Abstract
Postharvest studies on Cerrado fruits remain scarce, and the use of LED light during storage is a recent and promising strategy. Cagaita (Eugenia dysenterica DC.), a native Cerrado fruit with high nutritional and economic value, is also highly perishable, which limits its marketability. This study evaluated the postharvest quality of cagaita fruits stored under LED light of different wavelengths. Fruits were exposed to red, green, blue, or white LEDs, or kept in the dark (control), under continuous illumination (24 h per day) for 5 days at room temperature (25.7 ± 2 °C). Green LED light significantly (p < 0.05) increased lightness, chroma, vitamin C, and antioxidant activity (DPPH assay), while maintaining a more stable pH compared with the control and, in some cases, other LED treatments. Overall, green LED was the most effective treatment for preserving the physicochemical and bioactive quality of cagaita fruits during storage. These findings provide evidence that LED light can help extend shelf life and enhance the market potential of this native Cerrado fruit.
1. Introduction
The Brazilian Cerrado is one of the most biodiverse biomes in the world, covering approximately 2.0 million km2 of savannah landscape, which represents about 23% of the national territory. In recent years, interest in fruit species native to this biome has grown considerably among both researchers and consumers concerned with healthier diets and lifestyles [1].
The state of Goiás is not only a major producer of fruits and vegetables but also encompasses an extensive area of the Cerrado biome, which is rich in native fruit species with unique characteristics that remain largely unknown outside the region. Examples include Annona crassiflora Mart. (araticum), Caryocar brasiliense Cambess. (pequi), Eugenia dysenterica DC. (cagaita), Hancornia speciosa Gomez (mangaba), Campomanesia cambessedeana Berg. (gabiroba), and Anacardium humile A. St.-Hil. (cajuzinho-do-cerrado). These fruits hold significant nutritional and economic potential, making the study of their postharvest quality and conservation methods essential for sustainable use and commercialization [2,3].
Cagaita (Eugenia dysenterica) stands out for its oval, flattened, or ellipsoid shape; fragile light-yellow rind; and pulp with a pleasant, slightly acidic flavor [4]. In addition to fresh consumption, its pulp can be used to produce juices, liqueurs, jams, and jellies. However, due to its seasonal production, these products are not available year-round across Brazil, which justifies efforts to develop and commercialize derived products [5,6].
Cagaita is classified as a climacteric fruit, characterized by increased respiration and ethylene production during ripening. These processes accelerate softening and other physiological changes after harvest. This pattern has also been reported in other Cerrado fruits, confirming the high perishability of cagaita [7,8]. Under ambient storage conditions, its shelf life rarely exceeds 3–5 days, which limits distribution and commercialization. Extending this period is therefore essential to reduce postharvest losses and increase its value.
Several technologies have been investigated to extend fruit shelf life, such as refrigeration, edible coatings, and modified atmosphere packaging. However, these strategies often involve higher costs or infrastructure requirements that are not always accessible for Cerrado fruit supply chains. In this context, the use of LED light represents a simple, energy-efficient, and low-cost technique that may provide an alternative solution to extend the shelf life of cagaita fruit. The application of appropriate techniques to delay postharvest deterioration of fruit is a suitable option for minimizing these losses [9]. In recent years, the use of artificial light during storage has been suggested to preserve the nutritional properties of horticultural products [10]. More recent studies on postharvest preservation of products have used LEDs (light-emitting diodes) due to their high photoelectric efficiency and irradiance, low heat production, compactness, mobility, and easy integration into electronic systems [11].
Light-emitting diodes are solid-state lighting devices (semiconductors) that emit light at narrow bandwidth wavelengths, with high photoelectric efficiency and photon flux or irradiance, low thermal output, compactness, portability, and easy integration into electronic systems [12,13].
Technological advances in light-emitting semiconductors have enabled applications in horticultural production systems worldwide due to their limited thermal dissipation, low energy requirements, and the possibility of precisely customizing light intensity and spectral properties [14]. According to Nájera et al. [15], LED lighting technology can revolutionize the production, protection, and preservation of vegetables by reducing microbial contamination, increasing nutrient content, and delaying ripening in fruits and senescence in vegetables.
Studies are continually being conducted to evaluate the efficiency of LEDs in fruit postharvest. Kim et al. [16] found that continuous exposure of strawberries to LED light increased anthocyanin content under red, blue, and green LEDs, while blue and green LEDs also increased vitamin C content. Blue LED stimulated total phenolic content, whereas green LED improved soluble solids. Xu et al. [17], evaluating strawberry exposure to blue light, found that irradiation for 12 d at 5 °C increased total anthocyanin content during storage and influenced the activities of anthocyanin biosynthetic enzymes. Huang et al. [18] investigated the postharvest of ripe green bananas treated daily for eight days with blue (464–474 nm), red (617–627 nm), and green (515–525 nm) LED lights, and observed that blue light accelerated ripening, followed by red and green. LED light improved the quality and nutritional content of bananas, increasing vitamin C, total phenols, and total sugars.
