Enhanced Hypercoagulability Using Clot Waveform Analysis in Patients with Acute Myocardial Infarction and Acute Cerebral Infarction
Abstract
1. Introduction
2. Materials and Methods
Statistical Analyses
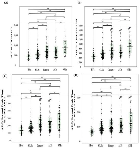
3. Results
4. Discussion
Limitation of Reference Interval of CWA
5. Conclusions
Author Contributions
Funding
Institutional Review Board Statement
Informed Consent Statement
Data Availability Statement
Acknowledgments
Conflicts of Interest
References
- Thygesen, K.; Alpert, J.S.; Jaffe, A.S.; Chaitman, B.R.; Bax, J.J.; Morrow, D.A.; White, H.D.; Executive Group on behalf of the Joint European Society of Cardiology (ESC)/American College of Cardiology (ACC)/American Heart Association (AHA)/World Heart Federation (WHF) Task Force for the Universal Definition of Myocardial Infarction. Fourth Universal Definition of Myocardial Infarction (2018). J. Am. Coll. Cardiol. 2018, 72, 2231–2264. [Google Scholar] [CrossRef] [PubMed]
- Ceasovschih, A.; Mantzouranis, E.; Dimitriadis, K.; Sorodoc, V.; Vlachakis, P.K.; Karanikola, A.-E.; Theofilis, P.; Koutsopoulos, G.; Drogkaris, S.; Andrikou, I.; et al. Coronary artery thromboembolism as a cause of myocardial infarction with non-obstructive coronary arteries (MINOCA). Hell. J. Cardiol. 2024, 79, 70–83. [Google Scholar] [CrossRef]
- Kimura, K.; Kimura, T.; Ishihara, M.; Nakagawa, Y.; Nakao, K.; Miyauchi, K.; Sakamoto, T.; Tsujita, K.; Hagiwara, N.; Miyazaki, S.; et al. JCS 2018 Guideline on Diagnosis and Treatment of Acute Coronary Syndrome. Circ. J. 2019, 83, 1085–1196. [Google Scholar] [CrossRef]
- Ibanez, B.; James, S.; Agewall, S.; Antunes, M.J.; Bucciarelli-Ducci, C.; Bueno, H.; Caforio, A.L.P.; Crea, F.; Goudevenos, J.A.; Halvorsen, S.; et al. 2017 ESC guidelines for the management of acute myocardial infarction in patients presenting with ST-segment elevation: The Task Force for the Management of Acute Myocardial Infarction in Patients Presenting with ST-Segment Elevation of the European Society of Cardiology (ESC). Eur. Heart J. 2018, 39, 119–177. [Google Scholar]
- Alpert, J.S.; Thygesen, K.; Antman, E.; Bassand, J.P. Myocardial infarction redefined: A consensus document of the Joint European Society of Cardiology/American College of Cardiology Committee for the redefinition of myocardial infarction. Eur. Heart J. 2000, 21, 1502–1513. [Google Scholar]
- Bruins Slot, M.H.; van der Heijden, G.J.; Stelpstra, S.D.; Hoes, A.W.; Rutten, F.H. Point-of-care tests in suspected acute myocardial infarction: A systematic review. Int. J. Cardiol. 2013, 168, 5355–5362. [Google Scholar] [CrossRef] [PubMed]
- Bhatt, D.L.; Lopes, R.D.; Harrington, R.A. Diagnosis and Treatment of Acute Coronary Syndromes: A Review. JAMA 2022, 327, 662–675. [Google Scholar] [CrossRef] [PubMed]
- Khan, S.U.; Singh, M.; Valavoor, S.; Khan, M.U.; Lone, A.N.; Khan, M.Z.; Khan, M.S.; Mani, P.; Kapadia, S.R.; Michos, E.D.; et al. Dual Antiplatelet Therapy After Percutaneous Coronary Intervention and Drug-Eluting Stents: A Systematic Review and Network Meta-Analysis. Circulation 2020, 142, 1425–1436. [Google Scholar] [CrossRef]
- Gelbenegger, G.; Jilma, B. Clinical pharmacology of antiplatelet drugs. Expert Rev. Clin. Pharmacol. 2022, 15, 1177–1197. [Google Scholar] [CrossRef]
- Pernod, G.; Cohen, A.; Mismetti, P.; Sanchez, O.; Mahé, I.; INNOVTE CAT Working Group. Cancer-related arterial thromboembolic events. Arch. Cardiovasc. Dis. 2024, 117, 101–113. [Google Scholar] [CrossRef]
- Phipps, M.S.; Cronin, C.A. Management of acute ischemic stroke. Br. Med. J. 2020, 368, l6983. [Google Scholar] [CrossRef]
- World Stroke Organization (WSO). Global Stroke Fact Sheet. Available online: https://www.world-stroke.org/ (accessed on 1 August 2024).
