A Genome-Wide Association Study of Biomass Yield and Feed Quality in Buffel Grass (Cenchrus ciliaris L.)
Abstract
1. Introduction
2. Materials and Methods
2.1. High-Density Genome-Wide Markers
2.2. Phenotypic Data
2.3. Data Analysis
2.4. Marker–Trait Association Analysis
3. Results
3.1. Variation in Biomass Yield, Plant Height and Feed Quality Traits of Buffel Grass Accessions
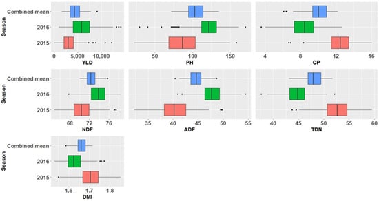
3.2. Effect of Genotype and Seasonality on Buffel Grass Forage Performance
3.3. Correlation of Phenotypic and Feed Quality Traits
3.4. Quantitative Genetic Variation
3.5. Buffel Grass Accession Clustering Based on Phenotypic and Feed Quality Traits
3.6. Performance of Genetic Clusters Identified Using DArTSeq Genome-Wide Markers
3.7. Genome-Wide Distribution and Density of Markers
3.8. Data Filtering for Association Studies
3.9. Markers Associated with Biomass Yield and Plant Height
3.10. Markers Associated with Feed Quality Traits
4. Discussion
4.1. Markers Associated with Feed Quality Traits
4.2. Correlation of Biomass Yield, Plant Height and Feed Quality Traits in Buffel Grass
4.3. Marker–Trait Associations in Buffel Grass
4.4. Genome-Wide Distribution and Co-Localisation of the Marker–Trait Associations
4.5. Marker–Trait Association in Functional Putative Genomic Regions
5. Conclusions and Recommendations
- Developing a reference genome that can be used for marker mapping and genome-wide association studies to identify major QTL for traits of interest with an improved association accuracy.
- Buffel grass has different ploidy levels. Hence, determining the ploidy level, coupled with the identification of sexually reproducing lines, will facilitate a breeding program for developing new improved varieties of this economically important forage species.
- Buffel grass is a drought-tolerant grass species. Being an underutilised crop, little is known about the genetic basis of its drought tolerance trait. Hence, it is important to study the genetic and physiological basis of drought tolerance and other important traits to develop a climate-resilient variety.
- The results of this study can also be used as a basis to develop a set of markers for future marker-assisted selection and breeding.
Supplementary Materials
Author Contributions
Funding
Institutional Review Board Statement
Informed Consent Statement
Data Availability Statement
Acknowledgments
Conflicts of Interest
References
- Herrero, M.; Grace, D.; Njuki, J.; Johnson, N.; Enahoro, D.; Silvestri, S.; Rufino, M.C. The roles of livestock in developing countries. Animal 2013, 7, 3–18. [Google Scholar] [CrossRef]
- Moyo, S.; Swanepoel, F. Multifunctionality of livestock in developing communities. In The Role of Livestock in Developing Communities: Enhancing Multifunctionality; The Technical Centre for Agricultural and Rural Cooperation (CTA): Wageningen, The Netherlands, 2010; pp. 1–12. [Google Scholar]
- Stroebel, A.; Swanepoel, F.; Pell, A. Sustainable smallholder livestock systems: A case study of Limpopo Province, South Africa. Livest. Sci. 2011, 139, 186–190. [Google Scholar] [CrossRef]
- Mekuriaw, Z.; Harris-Coble, L. Ethiopia’s Livestock Systems: Overview and Areas of Inquiry; Feed the Future Innovation Lab for Livestock Systems: Gainesville, FL, USA, 2021. [Google Scholar]
- Qaim, M. Role of new plant breeding technologies for food security and sustainable agricultural development. Appl. Econ. Perspect. Policy 2020, 42, 129–150. [Google Scholar] [CrossRef]
- Nerkar, G.; Devarumath, S.; Purankar, M.; Kumar, A.; Valarmathi, R.; Devarumath, R.; Appunu, C. Advances in crop breeding through precision genome editing. Front. Genet. 2022, 13, 880195. [Google Scholar] [CrossRef] [PubMed]
- Muktar, M.S.; Teshome, A.; Hanson, J.; Negawo, A.T.; Habte, E.; Entfellner, J.-B.D.; Lee, K.-W.; Jones, C.S. Genotyping by sequencing provides new insights into the diversity of Napier grass (Cenchrus purpureus) and reveals variation in genome-wide LD patterns between collections. Sci. Rep. 2019, 9, 6936. [Google Scholar] [CrossRef] [PubMed]
- Negawo, A.T.; Akinmade, H.O.; Muktar, M.S.; Habte, E.; Assefa, Y.; Muchugi, A.; Sartie, A.M.; Jones, C.S. Genetic Diversity, Population Structure and Subset Development in a Sesbania sesban Collection. Plants 2022, 12, 13. [Google Scholar] [CrossRef] [PubMed]
