Abstract
Ralstonia solanacearum is a causative agent of bacterial wilt and therefore poses a serious threat to cultivated peppers (Capsicum annuum L.). Although attempts have been made to control bacterial wilt by grafting, the disease resistance mechanisms that protect grafted peppers are poorly understood. Here, we grew grafted peppers composed of the rootstock Buyeding or Weishi and the scion Xinfeng 2. Following infection by R. solanacearum, we assessed the differences in lipid peroxidation, cellular structure, root secondary metabolism, and biomass, between grafted plants and controls. The grafted plants exhibited a greater root biomass than the control plants after infection. The root cell ultrastructure of the grafted plants showed only slight injury relative to that in the controls, and the roots of the grafted peppers were partially resistant to R. solanacearum. Grafted pepper plants showed lower levels of lipid peroxidation. Lignin content, salicylic acid levels, and the activities of phenylalanine ammonia lyase (PAL), peroxidase (POD), catalase (CAT), and polyphenol oxidase (PPO), were also higher in grafted plants. All of these effects occurred concomitantly with increased R. solanacearum resistance. Taken together, our findings demonstrate that grafting can significantly improve the disease resistance of pepper. Moreover, our results suggest that the Weishi rootstock may be very useful for the prevention and control of bacterial wilt in cultivated peppers.
1. Introduction
Pepper (Capsicum annuum L.) is among the most important vegetable crops worldwide in terms of production, consumption, and exports [1]. In China, they are grown on a total of 2.1 million ha and the annual output value is over 40 billion US dollars [2]. But Bacterial wilt (Ralstonia solanacearum) bring a devastating disaster for pepper production; it is the important obstacle of quality and yield [3]. Grafting is a widely utilized agronomical technique to improve yield, disease resistance, and the quality of fruit and vegetables. Nevertheless, commercial rootstocks are not usually employed in pepper plants as they do not provide enough benefits [4]. Therefore, improving their resistance to bacterial wilt is a major research challenge with significant economic implications.
Following infection, R. solanacearum impedes water transport in the plant by proliferating in the xylem. The initial infection symptom—wilting of single leaves on individual stems—appears about five days post-infection [5]. The disease spreads rapidly through the xylem and infects the whole plant, causing widespread wilting, shriveling, and death. Bacterial wilt is among the most important soil disease in protected plant cultivation facilities during the winter and spring [6,7], and its control in cultivated peppers has traditionally involved the application of chemical pesticides. Although a number of recommended pesticides are effective against R. solanacearum, they do not constitute long-term, sustainable solutions because of the secondary issues that accompany frequent pesticide spraying, including the expense, exposure risk, fungicidal residues, non-target organism toxicity, and other threats to the environment and human health. As a result, research is increasingly focused on the development of safe, effective, long-lasting, and green solutions for plant disease management.
Vegetable grafting and breeding of resistant cultivars are widely used alternatives to the chemical control of soil-borne disease [8]. Japan and Korea pioneered the production of vegetables from grafted seedlings and this technique is now common throughout the world [9]. Grafting has been used successfully for controlling nematodes and Phytophthora spp. fungal pathogens [10,11]. Moreover, the phasing out of methyl bromide fumigation has further promoted the use of grafting, particularly for melons and solanaceous crops [3].
Similar strategies may be useful for protecting pepper crops from bacterial wilt. Lee [4] found that grafted peppers showed greater disease resistance and higher growth rates; his results suggested that the use of disease-tolerant pepper rootstocks was a promising approach for controlling soil-borne diseases and improving yield. Increased growth and enhanced resistance to Ralstonia solanacearum and Phytophthora blight have subsequently been demonstrated in grafted peppers [12,13]. We previously reported that the ‘Buyeding’ and ‘Weishi’ pepper rootstock varieties show strong resistance to bacterial wilt, but the mechanisms that underlie this resistance are poorly understood.
In previous work, we artificially inoculated the ‘Weishi’ rootstock and observed its responses to bacterial wilt. However, it is still unknown whether bacterial wilt infection changes the root structure of the pepper plant and whether grafted peppers show greater resistance to bacterial wilt than non-grafted peppers. Therefore, in this study, we examined the effects of inoculation on grafted and non-grafted peppers to determine whether inoculation alters the root secondary metabolism, cellular ultrastructure, antioxidant systems, or specific enzyme activities. We hope that these findings will provide information to guide the development of improved disease resistance in peppers and other vegetables.
2. Materials and Methods
2.1. Plants and Treatments
We used the previously studied pepper (Capsicum annuum L.) cultivars Buyeding (BYD) and Weishi (WS) as rootstocks, and Xinfeng 2 (XF) as the scion. The rootstocks were kindly provided by Professor Ai (Shandong Agricultural University) and the scion was obtained from Zaozhuang, Shandong, China. We sowed the seeds individually in 10 cm diameter pots that contained sterilized soil. Because the rootstock cultivars BYD and WS had smaller seeds and longer seedling stages than the XF cultivar, the XF seeds were sown two weeks after those of the rootstocks. The seedlings were cultivated in a glasshouse with a 14 h photoperiod, 300–500 μmol·m−2·s−1 illumination, a day/night temperature regime of 25–30 °C/15–20 °C, and 75 ± 5% relative humidity. When the rootstock plants were about 30 cm in height with five–six leaves, the scion seedlings were grafted onto the rootstock using the cleft grafting technique [11]. The rootstock/cultivar combinations were labelled XF/BYD and XF/WS. We also created control grafts, in which the same cultivar was used for both scion and rootstock (i.e., XF/XF) to serve as controls.
