, G.; Mourot, J.; Hocquette, J.-F.; Rideau, N.; Duclos, M.-J.; Baéza, E. Do Age and Feeding Levels Have Comparable Effects on Fat Deposition in Breast Muscle of Mule Ducks? Animal 2007, 1, 113–123. [Google Scholar] [CrossRef] [PubMed]
- Arroyo, J.; Molette, C.; Lavigne, F.; Margetyal, C.; Amador, O.; Dubois, J.-P.; Fortun-Lamothe, L. Effects of Dietary Protein Level during Rearing Period and Age at Overfeeding on Magret and Foie Gras Quality in Male Mule Ducks. Anim. Sci. J. 2018, 89, 570–578. [Google Scholar] [CrossRef] [PubMed]
- Bray, G.A.; Bouchard, C. The Biology of Human Overfeeding: A Systematic Review. Obes. Rev. 2020, 21, e13040. [Google Scholar] [CrossRef]
- Delezie, E.; Bruggeman, V.; Swennen, Q.; Decuypere, E.; Huyghebaert, G. The Impact of Nutrient Density in Terms of Energy and/or Protein on Live Performance, Metabolism and Carcass Composition of Female and Male Broiler Chickens of Two Commercial Broiler Strains. J. Anim. Physiol. Anim. Nutr. 2010, 94, 509–518. [Google Scholar] [CrossRef]
- Patience, J.F.; Rossoni-Serão, M.C.; Gutiérrez, N.A. A Review of Feed Efficiency in Swine: Biology and Application. J. Anim. Sci. Biotechnol. 2015, 6, 33. [Google Scholar] [CrossRef]
- Vandehaar, M.J.; Yousif, G.; Sharma, B.K.; Herdt, T.H.; Emery, R.S.; Allen, M.S.; Liesman, J.S. Effect of Energy and Protein Density of Prepartum Diets on Fat and Protein Metabolism of Dairy Cattle in the Periparturient Period. J. Dairy Sci. 1999, 82, 1282–1295. [Google Scholar] [CrossRef]
- Wen, Z.G.; Jiang, Y.; Tang, J.; Xie, M.; Yang, P.L.; Hou, S.S. Effect of Feed Consumption Levels on Growth Performance and Carcass Composition during the Force-Feeding Period in Foie Gras Production of Male Mule Ducks. Animal 2016, 10, 1417–1422. [Google Scholar] [CrossRef] [PubMed]
- Remignon, H.; Burgues, P. Evolution of Oxidative Stress Markers in Livers of Ducks during Force-Feeding. Sci. Rep. 2023, 13, 1046. [Google Scholar] [CrossRef]
- Skippon, W. The Animal Health and Welfare Consequences of Foie Gras Production. Can. Vet. J. 2013, 54, 403–404. [Google Scholar] [PubMed]
- Biagi, G.; Piva, A.; Moschini, M.; Vezzali, E.; Roth, F.X. Performance, Intestinal Microflora, and Wall Morphology of Weanling Pigs Fed Sodium Butyrate. J. Anim. Sci. 2007, 85, 1184–1191. [Google Scholar] [CrossRef]
- Li, Y.; Li, X.; Nie, C.; Wu, Y.; Luo, R.; Chen, C.; Niu, J.; Zhang, W. Effects of Two Strains of Lactobacillus Isolated from the Feces of Calves after Fecal Microbiota Transplantation on Growth Performance, Immune Capacity, and Intestinal Barrier Function of Weaned Calves. Front. Microbiol. 2023, 14, 1249628. [Google Scholar] [CrossRef] [PubMed]