- Negawo, A.T.; Assefa, Y.; Hanson, J.; Abdena, A.; Muktar, M.S.; Habte, E.; Sartie, A.M.; Jones, C.S. Genotyping-by-sequencing reveals population structure and genetic diversity of a Buffelgrass (Cenchrus ciliaris L.) collection. Diversity 2020, 12, 88. [Google Scholar] [CrossRef]
- Negawo, A.T.; Muktar, M.S.; Assefa, Y.; Hanson, J.; Sartie, A.M.; Habte, E.; Jones, C.S. Genetic diversity and population structure of a Rhodes grass (Chloris gayana) collection. Genes 2021, 12, 1233. [Google Scholar] [CrossRef] [PubMed]
- Higgins, J.; Tomaszewska, P.; Pellny, T.K.; Castiblanco, V.; Arango, J.; Tohme, J.; Schwarzacher, T.; Mitchell, R.A.; Heslop-Harrison, J.; De Vega, J.J. Diverged subpopulations in tropical Urochloa (Brachiaria) forage species indicate a role for facultative apomixis and varying ploidy in their population structure and evolution. Ann. Bot. 2022, 130, 657–669. [Google Scholar] [CrossRef]
- Sserumaga, J.P.; Kayondo, S.I.; Kigozi, A.; Kiggundu, M.; Namazzi, C.; Walusimbi, K.; Bugeza, J.; Molly, A.; Mugerwa, S. Genome-wide diversity and structure variation among lablab [Lablab purpureus (L.) Sweet] accessions and their implication in a Forage breeding program. Genet. Resour. Crop Evol. 2021, 68, 2997–3010. [Google Scholar] [CrossRef]
- Deo, T.G.; Ferreira, R.C.; Lara, L.A.; Moraes, A.C.; Alves-Pereira, A.; De Oliveira, F.A.; Garcia, A.A.; Santos, M.F.; Jank, L.; de Souza, A.P. High-resolution linkage map with allele dosage allows the identification of regions governing complex traits and apospory in guinea grass (Megathyrsus maximus). Front. Plant Sci. 2020, 11, 15. [Google Scholar] [CrossRef]
- Carballo, J.; Santos, B.; Zappacosta, D.; Garbus, I.; Selva, J.P.; Gallo, C.A.; Díaz, A.; Albertini, E.; Caccamo, M.; Echenique, V. A high-quality genome of Eragrostis curvula grass provides insights into Poaceae evolution and supports new strategies to enhance forage quality. Sci. Rep. 2019, 9, 10250. [Google Scholar] [CrossRef]
- Marks, R.A.; Hotaling, S.; Frandsen, P.B.; VanBuren, R. Representation and participation across 20 years of plant genome sequencing. Nat. Plants 2021, 7, 1571–1578. [Google Scholar] [CrossRef]
- Njaci, I.; Waweru, B.; Kamal, N.; Muktar, M.S.; Fisher, D.; Gundlach, H.; Muli, C.; Muthui, L.; Maranga, M.; Kiambi, D.; et al. Chromosome-scale assembly of the lablab genome—A model for inclusive orphan crop genomics. bioRxiv 2022, 2022.2005.2008.491073. [Google Scholar]
- Pessoa Filho, M.D.P.; Souza Sobrinho, F.D.; Fragoso, R.D.R.; Da Silva Junior, O.B.; Ferreira, M. A draft genome assembly for the forage grass Urochloa ruziziensis based on single-molecule real-time sequencing. In Proceedings of the 7th Brazilian Biotech Congress and 2nd Biotech Ibero-American Congress, Brasilia, Brazil, 18–21 November 2018. [Google Scholar]
- Worthington, M.; Perez, J.G.; Mussurova, S.; Silva-Cordoba, A.; Castiblanco, V.; Cardoso Arango, J.A.; Jones, C.; Fernandez-Fuentes, N.; Skot, L.; Dyer, S.; et al. A new genome allows the identification of genes associated with natural variation in aluminium tolerance in Brachiaria grasses. J. Exp. Bot. 2020, 72, 302–319. [Google Scholar] [CrossRef]
- Zhang, S.; Xia, Z.; Li, C.; Wang, X.; Lu, X.; Zhang, W.; Ma, H.; Zhou, X.; Zhang, W.; Zhu, T. Chromosome-scale genome assembly provides insights into speciation of allotetraploid and massive biomass accumulation of elephant grass (Pennisetum purpureum Schum.). Mol. Ecol. Resour. 2022, 22, 2363–2378. [Google Scholar] [CrossRef]
- Zheng, H.; Wang, B.; Hua, X.; Gao, R.; Wang, Y.; Zhang, Z.; Zhang, Y.; Mei, J.; Huang, Y.; Huang, Y. A near-complete genome assembly of the allotetrapolyploid Cenchrus fungigraminus (JUJUNCAO) provides insights into its evolution and C4 photosynthesis. Plant Commun. 2023, 4, 100633. [Google Scholar] [CrossRef] [PubMed]
- Marshall, V.M.; Lewis, M.M.; Ostendorf, B. Buffelgrass (Cenchrus ciliaris) as an invader and threat to biodiversity in arid environments: A review. J. Arid. Environ. 2012, 78, 1–12. [Google Scholar] [CrossRef]
- Cook, B.; Pengelly, B.; Schultze-Kraft, R.; Taylor, M.; Burkart, S.; Cardoso Arango, J.; González Guzmán, J.; Cox, K.; Jones, C.; Peters, M. Tropical Forages: An Interactive Selection Tool, 2nd ed.; International Center for Tropical Agriculture (CIAT): Cali, Colombia; International Livestock Research Institute (ILRI): Nairobi, Kenya, 2020; Available online: www.tropicalforages.info (accessed on 18 December 2023).