Ralstonia solanacearum was obtained from the Microbial Culture Collection Center of Guangdong Institute of Microbiology, GIMCC. After one month, the control and grafted pepper plants were inoculated with an R. solanacearum suspension using the immersion technique. The suspension had been prepared by culturing R. solanacearum in a TM culture medium for one day, then diluting with ddH2O to obtain a final concentration of 3 × 108 CFU/mL−1 (A600 = 0.2). Inoculated plants were then transplanted into soil-filled plastic pots. The experimental design consisted of three replicates per treatment, with 50 seedlings in each replicate. At 0, 5, 10, and 15 d post-inoculation, root samples were harvested for analysis.
2.2. Disease Incidence and Disease Index
Infection by bacterial wilt (i.e., disease incidence) was assessed 5 d after inoculation, and these assessments were used to determine the disease index of bacterial wilt for all plants. The presence of bacterial wilt was visually rated using a five-point scale: 0, no disease; 1, a small amount of lobular wilting; 2, slight leaf wilting; 3, serious leaf wilting; 4, wilting of the whole plant except for the top leaf; and 5, plant death. Disease index (DI) was then calculated as: DI = Σ (number of plants with a given rating × rating)/[total number of plants × 5 (i.e., the maximum rating)].
2.3. Root Characteristics, Activity, and Absorbing Area
Roots harvested at 0, 5, 10, and 15 d after inoculation were measured with a root analyzer (J181A, Shanghai, China), and the resulting data were analyzed using WinRHIZO software (Regent Instruments, Quebec City, QC, Canada) to calculate the root length, surface area, volume, fork number, and tip number. An electronic balance was used to measured root mass, and triphenyltetrazolium chloride (TTC) staining was used to assess root activity [14]. The methylene blue techniques described by Li et al. [15] were used to measure the total root absorbing area and active root absorbing area.
2.4. Observations of Root Cell Ultrastructure
Small root samples (1–2 mm) were obtained before and after inoculation, then fixed for 2 h in 1% (m/v) osmic acid and 3.5% (m/v) glutaraldehyde. The samples were fixed and dehydrated in a series of ethanol concentrations before being embedded in resin (Epon 812) and sectioned using a microtome (LKB-5, Stockholm, Sweden). After staining with lead citrate and uranyl acetate, the ultrathin sections were observed with a transmission electron microscope (JEM-1200 EX, Jeol, Tokyo, Japan).
2.5. Measurement of H2O2 Content and Electrolyte Leakage
The hydrogen peroxide (H2O2) content of pepper roots was measured as described by Patterson et al. [16], using several modifications reported by Gong et al. [17]. Electrolyte leakage (EL) was determined according to the method of Zhao et al. [18] with several modifications: 0.5 g of each sample was incubated in a 25 mL test tube with 20 mL deionized water at 25 °C. After 3 h, a DDB-303A conductivity meter (Shanghai, China) was used to measure the electrical conductivity (EC1) of the incubation solution. Next, the samples were autoclaved for 10 min at 100 °C and the electrical conductivity (EC2) was measured a second time after the samples had cooled. Electrolyte leakage (EL) was then calculated as: EL = EC1/EC2 × 100.
2.6. Determination of MDA Content and the Activities of Antioxidant Enzymes
The thiobarbituric acid (TBA) reaction was used to measure the malonaldehyde (MDA) content as described by Heath and Packer [19]. The activity of ascorbate peroxidase (APX) was measured based on the oxidation of ascorbate monitored by the change in absorbance at 290 nm [20], and that of glutathione reductase (GR) was measured as described by Foyer and Halliwell [21].
2.7. Secondary Metabolite Contents and Related Enzyme Activities
Polyamines were extracted according to the method of Sharma and Rajam [22] with the modifications described by Wei et al. [23]. Root lignin content was measured according to the method of Iiyama and Wallis [24] with the modifications outlined by Syros et al. [25]. Phenylalanine ammonia lyase (PAL) activity was measured based on the work of Yuan et al. [26], polyphenoloxidase (PPO) activity based on the work of Rao and Deosthale [27], peroxidase (POD) activity based on the work of Omran [28], and catalase (CAT) activity based on the work of Chance and Maehly [29]. Salicylic acid content was measured by high performance liquid chromatography (HPLC) with a 510 HPLC and a 2487 UV detector (Waters, Worcester, MA, USA) as described by Proestos et al. [30].
2.8. Statistical Analysis
To ensure reliability, experiments were performed using three biological replicates with three technical repetitions each. All data are presented as the mean ± standard deviation (SD) of three independent replicates. Analysis of variance (ANOVA) was conducted with DPS software. The statistical significance of the differences between treatments was assessed using Duncan’s multiple range test.
3. Results
3.1. Bacterial Wilt Disease Incidence and Disease Index
No XF/WS plants were diseased at five days after inoculation. By contrast, the XF/XF (control) and XF/BYD treatments showed disease incidences of 23.0% and 15.0% (Table 1) and disease indices of 11.0% and 9.0%, respectively. The disease incidences and indices of both the control and grafted peppers continued to increase gradually after five days, but the extent of this increase differed among the treatments. Disease incidence and the disease index was consistently and significantly lower in the grafted peppers than in the controls (p < 0.05). Fifteen days post-inoculation, the control plants showed a disease incidence of 98.0% and a disease index of 81.0%. By contrast, the XF/WS plants had a disease incidence of 29.0% and a disease index of 21.0%, and the XF/BYD plants had a disease incidence of 61.0% and a disease index of 33.0%. These data suggest that grafting improves the ability of pepper plants to resist bacterial wilt.
Table 1.
Disease incidence (%) and index (%) of bacterial wilt in control (XF/XF) and grafted (XF/BYD or XF/WS) pepper plants. Data are presented as mean ± SD of three independent replicates, and different letters indicate significant differences in mean values (p < 0.05).
