Multimorbidity and COVID-19 Outcomes in the Emergency Department: Is the Association Mediated by the Severity of the Condition at Admission?
Abstract
1. Introduction
2. Materials and Methods
2.1. Study Population
2.2. Variables
- No discharge from ED (i.e., hospitalized, transferred to other hospitals, or died) on the entire sample;
- Death within 30 days from the first positive swab on the entire sample;
- ICU admission and/or death among patients who were hospitalized;
- Length of hospitalization among patients who did not die while in the hospital. This choice was made because deaths among hospitalized individuals would have greatly influenced estimates of this association. Regarding this outcome, the length of hospitalization represented the follow-up time, while the discharge from the hospital was the event that defined the subjects’ exit from the risk set.
2.3. Statistical Analyses
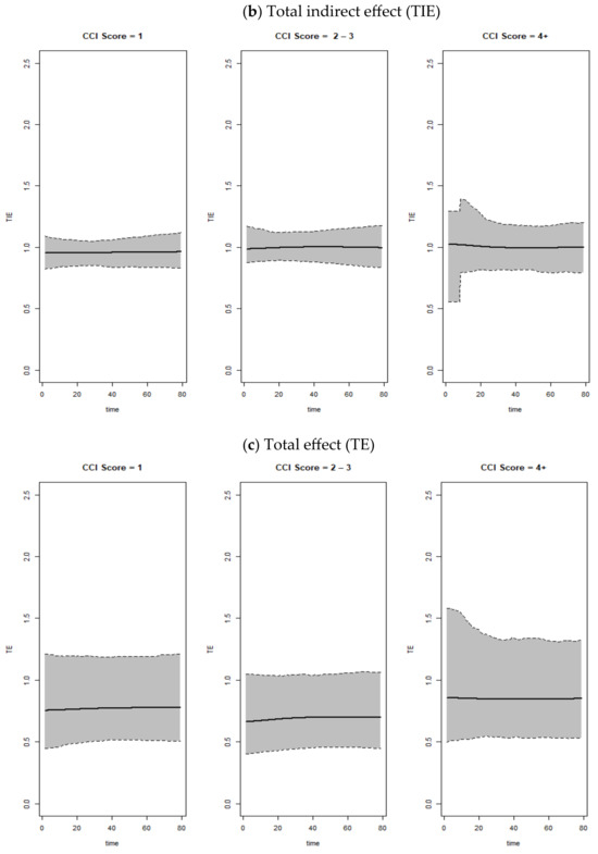
3. Results
4. Discussion
5. Conclusions
Supplementary Materials
Author Contributions
Funding
Institutional Review Board Statement
Informed Consent Statement
Data Availability Statement
Acknowledgments
Conflicts of Interest
References
- World Health Organization. WHO Director-General’s Opening Remarks at the Media Briefing on COVID-19—11 March 2020. Available online: https://www.who.int/director-general/speeches/detail/who-director-general-s-opening-remarks-at-the-media-briefing-on-covid-19---11-march-2020 (accessed on 28 November 2023).
- World Health Organization. WHO Director-General’s Opening Remarks at the Media Briefing—5 May 2023. Available online: https://www.who.int/director-general/speeches/detail/who-director-general-s-opening-remarks-at-the-media-briefing---5-may-2023 (accessed on 28 November 2023).
- World Health Organization. WHO Coronavirus (COVID-19) Dashboard|WHO Coronavirus (COVID-19) Dashboard with Vaccination Data. Available online: https://covid19.who.int/ (accessed on 28 November 2023).