- Wilson, F.D.; Cummings, T.S.; Barbosa, T.M.; Williams, C.J.; Gerard, P.D.; Peebles, E.D. Comparison of Two Methods for Determination of Intestinal Villus to Crypt Ratios and Documentation of Early Age-Associated Ratio Changes in Broiler Chickens. Poult. Sci. 2018, 97, 1757–1761. [Google Scholar] [CrossRef]
- Xing, X.; Jiang, R.; Wang, L.; Lei, S.; Zhi, Y.; Wu, Y.; Zhu, M.; Huang, L.; Xia, G.; Chen, Z. Shenfu Injection Alleviates Intestine Epithelial Damage in Septic Rats. Am. J. Emerg. Med. 2015, 33, 1665–1670. [Google Scholar] [CrossRef]
- Park, J.; Carey, J. Dietary Enzyme Supplementation in Duck Nutrition: A Review. J. Appl. Poult. Res. 2019, 28, 587–597. [Google Scholar] [CrossRef]
- Wang, H.; Zhang, X.F.; Zhai, S.S.; Yuan, J.J.; Wang, W.C.; Zhu, Y.W.; Yang, L. Research Note: The Comparative Study of Energy Utilization in Feedstuffs for Muscovy Ducks between in Vivo and in Vitro. Poult. Sci. 2020, 100, 1004–1007. [Google Scholar] [CrossRef]
- Nitsan, Z.; Nir, I.; Dror, Y.; Bruckental, I. The Effect of Forced Feeding and of Dietary Protein Level on Enzymes Associated with Digestion, Protein and Carbohydrate Metabolism in Geese. Poult. Sci. 1973, 52, 474–481. [Google Scholar] [CrossRef] [PubMed]
- Harvey, S.; Merry, B.J.; Phillips, J.G. Influence of Stress on the Secretion of Corticosterone in the Duck (Anas Platyrhynchos). J. Endocrinol. 1980, 87, 161–171. [Google Scholar] [CrossRef]
- Arnaud, I.; Mignon-Grasteau, S.; Larzul, C.; Guy, G.; Faure, J.-M.; Guémené, D. Behavioural and Physiological Fear Responses in Ducks: Genetic Cross Effects. Animal 2008, 2, 1518–1525. [Google Scholar] [CrossRef]
- Bu, G.; Fan, J.; Yang, M.; Lv, C.; Lin, Y.; Li, J.; Meng, F.; Du, X.; Zeng, X.; Zhang, J.; et al. Identification of a Novel Functional Corticotropin-Releasing Hormone (CRH2) in Chickens and Its Roles in Stimulating Pituitary TSHβ Expression and ACTH Secretion. Front. Endocrinol. 2019, 10, 595. [Google Scholar] [CrossRef]
- Romero, L.M. Physiological Stress in Ecology: Lessons from Biomedical Research. Trends Ecol. Evol. 2004, 19, 249–255. [Google Scholar] [CrossRef] [PubMed]
- De Rosa, M.J.; Veuthey, T.; Florman, J.; Grant, J.; Blanco, M.G.; Andersen, N.; Donnelly, J.; Rayes, D.; Alkema, M.J. The Flight Response Impairs Cytoprotective Mechanisms by Activating the Insulin Pathway. Nature 2019, 573, 135–138. [Google Scholar] [CrossRef]
- Cui, Z.; Yin, J.; Wang, L.; He, L.; Yin, Y.; Li, T. Effects of Pro-Inflammatory Cytokines and Antioxidants Expression in the Jejunum of Mice Induced by Hydrogen Peroxide. Int. Immunopharmacol. 2016, 31, 9–14. [Google Scholar] [CrossRef] [PubMed]
