Effects of 6-Benzylaminopurine Combined with Prohexadione-Ca on Yield and Quality of Chrysanthemum morifolium Ramat cv. Hangbaiju
Abstract
1. Introduction
2. Materials and Methods
2.1. Site Description
2.2. Experiment Design
2.3. Sampling
2.4. Physiological Index and Enzyme Activity Analysis
2.5. Quality Index Analysis
2.6. Statistical Analysis
3. Results
3.1. Effects of 6-BA Combined with Pro-Ca on Yield of Hangbaiju Flowers
3.2. Effects of 6-BA Combined with Pro-Ca on Quality of Hangbaiju Flowers
3.2.1. Effect on Nutritional Quality Attributes
3.2.2. Effects on Medicinal Quality Attributes
3.3. Effects of 6-BA Combined with Pro-Ca on Leaf Physiological Index of Hangbaiju
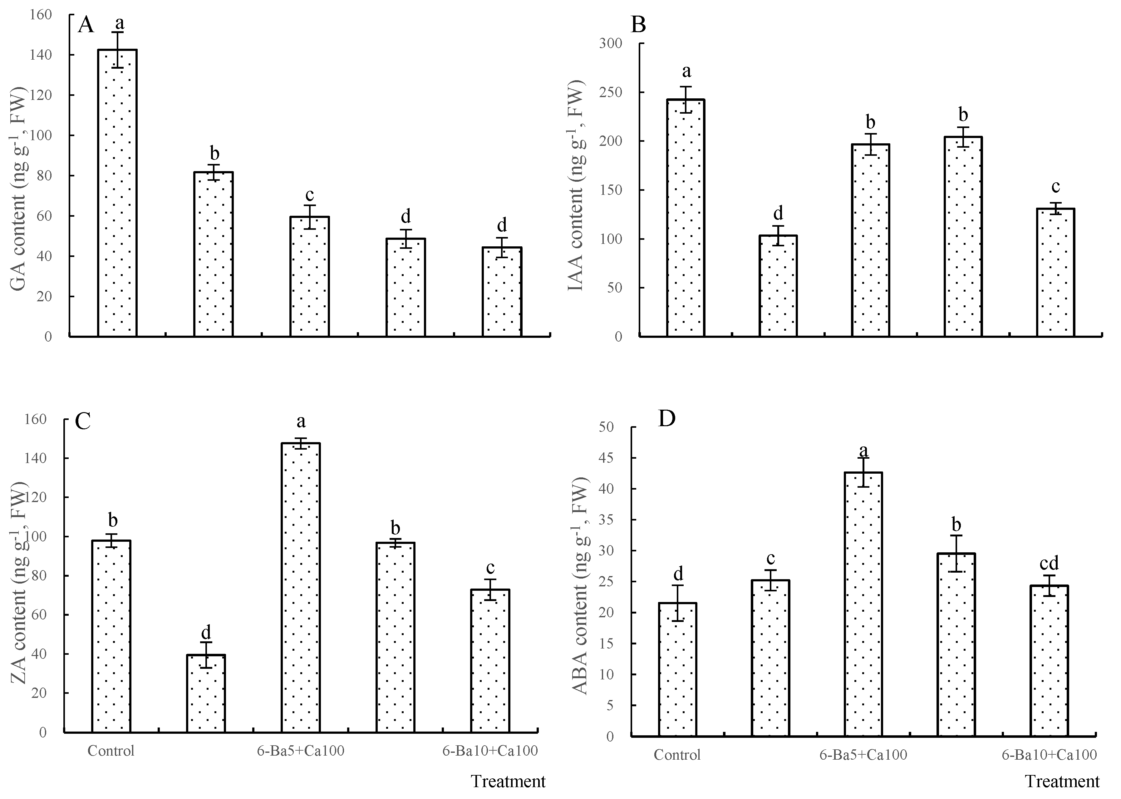
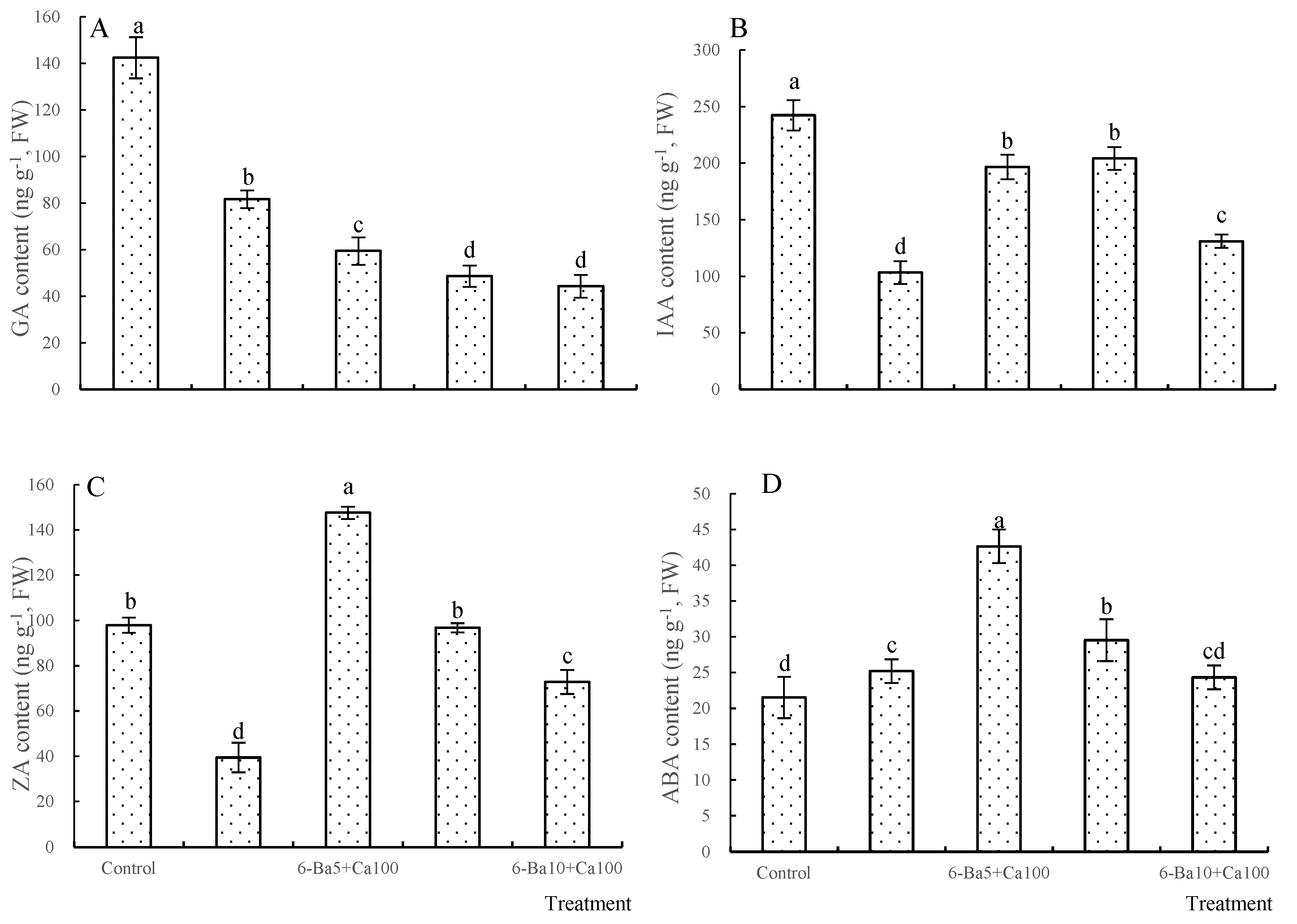
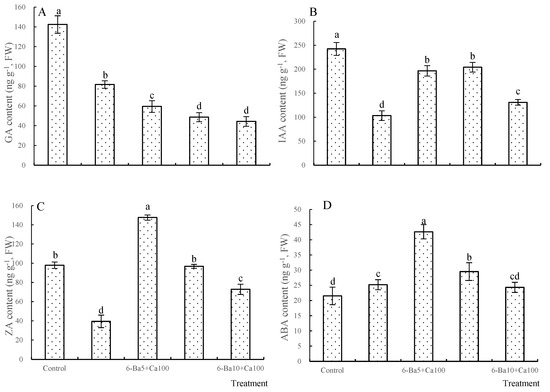
3.4. Effects of 6-BA Combined with Pro-Ca on the Contents of Leaf-Endogenous Hormones in Hangbaiju
3.5. Effects of 6-BA Combined with Pro-Ca on Activity of Key Enzymes in Hangbaiju Flowers
4. Discussion
4.1. Regulation of 6-BA Combined with Pro-Ca on Yield of Hangbaiju Flowers
4.2. Regulation of 6-BA Combined with Pro-Ca on Quality of Hangbaiju Flowers
5. Conclusions
Author Contributions
Funding
Institutional Review Board Statement
Conflicts of Interest
References
- Ma, D.; Wako, Y. Evaluation of Phenolic Compounds and Neurotrophic/neuroprotective Activity of Cultivar Extracts Derived from Chrysanthemum morifolium Flowers. Food Sci. Technol. Res. 2017, 23, 457–467. [Google Scholar] [CrossRef]
- Lin, L.-Z.; Harnly, J.M. Identification of the phenolic components of chrysanthemum flower (Chrysanthemum morifolium Ramat). Food Chem. 2010, 120, 319–326. [Google Scholar] [CrossRef]
- Lin, G.Y.; Zheng, C.S.; Sun, X.Z.; Wang, W.L. Effects of photoperiod on floral bud differentiation and contents of endogenous hormones in Chrysanthemum. Shandong Agric. Sci. 2008, 1, 35–39. [Google Scholar] [CrossRef]
