Assessment of Clinical Indicators Registered on Admission to the Hospital Related to Mortality Risk in Cancer Patients with COVID-19
Abstract
1. Introduction
2. Materials and Methods
2.1. Study Design and Participants
2.2. Ethical Statement
2.3. Statistical Methods
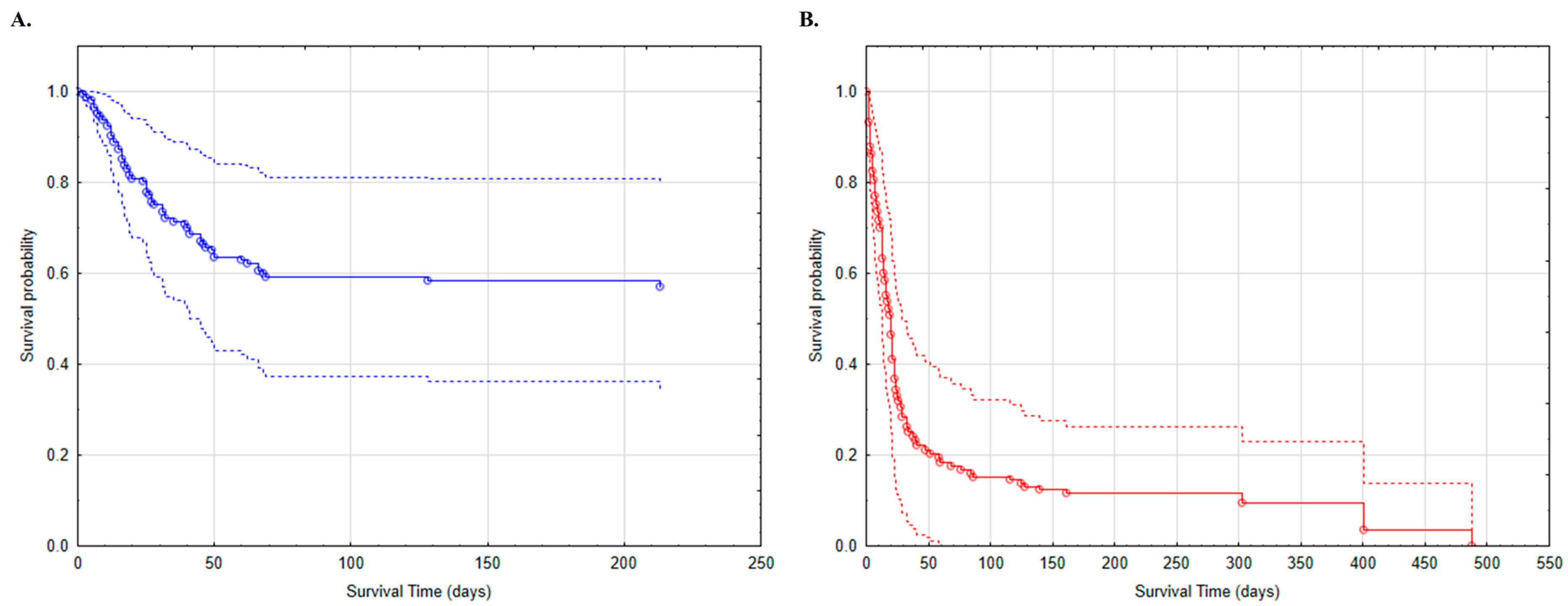
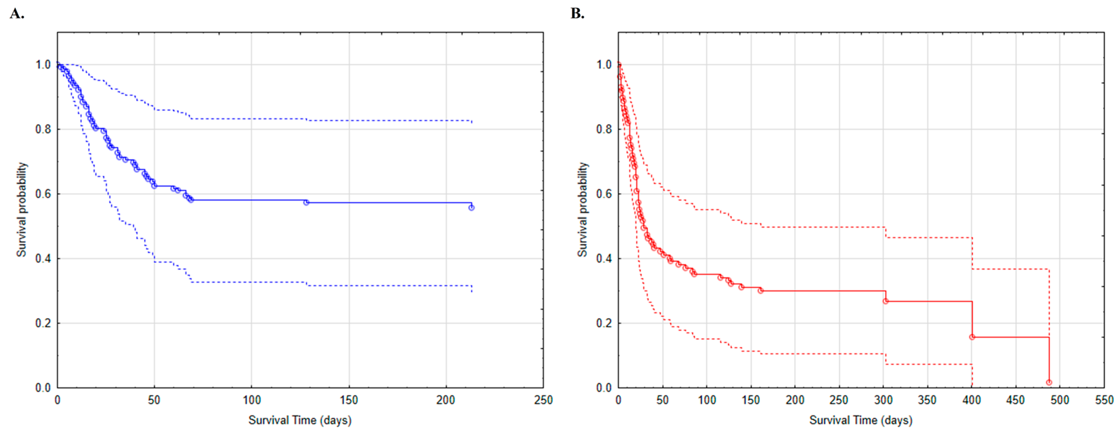
3. Results
3.1. Clinical Characteristics of Oncological Patients
3.2. Factors Registered on Admission to the Hospital Affecting the Risk of Death
4. Discussion
5. Conclusions
Supplementary Materials
Author Contributions
Funding
Institutional Review Board Statement
Informed Consent Statement
Data Availability Statement
Acknowledgments
Conflicts of Interest
References
- World Health Organization Coronavirus (COVID-19) Dashboard. Available online: https://covid19.who.int/ (accessed on 14 August 2022).
- World Health Organization Cancer. Available online: https://www.who.int/health-topics/cancer (accessed on 14 August 2022).
- Liu, C.; Zhao, Y.; Okwan-Duodu, D.; Basho, R.; Cui, X. COVID-19 in Cancer Patients: Risk, Clinical Features, and Management. Cancer Biol. Med. 2020, 17, 519. [Google Scholar] [CrossRef] [PubMed]
- Kuderer, N.M.; Choueiri, T.K.; Shah, D.P.; Shyr, Y.; Rubinstein, S.M.; Rivera, D.R.; Shete, S.; Hsu, C.Y.; Desai, A.; de Lima Lopes, G.; et al. Clinical Impact of COVID-19 on Patients with Cancer (CCC19): A Cohort Study. Lancet 2020, 395, 1907–1918. [Google Scholar] [CrossRef]
- Seneviratne, S.L.; Wijerathne, W.; Yasawardene, P.; Somawardana, B. COVID-19 in Cancer Patients. Trans. R. Soc. Trop. Med. Hyg. 2022, 116, 767–797. [Google Scholar] [CrossRef] [PubMed]
- Zong, Z.; Wei, Y.; Ren, J.; Zhang, L.; Zhou, F. The Intersection of COVID-19 and Cancer: Signaling Pathways and Treatment Implications. Mol. Cancer 2021, 20, 76. [Google Scholar] [CrossRef]
- Mani, V.R.; Kalabin, A.; Valdivieso, S.C.; Murray-Ramcharan, M.; Donaldson, B. New York Inner City Hospital COVID-19 Experience and Current Data: Retrospective Analysis at the Epicenter of the American Coronavirus Outbreak. J. Med. Internet Res. 2020, 22, e20548. [Google Scholar] [CrossRef] [PubMed]