- Kharrat-Souissi, A.; Siljak-Yakovlev, S.; Brown, S.C.; Baumel, A.; Torre, F.; Chaieb, M. The polyploid nature of Cenchrus ciliaris L. (Poaceae) has been overlooked: New insights for the conservation and invasion biology of this species—A review. Rangeland J. 2014, 36, 11–23. [Google Scholar] [CrossRef]
- Kharrat-Souissi, A.; Siljak-Yakovlev, S.; Brown, S.C.; Chaieb, M. Cytogeography of Cenchrus ciliaris (Poaceae) in Tunisia. Folia Geobot. 2013, 48, 95–113. [Google Scholar] [CrossRef]
- Heuzé, V.; Tran, G.; Baumont, R.; Lebas, F. Buffel Grass (Cenchrus ciliaris). Feedipedia, a Programme by INRA, CIRAD, AFZ and FAO. 2016. Last updated on 15 April 2016. Available online: https://www.feedipedia.org/node/482 (accessed on 10 September 2023).
- Kisambo, B.K.; Wasonga, O.V.; Koech, O.K.; Karuku, G.N. Morphological and productivity responses of Buffel grass (Cenchrus ciliaris) and Guinea grass (Panicum maximum) ecotypes to simulated grazing in a semi-arid environment. Grassl. Res. 2022, 1, 290–300. [Google Scholar] [CrossRef]
- Alhammad, B.A.; Mohamed, A.; Raza, M.A.; Ngie, M.; Maitra, S.; Seleiman, M.F.; Wasonga, D.; Gitari, H.I. Optimizing productivity of Buffel and Sudan grasses using optimal nitrogen fertilizer application under arid conditions. Agronomy 2023, 13, 2146. [Google Scholar] [CrossRef]
- Sanderson, M.; Voigt, P.; Jones, R. Yield and quality of warm-season grasses in central Texas. J. Range Manag. 1999, 52, 145–150. [Google Scholar] [CrossRef]
- Arshadullah, M.; Malik, M.A.; Rasheed, M.; Jilani, G.; Zahoor, F.; Kaleem, S. Seasonal and genotypic variations influence the biomass and nutritional ingredients of Cenchrus ciliaris grass forage. Int. J. Agric. Biol. 2011, 13, 120–124. [Google Scholar]
- Yigzaw, G.W. Effect of harvesting stage on yield and nutritive value of buffel grass (Cenchrus ciliaris linn) under irrigation at Gewane district, north eastern Ethiopia. J. Sci. Innov. Res. 2019, 8, 7–12. [Google Scholar] [CrossRef]
- Simeão, R.M.; Resende, M.D.; Alves, R.S.; Pessoa-Filho, M.; Azevedo, A.L.S.; Jones, C.S.; Pereira, J.F.; Machado, J.C. Genomic selection in tropical forage grasses: Current status and future applications. Front. Plant Sci. 2021, 12, 665195. [Google Scholar] [CrossRef] [PubMed]
- Jorge, M.A.B.; Van De Wouw, M.; Hanson, J.; Mohammed, J. Characterisation of a collection of buffel grass (Cenchrus ciliaris). Trop. Grassl. 2008, 42, 27–39. [Google Scholar]
- Sánchez Gutiérrez, R.A.; Morales Nieto, C.R.; Hanson, J.; Santellano Estrada, E.; Jurado Guerra, P.; Villanueva Avalos, J.F.; Melgoza Castillo, A. Forage characterization of ecotypes of buffel grass under temporary conditions in Debre Zeit, Ethiopia. Rev. Mex. Cienc. Agrícolas 2017, 8, 14. [Google Scholar]
- Negawo, A.T.; Habte, E.; Muktar, M.S.; Sartie, A.; Jones, C.S. Molecular characterization of apomixis in Cenchrus ciliaris and its application in genetic resources improvement. In Proceedings of the Conference on International Research on Food Security, Hohenheim, Germany, 15–17 September 2021. [Google Scholar]
- Kilian, A.; Wenzl, P.; Huttner, E.; Carling, J.; Xia, L.; Blois, H.; Caig, V.; Heller-Uszynska, K.; Jaccoud, D.; Hopper, C.; et al. Diversity arrays technology: A generic genome profiling technology on open platforms. Methods Mol. Biol. 2012, 888, 67–89. [Google Scholar] [PubMed]
- Bennetzen, J.L.; Schmutz, J.; Wang, H.; Percifield, R.; Hawkins, J.; Pontaroli, A.C.; Estep, M.; Feng, L.; Vaughn, J.N.; Grimwood, J.; et al. Reference genome sequence of the model plant Setaria. Nat. Biotechnol. 2012, 30, 555. [Google Scholar] [CrossRef] [PubMed]
- Habte, E.; Muktar, M.S.; Abdena, A.; Hanson, J.; Sartie, A.M.; Negawo, A.T.; Machado, J.C.; Ledo, F.J.d.S.; Jones, C.S. Forage performance and detection of marker trait associations with potential for Napier grass (Cenchrus purpureus) improvement. Agronomy 2020, 10, 542. [Google Scholar] [CrossRef]
- Endecott, R.L.; Mathis, C.P. Ration Balancing on the Ranch; New Mexico State University, Cooperative Extension Service: Las Cruces, NM, USA, 2006. [Google Scholar]
- Juergen, G.; Uwe, L. Nortest: Tests for Normality; R Package Version 1.0-4; 2015; Available online: https://cran.r-project.org/web/packages/nortest/index.html (accessed on 20 November 2023).