- Hao, Y.; Ji, Z.; Shen, Z.; Xue, Y.; Zhang, B.; Yu, D.; Liu, T.; Luo, D.; Xing, G.; Tang, J.; et al. Increase Dietary Fiber Intake Ameliorates Cecal Morphology and Drives Cecal Species-Specific of Short-Chain Fatty Acids in White Pekin Ducks. Front. Microbiol. 2022, 13, 853797. [Google Scholar] [CrossRef]
- Koh, A.; De Vadder, F.; Kovatcheva-Datchary, P.; Bäckhed, F. From Dietary Fiber to Host Physiology: Short-Chain Fatty Acids as Key Bacterial Metabolites. Cell 2016, 165, 1332–1345. [Google Scholar] [CrossRef]
- Ali, Q.; Ma, S.; Farooq, U.; Liu, B.; Wang, Z.; Sun, H.; Cui, Y.; Li, D.; Shi, Y. Chronological Dynamics of the Gut Microbiome in Response to the Pasture Grazing System in Geese. Microbiol. Spectr. 2024, 12, e0418823. [Google Scholar] [CrossRef]
- Wellington, M.O.; Thiessen, R.B.; Van Kessel, A.G.; Columbus, D.A. Intestinal Health and Threonine Requirement of Growing Pigs Fed Diets Containing High Dietary Fibre and Fermentable Protein. Animals 2020, 10, 2055. [Google Scholar] [CrossRef]
- David, L.A.; Maurice, C.F.; Carmody, R.N.; Gootenberg, D.B.; Button, J.E.; Wolfe, B.E.; Ling, A.V.; Devlin, A.S.; Varma, Y.; Fischbach, M.A.; et al. Diet Rapidly and Reproducibly Alters the Human Gut Microbiome. Nature 2014, 505, 559–563. [Google Scholar] [CrossRef]
- Mann, E.R.; Lam, Y.K.; Uhlig, H.H. Short-Chain Fatty Acids: Linking Diet, the Microbiome and Immunity. Nat. Rev. Immunol. 2024, 24, 577–595. [Google Scholar] [CrossRef]
- Paradis, T.; Bègue, H.; Basmaciyan, L.; Dalle, F.; Bon, F. Tight Junctions as a Key for Pathogens Invasion in Intestinal Epithelial Cells. Int. J. Mol. Sci. 2021, 22, 2506. [Google Scholar] [CrossRef]
- Fang, Y.-L.; Chen, B.; Zhou, L.; Jin, Z.-J.; Sun, S.; He, Y.-W. The Anti-Activator QslA Negatively Regulates Phenazine-1-Carboxylic Acid Biosynthesis by Interacting with the Quorum Sensing Regulator MvfR in the Rhizobacterium Pseudomonas Aeruginosa Strain PA1201. Front. Microbiol. 2018, 9, 1584. [Google Scholar] [CrossRef]
- Ksiezarek, M.; Grosso, F.; Ribeiro, T.G.; Peixe, L. Genomic Diversity of Genus Limosilactobacillus. Microb. Genom. 2022, 8, 000847. [Google Scholar] [CrossRef] [PubMed]
- Lee, J.; Kim, S.; Kang, C.-H. Immunostimulatory Activity of Lactic Acid Bacteria Cell-Free Supernatants through the Activation of NF-κB and MAPK Signaling Pathways in RAW 264.7 Cells. Microorganisms 2022, 10, 2247. [Google Scholar] [CrossRef] [PubMed]
- Rodríguez-Sojo, M.J.; Ruiz-Malagón, A.J.; Rodríguez-Cabezas, M.E.; Gálvez, J.; Rodríguez-Nogales, A. Limosilactobacillus Fermentum CECT5716: Mechanisms and Therapeutic Insights. Nutrients 2021, 13, 1016. [Google Scholar] [CrossRef]
