You are currently viewing a new version of our website. To view the old version click .
Agriculture
  • Article
  • Open Access

13 November 2024

The Application of 1-MCP in Combination with GABA Reduces Chilling Injury and Extends the Shelf Life in Tomato (Cv. Conquista)

,
,
,
and
Postharvest Research Group of Fruit and Vegetables, Agro-Food and Agro-Environmental Research and Innovation Institute (CIAGRO-UMH), University Miguel Hernández, Ctra. Beniel km. 3.2, 03312 Orihuela, Spain
*
Author to whom correspondence should be addressed.
This article belongs to the Section Agricultural Product Quality and Safety

Abstract

Tomatoes have a short shelf life, and refrigeration is commonly used to extend tomato quality. However, suboptimal temperatures can lead to chilling injury (CI), reducing their marketability. In this study, the combined application of 10 mM γ-aminobutyric acid (GABA) and 0.5 µL L−1 of 1-methylcyclopropene (1-MCP) were used as strategies to reduce postharvest CI and prolong storability during tomato commercialization. Both treatments have individually demonstrated their effectiveness in lowering physiological disorders in tomatoes. When applied, the combined treatment resulted in the lowest CI and rot incidence levels compared with the control and individual treatments. Additionally, the combined application effectively delayed weight loss, fruit softening, respiration rate, ethylene production, and increased chlorophyll and flavonoid content. The synergistic application of these substances improved the postharvest quality during storage, reducing quality losses. For this reason, the combination of GABA and 1-MCP could be an effective tool to minimize tomato waste during commercialization by increasing resilience to cold storage and extending the overall fruit shelf life during refrigerated storage.

1. Introduction

Tomatoes (Solanum lycopersicum L.) are among the most extensively cultivated and consumed horticultural crops globally, owing to their nutritional attributes and economic significance. Due to its widespread consumption and subsequent high level of commercialization, implementing postharvest technologies becomes imperative to prolong tomato quality and shelf life. As a climacteric fruit, the ripening process of tomatoes during the postharvest stage is intricately linked to the presence of ethylene [1]. Cold storage reduces plant metabolism, resulting in lower respiration rates and ethylene production, enhancing shelf life. Nonetheless, prolonged exposure to cold storage can lead to chilling injury (CI), causing physiological issues and vulnerability to microbial impact, developing disease [2]. These factors collectively impact the synthesis of secondary metabolites, affecting bioactive components. The initiation of secondary metabolite synthesis occurs during fruit growth and persists throughout the ripening phase. Secondary metabolites include volatile organic compounds (derived from organic acids, amino acids, etc.), carotenoids, and alkaloids. Whereas research efforts have improved tomato production, maximizing profits necessitates concurrent strategies to minimize postharvest losses, prolonging fruit shelf life.
Ethylene is essential among diverse plant growth regulators, exerting influence over crucial growth and developmental processes, particularly the stages of ripening and senescence. Employing ethylene inhibitors is a viable approach to delay ripening and senescence in horticultural crops [3]. The compound 1-Methylcyclopropene (1-MCP) is a potent ethylene action inhibitor widely applied in post-harvest fruit and vegetable preservation. Postharvest application of 1-MCP in tomatoes has been demonstrated to delay fruit softening, mitigate rot incidence, increase bioactive compounds, regulate antioxidant enzyme activities, and reduce ripening and ethylene production [4]. The impact of 1-MCP on tomatoes is affected by cultivation practices, the concentration and exposure duration of 1-MCP, and the specific ripening stage [5,6]. Furthermore, 1-MCP binds to ethylene receptors during treatment, and any ethylene sensitivity restoration is attributed to new receptor sites.
The γ-aminobutyric acid (GABA), a non-protein four-carbon acid, is a signaling molecule regulating plant growth and development. It is a crucial metabolite in both primary and secondary pathways, acting as a significant intermediate in nitrogen metabolism and amino acid biosynthesis [7]. The application of exogenous GABA elevates endogenous GABA levels, enhancing GABA shunt activity, resulting in increased carbon flux through respiratory pathways and restoring redox and energy levels, thus improving postharvest marketability [8]. Postharvest GABA treatments were effective in maintaining or enhancing postharvest quality in various fruits, including bananas [9] and pomegranates [10]. Positive effects have been observed when GABA was applied as a preharvest or postharvest treatment in tomatoes, providing protection against CI, reducing fruit softening, and preserving quality parameters during cold storage. These effects are associated with higher membrane integrity, represented by a lower electrolyte leakage and malondialdehyde (MDA) accumulation. The preservation of tomato fruit membrane integrity through exogenous GABA application may be attributed to the scavenging of reactive oxygen species (ROS) by catalase (CAT), superoxide dismutase (SOD), and ascorbate peroxidase (APX) enzymes [11].
The main objective of this work has been to evaluate the combined effect of GABA and 1-MCP in reducing CI and extending the shelf life of tomatoes during cold storage and commercialization. Both compounds have individually demonstrated their effectiveness in enhancing the postharvest quality of tomatoes. However, despite the individual use of both compounds to enhance tomato postharvest quality, no previous studies have elucidated the potential additional or synergistic effects of the simultaneous application of both substances.

2. Materials and Methods

2.1. Plant Material and Experimental Design

Tomatoes (Lycopersicon esculentum Mill.) cv. Conquista was harvested from a commercial farm in Almería, Spain. The area climate is classified as semi-arid Mediterranean, with warm, dry summers and mild winters with minimal rainfall. The tomatoes were harvested from a greenhouse in late winter (February 2021). Tomatoes were rapidly transported to the laboratory on the harvest day and selected based on the uniform fruit size and color characteristics. Tomatoes were organized into three sets of five fruits each for various treatments and sampling days (n = 3).
For the GABA treatment (Sigma-Aldrich, Madrid, España, ≥99% A2129), immersion in a 10 mM solution was conducted for 10 min. In the case of the control and treatments involving 1-MCP alone or in combination, distilled water immersions lasting 10 min were employed to ensure consistent conditions. All the immersion solutions included tween-20 (Sigma-Aldrich, Madrid, España, P1379) at a concentration of 0.05%. Following treatments, tomato fruits were allowed to air-dry at 20 °C for one hour before being individually placed into 130-L plastic containers per treatment, providing similar and uniform conditions for the different fruit batches. Subsequently, the containers were sealed hermetically, allowing the released 1-MCP to take effect for 24 h at 20 °C in 1-MCP-treated batches alone or combined with previous GABA immersions. The control fruit and GABA batches were exposed to normal air within these containers under the same temperature conditions. Applying 1-MCP treatments involved commercial tablets releasing 0.5 µL L−1 with a commercial activator solution from SmartFresh (Agro-Fresh Inc., Philadelphia, PA, USA) following the manufacturer’s instructions. Following treatments, all the fruits were stored for 21 days at 4 °C and 90% relative humidity to induce CI, followed by an additional 7-day period at 20 °C to simulate typical shelf-life conditions and to assess CI progression. The optimal dose of MCP applied to these fruits was determined based on the findings of Guillén et al. [5]. In a preliminary investigation, GABA doses of 1, 5, and 10 mM were tested after 10-min immersions, with the 10 mM concentration selected as the optimal concentration for this experiment.