- Burton, G.W.; Devane, D.E. Estimating heritability in tall fescue (Festuca arundinacea) from replicated clonal material 1. Agron. J. 1953, 45, 478–481. [Google Scholar] [CrossRef]
- R Core Team. R: A Language and Environment for Statistical Computing; R Foundation for Statistical Computing: Vienna, Austria, 2022; Available online: https://www.R-project.org/ (accessed on 20 September 2023).
- Muktar, M.S.; Habte, E.; Teshome, A.; Assefa, Y.; Negawo, A.T.; Lee, K.W.; Zhang, J.Y.; Jones, C.S. Insights into the genetic architecture of complex traits in Napier Grass (Cenchrus purpureus) and QTL regions governing forage biomass yield, water use efficiency and feed quality traits. Front. Plant Sci. 2022, 12, 678862. [Google Scholar] [CrossRef] [PubMed]
- Liu, X.L.; Huang, M.; Fan, B.; Buckler, E.S.; Zhang, Z.W. Iterative Usage of Fixed and Random Effect Models for Powerful and Efficient Genome-Wide Association Studies. PLoS Genet. 2016, 12, 1005767. [Google Scholar] [CrossRef] [PubMed]
- Huang, M.; Liu, X.L.; Zhou, Y.; Summers, R.M.; Zhang, Z.W. BLINK: A package for the next level of genome-wide association studies with both individuals and markers in the millions. Gigascience 2019, 8, giy154. [Google Scholar] [CrossRef] [PubMed]
- Price, A.L.; Patterson, N.J.; Plenge, R.M.; Weinblatt, M.E.; Shadick, N.A.; Reich, D. Principal components analysis corrects for stratification in genome-wide association studies. Nat. Genet. 2006, 38, 904–909. [Google Scholar] [CrossRef] [PubMed]
- Wang, J.B.; Zhang, Z.W. GAPIT Version 3: Boosting Power and Accuracy for Genomic Association and Prediction. Genom. Proteom. Bioinform. 2021, 19, 629–640. [Google Scholar] [CrossRef]
- Ouellette, L.A.; Reid, R.W.; Blanchard, S.G.; Brouwer, C.R. LinkageMapView—Rendering high-resolution linkage and QTL maps. Bioinformatics 2018, 34, 306–307. [Google Scholar] [CrossRef]
- Hanselka, C.W. Forage quality of common buffelgrass as influenced by prescribed fire. Tex. J. Agric. Nat. Resour. 1989, 3, 15–18. [Google Scholar]
- Sánchez-Gutiérrez, R.A.; Hanson, J.; Jones, C.; Jurado-Guerra, P.; Santellano-Estrada, E.; Melgoza-Castillo, A.; Morales-Nieto, C. Caracterización morfológica de genotipos de pasto Buffel con potencial para producción de forraje y semilla. Rev. Fitotec. Mex. 2020, 43, 343. [Google Scholar] [CrossRef]
- Tyagi, V.C.; Singh, T.; Dikshit, N.; Singh, S.; Rana, M.; Kaldate, R.; Govindaswamy, P.; Halli, H.M.; Ghosh, A.; Singhal, R.K. Genetic and Genomic Resources of Range Grasses: Status and Future Prospects. In Molecular Interventions for Developing Climate-smart Crops: A Forage Perspective; Singhal, R.K., Ahmed, S., Pandey, S., Chand, S., Eds.; Spinger: Singapore, 2023; pp. 3–34. [Google Scholar]
- Gurikar, C.; Gowda, N.N.; Hanumantharaju, K.; Netravati, B. Role of Bacillus species in soil fertility with reference to rhizosphere engineering. In Rhizosphere Engineering; Elsevier: Amsterdam, The Netherlands, 2022; pp. 65–76. [Google Scholar]