- Ministrini, S.; Carbone, F.; Montecucco, F. Updating concepts on atherosclerotic inflammation: From pathophysiology to treatment. Eur. J. Clin. Investig. 2020, 51, e13467. [Google Scholar] [CrossRef]
- Strandberg, M.; Mustonen, P.; Taina, M.; Korpela, J.; Vanninen, S.; Hedman, M. Etiology, diagnostics and treatment of cardiogenic stroke. Duodecim Laaketieteellinen Aikakauskirja 2016, 132, 1625–1633. [Google Scholar]
- Nishigaki, A.; Ichikawa, Y.; Ezaki, M.; Yamamoto, A.; Suzuki, K.; Tachibana, K.; Kamon, T.; Horie, S.; Masuda, J.; Makino, K.; et al. Soluble C-Type Lectin-Like Receptor 2 Elevation in Patients with Acute Cerebral Infarction. J. Clin. Med. 2021, 10, 3408. [Google Scholar] [CrossRef]
- Amarenco, P.; Denison, H.; Evans, S.R.; Himmelmann, A.; James, S.; Knutsson, M.; Ladenvall, P.; Molina, C.A.; Wang, Y.; Johnston, S.C.; et al. Ticagrelor added to aspirin in acute ischemic stroke or transient ischemic attack in prevention of disabling stroke: A randomized clinical trial. JAMA Neurol. 2020, 78, 177–185. [Google Scholar] [CrossRef]
- Huang, P.; He, X.-Y.; Xu, M. Effect of Argatroban Injection on Clinical Efficacy in Patients with Acute Cerebral Infarction: Preliminary Findings. Eur. Neurol. 2021, 84, 38–42. [Google Scholar] [CrossRef]
- Macha, K.; Marsch, A.; Siedler, G.; Breuer, L.; Strasser, E.F.; Engelhorn, T.; Schwab, S.; Kallmünzer, B. Cerebral ischemia in patients on direct oral anticoagulants. Stroke 2019, 50, 873–879. [Google Scholar] [CrossRef] [PubMed]
- Pircher, J.; Engelmann, B.; Massberg, S.; Schulz, C. Platelet–Neutrophil Crosstalk in Atherothrombosis. Thromb. Haemost. 2019, 119, 1274–1282. [Google Scholar] [CrossRef] [PubMed]
- Streifler, J.Y.; Katz, M. Cardiogenic cerebral emboli: Diagnosis and treatment. Curr. Opin. Neurol. 1995, 8, 45–54. [Google Scholar] [CrossRef] [PubMed]
- Kamon, T.; Horie, S.; Inaba, T.; Ito, N.; Shiraki, K.; Ichikawa, Y.; Ezaki, M.; Shimpo, H.; Shimaoka, M.; Nishigaki, A.; et al. The Detection of Hypercoagulability in Patients with Acute Cerebral Infarction Using a Clot Waveform Analysis. Clin. Appl. Thromb. 2023, 29, 10760296231161591. [Google Scholar] [CrossRef]
- Sandoval, Y.; Lewis, B.R.; Mehta, R.A.; Ola, O.; Knott, J.D.; De Michieli, L.; Akula, A.; Lobo, R.; Yang, E.H.; Gharacholou, S.M.; et al. Rapid Exclusion of Acute Myocardial Injury and Infarction With a Single High-Sensitivity Cardiac Troponin T in the Emergency Department: A Multicenter United States Evaluation. Circulation 2022, 145, 1708–1719. [Google Scholar] [CrossRef] [PubMed]