3.2. Root System Parameters
Prior to inoculation, there were more root hairs and fine roots on the XF/BYD (Figure 1B) and XF/WS (Figure 1C) plants than on the controls (Figure 1A). However, after R. solanacearum infection, the roots of all peppers were damaged, reducing the numbers of root hairs and lateral roots. Nonetheless, the grafted plants showed less damage than the controls, and the XF/WS plants showed markedly less root damage (Figure 1).
Figure 1.
Roots of control (XF/XF) and grafted (XF/WS, XF/BYD) peppers before inoculation (A–C), and 5 d (D–F), 10 d (G–I), and 15 d after inoculation (J–L).
Before inoculation, XF/BYD and XF/WS plants had significantly greater fresh weight, length, surface area, volume, fork numbers, and tip numbers than the controls (p < 0.05). As the experiment progressed, all of the root characters above decreased, but their values were consistently highest for the grafted XF/WS plants and lowest for the control plants. Fifteen days post-inoculation, the root weight, length, surface area, volume, fork number, and tip number were 39.3%, 45.1%, 39.8%, 23.7%, 29.1%, and 36.5% higher for XF/WS plants than for the controls. Likewise, the values of these parameters were 31.7%, 37.8%, 44.3%, 16.9%, 14.6%, and 21.1% higher for XF/BYD plants than for the controls (Figure 2).
Figure 2.
Root characteristics of control (XF/XF) and grafted (XF/WS, XF/BYD) peppers: root fresh weight (A), volume (B), number of tips (C), total length (D), surface area (E), number of forks (F), activity (G), absorbing area (H), and active absorbing area (I). Data are presented as mean ± SD of three independent replicates, and different letters indicate significant differences in mean values (p < 0.05).
Grafting was associated with markedly higher root activity, although XF/BYD and XF/WS did not differ significantly in root activity prior to inoculation (Figure 2G). Root activity gradually declined in all plants after inoculation, but XF/WS showed the smallest degree of decline and the control plants showed the highest (p < 0.05). Fifteen days post-inoculation, root activity of XF/BYD and XF/WS plants had increased by 77.1% and 115.0%, respectively, compared to the controls. Taken together, these data reveal that grafted pepper plants show increased root activity and this may play a role in their lower susceptibility to bacterial wilt disease.
We also measured the absorbing root area and active absorbing root area in all treatments. Prior to inoculation, there were no differences among the treatments in the absorbing root area (Figure 2H) or active absorbing root area (Figure 2I). However, the absorbing and active absorbing areas of control roots had decreased significantly five days after inoculation, whereas no such changes were exhibited in the grafted plants. Absorbing and active absorbing areas continued to decline gradually with time in all plants, but this decline was significantly greater in the control plants (p < 0.05).
3.3. Root Cell Ultrastructure