- Liu, W.; Zhu, D.-W.; Liu, D.-H.; Zhou, W.-B.; Yang, T.-W.; Geng, M.-J. Influence of Potassium Deficiency on Flower Yield and Flavonoid Metabolism in Leaves of chrysanthemum Morifolium Ramat. J. Plant Nutr. 2011, 34, 1905–1918. [Google Scholar] [CrossRef]
- Emery, R. Branch development in Lupinus angustifolius L.#II. Relationship with endogenous ABA, IAA and cytokinins in axillary and main stem buds. J. Exp. Bot. 1998, 49, 555–562. [Google Scholar] [CrossRef]
- Zhang, L.; Shen, C.; Wei, J.; Han, W. Effects of Exogenous 6-Benzyladenine on Dwarfing, Shoot Branching, and Yield of Tea Plant (Camellia sinensis). Hortscience 2018, 53, 651–655. [Google Scholar] [CrossRef]
- Pharis, R.P. Flowering of Chrysanthemum under non-inductive long days by gibberellins and N6-benzyladenine. Planta 1972, 105, 205–212. [Google Scholar] [CrossRef]
- Qian, H.; Liu, Y.; Zheng, Y.P.; Yu, J.Y.; Fan, W.F. Effects of applying 6-BA on the Nobile-type Dendrobium flower bud differentiation and changes of hormones. J. Beijing For. Univ. 2009, 6, 27–31. [Google Scholar]
- Jin, X.L.; Liu, J.H.; Luo, Z.W.; Xie, R. Effects of PP333 and 6-BA on the bud differentiation and endogenous hormones of common buckwheat. Acta Bot. Boreali-Occident. Sin. 2019, 39, 1988–1997. [Google Scholar]
- Li, Y.; Zhang, D.; Xing, L.; Zhang, S.; Zhao, C.; Han, M. Effect of exogenous 6-benzylaminopurine (6-BA) on branch type, floral induction and initiation, and related gene expression in ‘Fuji’ apple (Malus domestica Borkh). Plant Growth Regul. 2015, 79, 65–70. [Google Scholar] [CrossRef]
- Yang, X.; Peng, J.; Zhang, M.M.; Zhang, Q.; Liu, X.P. Effects of foliar spraying of 6-BA on carbohydrate transfer and allocation of maize at the reproductive stage. J. Northwest A F Univ. (Nat. Sci. Ed.) 2019, 47, 62–70. [Google Scholar] [CrossRef]
- Fang, S.; Gao, K.; Hu, W.; Wang, S.; Chen, B.; Zhou, Z. Foliar and seed application of plant growth regulators affects cotton yield by altering leaf physiology and floral bud carbohydrate accumulation. Field Crop. Res. 2019, 231, 105–114. [Google Scholar] [CrossRef]
