Abstract
The promotion and use of liquid feeding face the challenge of insufficiently stable delivery. This issue can be resolved, in part, by using the spiral flow produced by a spiral pipe (SPP). The aim of this study is to investigate how the structural characteristics of the spiral pipe affect the flow state of the liquid feed, and for this purpose, the computational fluid dynamics (CFD) technique has been employed and the liquid feed delivery process has been simulated by means of an Eulerian two-fluid model The results reveal a significant improvement in the slurry’s homogeneity as it traveled through a spiral pipe compared with a straight pipe (STP). The swirl number normally increased with the number, length, height, and angle of the spiral pipe’s guide vanes. The solid-phase distribution was more homogeneous when values of N = 1, L = 1D, H = 3/8R, and θ = 20° were used, respectively, and the COV within 10D downstream of the outlet of the spiral pipe was 3.902% smaller than that of the straight pipe. The results of this study can be used as a reference for the design of liquid feed-conveying pipes.
1. Introduction
Liquid feeds, which are fluid mixtures of water and feed mixed in specific proportions, offer numerous advantages over traditional solid dry feeds [1]. These advantages include an improved pigsty environment [2], reduced feed costs [3], the reduced use of antibiotics [4,5], the assisted weaning of piglets [6], improved palatability, and enhanced gut health [7,8]. As a result, liquid feeds offer the potential for a wide range of uses in pig farming. However, the process of liquid feeding is complex, and with recent increases in labor expenses, current breeding companies frequently use liquid feed systems as the carriers of liquid feeding. A liquid feed system consists of four components: a storage unit, a mixing unit, a dispensing unit, and an automatic control system. Dry feed is combined with water and pumped to the trough via pipes and throttling devices. Liquid feed systems have a high level of automation; however, it must be recognized that the upfront investment cost of these systems is high, and farmers adopting these systems require sufficient start-up capital, which is more feasible for pig farms with a larger scale of operation. Large-scale hog-farming enterprises usually have larger inventories, and a single pipeline is usually responsible for a sufficient amount of feed supply for several pens, which can be up to several hundred meters in length. Liquid feed is a two-phase flow consisting of solids and liquids with significantly different specific gravities. Feed stratification issues frequently arise during long-distance transport, resulting in an unequal nutrient distribution in various downstream ports, which impairs the neatness of hog slaughter. In more severe circumstances, this might lead to the obstruction of the conveying pipeline, resulting in economic losses. Therefore, it is particularly important to prevent liquid feed from stratifying during transportation [9] and to maintain the homogeneity and stability of liquid feed.
Particles in a flow field are not necessarily evenly dispersed due to the effects of gravity, buoyancy, and drag forces. Based on the particle concentration distribution in a flow field, Newitt et al. [10] classified two-phase solid–liquid flow into four flow patterns: homogeneous flow, heterogeneous flow, moving beds, and stationary beds.
Homogeneous flow: At this point, the feed particles are evenly dispersed in the flow field and fully suspended.
Heterogeneous flow: The lower section of the pipe has a significantly higher solid-phase concentration than the upper section, but no solid-phase deposition can be observed.
Moving bed: The solid-phase particles initially gather at the pipe’s bottom and progress forward through a sliding or jumping motion.
Stationary bed: On the base of the moving bed, particles continue to aggregate and stop moving. The flow area in the pipe is reduced, and there is a risk of clogging the pipe.
To avoid the appearance of moving and stationary beds, which reduces the likelihood of deposits from liquid feed, the velocity of feed conveying can be increased to exceed the critical velocity in order to transform the moving bed into a heterogeneous flow and optimize the distribution uniformity of feed particles in the liquid feed [11].
The definition of critical velocity is now a topic of debate in the academic community. For solid–liquid two-phase flow, Thomas, Durand, and Graf used the “minimum transport velocity”, “limit deposit velocity”, and “critical deposit velocity” as the critical velocity, respectively [12]. Scholars’ definitions of the critical velocity of flow make it evident that raising the conveying velocity can enhance the homogeneity of liquid feed. However, high flow rates also lead to increased pipe wear [13], and the loss of conveying resistance in the two-phase pipe is proportionate to the square of the velocity [14]. Therefore, it is not the most cost-effective option to only increase the carrying speed.
Spiral flow, a unique flow phenomenon known for its strong carrying capacity, is created when axial flat flow and circumferential spinning flow combine. It is currently one of the strategies used most frequently to deal with stability problems in solid–liquid flow with two phases [15]. The enhanced homogeneity of two-phase fluids carried via spiral flow has been the subject of numerous investigations [16,17,18]. Compared with traditional circular pipes, spiral pipes have a lower critical velocity of flow for the same slurry [19]. Yanuar et al. [20] investigated solid–liquid two-phase flow via spiral pipes at various angles. The study found that employing spiral pipes improved the homogeneity of a coal slurry by 22%, while also reducing the conveying resistance by around 30%. Internal spiral ribs in pipelines lower the pressure gradients and power consumption for the low-velocity transport of solid materials, according to research by Charles et al. [21]. For moving settling slurries, ribbed pipes with a particular pitch-to-diameter ratio are more energy-efficient than smooth pipes. Li et al. [22] carried out in-depth experimental research and presented a spiral flow pneumatic conveying system. Their findings showed that the spiral flow pneumatic conveying system achieved optimized outcomes in terms of the pressure drop, pipe wall wear, and critical flow velocity when compared with axial flow pneumatic conveyance. Fokeer et al. [23] discovered that the Reynolds stress model (RSM) can properly represent eddy currents in a three-bladed spiral pipe, while the usual k-ε model is not relevant. Furthermore, while simulating gas-phase flow, the problems posed by a highly anisotropic turbulent flow must be considered, and the credibility, mistakes, and uncertainties of computational simulations must be examined during the validation and verification procedures. Zhou et al. [24] used a CFD-DEM model to investigate the pneumatic conveyance efficiency of three different types of vortex-generating pipes: internal helical-blade, rifle, and three-blade pipes. For the initial conveyance, the three-blade pipe was the most efficient and had the lowest total pressure at the inlet. The internal helical pipe, however, demonstrated the best efficiency for steady conveyance. It achieved about 26% energy efficiency at velocities below 40 m/s, which makes it perfect for steady transport in coarse-particle vortex flow systems. Ariyaratne [25] created and improved the transition pipe for a leaf helix. The redesigned transition pipe minimizes the pressure loss and vortex attenuation while enhancing the induced vortex rate.