- Johnson, E.D.; Schell, J.C.; Rodgers, G.M. The D-dimer assay. Am. J. Hematol. 2019, 94, 833–839. [Google Scholar] [CrossRef] [PubMed]
- Linkins, L.A.; Lapner, T. Review of D-dimer testing: Good, bad, and ugly. Int. J. Lab. Hematol. 2017, 39, 98–103. [Google Scholar] [CrossRef] [PubMed]
- Adelborg, K.; Larsen, J.B.; Hvas, A.M. Disseminated intravascular coagulation: Epidemiology, biomarkers, and management. Br. J. Haematol. 2021, 192, 803–818. [Google Scholar] [CrossRef] [PubMed]
- Wang, D.; Zhao, P.; Lv, Y.; Ming, J.; Wang, Z.; Yang, E.; Li, Y.; Wang, M.; Niu, J.; Zhang, Y.; et al. Proteomic-Based Platelet Activation-Associated Protein SELP May Be a Novel Biomarker for Coagulation and Prognostic in Essential Thrombocythemia. J. Clin. Med. 2023, 12, 1078. [Google Scholar] [CrossRef]
- Matowicka-Karna, J. Markers of inflammation, activation of blood platelets and coagulation disorders in inflammatory bowel dis eases. Postępy Hig. Med. Doświadczalnej 2016, 70, 305–312. [Google Scholar] [CrossRef]
- Petito, E.; Franco, L.; Falcinelli, E.; Guglielmini, G.; Conti, C.; Vaudo, G.; Paliani, U.; Becattini, C.; Mencacci, A.; Tondi, F.; et al. COVIR-Study Investigators. COVIR-study investigators: COVID-19 infection-associated platelet and neutrophil activation is blunted by previous anti-SARS-CoV-2 vaccination. Br. J. Haematol. 2023, 201, 851–856. [Google Scholar] [CrossRef]
- Wada, H.; Shiraki, K.; Matsumoto, T.; Ohishi, K.; Shimpo, H.; Shimaoka, M. Effects of platelet and phospholipids on clot formation activated by a small amount of tissue factor. Thromb. Res. 2020, 193, 146–153. [Google Scholar] [CrossRef]
- Wada, H.; Matsumoto, T.; Ohishi, K.; Shiraki, K.; Shimaoka, M. Update on the Clot Waveform Analysis. Clin. Appl. Thromb. 2020, 26, 1076029620912027. [Google Scholar] [CrossRef]
- Wada, H.; Shiraki, K.; Matsumoto, T.; Shimpo, H.; Shimaoka, M. Clot waveform analysis for hemostatic abnormalities. Ann. Lab. Med. 2023, 43, 531–538. [Google Scholar] [CrossRef]
- Matsumoto, T.; Nogami, K.; Shima, M. A combined approach using global coagulation assays quickly differentiates coagulation disorders with prolonged aPTT and low levels of FVIII activity. Int. J. Hematol. 2017, 105, 174–183. [Google Scholar] [CrossRef] [PubMed]
- Matsumoto, T.; Wada, H.; Fujimoto, N.; Toyoda, J.; Abe, Y.; Ohishi, K.; Yamashita, Y.; Ikejiri, M.; Hasegawa, K.; Suzuki, K.; et al. An Evaluation of the Activated Partial Thromboplastin Time Waveform. Clin. Appl. Thromb. 2018, 24, 764–770. [Google Scholar] [CrossRef]
- Levi, M.; Sivapalaratnam, S. Disseminated intravascular coagulation: An update on pathogenesis and diagnosis. Expert Rev. Hematol. 2018, 11, 663–672. [Google Scholar] [CrossRef]