2.2. Postharvest Quality Parameters

The weight loss was expressed as a percentage relative to their initial weight and evaluated in each tomato individually. The results represented the mean ± SE of five fruits per replicate (n = 3).
Fruit firmness was individually determined with a flat plate probe with a diameter of 100 mm equipped with a TX-XT2i texture analyzer (Stable Microsystems, Godalming, UK). Two equidistant readings were taken in the equatorial region of each fruit, with the disc descending at a rate of 20 mm per minute until a 5% deformation was reached. Fruit firmness was expressed as a ratio of the applied force to the distance traveled (N mm−1). The fruit firmness evaluated at harvest in tomato fruit before storage was 2.91 ± 0.14 N mm−1.
Respiration and ethylene levels were calculated based on three replicates of five tomatoes (n = 3) for each treatment hermetically sealed in a 4.6 L plastic container with a rubber stopper for 30 min using the static method [12]. Subsequently, a 1 mL gas sample was extracted in duplicate from the headspace in each container. These samples were injected into a Shimadzu GC-14B gas chromatograph and a Shimadzu GC-2010 gas chromatograph (Shimadzu Europa GmbH, Duisburg, Germany) equipped with an FID detector to determine CO2 and ethylene concentrations, respectively. The respiration rate and ethylene production results were expressed as mg of CO2 kg−1 h−1 and nL g−1 h−1, respectively.
The total soluble solids (TSS) content was determined in duplicate for each replicate (n = 3) using approximately 50 g obtained from a mix of five halves of tomatoes for each replicate and homogenized. These samples were filtered through two layers of cotton cloth. The resulting juice was measured at 20 °C using an Atago PR-101 digital refractometer (Atago Co., Ltd., Tokyo, Japan). Results were expressed as g per 100 g−1. Similarly, total acidity (TA) was assessed in each filtered sample in duplicate (n = 3) through automated titration (785 DMP Titrino, Metrohm, Herisau, Switzerland) and expressed as grams of malic acid equivalents per 100 g−1. These parameters were assessed at harvest with a TSS and TA of 5.26 ± 0.16 and 1.29 ± 0.06 values, respectively.
Color measurements were conducted for each fruit using a Minolta colorimeter (CRC400, Minolta Camera Co., Kantō, Tokyo, Japan). Three color measurements were taken for each fruit at two opposing and longitudinally equidistant points and expressed as CIE hue* (arctg b*/a*) and CIE L* based on CIELab coordinates. Colour parameters were assessed at harvest, obtaining different values for CIE L* (47.74 ± 0.40), CIE a* (−7.48 ± 0.51), CIE b* (24.94 ± 0.34), and CIE hue* (106.59 ± 1.05).
Total polyphenols were assessed using the Folin-Ciocalteu (FC) method described by Lezoul et al. [13] for different plant tissues. For the analysis, 200 μL of each extract was taken in duplicate (n = 3) and combined with 300 μL of 50 mM phosphate buffer solution, 2.5 mL of FC reagent, and 2 mL of Na2CO3 at 1 N. After stirring and incubating in a water bath at 50 °C for 5 min, the extracts were centrifuged, and the absorbance was measured at 760 nm using a spectrophotometer (1900 UV/Vis, Shimadzu, Kyoto, Japan). The results were expressed as milligrams of gallic acid equivalent per 100 g−1 (mean ± SE).
Flavonoids were measured following the Woisky & Salatino [14] method, where 500 μL of the sample extract was mixed in duplicate with 1.5 mL of 95% methanol, 0.1 mL of 10% (m/v) AlCl3, 0.1 mL of 1 M sodium acetate, and 2.8 mL of distilled water. After incubation in the dark at room temperature for 30 min, the absorbance was measured at 415 nm using a spectrophotometer (1900 UV/Vis, Shimadzu, Kyoto, Japan). The results were expressed in milligrams equivalents of quercetin-3-rutinoside per 100 g−1 referencing the quercetin-3-rutinoside calibration curve.
Carotenoid and chlorophyll content were determined by extracting a homogeneous mixture from each replicate per lot using the method detailed by Vu et al. [15]. After pigment extraction through homogenization in methanol, the samples were centrifuged, and the supernatant was measured at wavelengths of 470, 652.4, and 665.2 in a spectrophotometer (1900 UV/Vis, Shimadzu, Kyoto, Japan). The results were expressed as milligrams per 100 g−1 of sample for both carotenoids and chlorophylls.
Total antioxidant activity was evaluated using the ABTS assay described by Lezoul et al. [13]. A total of 2 g of sample was mixed with 10 mL of 50 mM phosphate buffer solution and 6 mL of ethyl acetate. After homogenization and centrifugation, the hydrophilic and lipophilic phases were separated, and the hydrophilic (H-AA) and lipophilic (L-AA) antioxidant activities were measured in duplicate for each extract. The results were expressed as milligrams of Trolox per 100 g−1, referencing the Trolox calibration curve. H-AA was determined with 890 μL of 50 mM glycine buffer solution, 30 μL of 10 mM ABTS solution, 30 μL of 1 mM H2O2, and 25 μL of 10 μM peroxidase. In contrast, L-AA was assessed with 30 μL of 10 mM ABTS solution, 30 μL of 1 mM H2O2, 25 μL of 10 μM peroxidase, and 850 μL of ethanol.
Electrolyte leakage (EL) was measured following a previously described method with some modifications regarding the temperatures used [16]. Each replicate obtained 15 disks (1 cm diameter) from the outer tomato rind with a cork borer after removing the interior matrix and rinsing with distilled water. The disks were rinsed three times with deionized water for 3 min each, then immersed in deionized water (50 mL) for 1 h at room temperature and in continuous agitation. Then, the initial electrical conductivity (C1) at 20 °C was recorded. The discs were subsequently heated (100 °C for 10 min) and tempered to ambient temperature, and conductivity (C2) was recorded. EL results were obtained with the following formula: (C1/C2) × 100.
The determination of MDA content in the tomato fresh tissue was conducted according to the method of Zhang et al. [17]. The tissue sample (5.0 g) was homogenized in 10 mL of TCA (10% trichloroacetic acid solution), centrifuged at 10,000× g for 20 min, and then 2 mL of the supernatant was combined with 2 mL of TBA (0.67% thiobarbituric acid) in duplicate (n = 3). The testing tubes were heated to 100 °C for 20 min, rapidly cooled, and centrifuged at 10,000× g for 10 min. The samples were finally assessed in a spectrophotometer (1900 UV/Vis, Shimadzu, Kyoto, Japan) with absorbance measured at 450, 532, and 600 nm, expressed on a fresh weight basis as μmol kg−1 following the formula described by Zhang et al. [17].
Surface pitting as indicative of chilling damage in tomato fruit was visually assessed according to the criteria outlined by Ding et al. [18]. The severity of symptoms was evaluated on a 0–4 point scale: 0 denoting no pitting, 1 indicating few scattered pits, 2 indicating pitting impact up to 5% of the fruit surface, 3 representing the pitting impact covering > 5 and <25% of the fruit surface, and 4 for >25% of the fruit surface affected by this disorder.
Rotten fruits were quantified based on the percentage of decayed fruits relative to the total number of fruits for each replicate (n = 3).

2.3. Statistical Analysis

Data are presented as the average ± standard error (SE). The data underwent variance analysis (ANOVA). Comparative assessments of means were executed using a multiple-range test (specifically Tukey’s HSD test) to identify significant differences (p < 0.05) among treatments for each sampling date. These differences were represented with different lowercase letters. All statistical analyses were conducted using the SPSS software package, version 22 (IBM Corp., Armonk, NY, USA).