When it comes to Cerrado fruits, studies on postharvest storage are very limited. For example, Braz et al. [7] and Ferreira et al. [8] investigated the use of edible coatings for preserving cagaita, while Silva et al. [19] reported vitamin C content during ripening. However, none of these studies tested the direct application of LED light to extend shelf life. Therefore, the objective of this study was to evaluate the effect of LED light at different wavelengths (red, green, blue, and white) on the postharvest quality of cagaita fruit (Eugenia dysenterica DC.), focusing on physicochemical and bioactive attributes during storage.
2. Materials and Methods
2.1. Origin and Preparation of Cagaita Fruit
Cagaita fruit (Eugenia dysenterica DC.) used were from the experimental orchard of the School of Agronomy of the Federal University of Goiás—Campus of Samambaia, Goiânia/GO (49°15′14″ W, 16°40′43″ S, and an altitude of 749 m), harvested at the point of physiological ripeness, characterized by the yellowish-green color of the peel (Figure 1A). After harvesting, the fruit was transported by refrigerated vehicle in expanded polystyrene (EPS) boxes to the Post-Harvest Laboratory of the Agricultural Engineering course at the Central Campus—CET of the Goiás State University (UEG), Anápolis/GO.
Figure 1.
(A) Cagaita fruits (Eugenia dysenterica DC.) used in the experiment. (B) Experimental LED prototype boxes with different wavelengths (blue, green, red, and white) applied during storage.
Initially, the fruit was manually and visually sorted in terms of the absence of defects and uniformity of size to ensure uniformity in the lot. After selecting the fruit, they underwent a sanitization process, where they were submerged in a 200 mg L−1 sodium hypochlorite solution for 10 min, then rinsed with drinking water and dried at room temperature at 25.7 ± 2 °C to remove excess water from the fruit.
2.2. LED Prototype Specifications
The prototypes with LED lamps were produced from corrugated cardboard boxes (single wall) with a geometric structure measuring 70 × 70 × 70 cm (height, width, and depth), using a plastic screen drawn in the middle of the box, with the same distance between the top and bottom light. Five-meter LED strips were arranged inside the boxes on the right, left, top, and bottom sides (Figure 1B). The wavelength in each box was measured by an Ocean Optics spectroradiometer sensor (model USB 2000+RAD, Ocean Optics, Dunedin, FL, USA).
The fruit was placed inside the box, on top of the plastic mesh, to ensure that even light covered all parts of the box. The boxes were then closed to prevent interference and exposure to other light.
2.3. Experiment Characterization
This experiment design was completely randomized, arranged in a 5 × 6 double factorial scheme, with four replications and five fruit per replication. The factorial arrangement was chosen because it allowed us to simultaneously evaluate the effect of LED treatments (red, green, blue, white, and control) and storage time (0–5 days), as well as their interaction. The storage period was limited to 5 days since previous studies have shown that cagaita fruit has a maximum shelf life of 3–5 days at room temperature, after which its commercial quality is severely compromised [7,8]. The first factor consisted of the control treatment and four other colors: control—no LED application, white light, red (630.71 nm), green (518.8 nm), and blue (476.72 nm). The LEDs were applied using 12 V SMD 3528 LED strips (5 W/m, 60 LEDs/m, luminous flux of approximately 10 lm per LED, emission angle of 120°). The wavelength of each treatment was confirmed with a spectroradiometer (USB 2000+RAD, Ocean Optics, Dunedin, FL, USA). Light exposure was applied continuously for 24 h per day. The second factor consisted of the days of post-harvest storage and was analyzed daily (0, 1, 2, 3, 4, and 5 d).
For this experiment, 620 cagaita fruit were used, 100 of which were for the non-destructive analysis and 520 for the destructive analysis. The fruit was stored at room temperature (25.7 ± 2 °C) and relative air humidity (65% ± 5%). The fruits were placed in the experimental boxes on day 0 (immediately after harvest and sanitization) and continuously exposed to LED light (24 h/day) throughout the storage period (0–5 d). The control fruits were kept in the dark under the same temperature and humidity conditions. In addition, details on the spectral characteristics of the LEDs were considered. The emission peaks were 630.71 nm (red), 518.8 nm (green), 476.72 nm (blue), and a broad spectrum for white light. The average irradiance values were measured with a USB 2000+RAD spectroradiometer (Ocean Optics, USA).
2.4. Analyses
2.4.1. pH
The pH was determined by potentiometry using a TEC-7 microprocessor pH meter (Tecnal, TEC-7, Piracicaba, SP, Brazil), according to the technique described by AOAC [20]. The fruit was previously crushed using a blender to conduct this analysis, the pulp obtained from each repetition was placed in a disposable cup, and the pH was determined using the electrode submerged in the sample.
2.4.2. Color
The color of the peel was measured by reflectance, with one evaluation per fruit in the lateral region, using a portable Konica Minolta CR 400 colorimeter with a CIELAB scale (L*, a*, and b*). Where the L* coordinate indicates how dark (0) and how light (100) the product is, the a* coordinate is related to the intensity of green (−a) to red (+a), and the b* coordinate is related to the intensity of blue (−b) to yellow (+b). Chroma (color saturation) was calculated from the a* and b* coordinates.