- Wynants, L.; van Calster, B.; Collins, G.S.; Riley, R.D.; Heinze, G.; Schuit, E.; Bonten, M.M.J.; Damen, J.A.A.; Debray, T.P.A.; de Vos, M.; et al. Prediction Models for Diagnosis and Prognosis of Covid-19: Systematic Review and Critical Appraisal. BMJ 2020, 369, m1328. [Google Scholar] [CrossRef]
- Izcovich, A.; Ragusa, M.A.; Tortosa, F.; Marzio, M.A.L.; Agnoletti, C.; Bengolea, A.; Ceirano, A.; Espinosa, F.; Saavedra, E.; Sanguine, V.; et al. Prognostic Factors for Severity and Mortality in Patients Infected with COVID-19: A Systematic Review. PLoS ONE 2020, 15, e0241955. [Google Scholar] [CrossRef]
- Bellan, M.; Patti, G.; Hayden, E.; Azzolina, D.; Pirisi, M.; Acquaviva, A.; Aimaretti, G.; Aluffi Valletti, P.; Angilletta, R.; Arioli, R.; et al. Fatality Rate and Predictors of Mortality in an Italian Cohort of Hospitalized COVID-19 Patients. Sci. Rep. 2020, 10, 20731. [Google Scholar] [CrossRef]
- Pérez-Segura, P.; Paz-Cabezas, M.; Núñez-Gil, I.J.; Arroyo-Espliguero, R.; Maroun Eid, C.; Romero, R.; Fernández Rozas, I.; Uribarri, A.; Becerra-Muñoz, V.M.; García Aguado, M.; et al. Prognostic Factors at Admission on Patients with Cancer and COVID-19: Analysis of HOPE Registry Data. Med. Clin. 2021, 157, 318–324. [Google Scholar] [CrossRef]
- Dai, M.; Liu, D.; Liu, M.; Zhou, F.; Li, G.; Chen, Z.; Zhang, Z.; You, H.; Wu, M.; Zheng, Q.; et al. Patients with Cancer Appear More Vulnerable to SARS-CoV-2: A Multicenter Study during the COVID-19 Outbreak. Cancer Discov. 2020, 10, 783–791. [Google Scholar] [CrossRef]
- Ruiz-Garcia, E.; Peña-Nieves, A.; Alegria-Baños, J.; Cornejo-Juarez, P.; Meneses-García, A.; Rivera, S.R.; Sánchez, J.J.; Gerson-Cwilich, R.; Gerson, D.S.; Franco, H.M.; et al. Prognostic Factors in Cancer Patients Infected with SARS-CoV-2: A Latin American Country Results. Adv. Chronic Dis. 2021, 12, 20406223211047755. [Google Scholar] [CrossRef] [PubMed]
- Vargha, A.; Delaney, H.D. A Critique and Improvement of the CL Common Language Effect Size Statistics of McGraw and Wong. J. Educ. Behav. Stat. 2000, 25, 101–132. [Google Scholar] [CrossRef]