3. Results and Discussions

3.1. Effect of 1-MCP and GABA Treatments on Weight Loss and Fruit Firmness

The weight loss of tomatoes increased with storage time (Figure 1A). Tomatoes in the GABA group did not delay fruit weight loss (p > 0.05) compared with control fruit. In addition, 1-MCP treatment alone only delayed fruit weight loss significantly (p < 0.05) after 7 days of refrigerated storage plus 7 days more at 20 °C. However, the most effective reduction in the weight loss evolution was observed with the combination of 1-MCP and GABA, showing significant differences (p < 0.05) compared with the control fruit. Both substances, when applied together, exhibited a synergistic effect delaying this quality parameter, which was not only the result of an additive effect between the two technologies, considering the results obtained.
Figure 1. Evolution of weight loss (g 100 g−1) (A) and fruit firmness (N mm−1) (B) of tomatoes cv. Conquista treated with distilled water (Control), 1-MCP at 0.5 µL L−1, GABA at 10 mM, and the combination of 1-MCP and GABA (M + G) during storage at 4 °C plus 7 days at 20 °C. Data are the mean ± SE (n = 3). Different lowercase letters show significant differences (p < 0.05) among treatments for each sampling date.
The fruit cultivar and the storage conditions influence fruit water loss after harvest. Water loss negatively impacts fruit quality, including weight reduction, skin wrinkling, fruit collapse, color changes, and decreased organoleptic quality [19]. During storage, weight loss occurs due to water transpiration through the fruit surface area, respiration, and other metabolic activities. Previous studies have shown that GABA treatment can affect metabolism, increasing transpiration, although it did not negatively impact fruit visual quality [10]. Additionally, 1-MCP has been demonstrated to delay fruit water loss and the consequent weight loss by regulating cuticle formation and reducing water loss in tomatoes [20]. However, this study observed delayed weight loss only after 7 days of refrigerated storage, followed by 7 days at 20 °C. Previous research has indicated that 1-MCP provides beneficial effects in reducing weight loss across different cultivars and that the effect is proportional to the concentration applied [6]. The combined treatment of 1-MCP and GABA was most effective in reducing weight loss, in agreement with the findings of different studies on different fruit species in which GABA or 1-MCP were applied separately with positive results [8].
A continuous reduction in fruit firmness was observed during storage, and tomatoes treated with 1-MCP maintained significantly higher firmness values (p < 0.05) compared with untreated fruits (Figure 1B). There were no significant differences (p > 0.05) in the firmness of GABA-treated fruit compared with untreated fruit during the shelf-life period. However, the combined treatment maintained the highest fruit firmness values throughout storage, showing significant differences (p < 0.05) from the control fruit and, generally, with the rest of the treatments applied.
The decrease in fruit firmness could be associated with the production of climacteric ethylene in tomato fruit. The wrinkling and softening of tomato fruit, as well as the degradation of cell walls, is correlated with increased ethylene production and respiration rate in tomatoes. The significantly higher values observed in tomatoes treated with 1-MCP were in agreement with previous reports where 1-MCP treatment was related to reduced enzymatic activity, particularly polygalacturonase, in different tomato cultivars [21]. In contrast, GABA treatment did not show significant effects on firmness, in agreement with findings in apples, where GABA treatment had a limited impact on firmness values [22]. However, the combined treatment of 1-MCP and GABA synergistically maintained the highest firmness values throughout storage, which may be due to the combined effects of preserving membrane integrity and inhibiting cell wall-degrading enzymes, reducing weight loss as observed in peach [23].

3.2. Effect of Postharvest 1-MCP and GABA Treatments on Respiration Rate and Ethylene Production

The results obtained in this study indicate that treatment only with 1-MCP significantly reduced respiration rates (p < 0.05) compared with control fruits throughout cold storage and its subsequent shelf-life period (Figure 2A). Although no significant (p > 0.05) effect of GABA alone on fruit respiration was observed throughout most of the storage period, by the end of the experiment, the respiration levels of GABA-treated fruit were significantly lower (p < 0.05) compared with the control fruit. Combining 1-MCP with GABA treatment also reduced respiration, with the lowest respiration levels observed at the end of storage compared with the other treatments.
Figure 2. Evolution of respiration rate (mg CO2 kg−1 h−1) (A) and ethylene production (nL g−1 h−1) (B) of tomatoes cv. Conquista treated with distilled water (Control), 1-MCP at 0.5 µL L−1, GABA at 10 mM, and the combination of 1-MCP and GABA (M + G) during storage at 4 °C plus 7 days at 20 °C. Other details are the same as those in Figure 1.
In climacteric fruits, postharvest storage is characterized by increased respiration and ethylene synthesis. The effectiveness of 1-MCP in delaying the ripening process is linked to its ability to reduce the respiration rate and postpone the climacteric peak [24]. The compound 1-MCP has been shown to have an inhibitory impact on respiration rate during fruit storage, leading to a decrease in pectin hydrolysis and enzymatic activities, including polygalacturonase [21]. The reduction in respiration observed in this study supports previous findings in which the 1-MCP was found to decrease the respiration rate in different tomato cultivars [5] as well as in other fruits, such as avocados [25]. In addition, although GABA treatment alone did not affect respiration in most of the evaluated period, the combined treatments with 1-MCP showed a significant effect, resulting in the lowest respiration levels at the end of storage compared with the control fruit. This effect suggests that GABA may enhance the efficacy of 1-MCP in reducing respiration, although the role of GABA in fruit respiration during postharvest remains unclear. Previous research has indicated that ethylene production and respiration rates in tomato fruits treated with 5 mM GABA were significantly lower compared with those in the control batch and fruits treated with 20 mM GABA [11]. Furthermore, dipping in exogenous GABA effectively reduced the respiratory rate in apples [26]. Following these observations, Ansari et al. [27] suggested that the GABA metabolic pathway in the cytosol and mitochondrial matrix displayed a crucial connection between GABA, photosynthesis, and plant respiration.
As observed in the respiration rate, 1-MCP treatment, both in combination and alone, was very effective in reducing ethylene production with significantly lower values (p < 0.05) compared with untreated and GABA-treated tomato fruits (Figure 2B). GABA-treated fruit only displayed reduced ethylene levels after 7 and 21 days of storage, with lower ethylene levels for fruits treated with GABA than for control fruit. However, the lowest ethylene levels were obtained with the combination of both treatments, showing significant differences (p < 0.05), reducing ethylene production by half at the end of storage compared with control fruits (Figure 2B).
In tomatoes, the initiation of ripening is controlled by increased ethylene production. The 1-MCP blocks ethylene binding to its receptor, disrupting the signal transduction necessary to initiate ripening [28]. Hoeberichts et al. [29] found that ethylene perception is essential for activating genes related to tomato ripening and the corresponding physiological changes, even at later stages of the ripening process. The extent of ripening delay caused by 1-MCP has been shown to depend on the internal ethylene levels in tomato fruits [30]. Our results support these findings, demonstrating that 1-MCP, whether applied alone or in combination, significantly reduces ethylene production in tomato fruits. These effects agreed with previous studies on tomatoes, where several combinations of 1-MCP concentration, maturation stages, temperature, and application periods were tested, showing similar results [5,21]. Additionally, ethylene levels were lower for GABA-treated fruit than the control fruit, although the effect was less pronounced and erratic than when 1-MCP was applied alone. However, combining both treatments resulted in the lowest ethylene levels, reducing production by half by the end of storage compared with the control fruits. These findings suggest a synergistic effect between GABA and 1-MCP in reducing ethylene production. We previously reported the effect of GABA on reducing the climacteric peak in avocados [25], although it did not affect the rest of the storage period. Similarly, Han et al. [31] reported reduced apple ethylene production after GABA treatments. On the contrary, GABA has been shown to stimulate ethylene biosynthesis by increasing 1-aminocyclopropane-1-carboxylic acid (ACC) synthase transcript levels in sunflower tissues, acting as a signal transducer [32]. This indicates that the relationship between GABA and ethylene biosynthesis can vary across plant species, highlighting the complexity of GABA’s role in ethylene regulation.