To determine how differences in the root characteristics of grafted and control peppers may have been related to their differences in bacterial wilt resistance, we examined the root ultrastructure of control and grafted plants 5 d after inoculation (Figure 3). R. solanacearum bacteria were observed in both the control (Figure 3f) and XF/WS (Figure 3b) root cells, but they were present at a significantly lower density in the roots of the grafted plants. Moreover, the root cells of the control plants were seriously damaged: we observed visible membrane injuries, disaggregation of the cytoplasm and nuclei, and cell wall rupture (Figure 3g,h). By contrast, roots of the grafted plants showed a largely normal ultrastructure, with the exception of some mild injuries to the cell membrane and plasmolysis (Figure 3c,d).
Figure 3.
Root cellular ultrastructure of control (XF/XF) and grafted (XF/WS) peppers: uninfected XF/XF (a), XF/XF infected by R. solanacearum for 5 d (b–d), uninfected XF/WS (e), XF/WS infected by R. solanacearum for 5 d (f–h). B, bacteria. Cm, cell membrane. Cn, cell nucleus. Cw, cell wall, Cy, cytoplasm. V, vacuole.
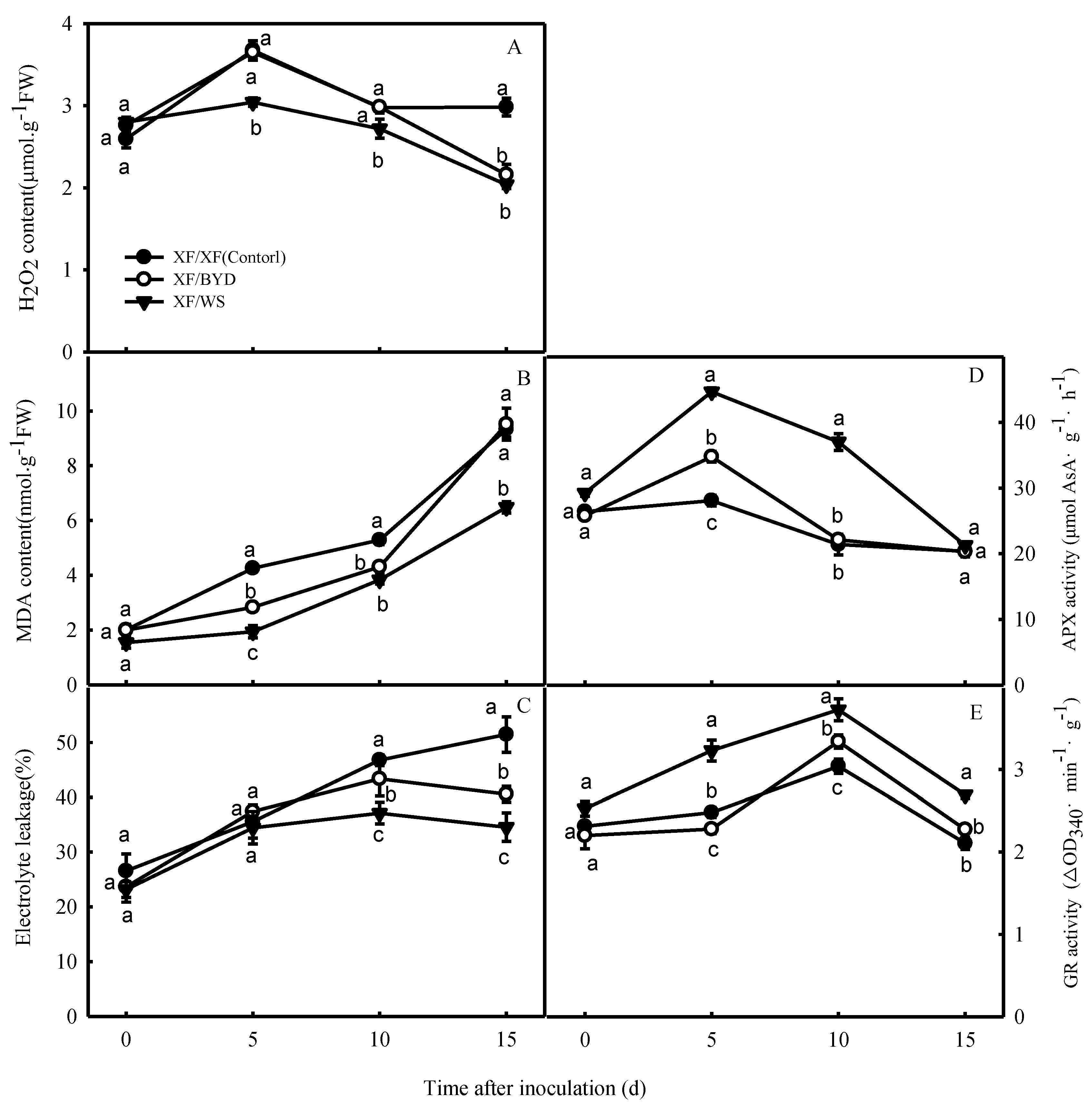
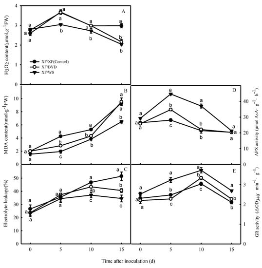
3.4. Lipid Peroxidation and Antioxidant Enzyme Activity
In general, relative to the control plants, the grafted peppers inoculated with R. solanacearum had a lower root H2O2 content, MDA, and electrolyte leakage and higher APX and GR activities (Figure 4). H2O2 content increased over the first 5 d post-inoculation in all treated roots, but the magnitude of this increase was lower in the XF/BYD and XF/WS plants. Subsequently, H2O2 content gradually declined in both control and XF/WS roots, but this decline was not evident until 10 d later in the XF/BYD roots. At the end of the experiment (15 d), the H2O2 content of the XF/BYD and XF/WS roots had decreased by 21.2 and 20.8 %, respectively, relative to the control roots (p < 0.05).
Figure 4.
H2O2 content, MDA content, electrolyte leakage, and activities of antioxidant enzymes in roots of control (XF/XF) and grafted (XF/WS and XF/BYD) peppers. H2O2 content (A), MDA content (B), EL (C), APX activity (D), and GR activity (E). Data are presented as mean ± SD of three independent replicates, and different letters indicate significant differences in mean values (p < 0.05).
R. solanacearum infection was associated with markedly higher MDA contents in all plants (Figure 4B). However, the MDA content was lower in the XF/BYD and XF/WS plants than in the controls (p < 0.05). These data corroborate the earlier finding that grafting alleviates membrane injury to root cells caused by R. solanacearum. R. solanacearum also caused significant increases in EL in all plants (p < 0.05) (Figure 4C), and the EL was higher in the control plants than in the grafted plants at all timepoints. Fifteen days after inoculation, the EL of the XF/BYD and XF/WS plants was 21.2% and 32.8% lower, respectively, than that of the control plants. Finally, APX and GR activities increased during the first 5 or 10 d after inoculation but decreased thereafter. APX and GR activities were significantly higher in the grafted plants than in the controls (p < 0.05).