2.4.3. Vitamin C
The ascorbic acid content was quantified by adding 5 g of crushed fruit pulp from each sample to a 50 mL volumetric flask and topping up with 0.5% oxalic acid extractant solution. After filtering the diluted sample through gauze, a 10 mL aliquot was used for the quantitative determination of vitamin C by oxidative titration with 0.02% 2.6-dichlorophenolindophenol solution contained in the burette, with the turning point being visually detected by the light pink color [21].
2.4.4. Total Antioxidant Activity by DPPH Method
Total antioxidant activity was determined by the DPPH (2,2-diphenyl-1-picrylhydrazyl) radical-scavenging assay using a UV–Vis spectrophotometer (1 cm cuvettes) at 515 nm [22]. A methanolic DPPH solution (0.1 mM) was freshly prepared. For each sample, 5–7 serial dilutions of the methanolic extract were prepared; 3.9 mL of DPPH solution were mixed with 0.1 mL of each dilution, and absorbance was recorded after 19 min of reaction at room temperature. Radical-scavenging activity (%) was calculated as 100 × (A0 − As)/A0, where A0 is the absorbance of the DPPH solution without sample and As is the absorbance with sample. The EC50 (g pulp kg−1 DPPH) was obtained by interpolating the scavenging (%) versus sample concentration and represents the sample concentration needed to reduce the initial DPPH absorbance by 50% (lower EC50 = higher antioxidant activity). Results were expressed as EC50 values; therefore, a Trolox standard curve was not required.
2.4.5. Weight Loss
Weight loss was determined by weighing the fruits daily during the storage period using a precision balance (BL3200H (Shimadzu Corporation, Kyoto, Japan), maximum capacity of 3200 g, accuracy of 0.01 g). The percentage of daily weight loss was calculated considering the difference between the initial mass of the fruit (day 0) and the mass recorded on each subsequent day of analysis, expressed as a percentage of the initial mass.
2.4.6. Firmness
Fruit firmness was determined by compression using a Texture Analyser (CT3, Brookfield, Middleboro, MA, USA) equipped with a cylindrical probe. The test was performed at a speed of 7.0 mm s−1 and a penetration depth of 5 mm. Firmness values were expressed in N.
2.5. Statistical Analysis
After analyzing the fruit, the data was subjected to analysis of variance (p < 0.05) and, when significant, was subjected to regression analysis and Tukey’s test. SISVAR 5.6 software was used for statistical analysis. Regression models were applied only as a complementary tool to visualize trends in the data during storage, and were not intended to provide precise predictive equations. This experiment design was completely randomized, arranged in a 5 × 6 double factorial scheme, in a single harvest year. The fixed factors were LED treatments (five levels) and storage time (six levels), with four replications of five fruits each.
3. Results and Discussion
3.1. Hydrogen Potential (pH)
For the pH analysis, averages below 4.0 were recorded for all treatments over the five days of storage, which demonstrates the high acidity of the fruit. This result was also reported by Ferreira et al. [8], who, in their study storing cagaita fruit with and without edible coatings, recorded a maximum pH of 3.63.
An increase in pH was observed for all treatments during storage (Figure 2). The control, without LED exposure, showed the greatest increase over time, followed by the white and red LED treatments. In contrast, fruits exposed to green and blue LEDs exhibited comparatively lower increases, indicating greater stability in this parameter. Among them, the green LED treatment maintained the highest stability, in agreement with Braz et al. [7], who also observed pH stabilization in cagaita fruits stored with biopolymer-based coatings, reporting an average value of 3.78.
Figure 2.
Hydrogen potential (pH) of cagaita fruit exposed to LED lights with different wavelengths (red, green, blue, and white) and without light exposure (Control) over five days of storage (0, 1, 2, 3, 4, and 5 d).
An increase in pH during storage was also reported by Lee et al. [23], who, in their study with cabbage exposed to red, green, blue, and white LED light, observed an increase for all treatments, with no significant differences among them, over 18 days of storage. The increase in pH is attributed to the degradation of organic acids, such as malic acid and ascorbic acid, which occurs during the senescence of the fresh product [24].
3.2. Fruit Color (L* and C*)
Concerning the lightness of cagaita fruit exposed to LED light over five days of storage, a linear increase was observed for the RGB treatments, namely red (R), green (G), and blue (B), while an exponential regression was obtained for the white light and control treatments (Figure 3). From the first to the third day of analysis, the white and control treatments showed the highest values, followed by a decrease until the end of storage. At the end of the experiment, the RGB treatments showed the highest lightness values of the cagaita fruit. Given that higher L values indicate lighter or brighter color [3], the colored LED treatments resulted in the highest lightness, with mean values of 64.48, 65.28, and 64.96 for the red, green, and blue treatments, respectively, on the last day of analysis. Silva et al. [25] reported that darkening during storage is a natural consequence of fruit ripening, indicating that fruit stored under RGB treatments maintained their color and experienced less visual deterioration throughout storage.