3.3. Effect of 1-MCP and GABA Treatments on TSS and TA

Pectin is converted into simpler sugars during fruit ripening, increasing total soluble solids during storage. The control fruit exhibited higher TSS values on days 7 and 14 of storage than those treated with 1-MCP (Figure 3A).
Figure 3. Evolution of total soluble solids (TSS) (g 100 g−1) (A) and total acidity (TA) (g 100 g−1) (B) of tomatoes cv. Conquista treated with distilled water (Control), 1-MCP at 0.5 µL L−1, GABA at 10 mM, and the combination of 1-MCP and GABA (M + G) during storage at 4 °C plus 7 days at 20 °C. Other details are the same as those in Figure 1.
However, fruits treated with GABA, both alone or in combination with 1-MCP, displayed significantly higher TSS levels (p < 0.05) compared with the control and the fruit batches treated only with 1-MCP. Considering the observed increase in TSS in GABA-treated fruits, along with the reduced respiration observed earlier combining GABA + 1-MCP, an increased GABA content may activate the GABA shunt, enhancing ATP production and energy availability, thereby reducing the catabolism of other energy-rich substrates like sugars and organic acids, as explained by Aghdam et al. [33] for strawberries during refrigerated storage.
The ripening process affects TSS and TA, changing fruit flavor during storage. Although these tomatoes were not evaluated by a trained sensory panel, they were assessed by the research team throughout the experiment, and no unusual flavors or aromas related to the applied treatments were detected. In this study, 1-MCP treatments, both alone and in combination with GABA, successfully maintained higher TA levels in tomato fruit throughout the storage period, with significant differences (p < 0.05) compared with the control fruit. Furthermore, GABA treatments applied independently also preserved TA levels by the end of the storage period, showing significantly higher values (p < 0.05) than the control group. Fruit acidity is mainly due to the different organic acids that are used during the respiration process. These organic acids accumulate during fruit development and are used as respiratory substrates during ripening, leading to a decline in acidity post-harvest. The reduced TA observed in tomatoes could be linked to increased respiration and ripening rates, where organic acids are metabolized during respiration. In this study, 1-MCP treatments were found to reduce ethylene production, which correlates with lower fruit metabolism and respiration, thereby delaying the breakdown of organic acids, as previously reported in tomatoes [5,6]. Moreover, the GABA shunt is the primary pathway for citrate breakdown, which is crucial for maintaining intracellular metabolic redox balance in mitochondria [33,34]. GABA treatments have been shown to increase TA levels in blood orange by inhibiting the loss of intracellular acidity and regulating mitochondrial energy and organic acid metabolism [35]. This effect is significant during storage at suboptimal temperatures, where the energy balance of cells requires additional energy to maintain plant tissue integrity. Therefore, it is reasonable to conclude that simultaneously applying 1-MCP and GABA is more effective in delaying the reduction of TA compared with 1-MCP alone, primarily due to the additive effects of these substances.

3.4. Effect of Postharvest 1-MCP and GABA Treatments on CIE Hue* and CIE L* Colour

In the present study, 1-MCP applications effectively delayed ripening-associated color changes in tomatoes throughout the entire storage period, showing significant differences (p < 0.05) compared with the control group (Figure 4).
Figure 4. Evolution of CIE hue* (A) and CIE L* (B) values of tomatoes cv. Conquista treated with distilled water (control), 1-MCP at 0.5 µL L−1, GABA at 10 mM, and the combination of 1-MCP and GABA (M + G) during storage at 4 °C plus 7 days at 20 °C. Other details are the same as those in Figure 1.
CIE hue* values for control and GABA-treated batches declined rapidly, with final CIE hue* values around 54° and 52°, respectively, without significant differences (p > 0.05) between them (Figure 4A). Additionally, tomatoes treated with 1-MCP, either alone or in combination with GABA, maintained higher CIE hue* values during the whole storage period, reaching approximately 62° at the end of the experiment. The evolution of the CIE L* parameter followed a similar trend to the CIE hue* parameter for all tomato batches. However, the combined treatment exhibited significantly (p < 0.05) higher values compared with other treatments, indicating a synergistic effect (Figure 4B). CIE L* values are associated with reduced weight loss and a slower ripening pattern in fruits and vegetables. In our results, delaying weight loss and enhancing fruit firmness may have contributed to maintaining skin brightness, thereby preventing tissue oxidation. The brightness of the epidermis is linked to the structure of the cuticle, which plays a role in postharvest fruit water loss [36]. In this regard, the combined treatment was the most effective in delaying tomato weight loss and fruit firmness. However, the combination of treatments did not exert a synergistic or additive effect on the CIE hue* parameter compared to the 1-MCP treatment alone. These findings are consistent with the known ability of 1-MCP to maintain fruit color by delaying pigment degradation and slowing the ripening process [28]. Additionally, previous experiments have shown that GABA-treated mangoes and strawberries did not delay color evolution compared with control batches throughout storage [37]. This lack of effect on color parameters agreed with our results, as GABA-treated batches did not differ significantly (p > 0.05) from the control group. As the storage period increased, the brightness of the tomato fruit diminished due to the progression of red color development during ripening.