- Shine, M.; Yang, J.W.; El-Habbak, M.; Nagyabhyru, P.; Fu, D.Q.; Navarre, D.; Ghabrial, S.; Kachroo, P.; Kachroo, A. Cooperative functioning between phenylalanine ammonia lyase and isochorismate synthase activities contributes to salicylic acid biosynthesis in soybean. New Phytol. 2016, 212, 627–636. [Google Scholar] [CrossRef] [PubMed]
- Cass, C.L.; Peraldi, A.; Dowd, P.F.; Mottiar, Y.; Santoro, N.; Karlen, S.D.; Bukhman, Y.V.; Foster, C.E.; Thrower, N.; Bruno, L.C. Effects of PHENYLALANINE AMMONIA LYASE (PAL) knockdown on cell wall composition, biomass digestibility, and biotic and abiotic stress responses in Brachypodium. J. Exp. Bot. 2015, 66, 4317–4335. [Google Scholar] [CrossRef] [PubMed]
- Wang, C.; Song, B.; Dai, Y.; Zhang, S.; Huang, X. Genome-wide identification and functional analysis of U-box E3 ubiquitin ligases gene family related to drought stress response in Chinese white pear (Pyrus bretschneideri). BMC Plant Biol. 2021, 21, 235. [Google Scholar] [CrossRef] [PubMed]
- Zhao, J.-Y.; Lu, Z.-W.; Sun, Y.; Fang, Z.-W.; Chen, J.; Zhou, Y.-B.; Chen, M.; Ma, Y.-Z.; Xu, Z.-S.; Min, D.-H. The ankyrin-repeat gene GmANK114 confers drought and salt tolerance in Arabidopsis and soybean. Front. Plant Sci. 2020, 11, 584167. [Google Scholar] [CrossRef] [PubMed]
- Lopez-Ortiz, C.; Peña-Garcia, Y.; Natarajan, P.; Bhandari, M.; Abburi, V.; Dutta, S.K.; Yadav, L.; Stommel, J.; Nimmakayala, P.; Reddy, U.K. The ankyrin repeat gene family in Capsicum spp: Genome-wide survey, characterization and gene expression profile. Sci. Rep. 2020, 10, 4044. [Google Scholar] [CrossRef] [PubMed]
- Kolodziej, M.C.; Singla, J.; Sánchez-Martín, J.; Zbinden, H.; Šimková, H.; Karafiátová, M.; Doležel, J.; Gronnier, J.; Poretti, M.; Glauser, G. A membrane-bound ankyrin repeat protein confers race-specific leaf rust disease resistance in wheat. Nat. Commun. 2021, 12, 956. [Google Scholar] [CrossRef] [PubMed]
- Yang, Q.; Zhao, J.; Chen, D.; Wang, Y. E3 ubiquitin ligases: Styles, structures and functions. Mol. Biomed. 2021, 2, 23. [Google Scholar]
- Kelley, D.R. E3 Ubiquitin Ligases: Key Regulators of Hormone Signaling in Plants. Mol. Cell. Proteom. MCP 2018, 17, 1047–1054. [Google Scholar] [CrossRef]
- Al-Saharin, R.; Hellmann, H.; Mooney, S. Plant E3 Ligases and Their Role in Abiotic Stress Response. Cells 2022, 11, 890. [Google Scholar] [CrossRef]
- van Amerongen, H.; van Bolhuis, B.M.; Betts, S.; Mei, R.; van Grondelle, R.; Yocum, C.F.; Dekker, J.P. Spectroscopic characterization of CP26, a chlorophyll ab binding protein of the higher plant Photosystem II complex. Biochim. Biophys. Acta (BBA)-Bioenerg. 1994, 1188, 227–234. [Google Scholar] [CrossRef]
- Huang, Q.; Li, L.; Zheng, M.; Chen, F.; Long, H.; Deng, G.; Pan, Z.; Liang, J.; Li, Q.; Yu, M. The tryptophan decarboxylase 1 gene from Aegilops variabilis No. 1 regulate the resistance against cereal cyst nematode by altering the downstream secondary metabolite contents rather than auxin synthesis. Front. Plant Sci. 2018, 9, 1297. [Google Scholar] [CrossRef] [PubMed]
- Facchini, P.J.; Huber-Allanach, K.L.; Tari, L.W. Plant aromatic L-amino acid decarboxylases: Evolution, biochemistry, regulation, and metabolic engineering applications. Phytochemistry 2000, 54, 121–138. [Google Scholar] [CrossRef] [PubMed]