- Tokutake, T.; Baba, H.; Shimada, Y.; Takeda, W.; Sato, K.; Hiroshima, Y.; Kirihara, T.; Shimizu, I.; Nakazawa, H.; Kobayashi, H.; et al. Exogenous Magnesium Chloride Reduces the Activated Partial Thromboplastin Times of Lupus Anticoagulant-Positive Patients. PLoS ONE. 2016, 11, e0157835. [Google Scholar] [CrossRef]
- Sevenet, P.O.; Depasse, F. Clot waveform analysis: Where do we stand in 2017? Int. J. Lab Hematol. 2017, 39, 561–568. [Google Scholar] [CrossRef] [PubMed]
- Nogami, K. Clot Waveform Analysis for Monitoring Hemostasis. Semin. Thromb. Hemost. 2022, 49, 592–599. [Google Scholar] [CrossRef] [PubMed]
- Hasegawa, M.; Tone, S.; Wada, H.; Naito, Y.; Matsumoto, T.; Yamashita, Y.; Shimaoka, M.; Sudo, A. The Evaluation of Hemostatic Abnormalities Using a CWA-Small Amount Tissue Factor Induced FIX Activation Assay in Major Orthopedic Surgery Patients. Clin. Appl. Thromb. 2021, 27, 10760296211012094. [Google Scholar] [CrossRef]
- Tripodi, A. Thrombin Generation Assay and Its Application in the Clinical Laboratory. Clin. Chem. 2016, 62, 699–707. [Google Scholar] [CrossRef]
- Konstantinidi, A.; Sokou, R.; Parastatidou, S.; Lampropoulou, K.; Katsaras, G.; Boutsikou, T.; Gounaris, A.K.; Tsantes, A.E.; Iacovidou, N. Clinical Application of Thromboelastography/Thromboelastometry (TEG/TEM) in the Neonatal Population: A Narrative Review. Semin. Thromb. Hemost. 2019, 45, 449–457. [Google Scholar] [CrossRef] [PubMed]
- Kobayashi, M.; Wada, H.; Fukui, S.; Mizutani, H.; Ichikawa, Y.; Shiraki, K.; Moritani, I.; Inoue, H.; Shimaoka, M.; Shimpo, H. A Clot Waveform Analysis Showing a Hypercoagulable State in Patients with Malignant Neoplasms. J. Clin. Med. 2021, 10, 5352. [Google Scholar] [CrossRef]
- Dargaud, Y.; Delavenne, X.; Hart, D.; Meunier, S.; Mismetti, P. Individualized PK-based prophylaxis in severe haemophilia. Haemophilia 2018, 24, 3–17. [Google Scholar] [CrossRef] [PubMed]
- Hofer, S.; Ay, C.; Rejtö, J.; Wolberg, A.S.; Haslacher, H.; Koder, S.; Pabinger, I.; Gebhart, J. Thrombin-generating potential, plasma clot formation, and clot lysis are impaired in patients with bleeding of unknown cause. J. Thromb. Haemost. 2019, 17, 1478–1488. [Google Scholar] [CrossRef] [PubMed]
- Reed, G.W.; Rossi, J.E.; Cannon, C.P. Acute myocardial infarction. Lancet 2017, 389, 197–210. [Google Scholar] [CrossRef]
- Deguchi, I.; Takahashi, S.J. Pathophysiology and Optimal Treatment of Intracranial Branch Atheromatous Disease. Atheroscler. Thromb. 2023, 30, 701–709. [Google Scholar] [CrossRef]