Figure 3.
Lightness (L) of cagaita fruit exposed to LED lights with different wavelengths (red, green, blue, and white) and without light exposure (Control) over five days of storage (0, 1, 2, 3, 4, and 5 d).
It is important to note that some of the regression models adjusted for the color parameters showed relatively low coefficients of determination (R2). This is a common finding in postharvest fruit studies, where biological variability and multiple interacting factors often reduce the predictive power of regression models. Similar results were reported by Peavey et al. [26], who observed moderate to low correlations between light exposure and color parameters in apples. These findings reinforce the importance of complementing regression analysis with joint approaches, such as the percentage variation (Δ%) relative to fresh pulp presented in Figure 4.
Figure 4.
Chroma of cagaita fruit exposed to LED lights with different wavelengths (red, green, blue, and white) and without light exposure (Control) over five days of storage (0, 1, 2, 3, 4, and 5 d).
The positive effect of LED lights in maintaining lightness in fruit was also observed by Dhakal and Baek [27] in their study of tomatoes stored for seven days under blue and red LED light exposure and control treatment without light exposure, which recorded greater lightness maintenance in storage with blue light compared to the control treatment without light application.
Chroma analysis expresses color intensity, i.e., color in terms of pigment saturation, where 0 is an impure color, and 60 is a pure color [28]. The green LED treatment showed more vivid colors at the end of storage than the red and white LED treatments and the control treatment (Figure 4). There was a linear increase in chroma values for the green and blue treatments, while the red and white LEDs and the control showed a quadratic, exponential reduction, especially from the third day of analysis.
Light is one of the important external factors that stimulate the rate of biological processes and the development of pigments in fruit. Pola et al. [29], in their study with peppers (Capsicum annuum L.) exposed to red and blue LEDs, observed an increase in chroma values in peppers exposed to these LEDs compared to the control treatment (dark), a behavior similar to that which occurred in this study.
3.3. Vitamin C (Ascorbic Acid)
The ascorbic acid content (Figure 5) showed a linear increase for all treatments, except for the blue LED, which exhibited a quadratic increase, mainly until the third day of storage. From the fourth day of analysis (third day of storage), and especially on the last day, cagaita fruits exposed to the green LED had the highest levels of ascorbic acid, followed by the white LED. The control treatment showed the lowest vitamin C values for cagaita fruit until the penultimate day of storage. Kim et al. [16], working with unripe strawberries exposed to LEDs of different wavelengths and stored at 5 °C, found similar results, although there was a slight difference among wavelength ranges. Vitamin C content was relatively higher at 470 and 525 nm, corresponding to blue and green light, respectively.
Figure 5.
Vitamin C (g kg−1) of cagaita fruit exposed to LED lights with different wavelengths (red, green, blue, and white) and without light exposure (Control) over five days of storage (0, 1, 2, 3, 4, and 5 d).
Ascorbic acid is associated with defense against oxidative stress in fruit, so the increase observed in this study during storage may be related to oxidative processes that induce its synthesis [30], a phenomenon also reported for other irradiation processes such as UV-C and gamma rays [31]. Silva et al. [25], evaluating the ascorbic acid content of Cerrado fruits, reported higher vitamin C levels in ripe araticum, cagaita, cashew, gabiroba, wolf apple, mangaba, and pequi compared with unripe fruit. On the last day of storage, cagaita fruit had a vitamin C content between 22.38 and 0.386 g kg−1, values consistent with those found by Cardoso et al. [32], who reported 0.341 g kg−1 for fresh cagaita fruit.
3.4. Antioxidant Activity Using the DPPH Method
Concerning antioxidant activity using the DPPH method, significant results (p < 0.05) were obtained for the treatments and days in isolation (Figure 6), with no significant interaction. Although the error bars indicate high variability among replicates, this is common in native Cerrado fruits. Despite this variability, the ANOVA followed by Tukey’s test confirmed significant differences among treatments, with the green LED consistently presenting lower EC50 values compar. The green LED showed the lowest DPPH EC50 value, differing statistically from the blue, white, and control LED treatments, the latter being the treatment with the highest values.

Figure 6.
Antioxidant activity (DPPH, EC50 g kg−1 DPPH) of cagaita fruit (A) exposed to LED lights with different wavelengths (red, green, blue, and white) and without light exposure (Control) over five days of storage and (B) exposed to LED light over five days of storage (0, 1, 2, 3, 4, and 5 d). Different lowercase letters (a, b, c) indicate significant differences among treatments according to Tukey’s test at p < 0.05.
Antioxidants can greatly improve quality of life, as they protect an organism from damage caused by free radicals. The DPPH (2,2-diphenyl-1-picrylhydrazyl) method is based on bleaching stable violet-colored DPPH radicals in a methanol solution. Antioxidant substances can donate a hydrogen atom or transfer an electron to the DPPH molecule, becoming a stable molecule and causing the color to change to pale yellow, resulting in a decrease in the absorbance of the DPPH radical [33], indicating that the lower the DPPH EC50 values, the greater the antioxidant activity of the fruit.