- Srimahaeak, T.; Bianchi, F.; Chlumsky, O.; Larsen, N.; Jespersen, L. In-Vitro Study of Limosilactobacillus Fermentum PCC Adhesion to and Integrity of the Caco-2 Cell Monolayers as Affected by Pectins. J. Funct. Foods 2021, 79, 104395. [Google Scholar] [CrossRef]
- Zhang, J.; Xiao, Y.; Wang, H.; Zhang, H.; Chen, W.; Lu, W. Lactic Acid Bacteria-Derived Exopolysaccharide: Formation, Immunomodulatory Ability, Health Effects, and Structure-Function Relationship. Microbiol. Res. 2023, 274, 127432. [Google Scholar] [CrossRef]











| Ingredient | (%) |
| Corn | 96.9 |
| Duck oil | 2 |
| Salt | 0.5 |
| Limestone | 0.3 |
| Premix 2 | 0.2 |
| Dicalcium phosphate | 0.1 |
| Total | 100 |
| Nutrient levels 3 | |
| Apparent metabolizable energy (MJ/kg) | 13.72 |
| Crude protein (%) | 14.33 |
| Ether extract (%) | 9.67 |
| Total phosphorus (%) | 0.47 |
| Total calcium (%) | 0.27 |
| Microbial Taxa | 72 d | 78 d | 84 d | p-Value | |||||
|---|---|---|---|---|---|---|---|---|---|
| CON | F-F | CON | F-F | CON | F-F | D | R | R × D | |
| Class level | |||||||||
| Bacteroidia | 0.1 ± 0.07 B | 0.1 ± 0.10 B | 0.0 ± 0.02 B | 0.1 ± 0.05 B | 0.3 ± 0.24 A | 0.0 ± 0.01 B | 0.151 | 0.085 | 0.050 |
| Campylobacteria | 37.2 ± 19.96 A | 1.0 ± 0.99 B | 0.0 ± 0.01 B | 0.0 ± 0.01 B | 0.0 ± 0.00 B | 0.0 ± 0.01 B | 0.057 | 0.095 | 0.073 |
| Genus level | |||||||||
| Helicobacter | 37.2 ± 34.57 A | 1.0 ± 1.71 B | 0.0 ± 0.02 B | 0.0 ± 0.03 B | 0.0 ± 0.00 B | 0.0 ± 0.01 B | 0.057 | 0.095 | 0.073 |
| Lactobacillus | 0.0 ± 0.01 B | 0.0 ± 0.00 B | 0.4 ± 0.49 B | 0.2 ± 0.11 B | 0.1 ± 0.06 B | 42.4 ± 22.71 A | 0.002 | 0.008 | 0.002 |
| Lactococcus | 0.1 ± 0.17 B | 0.0 ± 0.00 B | 1.0 ± 1.74 B | 0.0 ± 0.00 B | 4.9 ± 3.53 A | 0.0 ± 0.00 B | 0.051 | 0.021 | 0.051 |
| Limosilactobacillus | 0.1 ± 0.17 B | 0.0 ± 0.00 B | 0.1 ± 0.05 B | 0.1 ± 0.03 B | 0.2 ± 0.16 B | 32.0 ± 8.79 A | <0.001 | <0.001 | <0.001 |
| Enterococcus | 1.2 ± 0.75 B | 8.7 ± 4.12 A | 5.8 ± 2.06 A | 1.8 ± 0.46 B | 13.9 ± 9.51 A | 0.3 ± 0.27 B | 0.743 | 0.358 | 0.089 |
| Microbial Taxa | 72 d | 78 d | 84 d | p-Value | |||||
|---|---|---|---|---|---|---|---|---|---|
| CON | F-F | CON | F-F | CON | F-F | D | R | R × D | |
| Class level | |||||||||
| Actinobacteria | 0.1 ± 0.05 B | 0.1 ± 0.09 B | 0.1 ± 0.08 B | 1.1 ± 0.63 A | 0.0 ± 0.01 B | 0.2 ± 0.05 B | 0.007 | 0.004 | 0.011 |
| Deltaproteobacteria | 7.8 ± 6.99 AB | 8.8 ± 8.16 AB | 16.9 ± 7.06 A | 2.1 ± 2.70 B | 11.4 ± 3.12 AB | 3.3 ± 2.78 B | 0.804 | 0.018 | 0.090 |
| Genus level | |||||||||
| unclassified_Ruminococcaceae | 25.1 ± 7.69 AB | 18.7 ± 3.77 BC | 17.2 ± 3.95 BC | 13.9 ± 4.33 C | 16.8 ± 3.37 BC | 33.1 ± 2.81 A | 0.020 | 0.368 | 0.004 |