- Tian, Y.; Qiu, X.; Wang, C.; Zhao, J.; Jiang, X.; Niu, W.; Huang, J.; Zhang, F. Cancer Associates with Risk and Severe Events of COVID-19: A Systematic Review and Meta-Analysis. Int. J. Cancer 2021, 148, 363–374. [Google Scholar] [CrossRef] [PubMed]
- Aapro, M.; Lyman, G.H.; Bokemeyer, C.; Rapoport, B.L.; Mathieson, N.; Koptelova, N.; Cornes, P.; Anderson, R.; Gascón, P.; Kuderer, N.M. Supportive Care in Patients with Cancer during the COVID-19 Pandemic. ESMO Open 2021, 6, 100038. [Google Scholar] [CrossRef]
- Stroppa, E.M.; Toscani, I.; Citterio, C.; Anselmi, E.; Zaffignani, E.; Codeluppi, M.; Cavanna, L. Coronavirus Disease-2019 in Cancer Patients. A Report of the First 25 Cancer Patients in a Western Country (Italy). Future Oncol. 2020, 16, 1425–1432. [Google Scholar] [CrossRef]
- Bernabe-Ramirez, C.; Velazquez, A.I.; Olazagasti, C.; Bergerot, C.D.; Bergerot, P.G.; Soto-Perez-de-Celis, E.; Duma, N. The HOLA COVID-19 Study: An International Effort to Determine How COVID-19 Has Impacted Oncology Practices in Latin America. Cancer Cell 2020, 38, 605–608. [Google Scholar] [CrossRef]
- Curigliano, G. Cancer Patients and Risk of Mortality for COVID-19. Cancer Cell 2020, 38, 161–163. [Google Scholar] [CrossRef]
- Pradhan, A.; Olsson, P.E. Sex Differences in Severity and Mortality from COVID-19: Are Males More Vulnerable? Biol. Sex Differ. 2020, 11, 53. [Google Scholar] [CrossRef]
- Pollard, C.A.; Morran, M.P.; Nestor-Kalinoski, A.L. The Covid-19 Pandemic: A Global Health Crisis. Physiol. Genom. 2020, 52, 549–557. [Google Scholar] [CrossRef]
- Zhang, H.; Han, H.; He, T.; Labbe, K.E.; Hernandez, A.V.; Chen, H.; Velcheti, V.; Stebbing, J.; Wong, K.K. Clinical Characteristics and Outcomes of COVID-19-Infected Cancer Patients: A Systematic Review and Meta-Analysis. J. Natl. Cancer Inst. 2021, 113, 371–380. [Google Scholar] [CrossRef]
- Singh, A.; Avula, A.; Zahn, E. Acute Bronchitis. [Updated 2022 Aug 15]. StatPearls Publishing: Treasure Island, FL, USA. Available online: https://www.ncbi.nlm.nih.gov/books/NBK448067/ (accessed on 22 August 2022). [PubMed]