In Figure 6A, the green LED treatment obtained the lowest value for this variable (116,960 EC50 g kg−1 DPPH), i.e., a smaller amount of sample was needed to reduce the initial concentration of the DPPH radical by 50%, so it was the treatment with the highest antioxidant activity, followed by the red (138,170 EC50 g kg−1 DPPH), blue (149,210 EC50 g kg−1 DPPH) and white (158,710 EC50 g kg−1 DPPH) LED lights. The control treatment obtained an average of 175,120 EC50 g kg−1 DPPH, making it the treatment that needed the most pulp to inactivate 50% of the radical.
The ability of RGB LEDs to increase antioxidant activity in fruit storage was also observed by Xu et al. [17], who, in their study storing strawberries for 14 d under blue LED light exposure and without light exposure, found greater antioxidant activity by the DPPH method in strawberries stored with blue LED light exposure when compared to the control treatment without light exposure.
The antioxidant activity of cagaita fruit using the DPPH method increased during post-harvest storage (Figure 6B). The antioxidant activity of cagaita fruit using the DPPH method increased during post-harvest storage (Figure 6B). It is important to note that Figure 6B represents the general effect of storage time averaged across all treatments, since no significant interaction was found between LED treatments and storage days. This ability is beneficial since consuming these foods provides advantages to consumer health due to their antioxidant properties, preventing degenerative diseases that have a high occurrence in the population [34].
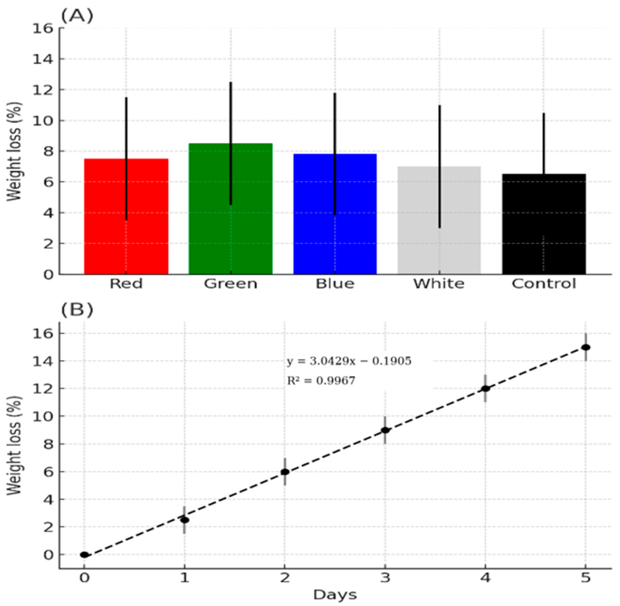
3.5. Weight Loss
The results of weight loss in cagaita fruit exposed to different LED wavelengths are presented in Figure 7. No significant interaction was observed between light treatments and storage days. Among the treatments, fruits exposed to green LED light showed the highest average weight loss (8.45%), followed by blue, red, white, and the control (Figure 7A). Regardless of the treatment, weight loss increased progressively throughout storage, reaching approximately 15% by the fifth day (Figure 7B).
Figure 7.
Weight loss (%) of cagaita fruits exposed to LED light of different wavelengths (Red, Green, Blue, White) and without light exposure (Control) during 5 days of storage. (A) Average weight loss (%) by LED treatments. (B) Weight loss (%) over 5 days of storage (0, 1, 2, 3, 4, and 5 days).
These findings are consistent with previous studies reporting that light exposure can accelerate water loss in horticultural products. Zhan et al. [35], working with broccoli, observed greater weight loss under LED light compared with dark storage, with final values of 2.17% under light and 1.95% under dark conditions. Similarly, Hasperué et al. [36] reported increased weight loss in Brussels sprouts exposed to blue LED light compared with controls stored in the dark, reaching up to 8% by the 10th day of storage.
Weight loss during storage is primarily associated with transpiration and respiration processes, leading to water loss from the fruit surface and subsequent mass reduction [37]. The higher values observed under green LED light may be related to greater stimulation of these physiological processes, highlighting that although LEDs can improve certain physicochemical and bioactive traits, their influence on water retention may represent a limitation for storage extension.
3.6. Firmness
A progressive decrease in firmness was observed during storage (Figure 8), with values dropping from an initial average of 49.77 N on day 0 to approximately 3 N by day 5. The greatest reduction occurred during the first four days, followed by stabilization. Similar results were reported by Ferreira [3] in cagaita fruit, who also found firmness close to 3 N at the fifth day of storage.
Figure 8.
Firmness (N) of cagaita fruits exposed to LED light during 5 days of storage (0, 1, 2, 3, 4, and 5 days).
The reduction in firmness during ripening and senescence is largely attributed to enzymatic processes that depolymerize and solubilize cell wall components. According to Jacomino et al. [38], the loss of resistance of the cell wall results from the activity of enzymes such as polygalacturonase and pectin methylesterase, which degrade pectic substances, leading to tissue softening.