- Wang, X.; An, Y.; Xu, P.; Xiao, J. Functioning of PPR proteins in organelle RNA metabolism and chloroplast biogenesis. Front. Plant Sci. 2021, 12, 627501. [Google Scholar] [CrossRef]
- Manna, S. An overview of pentatricopeptide repeat proteins and their applications. Biochimie 2015, 113, 93–99. [Google Scholar] [CrossRef]
- Li, L.; He, Z.; Pandey, G.K.; Tsuchiya, T.; Luan, S. Functional cloning and characterization of a plant efflux carrier for multidrug and heavy metal detoxification. J. Biol. Chem. 2002, 277, 5360–5368. [Google Scholar] [CrossRef]










| Traits/Sources of Variation | YLD | PH | NDF | ADF | CP | TND | DMI |
|---|---|---|---|---|---|---|---|
| Genotype | <0.001 | <0.001 | <0.001 | <0.001 | <0.001 | <0.001 | <0.001 |
| Replication | <0.001 | <0.001 | <0.001 | <0.001 | <0.001 | <0.001 | <0.001 |
| Season | <0.001 | <0.001 | <0.001 | <0.001 | <0.001 | <0.001 | <0.001 |
| Genotype: Season | NS | NS | NS | 0.001 | NS | NS | NS |
| CV% | 34.9 | 17.9 | 2.3 | 4.7 | 13.4 | 4.1 | 2.3 |
| R-square % | 73 | 73 | 77 | 88 | 85 | 89 | 78 |
| Traits/Statistics | Minimum | Maximum | Mean | PCV | GCV |
|---|---|---|---|---|---|
| YLD (Kg/ha) | 1609.65 | 9097.54 | 4562.22 | 28.1 | 28.1 |
| PH (cm) | 71.50 | 135.22 | 103.31 | 13.9 | 9.9 |
| CP (%) | 6.11 | 12.21 | 10.02 | 32.8 | 8.9 |
| NDF (%) | 69.98 | 75.68 | 72.37 | 11.8 | 1.2 |
| ADF (%) | 40.40 | 48.69 | 44.62 | 15.2 | 2.8 |
| TND (%) | 43.10 | 51.73 | 48.03 | 14.7 | 2.9 |
| DMI (%) | 1.59 | 1.72 | 1.66 | 77.6 | 1.2 |
| No. | Model | Marker ID | Marker Sequence | RefSeq Sequence | Chr | pos | Allele | Minor Allele | maf | p-Value | R2 without SNP | R2 with SNP | R2* | FDR Adjusted p Values | Effect | Remark |
|---|---|---|---|---|---|---|---|---|---|---|---|---|---|---|---|---|
| 1 | GLM | 30838261 | TGCAGGTTTGAGGCTTGTCAGTGTGCTCGTCCCCTTGTGCCGACCTTTCCCAGGCGTCCCTGTCCGAGA | NC_028450.1 | 1 | 32,744,739 | 0/1 | 1 | 0.079 | 4.60 × 10−6 | 0.296 | 0.445 | 0.149 | 0.006 | 2009.364 | Minor allele has positive effect |
| 2 | FarmCPU | 30921428 | TGCAGCAAATACTTACCAGAGCACAGGTTGCCAGAAAATATTGTTGCAACAACAAGTGCTGCTGATGCT | NC_028451.1 | 2 | 8,049,803 | 0/1 | 1 | 0.097 | 1.65 × 10−6 | NA | NA | NA | 0.005 | −969.259 | Minor allele has negative effect |
| 3 | GLM | 30912865 | TGCAGAGAGTTGCAAAACGTATCGAAACAAATGTTGGAGACTTGCCGTGGGGTGAGGTGAAGACGGACT | NC_028451.1 | 2 | 30,749,442 | 0/1 | 1 | 0.097 | 2.45 × 10−6 | 0.296 | 0.455 | 0.158 | 0.005 | 1608.405 | Minor allele has positive effect |
| 4 | GLM | 30829864 | TGCAGGCCGATCACGCTGTACGCCATGTGACCCAGCCGCGACGCCACCTGCACCGCGAACCGCAAAATG | NC_028452.1 | 3 | 3,213,526 | 0/1 | 1 | 0.118 | 6.32 × 10−6 | 0.296 | 0.441 | 0.144 | 0.006 | −1985.889 | Minor allele has negative effect |
| 5 | GLM | 30944290 | TGCAGCTGCTCCACTGTTTTCGCACTGCTGAACTGTTCTTCTCTAACTGAAGAATATTTGTGGGCAACC | NC_028453.1 | 4 | 7,437,264 | 0/1 | 1 | 0.075 | 6.10 × 10−7 | 0.296 | 0.476 | 0.180 | 0.003 | 1779.373 | Minor allele has positive effect |
| 6 | Blink | 30944290 | TGCAGCTGCTCCACTGTTTTCGCACTGCTGAACTGTTCTTCTCTAACTGAAGAATATTTGTGGGCAACC | NC_028453.1 | 4 | 7,437,264 | 0/1 | 1 | 0.075 | 3.27 × 10−8 | NA | NA | NA | 0.000 | NA | |