In conclusion, spiral flow is clearly economically valuable when it comes to pipeline transportation. Tangential intake flow [17], spiral pipe installation [18,24,26], and pipe rotation are examples of the traditional generating techniques for spiral flow. Among them, a spiral pipe is the research object of this study because of its simple structure and low cost of use. The features of the spiral flow that a spiral pipe generates may vary depending on the pipe’s structural alterations. Due to the high expense and complexity of experimental studies, numerical simulations are popular tools for studying solid–liquid two-phase flows. In this study, the Eulerian–Eulerian approach was utilized to simulate the flow process of liquid feed in a spiral pipe, and the transport model’s reliability was validated using Schaan et al.’s experimental data [27]. Based on the simulation results, this study examined the impact of a spiral pipe’s structural characteristics on the flow state of liquid feed. Using the swirl number generated per unit additional pressure drop as an evaluation index of the spiral pipe, the optimal combination of the structural parameters of the spiral pipe was obtained to achieve a low energy consumption and the long-distance transportation of liquid feed.
2. Materials and Methods
2.1. Simulation Modeling
This study examined a spiral pipe with guide vanes. The guiding vane comprised a 2 mm thick plate that was twisted and placed perpendicular to the pipe wall. Figure 1a depicts a schematic diagram of the spiral pipes. Figure 1b shows a plan view of the pipe inlet. To examine the difference in the flow state of liquid feed in a spiral pipe and a straight pipe, simulation calculations for the flow state of the liquid feed in the straight pipe were also performed. The sole difference between the straight pipe and the spiral pipe was the absence of guiding vanes; the other dimensions, such as the length and the inner diameter, were identical. The structural differences between spiral pipes are determined by the number of guide vanes (N), the angle of the guide vane (θ), the length of the guide vane (L), and the height of the guide vane (H). Table 1 shows each of the structural properties of different spiral pipes. The geometric model of the simulation is shown in Figure 2.
Figure 1.
Schematic of spiral pipes with guide vane: (a) side view of spiral pipes; (b) inlet plan of spiral pipes.
Table 1.
Specific structural parameters of different spiral pipes.
Figure 2.
Schematic representation of pipeline test sections.
In this research, water and feed particles were numerically calculated using the Fluent software version 2022R1. The Euler–Euler model was used, and the phase-coupled SIMPLE algorithm was used for velocity and pressure coupling. In the Fluent software, the precision of discretization schemes greatly impacts the computational results. Currently, Fluent provides four pressure interpolation schemes: standard, PRESTO, second-order, and body force-weighted. Given the significant pressure fluctuations in the spiral pipe and the focus on pressure loss as the evaluation metric for the spiral pipe, the high-precision second-order upwind scheme was selected for the pressure interpolation. For the momentum, volume, turbulent kinetic energy, and turbulent dissipation rate, Fluent also provides first-order upwind and second-order upwind schemes for spatial discretization. Considering that most grids in this study were structured and aligned with the flow direction, they suited the first-order upwind scheme well. This scheme is advantageous for structured grids, offering quick computation, straightforward convergence, and improved stability. Therefore, the first-order upwind scheme was chosen for the spatial discretization of the momentum, volume, turbulent kinetic energy, and turbulent dissipation rate in this research. The calculation was considered to have reached convergence when all the residual values were less than 10−4. The parameters are provided in Table 2.
Table 2.
Simulation parameters.
2.2. Governing Equation of the Liquid and Solid Phases
The currently available numerical approaches for solid–liquid dual-phase flow calculations are the Euler–Lagrange technique [28] and the Euler–Euler technique [29]. The Euler–Lagrange approach employs the Navier–Stokes (N-S) equations to solve the carrier fluid directly, treating it as a continuous phase. In order to ascertain the trajectory of the particle phase, the particles are regarded as a discrete phase and incorporated into the Lagrange coordinate system. Due to computational and statistical limitations, the Euler–Lagrange approach is not fully applicable to this topic, especially when working with small particles and high-concentration solid–liquid systems. The Euler–Euler technique views liquid and solid phases as continuous phases that mix and coexist at every point in the flow field. Every phase has its own temperature, volume fraction, and velocity. This work simulated and solved the two-phase flow of solids and liquid in a helical pipe using the Euler–Euler technique in conjunction with the RNG k-ε turbulence model [30,31,32].
The flow of liquid feed within the pipeline adhered to the continuity equation and momentum conservation equation.