4. Conclusions
Based on the results presented, it can be concluded that, in the first experiment, green LED light promoted a greater increase in lightness, chroma, vitamin C, and antioxidant activity by the DPPH method, as well as the greatest stability in pH during the evaluation period, promoting beneficial effects on the physical, physicochemical, and bioactive characteristics of cagaita fruit.
Concerning postharvest preservation, it was found that the fruit maintained suitable characteristics after harvest up to the fifth day, regardless of the treatments applied. Furthermore, it is worth noting that studies on the postharvest storage of fruits from the Cerrado are still scarce, and the use of LED light in fruit storage is a recent approach. Thus, the results of these experiments represent the first steps toward future research on cagaita fruit using this technique, under various conditions that can be studied and optimized.
Author Contributions
Conceptualization, A.J.d.C.; methodology, A.P.d.S. and C.M.A.M.; investigation, A.P.d.S., D.d.P.M., T.d.O.C., C.M.A.M. and A.R.O.; writing—original draft preparation, A.P.d.S. and C.M.A.M.; writing—review and editing, A.R.O. and A.J.d.C.; supervision, M.J.d.M. and A.J.d.C.; project administration, A.J.d.C.; funding ac-quisition, A.J.d.C. All authors have read and agreed to the published version of the manuscript.
Funding
This study was financed in part by the Coordenação de Aperfeiçoamento de Pessoal de Nível Superior—Brazil (CAPES)—Finance Code 001 (Agreement No. 817164/2015 CAPES/PROAP) and funded with resources from the Research, Graduate, and Innovation Promotion Program of the Goiás State University.
Data Availability Statement
The original contributions presented in this study are included in the article. Further inquiries can be directed to the corresponding author(s).
Acknowledgments
To the Coordenação de Aperfeiçoamento de Pessoal de Nível Superior—Brasil (CAPES) provided a scholarship for the first author during its master’s degree. We also acknowledge the financial support from the call PrP/UEG PRÓ-PROGRAMAS No. 01/2023.
Conflicts of Interest
The authors declare no competing financial interests.
References
- Zimbres, B.; Shimbo, J.; Bustamante, M.; Levick, S.; Miranda, S.; Roitman, I.; Silvério, D.; Gomes, L.; Fagg, C.; Alencar, A. Savanna vegetation structure in the Brazilian Cerrado allows for the accurate estimation of aboveground biomass using terrestrial laser scanning. For. Ecol. Manag. 2020, 458, 117798. [Google Scholar] [CrossRef]
- Braga-Filho, J.R.; Naves, R.V.; Chaves, L.J.; Souza, E.R.B.; Mazon, L.T.; Silva, L.B. Germinação de sementes e emergência de plântulas de araticum oriundos do cerrado de Goiás. Biosci. J. 2014, 30, 74–81. [Google Scholar]
- Freitas, B.C.B.; Censon, D.; Leal, G.F.; Silva, R.R.; Almeida, A.F.; Santos, C.C.A.A.; Abreu-Lima, T.L.; Morais, R.A.; Martins, G.A.S. Fruits of the Brazilian Cerrado are a potential alternative for food tourism and regional development. Braz. J. Food Technol. 2024, 27, e2023117. [Google Scholar] [CrossRef]
- Mazuti-Silva, S.M.; Gasca-Silva, C.A.; Fonseca-Bazzo, Y.M.; Magalhães, P.O.; Silveira, D. Eugenia dysenterica Mart. Ex DC. (cagaita): Planta brasileira com potencial terapêutico. Infarma Ciências Farmacêuticas 2015, 27, 49–95. [Google Scholar] [CrossRef]
- Arruda, H.S.; Fernandes, R.V.B.; Botrel, D.A.; Almeida, M.E.F. Frutos do Cerrado: Conhecimento e aceitação de Annona crassiflora Mart. (Araticum) e Eugenia dysenterica Mart. (Cagaita) por crianças utilizando o paladar e a visão. J. Health Biol. Sci. 2015, 3, 224–230. [Google Scholar] [CrossRef]
- Santos, P.R.G.; Cardoso, L.M.; Bedetti, S.F.; Hamaceck, F.R.; Moreira, A.V.B.; Martino, H.S.D.; Pinheiro-Sant’anna, H.M. Geleia de cagaita (Eugenia dysenterica DC.): Desenvolvimento, caracterização microbiológica, sensorial, química e estudo da estabilidade. Revista do Instituto Adolfo Lutz 2012, 71, 281–290. [Google Scholar] [CrossRef]