- Li, J.; Huang, D.Q.; Zou, B.; Yang, H.; Hui, W.Z.; Rui, F.; Yee, N.T.S.; Liu, C.; Nerurkar, S.N.; Kai, J.C.Y.; et al. Epidemiology of COVID-19: A Systematic Review and Meta-Analysis of Clinical Characteristics, Risk Factors, and Outcomes. J. Med. Virol. 2021, 93, 1449–1458. [Google Scholar] [CrossRef] [PubMed]
- Dessie, Z.G.; Zewotir, T. Mortality-Related Risk Factors of COVID-19: A Systematic Review and Meta-Analysis of 42 Studies and 423,117 Patients. BMC Infect. Dis. 2021, 21, 855. [Google Scholar] [CrossRef] [PubMed]
- Vardavas, C.I.; Mathioudakis, A.G.; Nikitara, K.; Stamatelopoulos, K.; Georgiopoulos, G.; Phalkey, R.; Leonardi-Bee, J.; Fernandez, E.; Carnicer-Pont, D.; Vestbo, J.; et al. Prognostic Factors for Mortality, Intensive Care Unit and Hospital Admission Due to SARS-CoV-2: A Systematic Review and Meta-Analysis of Cohort Studies in Europe. Eur. Respir. Rev. 2022, 31, 220098. [Google Scholar] [CrossRef] [PubMed]
- D’Elia, L.; Giaquinto, A.; Zarrella, A.F.; Rendina, D.; Iaccarino Idelson, P.; Strazzullo, P.; Galletti, F. Hypertension and Mortality in SARS-COV-2 Infection: A Meta-Analysis of Observational Studies after 2 Years of Pandemic. Eur. J. Intern. Med. 2023, 108, 28–36. [Google Scholar] [CrossRef] [PubMed]
- Skou, S.T.; Mair, F.S.; Fortin, M.; Guthrie, B.; Nunes, B.P.; Miranda, J.J.; Boyd, C.M.; Pati, S.; Mtenga, S.; Smith, S.M. Multimorbidity. Nat. Rev. Dis. Primers 2022, 8, 48. [Google Scholar] [CrossRef]
- Charlson, M.E.; Pompei, P.; Ales, K.L.; MacKenzie, C.R. A New Method of Classifying Prognostic Comorbidity in Longitudinal Studies: Development and Validation. J. Chronic Dis. 1987, 40, 373–383. [Google Scholar] [CrossRef]
- Huang, Y.-J.; Chen, J.-S.; Luo, S.-F.; Kuo, C.-F. Comparison of Indexes to Measure Comorbidity Burden and Predict All-Cause Mortality in Rheumatoid Arthritis. J. Clin. Med. 2021, 10, 5460. [Google Scholar] [CrossRef]
- Charlson, M.E.; Carrozzino, D.; Guidi, J.; Patierno, C. Charlson Comorbidity Index: A Critical Review of Clinimetric Properties. Psychother. Psychosom. 2022, 91, 8–35. [Google Scholar] [CrossRef]
- Tuty Kuswardhani, R.A.; Henrina, J.; Pranata, R.; Anthonius Lim, M.; Lawrensia, S.; Suastika, K. Charlson Comorbidity Index and a Composite of Poor Outcomes in COVID-19 Patients: A Systematic Review and Meta-Analysis. Diabetes Metab. Syndr. 2020, 14, 2103–2109. [Google Scholar] [CrossRef]
- Comoglu, S.; Kant, A. Does the Charlson Comorbidity Index Help Predict the Risk of Death in COVID-19 Patients? North. Clin. Istanb. 2022, 9, 117–121. [Google Scholar] [CrossRef]
- Catalano, A.; Dansero, L.; Gilcrease, G.W.; Macciotta, A.; Saugo, C.; Manfredi, L.; Gnavi, R.; Strippoli, E.; Zengarini, N.; Caramello, V.; et al. Multimorbidity and SARS-CoV-2 Related Outcomes: Analysis on an Italian Sample of 12.793 Infected Patients. JMIR Public Health Surveill. 2022, 9, e41404. [Google Scholar] [CrossRef] [PubMed]
- Forchette, L.; Sebastian, W.; Liu, T. A Comprehensive Review of COVID-19 Virology, Vaccines, Variants, and Therapeutics. Curr. Med. Sci. 2021, 41, 1037–1051. [Google Scholar] [CrossRef] [PubMed]
- Shenoy, S. SARS-CoV-2 (COVID-19), Viral Load and Clinical Outcomes; Lessons Learned One Year into the Pandemic: A Systematic Review. World J. Crit. Care Med. 2021, 10, 132–150. [Google Scholar] [CrossRef] [PubMed]
- Negewo, N.A.; Gibson, P.G.; McDonald, V.M. COPD and Its Comorbidities: Impact, Measurement and Mechanisms. Respirology 2015, 20, 1160–1171. [Google Scholar] [CrossRef]
- Covino, M.; Russo, A.; Salini, S.; De Matteis, G.; Simeoni, B.; Della Polla, D.; Sandroni, C.; Landi, F.; Gasbarrini, A.; Franceschi, F. Frailty Assessment in the Emergency Department for Risk Stratification of COVID-19 Patients Aged ≥80 Years. J. Am. Med. Dir. Assoc. 2021, 22, 1845–1852.e1. [Google Scholar] [CrossRef]
- Royal College of Physicians National Early Warning Score (NEWS) 2. Available online: https://www.rcplondon.ac.uk/projects/outputs/national-early-warning-score-news-2 (accessed on 28 November 2023).