- Mandemaker, A.J.; Cutting, J.G.M.; Smith, D.B.; Dixon, J. Effect of prohexadione-ca on shoot growth, fruit set and retention in “hass” avocado in New Zealand. New Zealand Avocado Grow. Assoc. Annu. Res. Rep. 2005, 5, 35–42. [Google Scholar]
- Kang, S.-M.; Kim, J.-T.; Hamayun, M.; Hwang, I.-C.; Khan, A.L.; Kim, Y.-H.; Lee, J.-H.; Lee, I.-J. Influence of prohexadione-calcium on growth and gibberellins content of Chinese cabbage grown in alpine region of South Korea. Sci. Hortic. 2010, 125, 88–92. [Google Scholar] [CrossRef]
- Elfving, D.C.; Lang, G.A.; Visser, D.B. Prohexadione-Ca and Ethephon Reduce Shoot Growth and Increase Flowering in Young, Vigorous Sweet Cherry Trees. Hortscience 2003, 38, 293–298. [Google Scholar] [CrossRef]
- Palonen, P.; Mouhu, K. Prohexadione-Calcium Treatments Reduce Vegetative Growth Of Primocane Fruiting Raspberry ‘Ariadne’. Acta Hortic. 2008, 777, 257–262. [Google Scholar] [CrossRef]
- Poledica, M.M.; Milivojevic, J.M.; Radivojevic, D.D.; Maksimovic, J.J.D. Prohexadione-Ca and young cane removal treatments control growth, productivity, and fruit quality of the Willamette raspberry. Turk. J. Agric. For. 2012, 36, 680–687. [Google Scholar] [CrossRef]
- Kim, Y.H.; Khan, A.L.; Hamayun, M.; Kim, J.T.; Lee, J.H.; Hwang, I.C.; Yoon, C.S.; Lee, I.-J. Effects of Prohexadione Calcium on growth and gibberellins contents of Chrysanthemum morifolium R. cv Monalisa White. Sci. Hortic. 2009, 123, 423–427. [Google Scholar] [CrossRef]
- Silva, J.A.T.D. Chrysanthemum: Advances in tissue culture, cryopreservation, postharvest technology, genetics and transgenic biotechnology. Biotechnol. Adv. 2003, 21, 715–766. [Google Scholar] [CrossRef]
- Li, H.S. Principles and Techniques of Plant Physiological and Biochemical Experiments; Higher Education Press: Beijing, China, 2000. [Google Scholar]
- Sun, L. Response on the Accumulation of Flavonoids and Synthetase Activities among Different Peanut Cultivars to Drought Stress; Shandong Agricultural University: Taian, China, 2013. [Google Scholar]