3.5. Secondary Metabolites and Secondary Metabolic Enzyme Activity
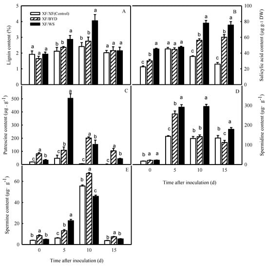
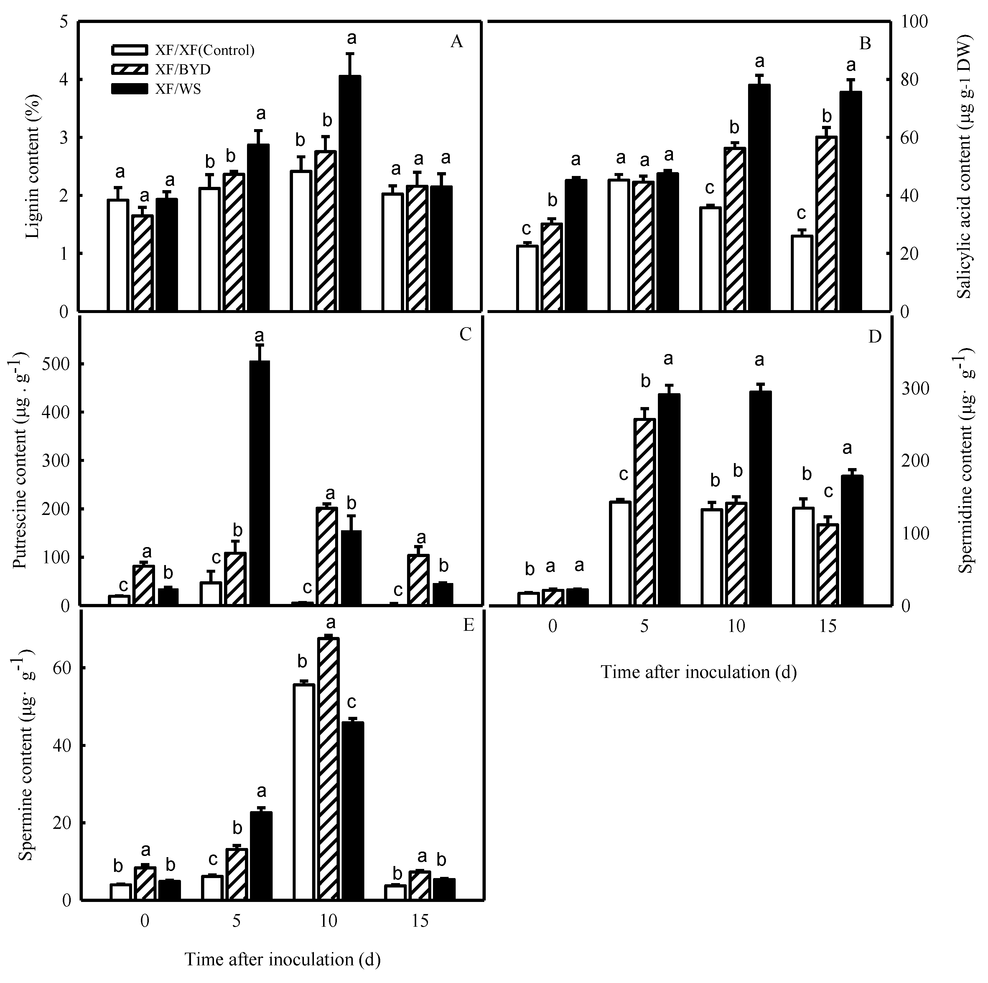
After inoculation, grafting led to a higher production of secondary metabolites (SA, lignin, and PAs) in grafted pepper plants relative to the control plants (Figure 5). Grafted pepper roots showed significantly higher SA content after inoculation, and this increase was much greater than the more moderate increase found in the controls (p < 0.05) (Figure 5B). Lignin content also increased gradually in response to inoculation and then decreased over time, and this increase was significantly greater in the controls than in the XF/WS and XF/BYD plants (p < 0.05) (Figure 5A). However, at 10 d post-inoculation, the lignin content of XF/WS had increased by 115.7% and that of XF/BYD had increased by 75.0%. By contrast, the lignin content of the control plants had increased by only 31.6%. Prior to inoculation, the putrescine content was significantly higher in XF/BYD and XF/WS roots (p < 0.05) than in controls, but spermidine content did not differ among any treatments (Figure 5C,D). The spermine content was higher in the roots of XF/BYD (p < 0.05) than in the control roots (Figure 5E), but there was no difference in root spermine content between the XF/WS and control plants. Following inoculation, the contents of all three PAs initially increased and then declined; nonetheless, each reached higher levels in the XF/WS roots than in the control roots (p < 0.05).

Figure 5.
Secondary metabolite contents and related enzyme activities in roots of control (XF/XF) and grafted (XF/BYD and XF/WS) peppers. Lignin (A), SA (B), putrescine (C), spermidine (D), spermine (E), PAL (F), POD (G), PPO (H), and CAT (I). Data are presented as mean ± SD of three independent replicates, and different letters indicate significant differences in mean values (p < 0.05).
PAL, PPO, POD, and CAT are key enzymes of plant secondary metabolism that have important roles in plant disease resistance. Moreover, the activities of PAL, POD, PPO, and CAT in pepper roots show positive correlations with R. solanacearum resistance. Ten days after inoculation with R. solanacearum, pepper root PAL activity first increased 1.17–1.83-fold above pre-inoculation levels, then gradually decreased (Figure 5F). PAL activity was significantly greater in the grafted plants (p < 0.05) at all timepoints. The grafted and control roots both showed significant increases in PPO activity after inoculation (Figure 5G). However, 15 d after inoculation, the XF/BYD and XF/WS and grafted plants showed PPO activities 33.2% and 78.6% higher than those of the controls, respectively. The plants exhibited an increase in POD activity during the first 5 d after inoculation, but POD activity decreased thereafter (Figure 5H). In general, POD activity was lower in the control roots than in the grafted roots (p < 0.05). Like POD, the activity of CAT rose during the initial 5 d after inoculation but then declined. Once again, the grafted plants showed a significantly higher CAT activity (p < 0.05) than the controls (Figure 5I).
4. Discussion
Grafting is an effective means of plant propagation used to combat root-knot nematode infestation and soil-borne diseases during the production of cucurbits and solanaceous vegetables [31,32]. It is becoming increasingly popular in pepper cultivation [6].
The size and vigor of the root system may be associated with its resistance to soil-borne pathogens. Root biomass reflects the plant’s overall capacity for resource acquisition and is an important parameter for evaluating the effects of various plant stresses. Here, we showed that bacterial wilt resistance was improved when a scion was grafted onto a robust rootstock. The grafted plants showed a reduced disease incidence and index and less severe effects of R. solanacearum infection. The grafted peppers exhibited higher root activity, a larger number of root hairs, and a greater root volume and absorptive area (Figure 1 and Figure 2). This suggested that the grafted pepper roots, which showed minimal injury from pathogenic R. solanacearum, maintained better physiological function and a stronger absorptive capacity following inoculation in this experiment. These findings support the notion that grafting can enhance bacterial wilt disease resistance in peppers.