3.5. Effect of Postharvest 1-MCP and GABA Treatments on Bioactive Compounds and Antioxidant Activity

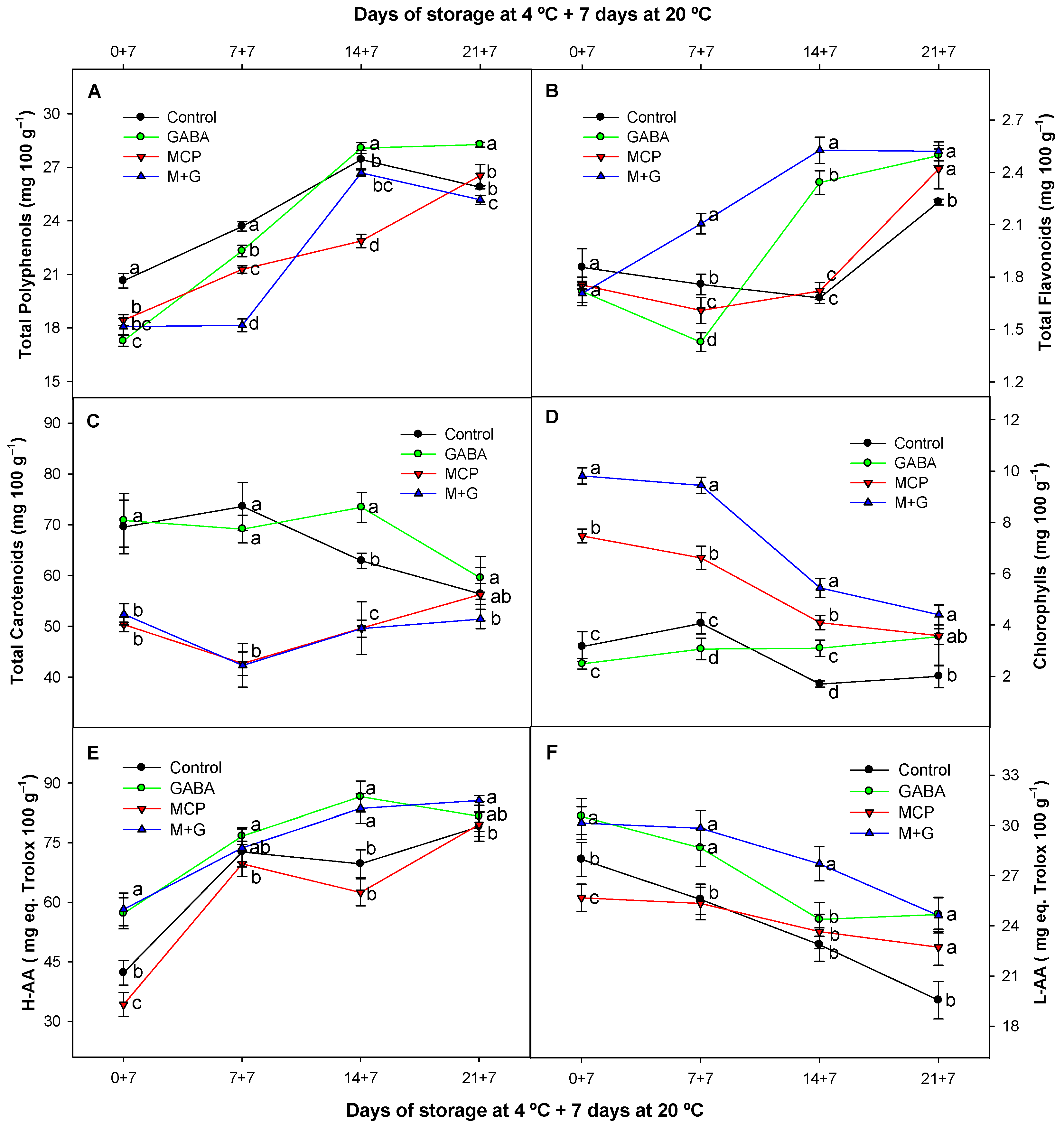
The total polyphenol content (TPC) increased during storage for all batches studied. However, at the beginning of the storage period, fruit batches treated with GABA and 1-MCP, individually or in combination, delayed TPC compared with control batches (Figure 5A).
Figure 5. Total polyphenol content (TPC) (mg 100 g−1) (A), total flavonoid content (TFC) (mg 100 g−1) (B), total carotenoids content (TCC) (mg 100 g−1) (C), chlorophyll content (mg 100 g−1) (D), hydrophilic antioxidant activity (H-AA) (mg eq. Trolox 100 g−1) (E) and lipophilic antioxidant activity (L-AA) (mg eq. Trolox 100 g−1) (F) of tomatoes cv. Conquista treated with distilled water (Control), 0.5 µL L−1 1-MCP, 10 mM GABA, and the combination of 1-MCP and GABA (M + G) during storage at 4 °C plus 7 days at 20 °C. Other details are the same as those in Figure 1.
Although total polyphenols increased as ripening progressed, a significant delay was observed in fruits treated with 1-MCP during the early storage stages, while the control showed a faster increase. Overall, TPC was higher in tomato fruit treated only with GABA at the end of the storage period, whereas the combined treatment displayed the lowest TPC levels. A similar trend was observed with total flavonoid content (TFC) in GABA-treated fruit, which exhibited the highest levels of flavonoids when GABA was applied alone (Figure 5B). Combining 1-MCP and GABA resulted in significantly higher flavonoid levels (p < 0.05) than the rest of the treated batches. Interestingly, most batches treated with 1-MCP alone and the control batches displayed the lowest levels of flavonoids during the final storage period.
Total carotenoid accumulation was generally delayed in fruits treated with 1-MCP, whether alone or combined with GABA (Figure 5C). Similarly, these batches exhibited higher chlorophyll content (p < 0.05) (Figure 5D). In contrast, the control and fruit batches treated only with GABA showed increased carotenoid accumulation and decreased chlorophyll content compared to those batches containing 1-MCP from the beginning of the experiment. The 1-MCP treatments were effective alone or when combined with GABA, preventing chlorophyll degradation compared to the other treatments. However, the combined treatment exhibited the highest chlorophyll values compared to these separately applied. The lowest chlorophyll content was observed for the control fruit during the final storage period, and these differences were statistically significant (p < 0.05) compared with the rest of the treatments. GABA treatment alone did not delay the chlorophyll content evolution, obtaining similar values to those observed for the control fruit
The H-AA levels observed were higher than those reported for L-AA in this study (Figure 5E,F). H-AA increased during storage, whereas L-AA displayed a decreased pattern. For GABA-treated batches without 1-MCP, these two antioxidant parameters followed a similar pattern to those observed for TPC (Figure 5A) and TFC (Figure 5B). Combined treatments displayed a higher antioxidant level for both antioxidant parameters than the control fruit and batches treated only with 1-MCP, reaching the highest values for L-AA compared to the rest of the reported fruit batches. In addition, the GABA-positive effect increasing the H-AA and L-AA coincided with the accumulation of TPC and TFC observed in GABA-treated fruits. The lowest values in the lipophilic antioxidant phase were observed in the control fruit at the end of the storage period. At the same time, this decline was delayed for the GABA and 1-MCP treatments applied alone or in combination (Figure 5F).
The 1-MCP treatment was applied alone, which delayed the increase in total bioactive compounds from the beginning of the experiment. Our results agreed with those previously reported in tomatoes by different authors for TPC, TFC [38,39], and TCC [40]. Whereas the combined treatment showed the lowest accumulation of TPC, the TFC accumulated by combining GABA with 1-MCP reached the highest levels of flavonoid content. This effect was not observed in batches treated with only 1-MCP, where total polyphenols and flavonoids were delayed. For this reason, it is reasonable to assume that the GABA treatment may regulate the increased flavonoid content. Several studies have demonstrated that GABA increases flavonoid content by promoting the activity of the phenylpropanoid pathway [8]. As we did not observe essential differences in TFC between the control fruit and 1-MCP batches, the higher TFC in the combined treatment will demonstrate a synergistic effect between both compounds, in which GABA and 1-MCP could be reducing the flavonoid oxidation while GABA also stimulates flavonoid accumulation. A similar effect was reported previously by Shenglong et al. [41], who applied a combined 1-MCP treatment with a monoterpenoid with antioxidant properties (citral), reporting a positive and synergistic effect of increasing TPC and TFC during storage when both treatments were applied together.
In tomato fruit, the evolution of the chlorophyll content and other primary pigments, such as carotenoids, during ripening directly impacts color changes. Color changes regulated by ethylene are tightly associated with the chloroplast transition to chromoplasts, including carotenoid synthesis and chlorophyll degradation [42]. In our study, the 1-MCP treatment applied alone or combined with GABA delayed the chlorophyll degradation significantly (p < 0.05) compared to the control fruit and GABA batches. It is well known that 1-MCP reduces the production and blocks the action of ethylene by binding to the ethylene receptors in plant cells [28]. For this reason, the delayed chlorophyll degradation observed in 1-MCP treated batches could be due to the effect of reducing ethylene production observed previously in this study. Additionally, 1-MCP treatment combined with GABA was more effective in lowering ethylene production than 1-MCP applied alone, which could be why we observed higher chlorophyll maintenance with the combination of treatments. We recently reported this effect for avocados [25] with lower GABA concentrations, and it has been reported in several studies in apples or pistachios using GABA concentrations of 10 mM or 40 mM [22]. The primary mechanism associated with GABA effectiveness is its role in enhancing antioxidant activity, which helps preserve the structural integrity of membranes, particularly those of chloroplasts [43].
In our study, the antioxidant activities in tomatoes, both H-AA and L-AA, showed higher values in fruits treated with GABA alone or combined with 1-MCP. GABA has antioxidant activity and stimulates secondary metabolism, increasing the accumulation of bioactive compounds [8]. According to our results, this stimulation is supported by an increased accumulation of TFC in GABA-treated batches. Other authors reported that GABA treatments enhanced antioxidant capacity in mangoes by maintaining a balanced antioxidant level [23]. The influence of 1-MCP treatment alone on H-AA and LAA was minimal, only delaying the evolution of antioxidant activity with a limited effect. However, the combined treatment with GABA displayed a higher level of L-AA than the rest of the batches evaluated during the whole experiment. This synergistic effect could be associated with the additive effects demonstrated for both substances maintaining membrane integrity. The 1-MCP maintains the cell membrane integrity through delayed ethylene production, which promotes fruit softening and ripening [28]. In contrast, GABA increased antioxidant activity, mitigating oxidative damage and maintaining membrane integrity [23]. This effect would also explain the highest chlorophyll values observed in our experiment, which could be related to the lower oxidative damage suffered by cell membranes.