- Wipf, J.E.; Lipsky, B.A.; Hirschmann, J.V.; Boyko, E.J.; Takasugi, J.; Peugeot, R.L.; Davis, C.L. Diagnosing Pneumonia by Physical Examination: Relevant or Relic? Arch. Intern. Med. 1999, 159, 1082–1087. [Google Scholar] [CrossRef] [PubMed]
- Ashraf, U.M.; Abokor, A.A.; Edwards, J.M.; Waigi, E.W.; Royfman, R.S.; Hasan, S.A.M.; Smedlund, K.B.; Hardy, A.M.G.; Chakravarti, R.; Koch, L.G. Sars-Cov-2, Ace2 Expression, and Systemic Organ Invasion. Physiol. Genom. 2021, 53, 51–60. [Google Scholar] [CrossRef]
- Peinado, P.; Sanz Garcia, E.; Moreno, I.; Dorta, M.; Alvarez, B.; Alvarez Gallego, R.; Madurga, R.; Ugidos, L.; Rodriguez Pascual, J.; Muñoz, C.; et al. 1760P COVID-19 Severe Pneumonia in Cancer Patients: Impact and Predictive Factors. Ann. Oncol. 2020, 31, S1024. [Google Scholar] [CrossRef]
- Wang, B.; Liu, Y.; Wang, Y.; Yin, W.; Liu, T.; Liu, D.; Li, D.; Feng, M.; Zhang, Y.; Liang, Z.; et al. Characteristics of Pulmonary Auscultation in Patients with 2019 Novel Coronavirus in China. Respiration 2020, 99, 755–763. [Google Scholar] [CrossRef]
- Oldani, S.; Petrelli, F.; Dognini, G.; Borgonovo, K.; Parati, M.C.; Ghilardi, M.; Dottorini, L.; Cabiddu, M.; Luciani, A. COVID-19 and Lung Cancer Survival: An Updated Systematic Review and Meta-Analysis. Cancers 2022, 14, 5706. [Google Scholar] [CrossRef] [PubMed]
- Zambrelli, E.; Canevini, M.; Gambini, O.; D’Agostino, A. Delirium and Sleep Disturbances in COVID–19: A Possible Role for Melatonin in Hospitalized Patients? Sleep Med. 2020, 70, 111. [Google Scholar] [CrossRef] [PubMed]
- Mao, L.; Jin, H.; Wang, M.; Hu, Y.; Chen, S.; He, Q.; Chang, J.; Hong, C.; Zhou, Y.; Wang, D.; et al. Neurologic Manifestations of Hospitalized Patients with Coronavirus Disease 2019 in Wuhan, China. JAMA Neurol. 2020, 77, 683–690. [Google Scholar] [CrossRef] [PubMed]
- Lustberg, M.B. Management of Neutropenia in Cancer Patients. Clin. Adv. Hematol. Oncol. 2012, 10, 825. [Google Scholar]
- Borges, L.; Pithon-Curi, T.C.; Curi, R.; Hatanaka, E. COVID-19 and Neutrophils: The Relationship between Hyperinflammation and Neutrophil Extracellular Traps. Mediat. Inflamm. 2020, 2020, 8829674. [Google Scholar] [CrossRef]