- Braz, A.J.; Nascente Lde, P.; Corrêa, N.C.; Rocha Rde, A.; Barbosa de Souza, E.R.; Siqueira, A.P.S. Influence of coverage based on biopolymers on the maturation of cagaita (Eugenia dysenterica DC.). Revista de Agricultura Neotropical 2020, 7, 62–65. [Google Scholar] [CrossRef]
- Ferreira, L.C.; Pereira, W.R. Aspectos microbiológicos e físico-químicos da conservação de cagaita (Eugenia dysenterica DC.) com aplicação de revestimento comestível. Caderno de Ciências Agrárias 2016, 8, 9–13. [Google Scholar]
- Schudel, S.; Shoji, K.; Shrivastava, C.; Onwude, D.; Defraeye, T. Solution roadmap to reduce food loss along your postharvest supply chain from farm to retail. Food Packag. Shelf Life 2023, 36, 101057. [Google Scholar] [CrossRef]
- Azuma, A.; Yakushiji, H.; Sato, A. Postharvest light irradiation and appropriate temperature treatment increase anthocyanin accumulation in grape berry skin. Postharvest Biol. Technol. 2019, 147, 89–99. [Google Scholar] [CrossRef]
- Poonia, A.; Pandey, S.; Vasundhara. Application of light emitting diodes (LEDs) for food preservation, post-harvest losses and production of bioactive compounds: A review. Food Prod. Process. Nutr. 2022, 4, 8. [Google Scholar] [CrossRef]
- Rajapaksha, L.; Gunathilake, D.M.C.C.; Pathirana SMFernando, S.N. Reducing post-harvest losses in fruits and vegetables for ensuring food security—Case of Sri Lanka. MOJ Food Process Technol. 2021, 9, 7–16. [Google Scholar] [CrossRef]
- Uikey, P.; Sharma, A.; Yadav, A.; Nair, R.; Rehan. Techniques to Reduce the Postharvest Losses of Fruits and Vegetables. In Advanced Technology of Horticulture; Daya Publishing House; Astral International Pvt. Ltd.: New Delhi, India, 2023; pp. 321–342. [Google Scholar]
- Castillejo, N.; Martínez-Zamora, L.; Gómez, P.A.; Pennisi, G.; Crepaldi, A.; Fernández, J.A.; Orsini, F.; Artés-Hernández, F. Postharvest LED lighting: Effect of red, blue and far red on quality of minimally processed broccoli sprouts. J. Sci. Food Agric. 2020, 101, 44–53. [Google Scholar] [CrossRef]
- Nájera, C.; Gallegos-Cedillo, V.M.; Ros, M.; Pascual, J.A. LED lighting in vertical farming systems enhances bioactive compounds and productivity of vegetables crops. Biol. Life Sci. Forum 2022, 16, 24. [Google Scholar] [CrossRef]
- Kim, B.S.; Lee, H.O.; Kim Kwon, K.H.; Cha, H.S.; Kim, J.H. An effect of light emitting diode (LED) irradiation treatment on the amplification of functional components of immature strawberry. Hortic. Environ. Biotechnol. 2011, 52, 35–39. [Google Scholar] [CrossRef]
- Xu, F.; Shi, L.; Chen, W.; Cao, S.; Su, X.; Yang, Z. Effect of blue light treatment on fruit quality antioxidant enzymes and radical scavenging activity in strawberry fruit. Sci. Hortic. 2014, 175, 181–186. [Google Scholar] [CrossRef]
- Huang, J.Y.; Xu, F.; Zhou, W. Effect of LED irradiation on the ripening and nutritional quality of postharvest banana fruit. J. Sci. Food Agric. 2018, 98, 5486–5493. [Google Scholar] [CrossRef] [PubMed]
- Silva, A.M.L.; Martins, B.A.; Deus, T.N. Avaliação do teor de ácido ascórbico em frutos do cerrado durante o amadurecimento e congelamento. Estudos 2009, 36, 1159–1169. [Google Scholar] [CrossRef]
- AOAC. Association of Official Analytical Chemists. In Official Methods of Analysis of AOAC International, 20th ed.; AOAC: Rockville, MD, USA, 2016; 3100p. [Google Scholar]
- Benassi, M.T.; Antunes, A.J. A comparison of metaphosphoric and oxalic acids as extractants solutions for the determination of vitamin C in selected vegetables. Arq. Biol. Tecnol. 1998, 31, 507–513. [Google Scholar]
- Rufino, M.S.M.; Alves, R.E.; Brito, E.S.; Pérez-Jiménez, J.; Saura-Calixto, F.; Mancini-Filho, J. Bioactive compounds and antioxidant capacities of 18 non tradicional tropical fruits from Brazil. Food Chem. 2010, 121, 996–1002. [Google Scholar] [CrossRef]
- Lee, Y.J.; Ha, J.Y.; Oh, J.E.; Cho, M.S. The effect of LED Irradiation on the quality of cabbage stores at low temperature. Food Sci. Biotechnol. 2014, 23, 1087–1093. [Google Scholar] [CrossRef]
- Ferreira, D.C.M.; Molina, G.; Pelissari, F.M. Effect of edible coating from cassava starch and babassu flour (Orbignya phalerata) on Brazilian Cerrado fruits quality. Food Bioproc. Tech. 2020, 13, 172–179. [Google Scholar] [CrossRef]