- Kivipuro, M.; Tirkkonen, J.; Kontula, T.; Solin, J.; Kalliomäki, J.; Pauniaho, S.-L.; Huhtala, H.; Yli-Hankala, A.; Hoppu, S. National Early Warning Score (NEWS) in a Finnish Multidisciplinary Emergency Department and Direct vs. Late Admission to Intensive Care. Resuscitation 2018, 128, 164–169. [Google Scholar] [CrossRef]
- Kostakis, I.; Smith, G.B.; Prytherch, D.; Meredith, P.; Price, C.; Chauhan, A. Portsmouth Academic ConsortIum For Investigating COVID-19 (PACIFIC-19) The Performance of the National Early Warning Score and National Early Warning Score 2 in Hospitalised Patients Infected by the Severe Acute Respiratory Syndrome Coronavirus 2 (SARS-CoV-2). Resuscitation 2021, 159, 150–157. [Google Scholar] [CrossRef]
- Pokeerbux, M.R.; Yelnik, C.M.; Faure, E.; Drumez, E.; Bruandet, A.; Labreuche, J.; Assaf, A.; Goffard, A.; Garabedian, C.; Poissy, J.; et al. National Early Warning Score to Predict Intensive Care Unit Transfer and Mortality in COVID-19 in a French Cohort. Int. J. Clin. Pract. 2021, 75, e14121. [Google Scholar] [CrossRef]
- McConnell, K.H.; Hajat, A.; Sack, C.; Mooney, S.J.; Khosropour, C.M. Association between Any Underlying Health Condition and COVID-19-Associated Hospitalization by Age Group, Washington State, 2020-2021: A Retrospective Cohort Study. BMC Infect. Dis. 2023, 23, 193. [Google Scholar] [CrossRef]
- Caramello, V.; Maciotta, A.; De Salve, A.V.; Gobbi, V.; Ruffino, T.M.; Mazzetti, G.; Ricagni, L.; Ling, C.; Arione, R.; Boccuzzi, A.; et al. Clinical Characteristics and Management of COVID-19 Patients Accessing the Emergency Department in a Hospital in Northern Italy in March and April 2020. Epidemiol. Prev. 2020, 44, 208–215. [Google Scholar] [CrossRef]
- Sacerdote, C.; Milani, L.; Castiglione, A.; Pagano, E.; Migliore, E.; Albera, C.; Bo, M.; Brazzi, L.; De Rosa, F.G.; Durazzo, M.; et al. Risk of Intensive Care Unit Admission or Mortality in Patients Hospitalised for COVID-19 during the First Two Waves: An Italian Cohort Study. J. Infect. 2022, 85, 436–480. [Google Scholar] [CrossRef]
- EPICLIN Il Progetto EPICLIN. Available online: https://new.epiclin.it/ (accessed on 28 November 2023).
- Smirnov, N. Table for Estimating the Goodness of Fit of Empirical Distributions. Ann. Math. Statist. 1948, 19, 279–281. [Google Scholar] [CrossRef]
- Vanderweele, T.J.; Vansteelandt, S. Odds Ratios for Mediation Analysis for a Dichotomous Outcome. Am. J. Epidemiol. 2010, 172, 1339–1348. [Google Scholar] [CrossRef] [PubMed]
- Fasanelli, F.; Giraudo, M.T.; Ricceri, F.; Valeri, L.; Zugna, D. Marginal Time-Dependent Causal Effects in Mediation Analysis With Survival Data. Am. J. Epidemiol. 2019, 188, 967–974. [Google Scholar] [CrossRef] [PubMed]
- Sundaram, S.S.; Melquist, S.; Kalgotra, P.; Srinivasan, S.; Parasa, S.; Desai, M.; Sharma, P. Impact of Age, Sex, Race, and Regionality on Major Clinical Outcomes of COVID-19 in Hospitalized Patients in the United States. BMC Infect. Dis. 2022, 22, 659. [Google Scholar] [CrossRef] [PubMed]