- Chinese Pharmacopoeia Committee. Chinese Pharmacopoeia; China Medical Science Press: Beijing, China, 2020. [Google Scholar]
- Mathieu, J.; Warthmann, N.; Küttner, F.; Schmid, M. Export of FT Protein from Phloem Companion Cells Is Sufficient for Floral Induction in Arabidopsis. Curr. Biol. 2007, 17, 1055–1060. [Google Scholar] [CrossRef]
- Yang, Y.B.; Shao, Z.F.; Qiu, S.S.; Li, Y.H. Changes of endogenous hormones, carbohydrate and nitrogen nutrition during the flower bud differentiation of Bougainvillea glabra. Chin. Agric. Sci. Bull. 2008, 2, 281–284. [Google Scholar]
- Li, S.; Song, M.; Duan, J.; Yang, J.; Zhu, Y.; Zhou, S. Regulation of spraying 6-BA in the late jointing stage on the fertile floret development and grain setting in winter wheat. Agronomy 2019, 9, 546. [Google Scholar] [CrossRef]
- Zheng, C.; Jin, G.; Ohno, H.; Hara, T.; Matsui, S. Ethylene Production and Endogenous Gibberellin Content in Chrysanthemum Plants as Affected by Uniconazole, Brushing and Aminoethoxyvinylglycine Treatments. J. Jpn. Soc. Hortic. Sci. 2004, 73, 568–573. [Google Scholar] [CrossRef]
- Shalit, A.; Rozman, A.; Goldshmidt, A.; Alvarez, J.P.; Bowman, J.L.; Eshed, Y.; Lifschitz, E. The flowering hormone florigen functions as a general systemic regulator of growth and termination. Proc. Natl. Acad. Sci. USA 2009, 106, 8392–8397. [Google Scholar] [CrossRef] [PubMed]
- Wang, Y.L.; Xi, G.S. Effects of 6-BA with different concentrations on the branching of Chrysanthemum. J. An-Hui Agric. Sci. 2008, 36, 8465. [Google Scholar] [CrossRef]
- Puhl, I.; Stadler, F.; Treutter, D. Alterations of Flavonoid Biosynthesis in Young Grapevine (Vitis vinifera L.) Leaves, Flowers, and Berries Induced by the Dioxygenase Inhibitor Prohexadione-Ca. J. Agric. Food Chem. 2008, 56, 2498–2504. [Google Scholar] [CrossRef]
- Xu, H.; Park, N.I.; Li, X.; Kim, Y.K.; Lee, S.Y.; Park, S.U. Molecular cloning and characterization of phenylalanine ammonia-lyase, cinnamate 4-hydroxylase and genes involved in flavone biosynthesis in Scutellaria baicalensis. Bioresour. Technol. 2010, 101, 9715–9722. [Google Scholar] [CrossRef]