- Huang, I.; Pranata, R.; Lim, M.A.; Oehadian, A.; Alisjahbana, B. C-Reactive Protein, Procalcitonin, D-Dimer, and Ferritin in Severe Coronavirus Disease-2019: A Meta-Analysis. Ther. Adv. Respir. Dis. 2020, 14, 1753466620937175. [Google Scholar] [CrossRef]
- Korkusuz, R.; Karandere, F.; Senoglu, S.; Kocoglu, H.; Yasar, K.K. The Prognostic Role of D-Dimer in Hospitalized COVID-19 Patients. Bratisl. Med. J. 2021, 122, 811–815. [Google Scholar] [CrossRef] [PubMed]
- Souan, L.; Al-Khairy, Z.; Al-Binni, M.A.; Battah, A.; Sughayer, M.A. The Effect of Dexamethasone Treatment on COVID-19 Prognosis in Cancer Patients. Vaccines 2022, 10, 1798. [Google Scholar] [CrossRef] [PubMed]
- Tiutan, T.; Wallins, J.S.; Brown, S.; Gonen, M.; Korenstein, D. Prognostic Value of Procalcitonin in Cancer Patients with Coronavirus Disease 2019. Clin. Chem. Lab. Med. 2022, 61, 339–348. [Google Scholar] [CrossRef] [PubMed]
- Torres-Ruiz, J.; Pérez-Fragoso, A.; Maravillas-Montero, J.L.; Llorente, L.; Mejía-Domínguez, N.R.; Páez-Franco, J.C.; Romero-Ramírez, S.; Sosa-Hernández, V.A.; Cervantes-Díaz, R.; Absalón-Aguilar, A.; et al. Redefining COVID-19 Severity and Prognosis: The Role of Clinical and Immunobiotypes. Front. Immunol. 2021, 12, 689966. [Google Scholar] [CrossRef] [PubMed]



| Patients with Cancer | Patients without Cancer | ||||||||||
|---|---|---|---|---|---|---|---|---|---|---|---|
| Variable | n | Q1 | Median | Q3 | Average | n | Q1 | Median | Q3 | Average | p * |
| Patient data | |||||||||||
| Alive (1 August 2021) | 65/151 | - | - | - | - | 87/151 | - | - | - | - | 0.011 |
| Female | 76/151 | - | - | - | - | 76/151 | - | - | - | - | 1.000 |
| Male | 75/151 | - | - | - | - | 75/151 | - | - | - | - | 1.000 |
| Age | 151 | 61.00 | 69.00 | 78.00 | 67.78 | 151 | 61.00 | 69.00 | 78.00 | 67.78 | 1.000 |
| Age ≥ 60 years | 121/151 | 66.00 | 73.00 | 80.00 | 73.24 | 121/151 | 66.00 | 73.00 | 80.00 | 73.24 | 1.000 |
| Age < 60 years | 30/151 | 40.75 | 48.00 | 55.00 | 45.77 | 30/151 | 40.75 | 48.00 | 55.00 | 45.77 | 1.000 |
| Comorbidities | |||||||||||
| Previous Myocardial Infraction | 20/151 | - | - | - | - | 24/151 | - | - | - | - | 0.514 |
| Previous Coronary Revascularization | 15/151 | - | - | - | - | 20/151 | - | - | - | - | 0.369 |