- Silva, G.M.C.; Biazatti, M.A.; Silva, M.P.S.; Cordeiro, M.H.M.; Mizobutsi, G.P. Preservação dos atributos físicos de frutos de atemoia cv. Gefner com o uso de 1-MCP e atmosfera modificada. Revista Brasileira de Fruticultura 2014, 36, 828–834. [Google Scholar] [CrossRef][Green Version]
- Peavey, M.; Scalisi, A.; Islam, M.S.; Goodwin, I. Fruit Position, Light Exposure and Fruit Surface Temperature Affect Colour Expression in a Dark-Red Apple Cultivar. Horticulturae 2024, 10, 725. [Google Scholar] [CrossRef]
- Dhakal, R.; Baek, K.H. Metabolic alternation in the accumulation of free amino acids and γ-aminobutyric acid in postharvest mature green tomatoes following irradiation with blue light. Hortic. Environ. Biotechnol. 2014, 55, 36–41. [Google Scholar] [CrossRef]
- Rinaldi, M.M.; Costa, A.M.; Faleiro, F.G.; Junqueira, N.T.V. Conservação pós-colheita de frutos de Passiflora setacea DC. submetidos a diferentes sanitizantes e temperaturas de armazenamento. Braz. J. Food Technol. 2017, 20, e2016046. [Google Scholar] [CrossRef]
- Pola, W.; Sugaya, S.; Photchanachai, S. Color development and phytochemical changes in mature green chili (Capsicum annuum L.) exposed to Red and Blue Light-Emitting Diodes. J. Agric. Food Chem. 2020, 68, 59–66. [Google Scholar] [CrossRef]
- García-Betanzos, C.I.; Hernández-Sánchez, H.; Bernal-Couoh, T.F.; Quintanar-Guerrero, D.; Zambrano-Zaragoza, M.L. Physicochemical, total phenols and pectin methylesterase changes on quality maintenance on guava fruit (Psidium guajava L.) coated with candeuba wax solid lipid nanoparticles-xanthan gum. Food Res. Int. 2017, 101, 218–227. [Google Scholar] [CrossRef] [PubMed]
- Sanches, A.G.; Silva, M.B.; Moreira, E.G.S.; Santos, E.X.; Tripoloni, F.M. Extensão da vida útil de pitangas submetidas ao tratamento com cloreto de cálcio. Acta Iguazu 2017, 6, 45–58. [Google Scholar] [CrossRef]
- Cardoso, L.M.; Martino, H.S.D.; Moreira, A.V.B.; Ribeiro, S.M.R.; Pinheiro-Sant’ana, H.M.P. Cagaita (Eugenia dysenterica DC.) of the Cerrado of Minas Gerais, Brazil: Physical and chemical characterization, carotenoids and vitamins. Food Res. Int. 2011, 44, 2151–2154. [Google Scholar] [CrossRef]
- Basu, P.; Maier, C. In vitro antioxidant activities and polyphenol contents of seven commercially available fruits. Pharmacogn. Res. 2016, 8, 258–264. [Google Scholar] [CrossRef] [PubMed]
- Achkar, M.T.; Novaes, G.M.; Silva, M.J.D.; Vilegas, W. Propriedade antioxidante de compostos fenólicos: Importância na dieta e na conservação de alimentos. Rev. Univ. Val. Rio Verde 2013, 11, 398–406. [Google Scholar] [CrossRef]
- Zhan, L.; Huang, W.; Bai, J.; Xu, J.; Lu, W. Comparison of several light treatments on broccoli (Brassica oleracea L. var. italica) florets during simulated retail shelf life. Postharvest Biol. Technol. 2012, 63, 51–57. [Google Scholar]
- Hasperué, J.H.; Rodoni, L.M.; Guerrero, C.; Wiesenberger, G.; Villalba, M.C.; Vicente, A.R.; Civello, P.M. Continuous white-blue LED light exposition delays postharvest senescence of broccoli. Postharvest Biol. Technol. 2016, 65, 495–502. [Google Scholar] [CrossRef]
- Chitarra, M.I.F.; Chitarra, A.B. Postharvest of Fruits and Vegetables: Physiology and Handling, revised and enlarged, 2nd ed.; UFLA: Lavras, Brazil, 2005; 785p. [Google Scholar]
- Jacomino, A.P.; Gallon, C.Z.; Dias, I.S.; Pereira, W.S.P. Characterization and Occurrence of Early Softening Disorder in ‘Golden’ Papaya Fruits. Rev. Bras. Frutic. 2010, 32, 1261–1266. [Google Scholar] [CrossRef]
Disclaimer/Publisher’s Note: The statements, opinions and data contained in all publications are solely those of the individual author(s) and contributor(s) and not of MDPI and/or the editor(s). MDPI and/or the editor(s) disclaim responsibility for any injury to people or property resulting from any ideas, methods, instructions or products referred to in the content. |
© 2025 by the authors. Licensee MDPI, Basel, Switzerland. This article is an open access article distributed under the terms and conditions of the Creative Commons Attribution (CC BY) license (https://creativecommons.org/licenses/by/4.0/).