The continuity equation is as follows [33]:
where α is the volume fraction of a particular phase, ρ is the density of a particular phase, t is the time, and u is the velocity of a particular phase.
The momentum equations are as follows [34]:
where αl and αs are the liquid-phase volume fraction and solid-phase volume fraction, ul and us are the velocities of the liquid and solid phases, ρl and ρs are the densities of the liquid and solid phases, p is the two-phase shared pressure, and τ is the stress–strain tensor.
In 1986, Yakhot and Orszag et al. [35] applied the renormalization group (RNG) theory to turbulent flows with high Reynolds numbers, resulting in the RNG k-e model. The RNG k-ε model can accurately simulate issues such as separated flow, secondary flow, and spiral flow [36]. Pathak [37] used the RNG k-e model to simulate a slurry, and the numerical results he obtained were consistent with the experimental data from the horizontal pipe, demonstrating the model’s validity. The fundamental equation is as follows:
where t is the time, ρ is the density of the fluid, μt is the turbulent viscosity, ui is the velocity vector, xi and xj are the coordinate components, Gk is the turbulent kinetic energy production term, ε is the turbulent kinetic energy dissipation rate, k is the turbulent kinetic energy, C1ε = 1.42, C2ε = 1.68, αk = αε = 1.393, and Sk and Sε are the user-defined source terms [38].
There are numerous drag force equations that concern solid–liquid two-phase flow, with the typical models including the Wenyu drag model and the Gidaspow drag model.
The expression for the Wenyu drag model [39] is as follows:
The expression for the Gidaspow drag model [40] is as follows:
where dp is the particle diameter, and rc is the volume fraction of the liquid phase. It can be observed from the relationship that for the low-concentration mixed fluid (rc > 0.8) employed in the numerical calculations of this study, the use of the Wenyu drag model to obtain a description was more appropriate.
2.3. Model Validation
2.3.1. Grid Size Independence Tests
The test pipe was meshed using Fluent Meshing software version 2022R1 as shown in Figure 3. To better adapt to the complex geometry of the pipe and ensure the boundary layer and flow field changes were accurately captured in the simulation, an unstructured mesh was employed at the boundary. Meanwhile, within the interior of the fluid domain, a hexahedral structured mesh was utilized. This structured mesh exhibited better regularity and contributed to improving the efficiency of the numerical computation. This combined meshing strategy carefully balanced the requirement for the accurate modeling of complex geometries and the overall structure of the fluid domain while maintaining computational efficiency.
Figure 3.
Grid division diagram: (a) wall grid; (b) internal grid; and (c) inlet/outlet grid.
To effectively reduce the computational burden of this model, we adopted six meshes with different numbers of nodes (range: 169,768~38,602,658) as shown in Table 3, while ensuring that the boundary layer y+ was less than 30. We verified the mesh independence with the pressure drop downstream of the spiral pipes. The relevant computational results are displayed in Figure 4 below. By observing the relationship between the degree of the pressure drop trend and the number of nodes, we concluded that after the number of nodes exceeds 3,034,836, the influence of increasing the number of meshes on the pressure drop becomes insignificant. Therefore, to ensure computational efficiency while maintaining the reliability of the results, we finally chose a grid with a node number of about 3,034,836 for the simulation.
Table 3.
Grid parameters.
Figure 4.
Pressure drops from each cross-section of the test pipe to the outlet cross-section of the spiral pipe (40D) at different grid scales.
2.3.2. Experimental Verification
Many researchers have experimented with the concentration distribution of solid–liquid two-phase flow throughout the last few decades. In this study, the numerical simulation conditions were the same as the experimental conditions of Schaan et al. The simulation was performed on a circular pipe with an inner diameter of 150 mm, a slurry particle size of 0.09 mm, concentrations of 15% and 32%, and flow speeds of 1.4 m/s, 1.5 m/s, and 3 m/s. The numerical calculations were then compared with the experimental results. Figure 5 shows the average difference between the estimated and experimental results under three distinct working conditions: 12.07%, 14.40%, and 5.10%. The differences between the experimental and numerical simulation results were all less than 15% and were, therefore, within the acceptable range [41]; hence, the present numerical simulation approach was deemed relatively trustworthy.
Figure 5.
The calculated volume fraction distributions were compared with the experimental results [27].
3. Results
3.1. Velocity Distributions
Figure 6 shows the axial velocity contour graphs for the spiral and straight pipes at various cross-sections. As seen in the images, the insertion of the spiral pipe significantly altered the distribution of velocity in the initial flow field, lowering the zone of flow in the piping and resulting in a large rise in velocity at the pipe’s center. Simultaneously, the existence of a low-pressure zone on the leeward edge of the guide vanes caused the high-velocity region to extend to the backside of the guide vanes, resulting in a distinct wake. While the flow field developed, the tangential velocities dropped as the fluid flowed through the spiral pipe, and the high-velocity zones gradually returned to the center of the pipe, and the velocity distributions of the straight and spiral pipes gradually became similar.
Figure 6.
Comparison of velocity distributions in spiral pipes (N3) vs. straight pipes.
In order to comprehend the circumferential velocity more fully, the swirl number [22] notion is presented. The equation below defines the swirl number as the proportion of the fluid’s radial angular velocity to its axial velocity:
where u and w are the axial and tangential velocities, and R is the pipe radius.