- Urabe, T.; Tanaka, R.; Noda, K.; Mizuno, Y. Anticoagulant therapy with a selective thrombin inhibitor for acute cerebral infarction: Usefulness of coagulation markers for evaluation of efficacy. J. Thromb. Thrombolysis. 2002, 13, 155–160. [Google Scholar] [CrossRef]
- Lee, S.H.; Kim, H.K.; Ahn, J.-H.; Kang, M.G.; Kim, K.-H.; Bae, J.S.; Cho, S.Y.; Koh, J.-S.; Park, Y.; Hwang, S.J.; et al. Prognostic impact of hypercoagulability and impaired fibrinolysis in acute myocardial infarction. Eur. Heart J. 2023, 44, 1718–1728. [Google Scholar] [CrossRef] [PubMed]
- Camaj, A.; Fuster, V.; Giustino, G.; Bienstock, S.W.; Sternheim, D.; Mehran, R.; Dangas, G.D.; Kini, A.; Sharma, S.K.; Halperin, J.; et al. Left Ventricular Thrombus Following Acute Myocardial Infarction: JACC State-of-the-Art Review. J. Am. Coll. Cardiol. 2022, 79, 1010–1022. [Google Scholar] [CrossRef]
- Siegerink, B.; Maino, A.; Algra, A.; Rosendaal, F.R. Hypercoagulability and the risk of myocardial infarction and ischemic stroke in young women. J. Thromb. Haemost. 2015, 13, 1568–1575. [Google Scholar] [CrossRef] [PubMed]
- Haq, S.A.; Heitner, J.F.; Sacchi, T.J.; Brener, S.J. Long-term Effect of Chronic Oral Anticoagulation with Warfarin after Acute Myocardial Infarction. Am. J. Med. 2010, 123, 250–258. [Google Scholar] [CrossRef]
- Sueda, S.; Sakaue, T. Coronary artery spasm-induced acute myocardial infarction in patients with myocardial infarction with non-obstructive coronary arteries. Heart Vessel. 2021, 36, 1804–1810. [Google Scholar] [CrossRef]
- Braun, M.; Kassop, D. Acute Coronary Syndrome: Management. FP Essent. 2020, 490, 20–28. [Google Scholar] [PubMed]
- Beckman, J.A.; Creager, M.A.; Libby, P. Diabetes and atherosclerosis: Epidemiology, pathophysiology, and management. JAMA 2002, 287, 2570–2581. [Google Scholar] [CrossRef] [PubMed]
- Siddiqi, T.J.; Usman, M.S.; Rashid, A.M.; Javaid, S.S.; Ahmed, A.; Clark, D., 3rd; Flack, J.M.; Shimbo, D.; Choi, E.; Jones, D.W.; et al. Clinical Outcomes in Hypertensive Emergency: A Systematic Review and Meta-Analysis. J. Am. Heart Assoc. 2023, 12, e029355. [Google Scholar] [CrossRef] [PubMed]
- Zubielienė, K.; Valterytė, G.; Jonaitienė, N.; Žaliaduonytė, D.; Zabiela, V. Familial Hypercholesterolemia and Its Current Diagnostics and Treatment Possibilities: A Literature Analysis. Medicina 2022, 58, 1665. [Google Scholar] [CrossRef]
- Libby, P.; Ridker, P.M.; Maseri, A. Inflammation and atherosclerosis. Circulation 2002, 105, 1135–1143. [Google Scholar] [CrossRef]