Reactive oxygen species (ROS) are frequently responsible for membrane fatty acid peroxidation in response to Fusarium infection, causing significant cellular damage [5]. MDA levels are a biochemical marker of plant membrane lipid peroxidation [33]. Here, we found that H2O2 and MDA contents increased with the onset of R. solanacearum infection in pepper roots (Figure 4). The higher levels of H2O2 and MDA observed in non-grafted pepper roots suggested that oxidative damage was more severe in the control roots than in the grafted roots. This, in turn, seems to have resulted in higher electrolyte leakage and lower root biomass and root activity (Figure 2 and Figure 4). CAT, GR, and APX are important ROS-scavenging enzymes, and H2O2 is removed predominantly by CAT and APX [34]. GR catalyzes the reduction of oxidized glutathione (GSSG) to reduced glutathione (GSH). In this reaction, GR helps to scavenge ROS and protect plants from ROS damage. Higher antioxidant enzyme activity is associated with disease resistance in fruit [35]. Figure 4 shows that GR and APX activities were higher in the grafted roots than in the control roots after R. solanacearum infection, clearly suggesting that the robust WS and BYD rootstocks impair the development of R. solanacearum and reduce lipid peroxidation by activating antioxidant defense enzymes. Grafted pepper plants showed lower levels of lipid peroxidation, probably related to their increased activities of ROS-scavenging enzymes such as glutathione reductase and ascorbate peroxidase. We speculate that their increased disease resistance was related to reducing the permeability of cell membranes to R. solanacearum, resulting from reduced lipid peroxidation.
SA is an important plant secondary metabolite that inhibits the growth of a wide range of pathogens. Secondary metabolites encompass the secondary products of plant physiological and biochemical processes [36]. SA participates in plant responses to abiotic and biotic stress and contributes significantly to antioxidant activity [37,38,39]. Interestingly, the roots of the XF/WS plants exhibited significantly higher SA levels than the control roots before and after inoculation (Figure 5B), suggesting that SA may play an important part in resistance to bacterial disease.
Pathogen invasion often enhances the activities of secondary-metabolism-related enzymes, such as PAL, PPO, POD, CAT, and others. PAL directs the flux of primary metabolites into the phenylpropanoid pathway of the secondary metabolism, and the activities of PAL, PPO, POD, and CAT are required for the formation of flavonoids, sinapic acid esters, and lignin [40,41,42]. Lignified tissue is produced through the deposition of lignin, a complex polymer of aromatic compounds that are laid down in the cell wall and function in the prevention of pathogen infection. In this study, PAL, POD, PPO, and CAT activities rose after inoculation in both the control and grafted peppers, and lignin content also rose at the same time (Figure 5). These findings suggest that infected plants have heightened defense functions owing to an enhanced secondary metabolism. PAL, PPO, POD, and CAT activities were higher in the grafted plants, and their activities may be related to the reduced susceptibility to pathogen infection seen here. Furthermore, these findings may provide an explanation for why grafted plants exhibited a greater lignin content long after inoculation and why R. solanacearum conidial invasion was inhibited in the grafted plants. Lignin reinforces cell walls, forming a mechanical barrier that protects cells from pathogen invasion. Finally, putrescine, spermidine, and spermine are the major free PA species in pepper leaves [43].
Author Contributions
Conceptualization, X.D.; methodology, X.D. and X.A.; formal analysis, X.D.; investigation, X.A., H.B. and F.L.; data curation, X.A.; writing-original draft preparation, X.D.; writing-review and editing, X.D. and X.A.; supervision, X.A.; project administration, X.A. and X.D.; funding acquisition, X.A. All authors have read and agreed to the published version of the manuscript.
Funding
This work was supported by the Special Fund of Modern Agriculture Technology System in China (contract no. Nycytx-35-gw21), the Modern Agriculture Industrial Technology System of Shandong Province in China (contract No. SDAIT-05-10), and the Program for Innovative Research Team in SDAEU (contract No. sgykycxtd2020-01).
Data Availability Statement
Not applicable.
Conflicts of Interest
The authors declare that they have no known competing financial interests or personal relationships that could have appeared to influence the work reported in this paper.