Figure 7 depicts the swirl number downstream of the spiral pipe under various configurations. The figure shows that the swirl number at the downstream end of the spiral pipe progressively increased with the number of guide vanes and the guide vane length, height, and angle, and the rate of increase gradually decreased. This suggests that structural differences in spiral pipes have a significant impact on the swirling characteristics of the spiral flows they produce. The spiral flow produced by spiral pipes is mostly due to the distinctive spiral form of the pipes. As the fluid flows through the spiral pipes, it strikes the windward side of the guide vanes, causing the guide vanes’ reaction force to impose a moment on the fluid, resulting in tangential flow. To some extent, increasing the length, number, height, and angle of the guiding vanes will increase the amplitude and duration of this moment.
Figure 7.
Axial variation in swirl number for different spiral pipes.
Modifying the number, length, height, and angle of the guide vanes in the construction of spiral pipes allows for the effective control of the swirl intensity downstream of the spiral pipe, which serves as a significant reference for optimizing the design of spiral pipes.
3.2. Swirl Effectiveness
Within the scope of the simulation experiments investigated in this study, the generation of spiral flow was always accompanied by the appearance of additional pressure drops. To better judge the spiral flow generation efficiency of different spiral pipes, the performance evaluation index Se (swirl effectiveness) of spiral pipes was introduced. Se represents the number of swirls induced per unit of additional pressure drop, and the definition equation is as follows:
where Sn is the swirl number at cross-section B, ΔPi (kPa) is the pressure drop between sections A and B in the spiral pipe, and ΔP (kPa) is the pressure drop between sections A and B in a straight pipe. The locations of sections A and B are shown in Figure 8.
Figure 8.
Schematic of the locations of cross-sections A and B.
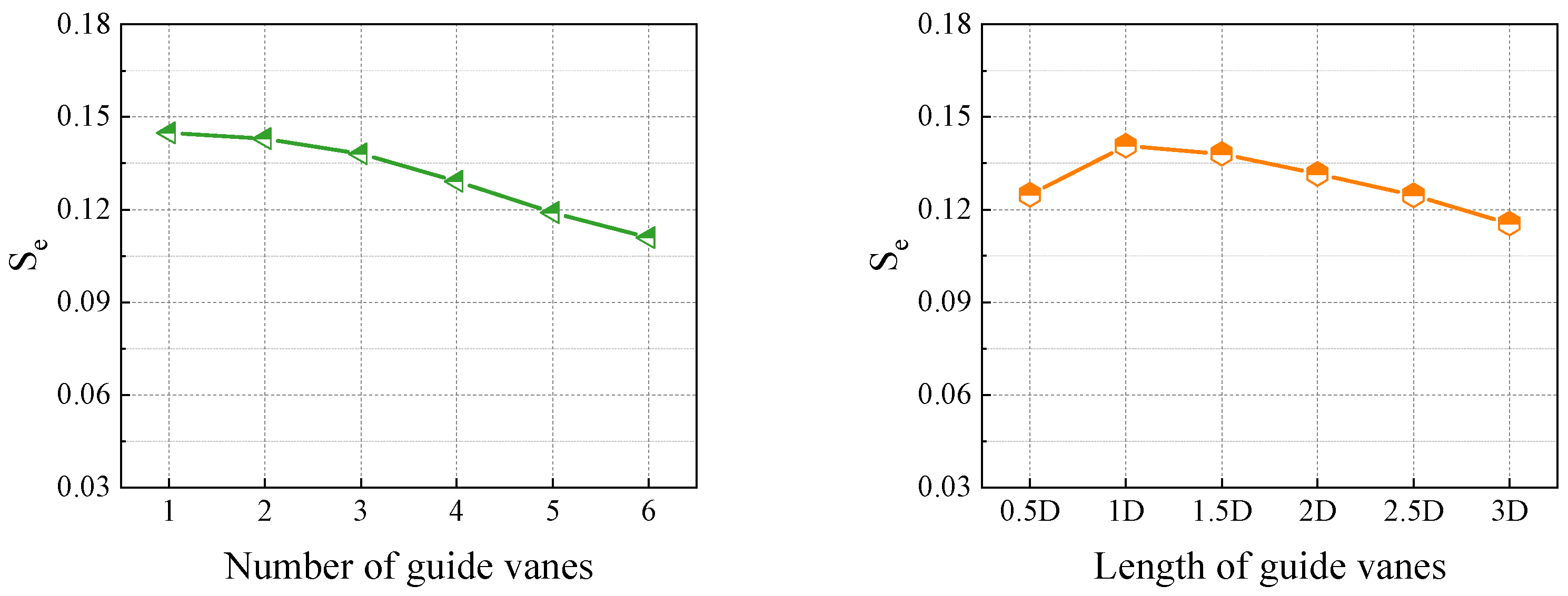
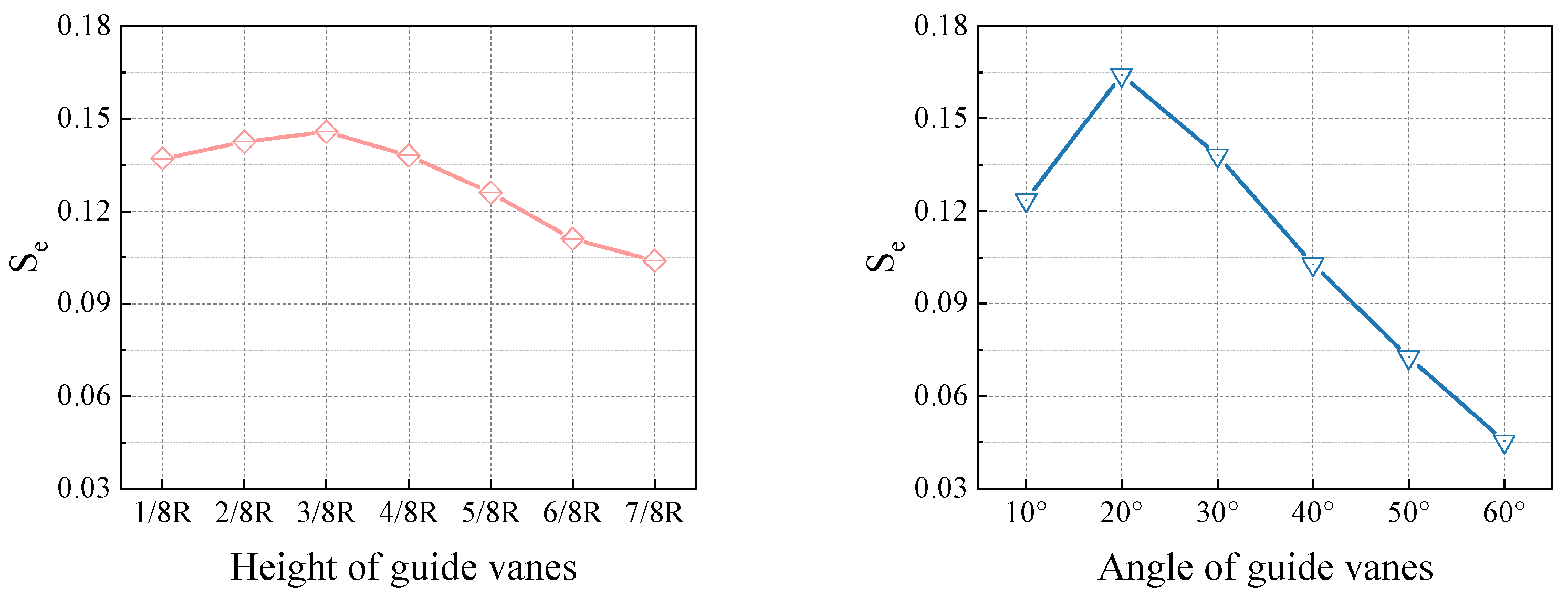
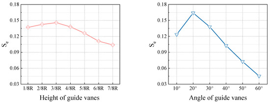
Figure 9 depicts the influence of a spiral pipe’s structural factors on the Se. As shown in the image, the Se was negatively correlated with the number of guide vanes, and the produced spiral flow rate reached its greatest level when the number of guide vanes was N = 1. This result indicates that the design of a single guide vane is highly effective in improving the operating performance of spiral pipes. The Se tended to rise and subsequently drop with a rise in the length (L), height (H), or angle (θ) of the guide vane. The maximum value was achieved at around L = 1D, H = 3/8R, and θ = 20°. In Figure 7, it can be seen that the Sn increased with the increase in the N, L, H, and θ, and the growth rate gradually