| 7 | GLM | 30846885 | TGCAGAGAGAGGGAGAGAGAGGCTATCCTACTATGCAACGGTCAAAAGGCTTCAAAGGAGGAGAAATCA | NC_028455.1 | 6 | 33,041,360 | 0/1 | 1 | 0.105 | 4.25 × 10−6 | 0.296 | 0.447 | 0.150 | 0.006 | −1877.678 | Minor allele has negative effect |
| 8 | GLM | 30838332 | TGCAGTCCTAAACACCAGCACAGCACTCTCCTCTCCTTCCATCCCTAACATACATCATCAGCGATACAG | NC_028456.1 | 7 | 28,411,310 | 0/1 | 1 | 0.079 | 8.87 × 10−7 | 0.296 | 0.470 | 0.174 | 0.003 | 1764.365 | Minor allele has positive effect |
| 9 | FarmCPU | 30838332 | TGCAGTCCTAAACACCAGCACAGCACTCTCCTCTCCTTCCATCCCTAACATACATCATCAGCGATACAG | NC_028456.1 | 7 | 28,411,310 | 0/1 | 1 | 0.079 | 1.08 × 10−8 | NA | NA | NA | 0.000 | 1528.874 | Minor allele has positive effect |
| 10 | Blink | 30838332 | TGCAGTCCTAAACACCAGCACAGCACTCTCCTCTCCTTCCATCCCTAACATACATCATCAGCGATACAG | NC_028456.1 | 7 | 28,411,310 | 0/1 | 1 | 0.079 | 5.72 × 10−10 | NA | NA | NA | 0.000 | NA | |
| 11 | GLM | 30846154 | TGCAGTCTCCCAATCTCCCGTGGGAGCTCTGTGATTTGATCGCAGTCCTTGAGATCCAGATACCTAAGC | NC_028457.1 | 8 | 26,442,566 | 0/1 | 1 | 0.088 | 6.10 × 10−6 | 0.296 | 0.441 | 0.145 | 0.006 | −1463.693 | Minor allele has negative effect |
| 12 | FarmCPU | 30846154 | TGCAGTCTCCCAATCTCCCGTGGGAGCTCTGTGATTTGATCGCAGTCCTTGAGATCCAGATACCTAAGC | NC_028457.1 | 8 | 26,442,566 | 0/1 | 1 | 0.088 | 3.30 × 10−6 | NA | NA | NA | 0.007 | −853.891 | Minor allele has negative effect |
| 13 | Blink | 30846154 | TGCAGTCTCCCAATCTCCCGTGGGAGCTCTGTGATTTGATCGCAGTCCTTGAGATCCAGATACCTAAGC | NC_028457.1 | 8 | 26,442,566 | 0/1 | 1 | 0.088 | 3.91 × 10−9 | NA | NA | NA | 0.000 | NA |
| No. | Model | Marker ID | Marker Sequence | RefSeq Sequence | Chr | pos | Alleles | Minor Allele | maf | p-Value | R2 without SNP | R2 with SNP | R2* | FDR Adjusted p Values | Effect | Remark |
|---|---|---|---|---|---|---|---|---|---|---|---|---|---|---|---|---|
| 1 | GLM | 30964292-59-G/A | TGCAGCTCAGAGCAGTACGACGCCATGGCGATCTCGGCGCCCTTGAACCCGTAGTCCAGGCTCGGGTTG | NC_028450.1 | 1 | 31,786,540 | G/A | A | 0.179 | 7.11 × 10−07 | 0.437 | 0.571 | 0.314 | 0.002 | −1149.039 | Minor allele has a negative effect |
| 2 | FarmCPU | 30935961-51-C/T | TGCAGATCTACTAAAATCTAGCCGCGCCAGCAGCGACGCGAACCGCTAAATCCACCCAAACCTAGCACC | NC_028454.1 | 5 | 3,450,894 | C/T | T | 0.058 | 1.12 × 10−06 | NA | NA | NA | 0.006 | 992.590 | Minor allele has a positive effect |
| 3 | GLM | 30882610-38-G/A | TGCAGCGTGCGGCAGCAGACCAGATCCGTCGGGTTGAAGTTCACCG | NC_028458.1 | 9 | 9,428,069 | G/A | A | 0.079 | 4.99 × 10−07 | 0.437 | 0.575 | 0.138 | 0.002 | 1629.385 | Minor allele has a positive effect |
| No. | Trait | Model | Marker ID | Marker Sequence | RefSeq Sequence | Chr | pos | Allele | Minor Allele | maf | p-Value | R2 without SNP | R2 with SNP | R2* | FDR Adjusted p Values | Effect | Remark |
|---|---|---|---|---|---|---|---|---|---|---|---|---|---|---|---|---|---|
| 1 | TDN | FarmCPU | 30930072 | TGCAGCTGGCGTCGGCGACGGCGTGCGTCGCGCTGTCGGCGGCGCGGCTCGCCCG | NC_028452.1 | 3 | 44,894,692 | 0/1 | 0 | 0.32 | 1.64 × 10−6 | NA | NA | NA | 0.005 | −0.818 | Minor allele has negative effect |