- Shobayo, F.; Bajwa, M.; Koutroumpakis, E.; Hassan, S.A.; Palaskas, N.L.; Iliescu, C.; Abe, J.-I.; Mouhayar, E.; Karimzad, K.; Thompson, K.A.; et al. Acute coronary syndrome in patients with cancer. Expert Rev. Cardiovasc. Ther. 2022, 20, 275–290. [Google Scholar] [CrossRef]
- Shao, C.; Wang, J.; Tian, J.; Tang, Y.D. Coronary Artery Disease: From Mechanism to Clinical Practice. Adv. Exp. Med. Biol. 2020, 1177, 1–36. [Google Scholar]
- Grover, S.P.; Mackman, N. Intrinsic Pathway of Coagulation and Thrombosis. Arter. Thromb. Vasc. Biol. 2019, 39, 331–338. [Google Scholar] [CrossRef]
- Grover, S.P.; Mackman, N. Tissue factor in atherosclerosis and atherothrombosis. Atherosclerosis 2020, 307, 80–86. [Google Scholar] [CrossRef]
- Weber, C.; Habenicht, A.J.R.; von Hundelshausen, P. Novel mechanisms and therapeutic targets in atherosclerosis: Inflammation and beyond. Eur. Heart J. 2023, 44, 2672–2681. [Google Scholar] [CrossRef]
- Suzuki-Inoue, K. Platelets and cancer-associated thrombosis: Focusing on the platelet activation receptor CLEC-2 and podoplanin. Blood 2019, 134, 1912–1918. [Google Scholar] [CrossRef] [PubMed]
- Monroe, D.M.; Hoffman, M.; Roberts, H.R. Platelets and Thrombin Generation. Arter. Thromb. Vasc. Biol. 2002, 22, 1381–1389. [Google Scholar] [CrossRef] [PubMed]
- Matsumoto, T.; Wada, H.; Shiraki, K.; Suzuki, K.; Yamashita, Y.; Tawara, I.; Shimpo, H.; Shimaoka, M. The Evaluation of Clot Waveform Analyses for Assessing Hypercoagulability in Patients Treated with Factor VIII Concentrate. J. Clin. Med. 2023, 12, 6320. [Google Scholar] [CrossRef] [PubMed]




| Second Derivative | First Derivative | Fibrin Formation | |||||
|---|---|---|---|---|---|---|---|
| APTT | Peak Time | Peak Height | Peak Time | Peak Width | Peak Height | Peak Time | Peak Height |
| HVs | 36.8 (35.6–38.9) | 731 (600–804) | 34.7 (33.7–36.6) | 36.0 (31.1–42.0) | 231 (201–273) | 36.8 (35.6–38.9) | 196 (171–214) |
| CLD | 35.8 (33.1–38.4) | 888 *** (752–1033) | 33.8 (31.4–36.5) | 35.0 (31.5–42.1) | 292 *** (246–339) | 35.8 (33.1–38.4) | 220 *** (198–250) |
| Cancer | 36.8 (34.1–38.2) | 955 *** (824–1168) | 34.3 (31.8–36.1) | 41.1 *** (34.9–46.5) | 315 *** (268–394) | 36.8 (34.1–38.2) | 253 *** (217–308) |
| ACI | 35.8 (33.3–38.1) | 997 *** (853–1191) | 33.7 (31.4–36.1) | 37.7 (33.0–42.8) | 327 *** (276–404) | 35.8 (33.3–38.1) | 239 *** (211–282) |
| AMI | 39.2 ** (35.4–44.8) | 1069 *** (865–1374) | 37.6 ** (33.6–42.0) | 42.5 *** (37.4–50.5) | 400 *** (324–495) | 39.2 ** (35.4–44.8) | 324 *** (273–395) |
| sTF/FIXa | Peak time | Peak height | Peak time | Peak width | Peak height | Peak time | Peak height |