slowed down. The additional pressure loss mainly came from the friction and collision between the fluid and the guide vane, which did not slow down the growth rate due to the increase in the N, L, H, and θ. Therefore, when the N, L, H, and θ exceeded a certain threshold, the Se decreased with the increase in the N, L, H, and θ. The result is that N = 1, L = 1D, H = 3/8R, and θ = 20° became the better solution in the univariate analysis. Except for the number of guide vanes, the length, height, and angle of the guide vanes were continuous within the range of values, and by using Se as the dependent variable and L, H, and R as the independent variables, the maximum value of Se could be obtained at around L = 1D, H = 3/8R, and θ = 20°, which further optimized the efficiency of the helical pipe to obtain a larger number of swirls with a smaller additional pressure loss.

Figure 9.
Influence of spiral pipe structure on swirl effectiveness.
3.3. Concentration Distributions
Figure 10 illustrates the solid-phase particle distributions of helical pipes A1, A2, N3, A4, A5, and A6 in their tangential planes (at distances ranging from 40D to 70D), which are structurally detailed and parameterized in Table 1. As shown in the figure, a strong spiral flow caused solid-phase material to accumulate on the pipe wall. This indicates a significant role played by the helical flow in the distribution of particles. A strong spiral flow, with its prominent centrifugal force and wall shear effects, did not cause consolidation, even though the solid component’s concentration was higher near the pipe wall.
Figure 10.
Distribution of concentrations downstream of different spiral pipes.
While the flow field evolved, the spiral flow became less intense. At this point, the centrifugal force was no longer adequate to drive the particles toward the pipe wall. However, the upward velocity component of the helical flow still partially offsets the influence of gravity. Consequently, the sedimentation rate of particles slowed down, resulting in a more uniform distribution of the concentration in the flow field.
Between 40D and 90D of the test pipe, 250 cross-sections perpendicular to the axis were taken, with equal spacing between adjacent cross-sections. Sampling points were set in a square array format on each interface, with a spacing of approximately 0.707 mm between adjacent sampling points in the up, down, left, and right directions. The coefficient of variation (COV) of the solid-phase concentration was calculated for each cross-section using the sample sites’ solid-phase concentrations. The smaller the value of the COV, the more homogeneous the solid-phase distribution on that cross-section. The COV was calculated as follows [42]:
where n is the number of sampling points in each cross-section, xi is the concentration at a point on the cross-section, and is the cross-sectional average concentration.