- Xing, B.; Dong, C.M.; Wei, S.; Li, X.; Li, M. Effects of key enzyme activities on major secondary metabolites during development of Huai Chrysanthemum. Acta Chin. Med. 2020, 35, 844–847. [Google Scholar]
- Chen, L.; Chang, L.; Cao, F.L.; Wang, G.B.; Dong, X.W. Effects of temperature and soil water deficit on the flavonoid content and activities of enzymes involved in Ginkgo leaves. J. Northwest For. Univ. 2013, 33, 755–762. [Google Scholar] [CrossRef]
- Kiran, K.; Sonbarse, P.P.; Veeresh, L.; Shetty, N.P.; Parvatam, G. Expression profile of phenylpropanoid pathway genes in Decalepis hamiltonii tuberous roots during flavour development. 3 Biotech 2018, 8, 365. [Google Scholar] [CrossRef]
- Muir, S.R.; Collins, G.J.; Robinson, S.; Hughes, S.; Bovy, A.; De Vos, C.R.; Van Tunen, A.J.; Verhoeyen, M.E. Overexpression of petunia chalcone isomerase in tomato results in fruit containing increased levels of flavonols. Nat. Biotechnol. 2001, 19, 470–474. [Google Scholar] [CrossRef] [PubMed]
- Xu, F.; Cheng, S.; Zhu, J.; Zhang, W.; Wang, Y. Effects of 5-Aminolevulinic Acid on Chlorophyll, Photosynthesis, Soluble Sugar and Flavonoids of Ginkgo biloba. Not. Bot. Horti Agrobot. Cluj-Napoca 2011, 39, 41–47. [Google Scholar] [CrossRef]
- Zhang, H.-C.; Liu, J.-M.; Lu, H.-Y.; Gao, S.-L. Enhanced flavonoid production in hairy root cultures of Glycyrrhiza uralensis Fisch by combining the over-expression of chalcone isomerase gene with the elicitation treatment. Plant Cell Rep. 2009, 28, 1205–1213. [Google Scholar] [CrossRef] [PubMed]
- Park, N.I.; Xu, H.; Li, X.; Kim, S.-J.; Park, S.U. Enhancement of flavone levels through overexpression of chalcone isomerase in hairy root cultures of Scutellaria baicalensis. Funct. Integr. Genom. 2011, 11, 491–496. [Google Scholar] [CrossRef] [PubMed]
- Zhao, L.L.; Fan, C.H.; Ge, H.; Liu, H.T. Progress on polyphenol oxidase and its activity characteristics in plants. J. Northwest For. Univ. 2005, 20, 156. [Google Scholar] [CrossRef]