| unclassified_Bacteroidales | 0.9 ± 0.18 B | 1.7 ± 1.17 B | 0.7 ± 0.12 B | 2.4 ± 0.44 B | 3.6 ± 3.84 B | 15.9 ± 1.00 A | <0.001 | <0.001 | <0.001 |
| Anaerotignum | 0.6 ± 0.38 B | 0.4 ± 0.06 B | 0.3 ± 0.16 B | 0.3 ± 0.10 B | 0.3 ± 0.09 B | 8.3 ± 0.65 A | <0.001 | <0.001 | <0.001 |
| unclassified_Firmicutes | 0.9 ± 0.63 C | 1.9 ± 1.16 BC | 4.3 ± 1.39 A | 1.2 ± 0.12 C | 3.1 ± 1.45 AB | 0.2 ± 0.04 C | 0.084 | 0.004 | 0.006 |
| Bifidobacterium | 0.1 ± 0.05 B | 0.1 ± 0.09 B | 0.1 ± 0.05 B | 0.1 ± 0.09 B | 0.0 ± 0.00 B | 1.1 ± 0.63 A | 0.007 | 0.004 | 0.006 |
| Limosilactobacillus | 0.0 ± 0.00 B | 0.00 ± 0.00 B | 0.0 ± 0.00 B | 0.0 ± 0.02 B | 0.0 ± 0.00 B | 0.1 ± 0.02 A | 0.009 | 0.002 | 0.014 |
| unclassified_Lachnospiraceae | 10.6 ± 1.93 A | 9.8 ± 0.32 A | 11.4 ± 0.98 A | 8.7 ± 2.05 A | 12.6 ± 3.23 A | 2.6 ± 0.23 B | 0.305 | 0.010 | 0.059 |
Disclaimer/Publisher’s Note: The statements, opinions and data contained in all publications are solely those of the individual author(s) and contributor(s) and not of MDPI and/or the editor(s). MDPI and/or the editor(s) disclaim responsibility for any injury to people or property resulting from any ideas, methods, instructions or products referred to in the content. |
© 2025 by the authors. Licensee MDPI, Basel, Switzerland. This article is an open access article distributed under the terms and conditions of the Creative Commons Attribution (CC BY) license (https://creativecommons.org/licenses/by/4.0/).
Share and Cite
Du, Z.; Zhu, Z.; Chen, Y.; Yu, X.; Jia, H.; Li, A.; Chen, X.; Huang, C. Time-Dependent Stress Response to Force-Feeding Is Associated with Dynamic Gut Microbiota Changes in Mule Ducks. Agriculture 2025, 15, 2415. https://doi.org/10.3390/agriculture15232415
Du Z, Zhu Z, Chen Y, Yu X, Jia H, Li A, Chen X, Huang C. Time-Dependent Stress Response to Force-Feeding Is Associated with Dynamic Gut Microbiota Changes in Mule Ducks. Agriculture. 2025; 15(23):2415. https://doi.org/10.3390/agriculture15232415
Chicago/Turabian StyleDu, Ziyuan, Zhihao Zhu, Yuhang Chen, Xuanci Yu, Hongyu Jia, Ang Li, Xinzhu Chen, and Caiyun Huang. 2025. "Time-Dependent Stress Response to Force-Feeding Is Associated with Dynamic Gut Microbiota Changes in Mule Ducks" Agriculture 15, no. 23: 2415. https://doi.org/10.3390/agriculture15232415
APA StyleDu, Z., Zhu, Z., Chen, Y., Yu, X., Jia, H., Li, A., Chen, X., & Huang, C. (2025). Time-Dependent Stress Response to Force-Feeding Is Associated with Dynamic Gut Microbiota Changes in Mule Ducks. Agriculture, 15(23), 2415. https://doi.org/10.3390/agriculture15232415