| HVs | 71.3 (65.1–79.2) | 31.9 (28.7–40.0) | 91.3 (85.8–98.0) | 145 (134–158) | 65.0 (55.4–71.9) | 92.2 (86.9–97.8) | 315 (255–373) |
| CLD | 68.2 * (61.5–64.7) | 44.5 *** (36.6–56.9) | 84.5 *** (78.8–90.4) | 138 *** (126–145) | 83.6 *** (71.3–101) | 85.7 *** (79.7–91.3) | 330 (277–380) |
| Cancer | 70.5 (62.7–79.3) | 43.1 *** (31.3–62.1) | 90.1 (79.8–100) | 152 (131–170) | 88.3 *** (73.2–114) | 92.4 (81.7–102) | 344 * (284–432) |
| ACI | 63.8 ** (54.3–74.0) | 47.0 *** (36.2–60.1) | 85.3 ** (77.0–94.4) | 142 (132–154) | 91.1 *** (75.6–118) | 85.8 *** (78.2–94.6) | 347 ** (302–413) |
| AMI | 68.1 (56.6–77.4) | 46.8 *** (33.0–60.2) | 93.0 (84.0–107) | 162 *** (142–183) | 112 *** (81.1–138) | 94.6 (84.5–108) | 473 *** (393–550) |
| ACI vs. | HVs | CLD | Cancer | AMI vs. | HVs | CLD | Cancer | ||
|---|---|---|---|---|---|---|---|---|---|
| CWA- APTT | Second DPT | 0.658 | 0.537 | 0.538 | 0.609 | 0.652 | 0.675 | ||
| First DPT | 0.620 | 0.523 | 0.523 | 0.660 | 0.677 | 0.710 | |||
| First DPW | 0.562 | 0.573 | 0.605 | 0.741 | 0.751 | 0.584 | |||
| FFT | 0.623 | 0.509 | 0.547 | 0.650 | 0.673 | 0.689 | |||
| Second DPH | 0.859 | 0.637 | 0.519 | 0.810 | 0.655 | 0.565 | |||
| First DPH | 0.857 | 0.646 | 0.530 | 0.901 | 0.774 | 0.681 | |||
| FFH | 0.809 | 0.625 | 0.558 | 0.963 | 0.876 | 0.738 | |||
| CWA- sTF/FIX | Second DPT | 0.658 | 0.573 | 0.619 | 0.581 | 0.501 | 0.546 | ||
| First DPT | 0.649 | 0.513 | 0.599 | 0.543 | 0.694 | 0.568 | |||
| First DPW | 0.553 | 0.597 | 0.577 | 0.681 | 0.795 | 0.619 | |||
| FFT | 0.661 | 0.509 | 0.547 | 0.548 | 0.673 | 0.689 | |||
| Second DPH | 0.747 | 0.538 | 0.551 | 0.704 | 0.510 | 0.517 | |||
| First DPH | 0.867 | 0.594 | 0.537 | 0.870 | 0.699 | 0.643 | |||
| FFH | 0.636 | 0.589 | 0.515 | 0.844 | 0.826 | 0.750 | |||
| (A) AUC | Cutoff | Sensitivity | Odds Ratio | |
|---|---|---|---|---|
| CWA-APTT | ||||
| AMI vs. HVs | 0.934 | 5362 | 85.6% | 31.2 |
| AMI vs. CLD | 0.821 | 6526 | 74.3% | 8.68 |
| AMI vs. Cancer | 0.679 | 7281 | 63.6% | 3.03 |
| ACI vs. HVs | 0.812 | 4392 | 74.0% | 4.82 |
| ACI vs. CLD | 0.648 | 5801 | 62.8% | 2.93 |
| ACI vs. Cancer | 0.534 | 6479 | 51.2% | 1.05 |
| CWA-sTF/FIXa | ||||
| AMI vs. HVs | 0.929 | 5774 | 87.4% | 42.5 |
| AMI vs. CLD | 0.816 | 6890 | 74.3% | 7.25 |
| AMI vs. Cancer | 0.696 | 7712 | 67.0% | 4.18 |
| ACI vs. HVs | 0.833 | 5336 | 74.0% | 8.10 |
| ACI vs. CLD | 0.635 | 6157 | 58.5% | 2.01 |
| ACI vs. Cancer | 0.506 | 6587 | 51.6% | 1.16 |
| (B) AUC/Second DPT | Cutoff | Sensitivity | Odds Ratio | |
| CWA-APTT | ||||
| AMI vs. HVs | 0.867 | 169 | 78.8% | 13.2 |
| AMI vs. CLD | 0.783 | 106 | 74.3% | 8.57 |