References
- Yabuuchi, E.; Kosako, Y.; Yano, I.; Hotta, H.; Nishiuchi, Y. Transfer of two Burkholderia and an Alcaligenes species to Ralstonia gen. nov., Proposal of Ralstonia pickettii (Ralston, Palleroni and Doudoroff 1973) comb. nov. Ralstonia solanacearum (smith 1896) comb. nov. And Ralstoma cutropha (Davis 1969) comb. nov. Microbiol. Immunol. 1995, 39, 897–904. [Google Scholar] [CrossRef] [PubMed]
- Zou, X.; Ma, Y.; Dai, X.; Li, X.; Li, S. Spread and industry development of pepper in China. Acta Hortic. Sin. 2020, 47, 1715–1726. [Google Scholar]
- Gisbert, C.; Sánchez-Torres, P.; Raigón, M.D.; Nuez, F. Phytophthora capsici resistance evaluation in pepper hybrids: Agronomic performanceand fruit quality of pepper grafted plants. J. Food. Agric. Environ. 2010, 8, 116–121. [Google Scholar]
- Lee, J.M.; Kubota, C.; Tsaoc, S.J.; Bied, Z.; Echevarriae, P.H.; Morraf, L.; Oda, M. Current status of vegetable grafting: Diffusion, grafting techniques, automation. Sci. Horti. 2010, 127, 93–105. [Google Scholar] [CrossRef]
- Gilardi, G.; Baudino, M.; Moizio, M.; Pugliese, M.; Garibaldi, A.; Gullino, M.L. Integrated management of Phytophthora capsici on bell pepper by combining grafting and compost treatment. Crop. Prot. 2013, 53, 13–19. [Google Scholar] [CrossRef]
- Dilfuza, E.; Zulfiya, K.; Kakhramon, D.; Gabriele, B.; Natasha, M.; Tatyana, A.; Vladimir, C.; Igor, T.; Faina, K.; Shamil, Z.V.; et al. Bacteria able to control foot and root rot and to promote growth of cucumber in salinated soils. Biol. Fertil. Soils. 2011, 47, 197–205. [Google Scholar]
- Juliana, A.; Martina, K.; Jan, K.; Markéta, S.M.; Daniel, M.; Geneviève, L.G.; Yvan, M.L. Assessment of the relationship between geologic origin of soil, rhizo bacterial community composition and soil receptivity to tobacco black root rot in Savoie region (France). Plant Soil. 2013, 371, 397–408. [Google Scholar]
- Costa, S.S.; Matos, K.S.; Tessmann, D.J.; Seixas, C.D.S.; Pfenning, L.H. Fusarium paranaense sp. nov., a member of the Fusarium solani species complex causes root rot on soybean in Brazil. Fungal Biol. 2015, 120, 51–60. [Google Scholar] [CrossRef]
- Cohen, R.; Horev, C.; Burger, Y.; Shriber, S.; Hershenhorn, J.; Katan, J.; Edelstein, M. Horticultural and pathological aspects of Fusarium wilt management using grafted melon. HortScience 2002, 37, 1069–1073. [Google Scholar] [CrossRef] [Green Version]
- Xi, D.; Huan, G.B.; Ting, L.; Guo, X.W.; Qing, M.L.; Xi, Z.A. Root characteristics of grafted peppers and theirresistance to Fusarium solani. Biol. Plant 2017, 61, 579–586. [Google Scholar]
- King, S.R.; Davis, A.R.; Liu, W.G.; Levi, A. Grafting for disease resistance. Hort Sci. 2008, 43, 1673–1676. [Google Scholar] [CrossRef] [Green Version]
- Lee, J.M. Cultivation of grafted vegetables. I. Current status, grafting methods, and benefits. Hort Sci. 1994, 29, 235–239. [Google Scholar] [CrossRef]
- Santos, H.S.; Goto, R. Sweet pepper grafting to control phytophthora blight under protected cultivation. Hortic. Brasileira 2004, 22, 45–49. [Google Scholar] [CrossRef]
- Jang, Y.; Yang, E.; Cho, M.; Um, Y.; Ko, K.; Chun, C. Effect of grafting on growth and incidence of Phytophthora blight and bacterial wilt of pepper (Capsicum annuum L.). Hortic. Environ. Biotechnol. 2012, 53, 9–19. [Google Scholar] [CrossRef]
- Ruf, M.; Brunner, I. Vitality of tree fine roots: Reevaluation of the tetrazolium test. Tree Physiol. 2003, 23, 257–263. [Google Scholar] [CrossRef] [PubMed]
- Xiong, Q.E. Experimental Course on Plant Physiology; Sichuan Science and Technology Press: Chengdu, China, 2003; pp. 28–29. [Google Scholar]
- Patterson, B.D.; MacRae, E.A.; Ferguson, I.B. Estimation of hydrogen peroxide in plant extracts using titanium (IV). Anal. Biochem. 1984, 139, 487–492. [Google Scholar] [CrossRef]
- Gong, B.; Wen, D.; VandenLangenbergb, K.; Wei, M.; Yang, F.; Shi, Q.; Wang, X. Comparative effects of NaCl and NaHCO3 stress on photosynthetic parameters, nutrient metabolism, and the antioxidant system in tomato leaves. Sci. Hortic. 2013, 157, 1–12. [Google Scholar] [CrossRef]
- Zhao, C.H.; Zhao, J.; Su, S.Y.; Feng, C.; Li, L.B.; Wang, S.S.; Li, H.L.; Bao, Z.L.; Zhang, B.B.; Song, H.W. Evaluation of influencing factors on determination of electrolyte leakage rate of apple annual branches during forced dormancy period. Northeast. Agric. Sci. 2020, 45, 51–54. [Google Scholar]
- Heath, R.L.; Packer, L. Photoperoxidation in isolated chloroplasts: I. Kinetics and stoichiometry of fatty acid peroxidation. Arch. Biochem. Biophys. 1968, 125, 189–198. [Google Scholar] [CrossRef]
- Nakano, Y.; Asada, K. Hydrogen peroxide is scavenged by ascorbate-specific peroxidase in spinach chloroplasts. Plant Cell Physiol. 1981, 22, 867–880. [Google Scholar]
- Foyer, C.H.; Halliwell, B. The presence of glutathione and glutathione reductase in chloroplasts: A proposed role in ascorbic acid metabolism. Planta 1976, 133, 21–25. [Google Scholar] [CrossRef]