- O’Hare, A.M.; Berry, K.; Fan, V.S.; Crothers, K.; Eastment, M.C.; Dominitz, J.A.; Shah, J.A.; Green, P.; Locke, E.; Ioannou, G.N. Age Differences in the Association of Comorbid Burden with Adverse Outcomes in SARS-CoV-2. BMC Geriatr. 2021, 21, 415. [Google Scholar] [CrossRef]
- Mendiratta, P.; Schoo, C.; Latif, R. Clinical Frailty Scale. In StatPearls; StatPearls Publishing: Treasure Island, FL, USA, 2023. [Google Scholar]
- Cesari, M.; Calvani, R.; Marzetti, E. Frailty in Older Persons. Clin. Geriatr. Med. 2017, 33, 293–303. [Google Scholar] [CrossRef]
- Guerriero, F.; Reid, M.C. Linking Persistent Pain and Frailty in Older Adults. Pain Med. 2020, 21, 61–66. [Google Scholar] [CrossRef]
- Tabue-Teguo, M.; Simo, N.; Gonzalez-Colaço Harmand, M.; Cesari, M.; Avila-Funes, J.-A.; Féart, C.; Amiéva, H.; Dartigues, J.-F. Frailty in Elderly: A Brief Review. Geriatr. Psychol. Neuropsychiatr. Vieil. 2017, 15, 127–137. [Google Scholar] [CrossRef]
- Atamna, H.; Tenore, A.; Lui, F.; Dhahbi, J.M. Organ Reserve, Excess Metabolic Capacity, and Aging. Biogerontology 2018, 19, 171–184. [Google Scholar] [CrossRef]
- Romero-Ortuño, R.; Martínez-Velilla, N.; Sutton, R.; Ungar, A.; Fedorowski, A.; Galvin, R.; Theou, O.; Davies, A.; Reilly, R.B.; Claassen, J.; et al. Network Physiology in Aging and Frailty: The Grand Challenge of Physiological Reserve in Older Adults. Front. Netw. Physiol. 2021, 1, 712430. [Google Scholar] [CrossRef] [PubMed]
- Bajaj, V.; Gadi, N.; Spihlman, A.P.; Wu, S.C.; Choi, C.H.; Moulton, V.R. Aging, Immunity, and COVID-19: How Age Influences the Host Immune Response to Coronavirus Infections? Front. Physiol. 2020, 11, 571416. [Google Scholar] [CrossRef] [PubMed]
- Mok, D.Z.L.; Chan, C.Y.Y.; Ooi, E.E.; Chan, K.R. The Effects of Aging on Host Resistance and Disease Tolerance to SARS-CoV-2 Infection. FEBS J. 2021, 288, 5055–5070. [Google Scholar] [CrossRef]
- Morrisette-Thomas, V.; Cohen, A.A.; Fülöp, T.; Riesco, É.; Legault, V.; Li, Q.; Milot, E.; Dusseault-Bélanger, F.; Ferrucci, L. Inflamm-Aging Does Not Simply Reflect Increases in pro-Inflammatory Markers. Mech. Ageing Dev. 2014, 139, 49–57. [Google Scholar] [CrossRef] [PubMed]
- Liberale, L.; Montecucco, F.; Tardif, J.-C.; Libby, P.; Camici, G.G. Inflamm-Ageing: The Role of Inflammation in Age-Dependent Cardiovascular Disease. Eur. Heart J. 2020, 41, 2974–2982. [Google Scholar] [CrossRef]
- Bektas, A.; Schurman, S.H.; Sen, R.; Ferrucci, L. Aging, Inflammation and the Environment. Exp. Gerontol. 2018, 105, 10–18. [Google Scholar] [CrossRef]
- Teissier, T.; Boulanger, E.; Cox, L.S. Interconnections between Inflammageing and Immunosenescence during Ageing. Cells 2022, 11, 359. [Google Scholar] [CrossRef]
- Ferrucci, L.; Fabbri, E. Inflammageing: Chronic Inflammation in Ageing, Cardiovascular Disease, and Frailty. Nat. Rev. Cardiol. 2018, 15, 505–522. [Google Scholar] [CrossRef]
- Friedman, E.M.; Mroczek, D.K.; Christ, S.L. Multimorbidity, Inflammation, and Disability: A Longitudinal Mediational Analysis. Ther. Adv. Chronic Dis. 2019, 10, 2040622318806848. [Google Scholar] [CrossRef]




| Variable | Category | <65 (N = 458) | 65+ (N = 386) |