Figure 11 shows the distribution of the COV between 40D and 90D for the spiral pipe (N = 1, L = 1D, H = 3/8R, and θ = 20°) and a straight pipe. As can be seen in the figure, the median and mean values of the COV for spiral pipes are smaller than those for straight pipes. This means that spiral pipes improve the homogeneity of a conveyed slurry. They can increase the pipeline conveying system’s safety and increase the liquid feed’s effective conveying distance.
Figure 11.
Box plot of uniformity for spiral pipes and straight pipes.
Up to this point, the liquid feeds mentioned in this text all had a velocity of 3 m/s at the inlet, corresponding to a Reynolds number of about 186,747. To explore the effect of spiral pipes on the concentration distribution of liquid feeds under different Reynolds numbers, the Fluent software was used in this study to simulate the flow of liquid feeds inside a specific spiral pipe (N = 1, L = 1D, H = 3/8R, and θ = 20°). The coefficient of variation (COV) was calculated for spiral pipes between 40D and 90D. The results are displayed in the box-and-line plots shown in Figure 12.

Figure 12.
COV distributions of spiral pipe and straight pipe at different Reynolds numbers.
Figure 12 clearly demonstrates the effect of the choice of a spiral pipe on the downstream liquid feed uniformity enhancement under different Reynolds number conditions. In addition, by calculating the percentage reduction in the COV value of the spiral pipe relative to the straight pipe, the data in Table 4 specifically reveal the relative advantage of the spiral pipe in enhancing the uniformity of the liquid feed. From the analysis of the data in Table 4, it can be seen that the spiral pipe can indeed improve the uniformity of liquid feed within a certain range. However, the effectiveness of the spiral pipe in improving the uniformity of the liquid feed decreases as the conveying distance increases, instead making the liquid feed in the spiral pipe less uniform than in the straight pipe. This phenomenon may result from the rapid reduction in turbulent energy inside the spiral pipe and the gradual weakening of the spiral flow. Consider the portion of the downstream COV of the spiral pipe that has a lower COV than the COV of the straight pipe as the effective range of action of the spiral pipe. The length of this range is longer at high Reynolds numbers than at low Reynolds numbers. Under low-Reynolds number conditions, the spiral pipe is more effective in enhancing the uniformity of liquid feed and exhibits a greater reduction in COV values.
Table 4.
Percentage reductions in COV values for spiral pipe versus straight pipe.
4. Conclusions
To avoid the stratification and siltation of liquid feed in a conveying pipeline, this study designed and improved a spiral conveying pipe with a guide vane structure in a piggery. The flow field of the circular pipe with guide vanes was numerically simulated by the authors using the RNG k-e equation and the Eulerian two-fluid model. By analyzing the concentration distribution of the liquid feed in the pipe and the efficiency of the spiral pipe in inducing the generation of spiral flow, the following conclusions were drawn.
The fluid moving through the spiral pipe creates a spiral flow, which intensifies with the number, height, angle, and length of the guiding vanes. However, adding a spiral pipe increases the test pipe’s overall pressure loss. Therefore, this study introduced the concept of Se (swirl effectiveness), i.e., the number of swirls induced per unit of the additional pressure drop generated by the spiral pipes, to provide a quantitative index for the optimized design of spiral pipes. Under the simulated working conditions in this research, Se achieved its maximum value when the number of guide vanes was N = 1, the length of the guide vanes was L = 1D, the height of the guide vanes was H = 3/8R, and the angle of the guide vanes was θ = 20°. Under the same operating conditions, the average coefficient of variations (COV) of the spiral pipe (N = 1, L = 1D, H = 3/8R, and θ = 20°) at 40D–50D, 50D–60D, 60D–70D, 70D–80D, and 80D–90D were lower than that of a straight pipe by about 3.908%, 2.825%, 1.289%, 0.186%, and 0.859%.
Author Contributions
Conceptualization, J.H. and R.L.; methodology, J.H.; software, Y.X.; validation, Y.X., H.H. (Haibin Hu) and H.H. (Huiyue Hu); formal analysis, R.L.; investigation, J.X.; resources, R.L.; data curation, Y.X.; writing—original draft preparation, Y.X.; writing—review and editing, J.H. and Y.X.; visualization, H.H. (Huiyue Hu); supervision, H.H. (Haibin Hu); project administration, R.L.; funding acquisition, R.L. All authors have read and agreed to the published version of the manuscript.
Funding
This work was supported by the Science and Technology Project of the Jiangxi Education Department in China (grant no. GJJ200452).
Institutional Review Board Statement
Not applicable.
Data Availability Statement
The data are only available upon request due to privacy restrictions.
Conflicts of Interest
Author Jiajia Xiao was employed by the company Jiangxi Zengxin Technology Co., Ltd. The remaining authors declare that the research was conducted in the absence of any commercial or financial relationships that could be construed as a potential conflict of interest.