| 2 | ADF | Blink | 30879386 | TGCAGTAGTGGCGGTGGACTACGACGCCTCCCCCTGCGAGCACATCATATCCCAGACGCCTGCTCGACG | NC_028454.1 | 5 | 1,406,759 | 0/1 | 0 | 0.272 | 1.64 × 10−10 | NA | NA | NA | 0.000 | NA | |
| TDN | GLM | 30879386 | TGCAGTAGTGGCGGTGGACTACGACGCCTCCCCCTGCGAGCACATCATATCCCAGACGCCTGCTCGACG | NC_028454.1 | 5 | 1,406,759 | 0/1 | 1 | 0.272 | 5.22 × 10−6 | 0.202 | 0.368 | 0.167 | 0.034 | 1.464 | Minor allele has positive effect | |
| TDN | Blink | 30879386 | TGCAGTAGTGGCGGTGGACTACGACGCCTCCCCCTGCGAGCACATCATATCCCAGACGCCTGCTCGACG | NC_028454.1 | 5 | 1,406,759 | 0/1 | 1 | 0.272 | 1.74 × 10−10 | NA | NA | NA | 0.000 | NA | ||
| ADF | GLM | 30879386 | TGCAGTAGTGGCGGTGGACTACGACGCCTCCCCCTGCGAGCACATCATATCCCAGACGCCTGCTCGACG | NC_028454.1 | 5 | 1,406,759 | 0/1 | 1 | 0.272 | 3.65 × 10−6 | 0.169 | 0.349 | 0.180 | 0.024 | −1.509 | Minor allele has negative effect | |
| 3 | TDN | FarmCPU | 30841580 | TGCAGAACGTTCAGACTTCAAACCACATGCTGCCGTGCGCATCAGCACATGTGCTTGACTTGTGACCTG | NC_028454.1 | 5 | 6,158,000 | 0/1 | 1 | 0.145 | 1.47 × 10−6 | NA | NA | NA | 0.005 | −1.130 | Minor allele has negative effect |
| 4 | ADF | Blink | 30930612 | TGCAGCTCCCGCCGTGGCAGCACTCCAGCGCGTCCCAGCCG | NC_028456.1 | 7 | 25,606,103 | 0/1 | 1 | 0.18 | 1.06 × 10−6 | NA | NA | NA | 0.003 | NA | NA |
| TDN | Blink | 30930612 | TGCAGCTCCCGCCGTGGCAGCACTCCAGCGCGTCCCAGCCG | NC_028456.1 | 7 | 25,606,103 | 0/1 | 1 | 0.18 | 1.40 × 10−7 | NA | NA | NA | 0.001 | NA | NA |
Disclaimer/Publisher’s Note: The statements, opinions and data contained in all publications are solely those of the individual author(s) and contributor(s) and not of MDPI and/or the editor(s). MDPI and/or the editor(s) disclaim responsibility for any injury to people or property resulting from any ideas, methods, instructions or products referred to in the content. |
© 2024 by the authors. Licensee MDPI, Basel, Switzerland. This article is an open access article distributed under the terms and conditions of the Creative Commons Attribution (CC BY) license (https://creativecommons.org/licenses/by/4.0/).
Share and Cite
Negawo, A.T.; Muktar, M.S.; Gutiérrez, R.A.S.; Habte, E.; Muchugi, A.; Jones, C.S. A Genome-Wide Association Study of Biomass Yield and Feed Quality in Buffel Grass (Cenchrus ciliaris L.). Agriculture 2024, 14, 257. https://doi.org/10.3390/agriculture14020257
Negawo AT, Muktar MS, Gutiérrez RAS, Habte E, Muchugi A, Jones CS. A Genome-Wide Association Study of Biomass Yield and Feed Quality in Buffel Grass (Cenchrus ciliaris L.). Agriculture. 2024; 14(2):257. https://doi.org/10.3390/agriculture14020257
Chicago/Turabian StyleNegawo, Alemayehu Teressa, Meki Shehabu Muktar, Ricardo Alonso Sánchez Gutiérrez, Ermias Habte, Alice Muchugi, and Chris S. Jones. 2024. "A Genome-Wide Association Study of Biomass Yield and Feed Quality in Buffel Grass (Cenchrus ciliaris L.)" Agriculture 14, no. 2: 257. https://doi.org/10.3390/agriculture14020257
APA StyleNegawo, A. T., Muktar, M. S., Gutiérrez, R. A. S., Habte, E., Muchugi, A., & Jones, C. S. (2024). A Genome-Wide Association Study of Biomass Yield and Feed Quality in Buffel Grass (Cenchrus ciliaris L.). Agriculture, 14(2), 257. https://doi.org/10.3390/agriculture14020257