- Schmitzer, V.; Veberic, R.; Stampar, F. Prohexadione-Ca application modifies flavonoid composition and color characteristics of rose (Rosa hybrida L.) flowers. Sci. Hortic. 2012, 146, 14–20. [Google Scholar] [CrossRef]
- Roemmelt, S.; Peterek, S.; Treutter, D.; Rademacher, W.; Speakman, J.; Andreotti, C.; Costa, G.; Sponza, G.; Tortoreto, L.; Bazzi, C.; et al. Alteration of Phenylpropanoid Biosynthesis of Fruit Trees as a Tool for Enhancement of Fire Blight Resistance. Acta Hortic. 2002, 590, 477–484. [Google Scholar] [CrossRef]
- Yuan, J.; Hao, L.-J.; Wu, G.; Wang, S.; Duan, J.-A.; Xie, G.-Y.; Qin, M.-J. Effects of drying methods on the phytochemicals contents and antioxidant properties of chrysanthemum flower heads harvested at two developmental stages. J. Funct. Foods 2015, 19, 786–795. [Google Scholar] [CrossRef]



| Treatments | Control | 6-BA5 + Ca50 | 6-BA5 + Ca100 | 6-BA10 + Ca50 | 6-BA10 + Ca100 |
|---|---|---|---|---|---|
| 6-BA | water decapitation | 5 | 5 | 10 | 10 |
| Pro-Ca | 50 | 100 | 50 | 100 |
| Year | Treatments | Single Flower Fresh Weight (g) | Single Flower Diameter (cm) | Open Flower Numbers per Pot (num.) | Yield (g pot−1) |
|---|---|---|---|---|---|
| 2019 | Control | 1.62 ± 0.10 bc | 4.84 ± 0.14 bc | 70.25 ± 3.59 b | 113.81 ± 5.82 c |
| 6-Ba5 + Ca50 | 1.90 ± 0.21 a | 4.95 ± 0.26 b | 63.67 ± 3.79 c | 120.97 ± 7.19 bc | |
| 6-Ba5 + Ca100 | 1.87 ± 0.12 a | 5.20 ± 0.15 a | 90.67 ± 3.79 a | 169.55 ± 7.08 a | |
| 6-Ba10 + Ca50 | 1.58 ± 0.15 c | 4.69 ± 0.16 c | 62.67 ± 2.52 c | 99.01 ± 3.98 d | |
| 6-Ba10 + Ca100 | 1.73 ± 0.08 b | 4.90 ± 0.13 b | 74.50 ± 5.97 b | 128.89 ± 10.33 b | |
| 2020 | Control | 1.65 ± 0.10 bc | 4.82 ± 0.15 bc | 71.23 ± 3.41 b | 112.34 ± 6.04 c |
| 6-Ba5 + Ca50 | 1.89 ± 0.17 a | 4.98 ± 0.22 b | 62.89 ± 3.25 c | 118.98 ± 8.32 bc | |
| 6-Ba5 + Ca100 | 1.88 ± 0.11 a | 5.32 ± 0.17 a | 91.47 ± 3.48 a | 179.72 ± 6.43 a | |
| 6-Ba10 + Ca50 | 1.56 ± 0.15 c | 4.63 ± 0.13 c | 61.46 ± 2.33 c | 97.35 ± 3.24 d | |