References
- Plumed-Ferrer, C.; von Wright, A. Fermented pig liquid feed: Nutritional, safety and regulatory aspects. J. Appl. Microbiol. 2009, 106, 351–368. [Google Scholar] [CrossRef] [PubMed]
- Nannen, C.; Schmitt-Pauksztat, G.; Buscher, W.J.L. Microscopic test of dust particles in pig fattening houses: Differences between dry and liquid feeding. Landtechnik 2005, 60, 218–219. [Google Scholar]
- Torok, V.A.; Luyckx, K.; Lapidge, S. Human food waste to animal feed: Opportunities and challenges. Anim. Prod. Sci. 2022, 62, 1129–1139. [Google Scholar] [CrossRef]
- Kil, D.Y.; Stein, H.H. Board Invited Review: Management and feeding strategies to ameliorate the impact of removing antibiotic growth promoters from diets fed to weanling pigs. Can. J. Anim. Sci. 2010, 90, 447–460. [Google Scholar] [CrossRef]
- Canibe, N.; Jensen, B.B. Fermented liquid feed-Microbial and nutritional aspects and impact on enteric diseases in pigs. Anim. Feed. Sci. Technol. 2012, 173, 17–40. [Google Scholar] [CrossRef]
- Kobek-Kjeldager, C.; Vodolazs’ka, D.y.; Lauridsen, C.; Canibe, N.; Pedersen, L.J. Impact of supplemental liquid feed pre-weaning and piglet weaning age on feed intake post-weaning. Livest. Sci. 2021, 252, 252. [Google Scholar] [CrossRef]
- Xin, H.; Wang, M.; Xia, Z.; Yu, B.; He, J.; Yu, J.; Mao, X.; Huang, Z.; Luo, Y.; Luo, J.; et al. Fermented Diet Liquid Feeding Improves Growth Performance and Intestinal Function of Pigs. Animals 2021, 11, 1452. [Google Scholar] [CrossRef]
- Cullen, J.T.; Lawlor, P.G.; Cormican, P.; Gardiner, G.E. Microbial Quality of Liquid Feed for Pigs and Its Impact on the Porcine Gut Microbiome. Animals 2021, 11, 2983. [Google Scholar] [CrossRef]
- Zhao, D.; Guan, Y.; Qi, Z.; Wu, L.; Liang, L.; Yao, Y. Design and experiment of intelligent feeding vehicle for pig liquid feed. J. Chin. Agric. Mech. 2022, 043, 91–98. [Google Scholar] [CrossRef]
- Newitt, D.M.; Richardson, J.F.; Abbott, M.; Turtle, R.B. Hydraulic conveying of solids in horizontal pipes. Trans. Inst. Chem. Eng. 1955, 33, 93–113. [Google Scholar]
- Thomas, D.G. Transport characteristics of suspensions: Part VI. Minimum transport velocity for large particle size suspensions in round horizontal pipes. AIChE J. 2010, 8, 373–378. [Google Scholar] [CrossRef]
- Wood, R.J.K.; Jones, T.F.; Miles, N.J.; Ganeshalingam, J. Upstream swirl-induction for reduction of erosion damage from slurries in pipeline bends. Wear 2001, 250, 770–778. [Google Scholar] [CrossRef]
- Chen, J.; Wang, Y.; Li, X.; He, R.; Han, S.; Chen, Y. Erosion prediction of liquid-particle two-phase flow in pipeline elbows via CFD-DEM coupling method. Powder Technol. Int. J. Sci. Technol. Wet Dry Part. Syst. 2015, 275, 182–187. [Google Scholar]
- Durand, R. Basic relationships of the transportation of solids in pipes-experimental research. In Proceedings of the IAHR 5th Congress, Minneapolis, MN, USA, 1–4 September 1953; pp. 89–103. [Google Scholar]
- Yanuar, Y.; Gunawan, G.; Sapjah, D. Characteristics of Silica Slurry Flow in a Spiral Pipe. Int. J. Technol. 2015, 6, 916. [Google Scholar] [CrossRef]
- Watanabe, K.; Kamoshida, T.; Kato, H. Pressure loss of fly ash slurries in a spiral tube. Trans. Jpn. Soc. Mech. Eng. Ser. B 1988, 54, 1064–1072. [Google Scholar] [CrossRef]
- Qi, J.; Yin, J.; Yan, F.; Liu, P.; Wang, T.; Chen, C. Liquid–solid flow characteristics in vertical swirling hydraulic transportation with tangential jet inlet. J. Mar. Sci. Eng. 2021, 9, 1091. [Google Scholar] [CrossRef]
- Krishna, R.; Kumar, N.; Gupta, P.K. CFD investigation of pressure drop reduction in hydrotransport of multisized zinc tailings slurry through horizontal pipes. Int. J. Hydrog. Energy 2023, 48, 16435–16444. [Google Scholar] [CrossRef]
- Tang, J.; Gao, R. Numerical simulation of high-speed spiral flow in lifting pipe. J. Jiangxi Univ. Sci. Technol. 2015, 36, 64–68. [Google Scholar] [CrossRef]
- Yanuar, Y.; Waskito, K.T.; Mau, S.; Wulandari, W.; Sari, S.P. Helical Twisted Effect of Spiral Pipe in Generating Swirl Flow for Coal Slurries Conveyance. J. Teknol. 2017, 79, 69–79. [Google Scholar] [CrossRef][Green Version]
- Charles, M.E.; Cheh, H.-S.; Chu, H.-L. The flow of “settling” slurries in tubes with internal spiral ribs. Can. J. Chem. Eng. 2009, 49, 737–741. [Google Scholar] [CrossRef]
- Li, H.; Tomita, Y. Characteristics of Swirling Flow in a Circular Pipe. J. Fluids Eng. 1994, 116, 370–373. [Google Scholar] [CrossRef]
- Fokeer, S.; Lowndes, I.S.; Hargreaves, D.M. Numerical modelling of swirl flow induced by a three-lobed helical pipe. Chem. Eng. Process. Process Intensif. 2010, 49, 536–546. [Google Scholar] [CrossRef]