3.6. Effect of Postharvest 1-MCP and GABA Treatments on Fruit Integrity and Oxidative Stress Marker

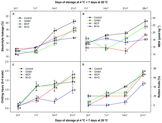
In this experiment, we studied the changes in membrane integrity as one of the initial physiological responses to CI in the treated fruits. After cold storage, EL increased for all tomato batches, but significant (p < 0.05) higher levels were found in the control fruit compared with 1-MCP or GABA-treated batches (Figure 6A). The 1-MCP and GABA treatments applied separately delayed the membrane disintegration similarly (p > 0.05) at the end of the experiment (17.66 ± 0.56% and 18.30 ± 0.57%, respectively) compared with significantly higher values for the control (20.41 ± 0.57%). However, GABA treatments alone controlled this parameter better than 1-MCP alone during the whole storage period. In addition, the lowest EL values were observed combining 1-MCP and GABA (15.55 ± 0.21%), showing significant (p < 0.05) differences compared with the rest of the batches evaluated. A similar effect was observed regarding the MDA levels because the control fruit displayed significant (p < 0.05) higher values of this oxidation product (Figure 6B).
Figure 6. Evolution of electrolyte leakage (%) (A), malondialdehyde (MDA) content (µmol kg−1) (B), chilling injury (0–5 scale), (C) and rotten fruits (%) (D) of tomatoes cv. Conquista treated with distilled water (Control), 1-MCP at 0.5 µL L−1, GABA at 10 mM, and the combination of 1-MCP and GABA (M + G) during storage at 4 °C plus 7 days at 20 °C. Other details are the same as those in Figure 1.
MDA was better controlled by 1-MCP than by the GABA treatment, although both treatments were separately applied and were influential in delaying MDA evolution. At the end of the experiment, the final MDA concentrations obtained were significantly (p < 0.05) different between fruit treatments with MDA reductions of 6.24%, 15.87%, and 21.55% for GABA, 1-MCP, and the combined treatment, respectively. These results indicated that the resilient effect was not synergistic when 1-MCP was combined with GABA in terms of MDA content because the effect was additive.
To study the resilient response of tomato fruit to cold storage, we evaluated the CI on the fruit surface of the different batches under study. CI in tomatoes was evident through several observed symptoms showing areas of yellow discoloration. In addition, affected fruits developed sunken spots along the experiment, making them more susceptible to decay and rot. These symptoms indicate significant structural damage due to suboptimal temperatures during storage. We observed an apparent effect delaying CI in 1-MCP-treated batches (alone or combined with GABA) with significantly (p < 0.05) lower values compared to GABA batches and the control fruit (Figure 6C). These batches did not show significant (p > 0.05) differences. The combined treatment delayed the appearance of CI symptoms for 14 days, whereas, when 1-MCP was applied alone, CI symptoms were delayed for only 7 days. A similar pattern was observed regarding the percentage of rotten fruit (Figure 6D). GABA and 1-MCP treatments applied separately controlled the fungal infection after 7 days of storage at 20 °C with significant (p < 0.05) differences compared with the control fruit. Still, in general, the effectiveness of GABA or 1-MCP was weak. However, when these two different substances were applied together, the rot incidence was significantly delayed compared to the rest of the fruit batches evaluated. In fact, after 14 days of cold storage plus 7 days more at 20 °C, the percentage of rot incidence remained similar to that observed at the experiment’s beginning. The reduction in the amount of rotten fruit after this period reached 83.35% compared with the control fruit. These results demonstrate the synergistic effect on rot incidence, comparing the reduction of rot incidence displayed by GABA (9.99%) or 1-MCP (60.01%) when applied alone for the same studied period. These findings are shown in Figure 7, in which the impact of the various treatments tested on ripening evolution can be observed.
Figure 7. The external visual aspect of tomatoes cv. Conquista at harvest time and tomatoes treated with distilled water (Control), 10 mM GABA, 0.5 µL L−1 1-MCP, and the combination of 1-MCP and GABA during refrigerated storage at 4 °C plus 7 days at 20 °C. Note that the tomatoes on the left and right columns are the same fruits photographed from both sides at the same period point.
Structural modifications in cellular membranes are among the initial physiological responses to CI. MDA content in plant tissues indicates membrane integrity in fruit subjected to cold storage conditions. In tomato fruit, increased MDA levels indicate membrane integrity loss induced by CI during cold storage, resulting in EL [44]. In this study, compared with the control fruit, lower levels of EL and MDA were reported for 1-MCP and GABA batches, as compared with the control fruit, which had similar effectivity. Although the 1-MCP treatment alone controlled the MDA content better, at the end of the storage, both parameters displayed lower levels with the combined treatment. Lower EL and MDA levels have also been reported in tomatoes and other fruit species, such as sweet pepper, indicating 1-MCP effectiveness in maintaining membrane integrity [28,45]. Similar observations in GABA-treated fruit have been reported decreasing EL and MDA in zucchini during postharvest cold storage [46]. Reduced EL and MDA levels in the peel of GABA-treated bananas and blood oranges were associated with the maintenance of the antioxidant and energy status balance provided by GABA [9,35]. Supporting these results, we have found increased H-AA and L-AA levels in GABA-treated tomatoes compared with the control fruit associated with the GABA effect, mitigating the increase in ROS [47].
Ethylene accelerates senescence by reducing tissue integrity and increasing susceptibility to CI. This tissue degradation facilitates the onset of postharvest diseases, contributing to postharvest rot. Interestingly, 1-MCP, when applied alone, shows remarkable efficacy in delaying CI for 7 days, highlighting its action as an ethylene inhibitor. However, combining 1-MCP with GABA extends this protection to 14 days, indicating a synergic pattern between the two compounds. This finding suggests that GABA may contribute to further stabilizing cell membranes or minimizing oxidative stress, thereby enhancing the protective effects of 1-MCP (Shelp et al., 2021). For this reason, a higher antioxidant balance, as we evaluated in our GABA and 1-MCP samples, could also contribute to fruit integrity, reducing rot incidence. The lower MDA also supports this mechanism, and EL was observed in GABA and 1-MCP-treated tomatoes. We previously observed the positive effect of combining GABA and 1-MCP in avocados on CI, and, recently, it has been proven that 1-MCP combined with antioxidant substances as essential oils can positively reduce significantly rot incidence in apricots [48]. For this reason, the synergistic effect on rot inhibition observed when applying GABA and 1-MCP could be related to the anti-senescence properties described for these substances acting together. For these reasons, postharvest treatments with 1-MCP and GABA could contribute to waste reduction in the tomato supply chain. By reducing CI symptoms and rot incidence, these treatments help maintain fruit integrity and quality during cold storage and shelf life. Several tomatoes in different fruit batches were negatively affected due to quality issues or premature spoilage. However, the combined effect of 1-MCP and GABA preserves essential characteristics, such as firmness and antioxidant content, enhancing tomato resilience under suboptimal storage conditions. Thus, 1-MCP and GABA treatments effectively reduce postharvest losses and improve sustainability in tomato commercialization.

4. Conclusions

Postharvest applications of γ-aminobutyric acid (GABA) and 1-methylcyclopropene (1-MCP) were effective in maintaining quality traits such as color and tissue turgor and reducing weight loss and chilling injury, mainly when both technologies were applied together. The combined treatment combined the benefits of GABA in maintaining an optimal antioxidant balance, which was associated with higher levels of bioactive compounds and a reduced metabolism with lower ethylene production and respiration rates. This reduced substrate catabolism and delayed fruit firmness evolution. Generally, 1-MCP alone exhibited positive effects in several quality parameters. However, while no overall positive effect was observed with GABA alone, it did increase antioxidant activity, which may have contributed to reducing membrane permeability, a parameter in which it showed some effectiveness. Although GABA demonstrated some specific effects on reducing metabolism or maintaining total acidity at certain sampling points, its impact was limited in comparison to 1-MCP. For these reasons, combining these two strategies could be used synergistically to maintain the postharvest quality of tomatoes stored at suboptimal temperatures, reducing fruit disorders and postharvest losses.

Author Contributions

Conceptualization, F.G. and J.M.V.; methodology, F.G., S.C., D.M.-R. and J.M.V.; validation, M.C.R.-A., F.G. and J.M.V.; formal analysis, M.C.R.-A., F.G. and J.M.V.; investigation, M.C.R.-A., F.G., S.C., D.M.-R. and J.M.V.; resources, F.G., S.C., D.M.-R. and J.M.V.; data curation, M.C.R.-A., F.G., S.C., D.M.-R. and J.M.V.; writing—original draft preparation, M.C.R.-A.; writing—review and editing, F.G. and J.M.V.; visualization, M.C.R.-A., F.G. and J.M.V.; supervision, F.G. and J.M.V.; funding acquisition, F.G., S.C., D.M.-R. and J.M.V. All authors have read and agreed to the published version of the manuscript.