| AMI vs. Cancer | 0.603 | 222 | 55.8% | 1.12 |
| ACI vs. HVs | 0.836 | 158 | 74.0% | 8.09 |
| ACI vs. CLD | 0.665 | 188 | 62.0% | 2.66 |
| ACI vs. Cancer | 0.526 | 212 | 49.6% | 1.00 |
| CWA-sTF/FIXa | ||||
| AMI vs. HVs | 0.912 | 79.8 | 85.4% | 36.0 |
| AMI vs. CLD | 0.771 | 107 | 73.8% | 7.86 |
| AMI vs. Cancer | 0.691 | 116 | 65.4% | 3.62 |
| ACI vs. HVs | 0.867 | 76.5 | 78.0% | 13.2 |
| ACI vs. CLD | 0.662 | 94.5 | 62.2% | 2.75 |
| ACI vs. Cancer | 0.553 | 102 | 57.2% | 1.83 |
Disclaimer/Publisher’s Note: The statements, opinions and data contained in all publications are solely those of the individual author(s) and contributor(s) and not of MDPI and/or the editor(s). MDPI and/or the editor(s) disclaim responsibility for any injury to people or property resulting from any ideas, methods, instructions or products referred to in the content. |
© 2024 by the authors. Licensee MDPI, Basel, Switzerland. This article is an open access article distributed under the terms and conditions of the Creative Commons Attribution (CC BY) license (https://creativecommons.org/licenses/by/4.0/).
Share and Cite
Masuda, J.; Wada, H.; Kato, T.; Tanigaito, Y.; Hayashi, K.; Yamada, K.; Nishida, K.; Oizumi, H.; Kamon, T.; Ohkubo, T.; et al. Enhanced Hypercoagulability Using Clot Waveform Analysis in Patients with Acute Myocardial Infarction and Acute Cerebral Infarction. J. Clin. Med. 2024, 13, 7181. https://doi.org/10.3390/jcm13237181
Masuda J, Wada H, Kato T, Tanigaito Y, Hayashi K, Yamada K, Nishida K, Oizumi H, Kamon T, Ohkubo T, et al. Enhanced Hypercoagulability Using Clot Waveform Analysis in Patients with Acute Myocardial Infarction and Acute Cerebral Infarction. Journal of Clinical Medicine. 2024; 13(23):7181. https://doi.org/10.3390/jcm13237181
Chicago/Turabian StyleMasuda, Jun, Hideo Wada, Takashi Kato, Yusuke Tanigaito, Koken Hayashi, Keita Yamada, Keigo Nishida, Hiroki Oizumi, Toshitaka Kamon, Takanobu Ohkubo, and et al. 2024. "Enhanced Hypercoagulability Using Clot Waveform Analysis in Patients with Acute Myocardial Infarction and Acute Cerebral Infarction" Journal of Clinical Medicine 13, no. 23: 7181. https://doi.org/10.3390/jcm13237181
APA StyleMasuda, J., Wada, H., Kato, T., Tanigaito, Y., Hayashi, K., Yamada, K., Nishida, K., Oizumi, H., Kamon, T., Ohkubo, T., Okamoto, K., Ito, N., Shiraki, K., Ichikawa, Y., Shimaoka, M., Dohi, K., & Shimpo, H. (2024). Enhanced Hypercoagulability Using Clot Waveform Analysis in Patients with Acute Myocardial Infarction and Acute Cerebral Infarction. Journal of Clinical Medicine, 13(23), 7181. https://doi.org/10.3390/jcm13237181