| 6-Ba10 + Ca100 | 1.70 ± 0.08 b | 4.93 ± 0.17 b | 73.26 ± 4.67 b | 130.26 ± 11.15 b |
| Year | Treatments | Soluble Sugar | Soluble Protein | Total Amino Acid | Water Extract |
|---|---|---|---|---|---|
| 2019 | Control | 22.39 ± 1.57 c | 9.92 ± 0.25 b | 0.91 ± 0.01 ab | 35.57 ± 1.13 b |
| 6-Ba5 + Ca50 | 25.54 ± 0.25 a | 10.06 ± 0.24 ab | 0.86 ± 0.04 b | 39.29 ± 0.53 a | |
| 6-Ba5 + Ca100 | 22.57 ± 0.78 c | 10.87 ± 0.61 a | 0.95 ± 0.11 ab | 34.96 ± 5.46 b | |
| 6-Ba10 + Ca50 | 24.72 ± 0.76 ab | 10.43 ± 0.14 a | 0.86 ± 0.04 b | 37.71 ± 1.18 ab | |
| 6-Ba10 + Ca100 | 23.42 ± 0.94 b | 10.65 ± 1.08 a | 1.02 ± 0.05 a | 35.42 ± 3.27 b | |
| 2020 | Control | 21.78 ± 1.52 c | 9.86 ± 0.35 b | 0.90 ± 0.03 ab | 35.13 ± 1.53 b |
| 6-Ba5 + Ca50 | 25.68 ± 0.42 a | 10.01 ± 0.22 ab | 0.85 ± 0.04 b | 39.84 ± 0.74 a | |
| 6-Ba5 + Ca100 | 22.13 ± 0.39 c | 10.88 ± 0.42 a | 0.92 ± 0.11 ab | 34.56 ± 3.13 b | |
| 6-Ba10 + Ca50 | 24.89 ± 0.56 ab | 10.51 ± 0.45 a | 0.84 ± 0.04 b | 38.02 ± 1.42 ab | |
| 6-Ba10 + Ca100 | 23.38 ± 0.86 b | 10.67 ± 0.47 a | 0.98 ± 0.06 a | 34.92 ± 3.41 b |
| Year | Treatment | Flavonoid | Total Phenolics | Chlorogenic Acid | Cynaroside | 3,5-Dicaffeoyl Quinic Acid |
|---|---|---|---|---|---|---|
| 2019 | Control | 10.04 ± 1.15 a | 2.67 ± 0.11 ab | 0.79 ± 0.02 b | 0.25 ± 0.01 bc | 1.94 ± 0.03 b |
| 6-Ba5 + Ca50 | 10.01 ± 0.43 a | 2.81 ± 0.08 a | 0.83 ± 0.04 a | 0.26 ± 0.00 b | 2.02 ± 0.01 a | |
| 6-Ba5 + Ca100 | 9.56 ± 0.11 b | 2.68 ± 0.09 ab | 0.71 ± 0.02 d | 0.24 ± 0.01 c | 1.84 ± 0.02 c | |
| 6-Ba10 + Ca50 | 10.04 ± 0.59 a | 2.55 ± 0.02 b | 0.75 ± 0.02 c | 0.26 ± 0.00 b | 1.92 ± 0.04 b | |
| 6-Ba10 + Ca100 | 10.10 ± 0.81 a | 2.76 ± 0.08 a | 0.81 ± 0.01 ab | 0.30 ± 0.01 a | 1.90 ± 0.03 bc | |
| 2020 | Control | 10.05 ± 0.87 a | 2.63 ± 0.11 ab | 0.78 ± 0.03 b | 0.24 ± 0.02 bc | 1.96 ± 0.03 b |
| 6-Ba5 + Ca50 | 10.00 ± 0.21 a | 2.93 ± 0.11 a | 0.85 ± 0.03 a | 0.27 ± 0.00 b | 2.12 ± 0.01 a | |
| 6-Ba5 + Ca100 | 9.43 ± 0.07 b | 2.66 ± 0.09 ab | 0.69 ± 0.01 d | 0.22 ± 0.02 c | 1.82 ± 0.01 c | |