Funding

This research was funded by the Spanish Ministry of Science Innovation and Universities and the European Commission with FEDER funds, project RTI2018-09966-B-100.

Institutional Review Board Statement

Not applicable.

Data Availability Statement

Data are contained within the article. Further inquiries can be directed to the corresponding author.

Conflicts of Interest

The authors declare no conflicts of interest.

References

  1. Mata, C.I.; Fabre, B.; Parsons, H.T.; Hertog, M.L.; Van Raemdonck, G.; Baggerman, G.; Nicolaï, B.M. Ethylene receptors, CTRs and EIN2 target protein identification and quantification through parallel reaction monitoring during tomato fruit ripening. Front. Plant Sci. 2018, 9, 1626. [Google Scholar] [CrossRef]
  2. Rai, A.; Kumari, K.; Vashistha, P. Umbrella review on chilling injuries: Post-harvest issue, cause, and treatment in tomato. Sci. Hortic. 2022, 293, 110710. [Google Scholar] [CrossRef]
  3. Baswal, A.K.; Ramezanian, A. 1-Methylcyclopropene potentials in maintaining the postharvest quality of fruits, vegetables, and ornamentals: A review. J. Food Process. Pres. 2021, 45, e15129. [Google Scholar] [CrossRef]
  4. Poyesh, D.S.; Terada, N.; Sanada, A.; Gemma, H.; Koshio, K. Effect of 1-MCP on ethylene regulation and quality of tomato cv. Red Ore. Int. Food Res. J. 2018, 25, 1001–1006. [Google Scholar]
  5. Guillén, F.; Castillo, S.; Zapata, P.J.; Martínez-Romero, D.; Serrano, M.; Valero, D. Efficacy of 1-MCP treatment in tomato fruit. 2. Effect of cultivar and ripening stage at harvest. Postharvest Biol. Technol. 2006, 42, 235–242. [Google Scholar] [CrossRef]
  6. Guillén, F.; Castillo, S.; Zapata, P.J.; Martínez-Romero, D.; Serrano, M.; Valero, D. Efficacy of 1-MCP treatment in tomato fruit: 1. Duration and concentration of 1-MCP treatment to gain an effective delay of postharvest ripening. Postharvest Biol. Technol. 2007, 43, 23–27. [Google Scholar] [CrossRef]
  7. Ramos-Ruiz, R.; Poirot, E.; Flores-Mosquera, M. GABA, a non-protein amino acid ubiquitous in food matrices. Cogent Food Agric. 2018, 4, 1534323. [Google Scholar] [CrossRef]
  8. Aghdam, M.S.; Flaherty, E.J.; Shelp, B.J. γ-Aminobutyrate improves the postharvest marketability of horticultural commodities: Advances and prospects. Front. Plant Sci. 2022, 13, 884572. [Google Scholar] [CrossRef]
  9. Wang, Y.; Luo, Z.; Huang, X.; Yang, K.; Gao, S.; Du, R. Effect of exogenous γ-aminobutyric acid (GABA) treatment on chilling injury and antioxidant capacity in banana peel. Sci. Hortic. 2014, 168, 132–137. [Google Scholar] [CrossRef]
  10. Nazoori, F.; ZamaniBahramabadi, E.; Mirdehghan, S.H.; Rafie, A. Extending the shelf life of pomegranate (Punica granatum L.) by GABA coating application. J. Food Meas. Charact. 2020, 14, 2760–2772. [Google Scholar] [CrossRef]
  11. Uluışık, S. Application of γ-aminobutyric acid treatment differently affects physicochemical characteristics of tomato fruits during post-harvest storage. Hortic. Stud. 2021, 38, 101–109. [Google Scholar] [CrossRef]
  12. Martínez-Romero, D.; Serrano, M.; Carbonell, A.; Burgos, L.; Riquelme, F.; Valero, D. Effects of postharvest putrescine treatment on extending shelf life and reducing mechanical damage in apricot. J. Food Sci. 2002, 67, 1706–1712. [Google Scholar] [CrossRef]
  13. Lezoul, N.E.H.; Belkadi, M.; Habibi, F.; Guillén, F. Extraction processes with several solvents on total bioactive compounds in different organs of three medicinal plants. Molecules 2020, 25, 4672. [Google Scholar] [CrossRef]
  14. Woisky, R.G.; Salatino, A. Analysis of propolis: Some parameters and procedures for chemical quality control. J. Apic. Res. 1998, 37, 99–105. [Google Scholar] [CrossRef]
  15. Vu, H.T.; Scarlett, C.J.; Vuong, Q.V. Changes of phytochemicals and antioxidant capacity of banana peel during the ripening process; with and without ethylene treatment. Sci. Hortic. 2019, 253, 255–262. [Google Scholar] [CrossRef]
  16. Ilea, M.I.M.; Zapata, P.J.; Fernández-Picazo, C.; Díaz-Mula, H.M.; Castillo, S.; Guillén, F. Chlorogenic acid as a promising tool for mitigating chilling injury: Cold tolerance and the ripening effect on tomato fruit (Solanum lycopersicum L.). Plants 2024, 13, 2055. [Google Scholar] [CrossRef]
  17. Zhang, M.; Liu, W.; Li, C.; Shao, T.; Jiang, X.; Zhao, H.; Ai, W. Postharvest hot water dipping and hot water forced convection treatments alleviate chilling injury for zucchini fruit during cold storage. Sci. Hortic. 2019, 249, 219–227. [Google Scholar] [CrossRef]
  18. Ding, C.K.; Wang, C.; Gross, K.C.; Smith, D.L. Jasmonate and salicylate induce the expression of pathogenesis-related-protein genes and increase resistance to chilling injury in tomato fruit. Planta 2002, 214, 895–901. [Google Scholar] [CrossRef]
  19. Lufu, R.; Ambaw, A.; Opara, U.L. Water loss of fresh fruit: Influencing pre-harvest, harvest and postharvest factors. Sci. Hortic. 2020, 272, 109519. [Google Scholar] [CrossRef]
  20. Wu, X.; Chen, Y.; Zhu, J.; Zhang, N.; Wei, Y.; Jiang, S.; Ye, J.; Shao, X. 1-Methylcyclopropene reduces postharvest water loss by modulating cuticle formation in tomato fruit. Postharvest Biol. Technol. 2023, 206, 112564. [Google Scholar] [CrossRef]
  21. Mostofi, Y.; Toivonen, P.M.A.; Lessani, H.; Babalar, M.; Lu, C. Effects of 1-methylcyclopropene on ripening of greenhouse tomatoes at three storage temperatures. Postharvest Biol. Technol. 2003, 27, 285–292. [Google Scholar] [CrossRef]
  22. Al Shoffe, Y.; Nock, J.F.; Zhang, Y.; Watkins, C.B. Pre-and post-harvest γ-aminobutyric acid application in relation to fruit quality and physiological disorder development in ‘Honeycrisp’ apples. Sci. Hortic. 2021, 289, 110431. [Google Scholar] [CrossRef]
  23. Aghdam, M.S.; Razavi, F.; Karamneghad, F. Maintaining the postharvest nutritional quality of peach fruits by γ-Aminobutyric acid. Iran. J. Plant Physiol. 2016, 5, 1457–1463. [Google Scholar]
  24. Blankenship, S.M.; Dole, J.M. 1-Methylcyclopropene: A review. Postharvest Biol. Technol. 2003, 28, 1–25. [Google Scholar] [CrossRef]
  25. Ruiz-Aracil, M.C.; Valverde, J.M.; Ilea, M.I.M.; Valero, D.; Castillo, S.; Guillén, F. Innovative postharvest management for Hass avocado at the preclimacteric stage: A combined technology with GABA and 1-MCP. Foods 2024, 13, 2485. [Google Scholar] [CrossRef]