- Sharma, P.; Rajam, M. Spatial and temporal changes in endogenous polyamine levels associated with somatic embryogenesis from different hypocotyl segments of eggplant (Solanum melongena L.). J. Plant Physiol. 1995, 146, 658–664. [Google Scholar] [CrossRef]
- Wei, G.P.; Yang, L.F.; Zhu, Y.L.; Chen, G. Changes in oxidative damage, antioxidant enzyme activities and polyamine contents in leaves of grafted and non-grafted eggplant seedlings under stress by excess of calcium nitrate. Sci. Hort. 2009, 120, 443–451. [Google Scholar] [CrossRef]
- Iiyama, K.; Wallis, A.F.A. Determination of lignin in herbaceous plants by an improved acetyl bromide procedure. J. Sci. Food Agric. 1990, 51, 145–161. [Google Scholar] [CrossRef]
- Syros, T.; Yupsanis, T.; Zafiriadis, H.; Economou, A. Activity and isoforms of peroxidases, lignin and anatomy, during adventitious rooting in cuttings of Ebenus cretica L. J. Plant Physiol. 2004, 161, 69–77. [Google Scholar] [CrossRef] [PubMed]
- Yuan, Y.J.; Li, C.; Hu, Z.D.; Wu, J.C. Signal transduction pathway for oxidative burst and taxol production in suspension cultures of Taxuschinensis var. Mairei induced by oligosaccharide from Fusarium oxysprum. Enzyme Microbial. Technol. 2001, 29, 372–379. [Google Scholar] [CrossRef]
- Rao, P.U.; Deosthale, Y.G. Polyphenoloxidase activity in germinated legume seeds. J. Food Sci. 1987, 52, 1549–1551. [Google Scholar] [CrossRef]
- Omran, R.G. Peroxide levels and the activities of catalase, peroxidase, and indoleacetic acid oxidase during and after chilling cucumber seedlings. Plant Physiol. 1980, 65, 407–408. [Google Scholar] [CrossRef] [Green Version]
- Chance, B.; Maehly, A.C. Assay of catalase and peroxidase. Methods Enzymol. 1995, 2, 764–775. [Google Scholar]
- Proestos, C.; Chorianopoulos, N.; Nychas, G.J.E.; Komaitis, M. RP-HPLC analysis of the phenolic compounds of plant extracts investigation of their antioxidant capacity and antimicrobial activity. J. Agr. Food Chem. 2005, 53, 1190–1195. [Google Scholar] [CrossRef]
- Guan, W.; Zhao, X. Defense Mechanisms Involved in Disease Resistance of Grafted Vegetables. Hort. Sci. 2012, 47, 164–170. [Google Scholar] [CrossRef] [Green Version]
- Cao, S.; Yang, Z.; Cai, Y.; Zheng, Y. Antioxidant enzymes and fatty acid omposition as related to disease resistance in postharvest loquat fruit. Food Chem. 2014, 163, 92–96. [Google Scholar] [CrossRef] [PubMed]
- Hanaa, R.M.F.; Abdou, Z.A.; Salama, D.A.; Ibrahim, M.A.R.; Sror, H.A.M. Effect of neem and willow aqueous extracts on fusarium wilt disease in tomato seedlings: Induction of antioxidant defensive enzymes. Ann. Agric. Sci. 2011, 56, 1–7. [Google Scholar] [CrossRef]
- Mittler, R. Oxidative stress, antioxidants and stress tolerance. Trends Plant Sci. 2002, 7, 405–410. [Google Scholar] [CrossRef]
- Yin, L.; Zou, Y.; Li, M.; Ke, X.; Li, C.; Liang, D.; Ma, F. Resistance of Malus plants to Diplocarpon mali infection is associated with the antioxidant system and defense signaling pathways. Physiol. Mol. Plant Pathol. 2013, 84, 146–152. [Google Scholar] [CrossRef]
- Iriti, M.; Faoro, F. Ozone-induced changes in plant secondary metabolism. In Climate Change and Crops; Springer: Berlin, Heidelberg, 2009; pp. 245–268. [Google Scholar]
- Bharti, N.; Deepti, Y.; Barnawal, D.; Maji, D.; Kalra, A. Exiguobacterium oxidotolerans, a halotolerant plant growth promoting rhizobacteria, improves yield and content of secondary metabolites in Bacopa monnieri (L.) Pennell under primary and secondary salt stress. World J. Microbiol. Biotechnol. 2013, 29, 379–387. [Google Scholar] [CrossRef]
- Ferrat, L.; Pergent-Martini, C.; Roméo, M. Assessment of the use of biomarkers in aquatic plants for the evaluation of environmental quality: Application to seagrasses. Aquat. Toxicol. 2003, 65, 187–204. [Google Scholar] [CrossRef]
- Pourcel, L.; Routaboul, J.M.; Cheynier, V.; Lepiniec, L.; Debeaujon, I. Flavonoid oxidation in plants: From biochemical properties to physiological functions. Trends Plant Sci. 2007, 12, 29–36. [Google Scholar] [CrossRef]
- Olsen, K.M.; Lea, U.S.; Slimestad, R.; Verheul, M.; Lillo, C. Differential expression of four Arabidopsis PAL genes; PAL1 and PAL2 have functional specialization in abiotic environmental-triggered flavonoid synthesis. J. Plant Physiol. 2008, 165, 1491–1499. [Google Scholar] [CrossRef]
- Liu, Y.X.; Fu, L.; Ai, X.Z.; Zhang, N.; Wang, H.T.; Ji, D.G. Relationship among root characteristics, ac-tivities of rhizosphere soil enzymes and bacterial wilt re-sistance of grafted pepper. Acta Bot. Boreali Occident. Dent. Sin. 2012, 32, 963–968. [Google Scholar]
- Shen, W.Y.; Nada, K.; Tachibana, S. Involvement of polyamines in the chilling tolerance of cucumber cultivars. Plant Physiol. 2000, 124, 431–439. [Google Scholar] [CrossRef] [PubMed] [Green Version]
Publisher’s Note: MDPI stays neutral with regard to jurisdictional claims in published maps and institutional affiliations. |
© 2022 by the authors. Licensee MDPI, Basel, Switzerland. This article is an open access article distributed under the terms and conditions of the Creative Commons Attribution (CC BY) license (https://creativecommons.org/licenses/by/4.0/).