| 6-Ba10 + Ca50 | 10.05 ± 0.35 a | 2.34 ± 0.05 b | 0.74 ± 0.01 c | 0.27 ± 0.00 b | 1.94 ± 0.03 b | |
| 6-Ba10 + Ca100 | 10.13 ± 0.31 a | 2.79 ± 0.09 a | 0.82 ± 0.02 ab | 0.32 ± 0.01 a | 1.93 ± 0.04 bc |
Disclaimer/Publisher’s Note: The statements, opinions and data contained in all publications are solely those of the individual author(s) and contributor(s) and not of MDPI and/or the editor(s). MDPI and/or the editor(s) disclaim responsibility for any injury to people or property resulting from any ideas, methods, instructions or products referred to in the content. |
© 2023 by the authors. Licensee MDPI, Basel, Switzerland. This article is an open access article distributed under the terms and conditions of the Creative Commons Attribution (CC BY) license (https://creativecommons.org/licenses/by/4.0/).
Share and Cite
Zhang, Y.; Guo, C.; Hu, J.; Liu, F.; Fu, S.; Guo, X.; Chen, Q.; Zhang, L.; Zhu, L.; Hou, X. Effects of 6-Benzylaminopurine Combined with Prohexadione-Ca on Yield and Quality of Chrysanthemum morifolium Ramat cv. Hangbaiju. Agriculture 2023, 13, 444. https://doi.org/10.3390/agriculture13020444
Zhang Y, Guo C, Hu J, Liu F, Fu S, Guo X, Chen Q, Zhang L, Zhu L, Hou X. Effects of 6-Benzylaminopurine Combined with Prohexadione-Ca on Yield and Quality of Chrysanthemum morifolium Ramat cv. Hangbaiju. Agriculture. 2023; 13(2):444. https://doi.org/10.3390/agriculture13020444
Chicago/Turabian StyleZhang, Yuqin, Cun Guo, Jing Hu, Fangyu Liu, Sha Fu, Xiaomeng Guo, Qian Chen, Li Zhang, Lixiang Zhu, and Xin Hou. 2023. "Effects of 6-Benzylaminopurine Combined with Prohexadione-Ca on Yield and Quality of Chrysanthemum morifolium Ramat cv. Hangbaiju" Agriculture 13, no. 2: 444. https://doi.org/10.3390/agriculture13020444
APA StyleZhang, Y., Guo, C., Hu, J., Liu, F., Fu, S., Guo, X., Chen, Q., Zhang, L., Zhu, L., & Hou, X. (2023). Effects of 6-Benzylaminopurine Combined with Prohexadione-Ca on Yield and Quality of Chrysanthemum morifolium Ramat cv. Hangbaiju. Agriculture, 13(2), 444. https://doi.org/10.3390/agriculture13020444