  26. Li, C.; Zhu, J.; Sun, L.; Cheng, Y.; Hou, J.; Fan, Y.; Ge, Y. Exogenous γ-aminobutyric acid maintains fruit quality of apples through regulation of ethylene anabolism and polyamine metabolism. Plant Physiol. Biochem. 2021, 169, 92–101. [Google Scholar] [CrossRef]
  27. Ansari, M.I.; Jalil, S.U.; Ansari, S.A.; Hasanuzzaman, M. GABA shunt: A key-player in mitigation of ROS during stress. Plant Growth Regul. 2021, 94, 131–149. [Google Scholar] [CrossRef]
  28. Watkins, C.B. The use of 1-methylcyclopropene (1-MCP) on fruits and vegetables. Biotechnol. Adv. 2006, 24, 389–409. [Google Scholar] [CrossRef]
  29. Hoeberichts, F.A.; Van Der Plas, L.H.; Woltering, E.J. Ethylene perception is required for the expression of tomato ripening-related genes and associated physiological changes even at advanced stages of ripening. Postharvest Biol. Technol. 2002, 26, 125–133. [Google Scholar] [CrossRef]
  30. Zhang, Z.; Huber, D.J.; Hurr, B.M.; Rao, J. Delay of tomato fruit ripening in response to 1-methylcyclopropene is influenced by internal ethylene levels. Postharvest Biol. Technol. 2009, 54, 1–8. [Google Scholar] [CrossRef]
  31. Han, S.; Nan, Y.; Qu, W.; He, Y.; Ban, Q.; Lv, Y.; Rao, J. Exogenous γ-aminobutyric acid treatment that contributes to regulation of malate metabolism and ethylene synthesis in apple fruit during storage. J. Agric. Food Chem. 2018, 66, 13473–13482. [Google Scholar] [CrossRef]
  32. Kathiresan, A.; Tung, P.; Chinnappa, C.C.; Reid, D.M. γ-Aminobutyric acid stimulates ethylene biosynthesis in sunflower. Plant Physiol. 1997, 115, 129–135. [Google Scholar] [CrossRef]
  33. Aghdam, M.S.; Fard, J.R. Melatonin treatment attenuates postharvest decay and maintains nutritional quality of strawberry fruits (Fragaria × anannasa cv. Selva) by enhancing GABA shunt activity. Food Chem. 2017, 221, 1650–1657. [Google Scholar] [CrossRef]
  34. Zhao, Y.; Yu, H.; Zhou, J.M.; Smith, S.M.; Li, J. Malate circulation: Linking chloroplast metabolism to mitochondrial ROS. Trends Plant Sci. 2020, 25, 446–454. [Google Scholar] [CrossRef]
  35. Habibi, F.; Ramezanian, A.; Rahemi, M.; Eshghi, S.; Guillén, F.; Serrano, M.; Valero, D. Postharvest treatments with γ-aminobutyric acid, methyl jasmonate, or methyl salicylate enhance chilling tolerance of blood orange fruit at prolonged cold storage. J. Sci. Food Agric. 2019, 99, 6408–6417. [Google Scholar] [CrossRef]
  36. Petit, J.; Bres, C.; Just, D.; Garcia, V.; Mauxion, J.P.; Marion, D.; Bakan, B.; Joubès, J.; Domergue, F.; Rothan, C. Analyses of tomato fruit brightness mutants uncover both cutin-deficient and cutin-abundant mutants and a new hypomorphic allele of GDSL lipase. Plant Physiol. 2014, 164, 888–906. [Google Scholar] [CrossRef]
  37. Zhang, Y.; Lin, B.; Tang, G.; Chen, Y.; Deng, M.; Lin, Y.; Li, M.; He, W.; Wang, Y.; Zhang, Y.; et al. Application of γ-aminobutyric acid improves the postharvest marketability of strawberry by maintaining fruit quality and enhancing antioxidant system. Food Chem. X 2024, 21, 101252. [Google Scholar] [CrossRef]
  38. Amarowicz, R.; Carle, R.; Dongowski, G.; Durazzo, A.; Galensa, R.; Kammerer, D.; Maiani, G.; Piskula, M.K. Influence of postharvest processing and storage on the content of phenolic acids and flavonoids in foods. Mol. Nutr. Food Res. 2009, 53, S151–S183. [Google Scholar] [CrossRef]
  39. Lattanzio, V. Bioactive polyphenols: Their role in quality and storability of fruit and vegetables. J. Appl. Bot. 2003, 77, 128–146. [Google Scholar]
  40. Ilić, Z.S.; Marinković, D.; Trajković, R.; Šunić, L.; Perzelan, Y.; Alkalai-Tuvia, S.; Fallik, E. Effect of 1-methylcyclopropene on the antioxidant capacity and postharvest quality of tomato fruit. Afr. J. Biotechnol. 2013, 12, 547–553. [Google Scholar] [CrossRef]
  41. Shenglong, D.; Jihong, Z.; Shaoyang, C.; Shuang, M.; Li, Z. The combined effect of 1-methylcyclopropene and citral suppressed postharvest grey mould of tomato fruit by inhibiting the growth of Botrytis cinerea. J. Phytopathol. 2019, 167, 123–134. [Google Scholar] [CrossRef]
  42. Barsan, C.; Sanchez-Bel, P.; Rombaldi, C.; Egea, I.; Rossignol, M.; Kuntz, M.; Zouine, M.; Latché, A.; Bouzayen, M.; Pech, J.C. Characteristics of the tomato chromoplast revealed by proteomic analysis. J. Exp. Bot. 2010, 61, 2413–2431. [Google Scholar] [CrossRef]
  43. Babarabie, M.; Zarei, H.; Eskandari, A. The impact of pre-harvest treatment with gamma-aminobutyric acid (GABA) and salicylic acid on vase life and post-harvest traits of tuberose cut flowers. Acta Sci. Pol. Hortorum Cultus 2019, 18, 83–92. [Google Scholar] [CrossRef]
  44. Sevillano, L.; Sanchez-Ballesta, M.T.; Romojaro, F.; Flores, F.B. Physiological, hormonal and molecular mechanisms regulating chilling injury in horticultural species. Postharvest technologies applied to reduce its impact. J. Sci. Food Agric. 2009, 89, 555–573. [Google Scholar] [CrossRef]
  45. Li, X.; Yun, J.; Fan, X.; Xing, Y.; Tang, Y. Effect of 1-methylcyclopropene and modified atmosphere packaging on chilling injury and antioxidative defensive mechanism of sweet pepper. Afr. J. Biotechnol. 2011, 10, 6581–6589. [Google Scholar]
  46. Palma, F.; Carvajal, F.; Jiménez-Muñoz, R.; Pulido, A.; Jamilena, M.; Garrido, D. Exogenous γ-aminobutyric acid treatment improves the cold tolerance of zucchini fruit during postharvest storage. Plant Physiol. Biochem. 2019, 136, 188–195. [Google Scholar] [CrossRef]
  47. Shelp, B.J.; Aghdam, M.S.; Flaherty, E.J. γ-Aminobutyrate (GABA) regulated plant defense: Mechanisms and opportunities. Plants 2021, 10, 1939. [Google Scholar] [CrossRef]
  48. Luo, Y.; Zhang, S.; Su, J.; Cao, Z.; Wang, X.; Shen, W.; Li, T.; Ge, X. Studies on the effect of cinnamon essential oil-micelles combined with 1-MCP/PVA film on postharvest preservation of apricots. Food Control 2024, 162, 110420. [Google Scholar] [CrossRef]
Disclaimer/Publisher’s Note: The statements, opinions and data contained in all publications are solely those of the individual author(s) and contributor(s) and not of MDPI and/or the editor(s). MDPI and/or the editor(s) disclaim responsibility for any injury to people or property resulting from any ideas, methods, instructions or products referred to in the content.

Article Metrics

Citations

Article Access Statistics

Multiple requests from the same IP address are counted as one view.