- Zhou, J.-w.; Du, C.-l.; Liu, S.-y.; Liu, Y. Comparison of three types of swirling generators in coarse particle pneumatic conveying using CFD-DEM simulation. Powder Technol. 2016, 301, 1309–1320. [Google Scholar] [CrossRef]
- Ariyaratne, C. Design and Optimisation of Swirl Pipes and Transition Geometries for Slurry Transport. Ph.D. Thesis, University of Nottingham, Nottingham, UK, 2005. [Google Scholar]
- Rao, Y.; Liu, Z.; Wang, S.; Li, L.; Sun, Q. Numerical Simulation of Swirl Flow Characteristics of CO2 Hydrate Slurry by Short Twisted Band. Entropy 2021, 23, 913. [Google Scholar] [CrossRef] [PubMed]
- Schaan, J.; Sumner, R.J.; Gillies, R.G.; Shook, C.A. The effect of particle shape on pipeline friction for Newtonian slurries of fine particles. Can. J. Chem. Eng. 2000, 78, 717–725. [Google Scholar] [CrossRef]
- Zhou, M.; Wang, S.; Kuang, S.; Luo, K.; Fan, J.; Yu, A. CFD-DEM modelling of hydraulic conveying of solid particles in a vertical pipe. Powder Technol. 2019, 354, 893–905. [Google Scholar] [CrossRef]
- Li, M.-z.; He, Y.-p.; Liu, Y.-d.; Huang, C. Pressure drop model of high-concentration graded particle transport in pipelines. Ocean. Eng. 2018, 163, 630–640. [Google Scholar] [CrossRef]
- Wu, J.; Wang, C.; Wang, M.; Liu, Y.; Li, Y. Numerical simulation of turbulent fluid flow and heat transfer in a circular tube with twisted tape inserts. J. Zhengzhou Univ. (Eng. Sci.) 2017, 38, 10–14. [Google Scholar] [CrossRef]
- Liang, J.; Rao, Y.; Wang, S.; Yan, S.; Ge, H.; Cai, Y. Numerical simulation of spiral flow and heat transfer in natural gas hydrate pipelines. Oil-Gas Field Surf. Eng. 2018, 37, 6–11. [Google Scholar] [CrossRef]
- Wen, C.; Cao, X.; Yang, Y. Swirling flow of natural gas in supersonic separators. Chem. Eng. Process. Process Intensif. 2011, 50, 644–649. [Google Scholar] [CrossRef]
- Yuan, F.; Wang, H.; Zhou, P.; Xu, A.; He, D. Heat transfer performances of honeycomb regenerators with square or hexagon cell opening. Appl. Therm. Eng. 2017, 125, 790–798. [Google Scholar] [CrossRef]
- Tao, Y.B.; He, Y.-L. A review of phase change material and performance enhancement method for latent heat storage system. Renew. Sustain. Energy Rev. 2018, 93, 245–259. [Google Scholar] [CrossRef]
- Yakhot, V.; Orszag, S.A. Renormalization group analysis of turbulence. I. Basic theory. J. Sci. Comput. 1986, 1, 3–51. [Google Scholar] [CrossRef]
- Zhang, J.; Xie, J.; Li, Y. Influence analysis of 2D dimple concave non-smooth units’ depth on drag-reduction performance. J. Chin. Agric. Mech. 2016, 37, 44–48. [Google Scholar] [CrossRef]
- Messa, G.V.; Malavasi, S. Computational investigations of solid–liquid particle interaction in a two-phase flow around a ducted obstruction. J. Hydraul. Res. 2011, 49, 840–841. [Google Scholar] [CrossRef]
- Li, M.; Tao, L.; Yu, Z.; Yu, Q. Numerical investigation on cooling and heat transfer of supercritical CO2 in horizontal spiral groove tubes. J. Eng. Therm. Energy Power 2021, 36, 51–59. [Google Scholar] [CrossRef]
- Basavarajappa, M.; Draper, T.; Toth, P.; Ring, T.A.; Miskovic, S. Numerical and experimental investigation of single phase flow characteristics in stirred tanks using Rushton turbine and flotation impeller. Miner. Eng. 2015, 83, 156–167. [Google Scholar] [CrossRef]
- Tsuo, Y.P.; Gidaspow, D. Computation of flow patterns in circulating fluidized beds. AIChE J. 1990, 36, 885–896. [Google Scholar] [CrossRef]
- Chen, L.; Duan, Y.; Liu, M.; Pu, W.; Zhao, C. Numerical simulation of characteristics of coal-water slurry flow in the inlet section of a horizontal Pipe. J. Southeast Univ. (Nat. Sci. Ed.) 2010, 40, 402–408. [Google Scholar] [CrossRef]
- An, J.; Huang, K. Simulation design of pipeline type device for microwave heating of solid materials. J. Microw. 2015, 31, 35–42. [Google Scholar] [CrossRef]
Disclaimer/Publisher’s Note: The statements, opinions and data contained in all publications are solely those of the individual author(s) and contributor(s) and not of MDPI and/or the editor(s). MDPI and/or the editor(s) disclaim responsibility for any injury to people or property resulting from any ideas, methods, instructions or products referred to in the content. |
© 2024 by the authors. Licensee MDPI, Basel, Switzerland. This article is an open access article distributed under the terms and conditions of the Creative Commons Attribution (CC BY) license (https://creativecommons.org/licenses/by/4.0/).