|---|---|---|---|
| N (%) | N (%) | ||
| Age | Median (IQR) | 50.0 (41.0–56.8) | 78.0 (73.0–85.0) |
| Gender | Male | 258 (56.3%) | 212 (54.9%) |
| Female | 200 (43.7%) | 174 (45.1%) | |
| Smoking | No | 382 (83.4%) | 311 (80.6%) |
| Yes | 76 (16.6%) | 75 (19.4%) | |
| Hospital | San Luigi | 144 (31.4%) | 135 (35.0%) |
| Molinette | 314 (68.6%) | 251 (65.0%) | |
| Obesity | No | 429 (93.7%) | 360 (93.3%) |
| Yes | 29 (6.3%) | 26 (6.7%) | |
| Hypertension | No | 297 (64.8%) | 97 (25.1%) |
| Yes | 161 (35.2%) | 289 (74.9%) | |
| COVID-19 Symptoms | No | 16 (3.5%) | 8 (2.1%) |
| Yes | 442 (96.5%) | 378 (97.9%) | |
| Charlson Comorbidity Index | 0 | 353 (77.0%) | 116 (30.0%) |
| 1 | 58 (12.7%) | 98 (25.4%) | |
| 2–3 * | 47 (10.3%) | 94 (24.4%) | |
| 4+ | - | 78 (20.2%) | |
| NEWS2 | 0 | 382 (83.4%) | 173 (44.8%) |
| 1 | 29 (6.3%) | 52 (13.5%) | |
| 2+ | 47 (10.3%) | 161 (41.7%) | |
| Discharge | Yes | 254 (55.5%) | 26 (6.7%) |
| No | 204 (44.5%) | 360 (93.3%) | |
| Death within 30 days | No | 446 (97.4%) | 254 (65.8%) |
| Si | 12 (2.6%) | 132 (34.2%) |
| Variable | Category | No Discharge | ICU Admission or Death | Death Within 30 Days | Length of Hospitalization |
|---|---|---|---|---|---|
| OR (95% CI) | OR (95% CI) | OR (95% CI) | HR (95% CI) | ||
| <65 | |||||
| Charlson Comorbidity Index | 0 | Ref | Ref | Ref | Ref |
| 1 | 1.27 (0.66–2.43) | 1.81 (0.68–4.76) | 2.83 (0.58–13.77) | 0.55 (0.33–0.91) | |
| 2+ | 3.14 (1.49–6.59) | 1.43 (0.58–3.55) | 4.45 (1.01–19.71) | 0.49 (0.32–0.76) | |
| Continuous | 1.47 (1.16–1.86) | 1.08 (0.87–1.34) | 1.53 (1.14–2.06) | 0.85 (0.74–0.99) | |
| 65+ | |||||
| Charlson Comorbidity Index | 0 | Ref | Ref | Ref | Ref |
| 1 | 1.49 (0.48–4.54) | 1.31 (0.70–2.45) | 1.97 (1.02–3.82) | 0.77 (0.52–1.15) | |
| 2–3 * | 2.52 (0.72–7.69) | 1.55 (0.81–2.95) | 2.14 (1.11–4.11) | 0.66 (0.44–1.00) | |
| 4+ | - | 1.38 (0.69–2.75) | 2.16 (1.06–4.39) | 0.83 (0.54–1.28) | |
| Continuous | 1.51 (1.02–2.26) | 1.05 (0.93–1.17) | 1.09 (0.97–1.21) | 0.98 (0.90–1.07) | |
| Variable | Category | Effect | No Discharge | ICU Admissionor Death | Death Within 30 Days | Length of Hospitalization |
|---|---|---|---|---|---|---|
| OR (95% CI) | OR (95% CI) | OR (95% CI) | HR (95% CI) | |||
| <65 | ||||||
| Charlson Comorbidity Index | 0 | Pure direct effect | Ref | Ref | Ref | Ref |
| 1 | 1.17 (0.66–2.14) | 1.62 (0.49–4.31) | 1.90 (0.01–13.12) | 0.66 (0.41–0.99) | ||
| 2+ | 2.13 (1.13–4.59) | 1.15 (0.42–2.52) | 2.14 (0.22–11.05) | 0.62 (0.43–0.83) | ||
| 0 | Total indirect effect | Ref | Ref | Ref | Ref | |
| 1 | 1.13 (0.88–1.63) | 1.08 (0.58–1.77) | 1.48 (0.31–3.72) | 0.90 (0.67–1.32) | ||
| 2+ | 1.54 (0.89–3.19) | 1.17 (0.63–1.13) | 2.65 (0.67–7.29) | 1.05 (0.82–1.45) | ||
| 0 | Total effect | Ref | Ref | Ref | Ref | |
| 1 | 1.32 (0.69–2.73) | 1.75 (0.51–4.96) | 2.80 (0.01–15.42) | 0.59 (0.36–1.07) | ||
| 2+ | 3.27 (1.48–8.22) | 1.35 (0.38–3.75) | 5.67 (0.57–26.82) | 0.67 (0.41–1.06) | ||
| 65+ | ||||||
| Charlson Comorbidity Index | 0 | Pure direct effect | Ref | Ref | Ref | Ref |
| 1 | 1.23 (0.47–4.60) | 1.08 (0.58–2.07) | 1.48 (0.86–2.73) | 0.81 (0.52–1.25) | ||
| 2–3 * | 1.67 (0.56–7.94) | 1.29 (0.67–2.51) | 1.59 (0.90–3.00) | 0.70 (0.46–1.02) | ||
| 4+ | - | 1.25 (0.60–2.53) | 1.68 (0.94–3.17) | 0.85 (0.56–1.30) | ||
| 0 | Total indirect effect | Ref | Ref | Ref | Ref | |
| 1 | 1.27 (0.84–1.89) | 1.28 (1.02–1.70) | 1.23 (0.97–1.56) | 0.96 (0.84–1.07) | ||
| 2–3 * | 1.51 (1.04–2.37) | 1.27 (1.01–1.67) | 1.17 (0.90–1.52) | 1.00 (0.88–1.14) | ||
| 4+ | - | 1.15 (0.88–1.54) | 1.15 (0.83–1.52) | 1.00 (0.80–1.20) | ||
| 0 | Total effect | Ref | Ref | Ref | Ref | |
| 1 | 1.56 (0.56–6.36) | 1.38 (0.72–2.67) | 1.82 (1.06–3.39) | 0.77 (0.51–1.19) | ||
| 2–3 * | 2.52 (0.82–11.34) | 1.64 (0.84–3.21) | 1.87 (0.99–3.59) | 0.70 (0.45–1.05) | ||
| 4+ | - | 1.43 (0.67–2.94) | 1.93 (0.99–3.82) | 0.85 (0.53–1.34) | ||
Disclaimer/Publisher’s Note: The statements, opinions and data contained in all publications are solely those of the individual author(s) and contributor(s) and not of MDPI and/or the editor(s). MDPI and/or the editor(s) disclaim responsibility for any injury to people or property resulting from any ideas, methods, instructions or products referred to in the content. |
© 2024 by the authors. Licensee MDPI, Basel, Switzerland. This article is an open access article distributed under the terms and conditions of the Creative Commons Attribution (CC BY) license (https://creativecommons.org/licenses/by/4.0/).
Share and Cite
Catalano, A.; Sacerdote, C.; Alvich, M.; Macciotta, A.; Milani, L.; Destefanis, C.; Gebru, K.T.; Sodano, B.; Padroni, L.; Giraudo, M.T.; et al. Multimorbidity and COVID-19 Outcomes in the Emergency Department: Is the Association Mediated by the Severity of the Condition at Admission? J. Clin. Med. 2024, 13, 7182. https://doi.org/10.3390/jcm13237182
Catalano A, Sacerdote C, Alvich M, Macciotta A, Milani L, Destefanis C, Gebru KT, Sodano B, Padroni L, Giraudo MT, et al. Multimorbidity and COVID-19 Outcomes in the Emergency Department: Is the Association Mediated by the Severity of the Condition at Admission? Journal of Clinical Medicine. 2024; 13(23):7182. https://doi.org/10.3390/jcm13237182
Chicago/Turabian StyleCatalano, Alberto, Carlotta Sacerdote, Marco Alvich, Alessandra Macciotta, Lorenzo Milani, Cinzia Destefanis, Kibrom Teklay Gebru, Barbara Sodano, Lisa Padroni, Maria Teresa Giraudo, and et al. 2024. "Multimorbidity and COVID-19 Outcomes in the Emergency Department: Is the Association Mediated by the Severity of the Condition at Admission?" Journal of Clinical Medicine 13, no. 23: 7182. https://doi.org/10.3390/jcm13237182
APA StyleCatalano, A., Sacerdote, C., Alvich, M., Macciotta, A., Milani, L., Destefanis, C., Gebru, K. T., Sodano, B., Padroni, L., Giraudo, M. T., Ciccone, G., Pagano, E., Boccuzzi, A., Caramello, V., & Ricceri, F. (2024). Multimorbidity and COVID-19 Outcomes in the Emergency Department: Is the Association Mediated by the Severity of the Condition at Admission? Journal of Clinical Medicine, 13(23), 7182. https://doi.org/10.3390/jcm13237182