| Asthma | 2/151 | - | - | - | - | 9/151 | - | - | - | - | 0.032 |
| Chronic Kidney Disease | 18/151 | - | - | - | - | 27/151 | - | - | - | - | 0.146 |
| Hemiplegia | 5/151 | - | - | - | - | 11/151 | - | - | - | - | 0.123 |
| Signs recorded on admission | |||||||||||
| SBP [mmHg] | 120 | 114.50 | 130.00 | 142.30 | 130.40 | 137 | 120.00 | 130.00 | 145.00 | 132.40 | 0.181 |
| Impaired consciousness | 17/150 | - | - | - | - | 21/151 | - | - | - | - | 0.501 |
| Unconscious, not intubated | 3/150 | - | - | - | - | 3/151 | - | - | - | - | 0.993 |
| Unconscious, intubated | 5/150 | - | - | - | - | 8/151 | - | - | - | - | 0.402 |
| Wheezes/Rhonchi | 22/151 | - | - | - | - | 15/151 | - | - | - | - | 0.219 |
| Medication used before hospitalization | |||||||||||
| LMWH | 18/151 | - | - | - | - | 10/151 | - | - | - | - | 0.112 |
| Laboratory results recorded on admission | |||||||||||
| WBC [103/uL] | 149 | 5.90 | 7.41 | 10.50 | 10.46 | 151 | 5.51 | 7.46 | 11.67 | 11.01 | 0.795 |
| Lymphocytes [103/uL] | 102 | 0.56 | 0.83 | 1.27 | 0.95 | 147 | 0.66 | 0.97 | 1.48 | 1.29 | 0.023 |
| Neutrophils [103/uL] | 103 | 3.98 | 5.98 | 8.90 | 7.55 | 148 | 3.24 | 5.78 | 9.41 | 6.97 | 0.563 |
| HGB [g/dL] | 149 | 10.20 | 11.90 | 13.20 | 11.73 | 151 | 10.90 | 12.80 | 13.90 | 12.45 | 0.003 |
| Potassium [mmol/L] | 148 | 3.65 | 4.10 | 4.50 | 4.14 | 151 | 0.05 | 0.11 | 0.36 | 1.37 | 0.480 |
| CRP [mg/L] | 149 | 16.49 | 68.70 | 139.36 | 92.31 | 151 | 14.18 | 41.40 | 116.84 | 80.68 | 0.100 |
| PCT [ng/mL] | 105 | 0.07 | 0.18 | 0.72 | 1.35 | 145 | 0.05 | 0.11 | 0.36 | 1.37 | 0.037 |
| INR | 141 | 1.04 | 1.13 | 1.27 | 1.34 | 146 | 1.03 | 1.16 | 1.29 | 1.28 | 0.647 |
| Urea [mg/dL] | 143 | 29.00 | 41.00 | 66.00 | 57.34 | 151 | 29.00 | 44.00 | 72.00 | 58.25 | 0.671 |
| Creatinine [mg/dL] | 148 | 0.79 | 0.96 | 1.41 | 1.49 | 151 | 0.77 | 1.02 | 1.46 | 1.47 | 0.619 |
| GFR [ml/min./1.73 m2] | 148 | 46.50 | 70.50 | 90.00 | 70.66 | 150 | 42.00 | 67.00 | 94.00 | 68.79 | 0.597 |
| Bilirubin [mg/dL] | 115 | 0.50 | 0.60 | 1.00 | 1.18 | 140 | 0.40 | 0.60 | 0.90 | 0.78 | 0.409 |
| GGTP [U/L] | 108 | 24.50 | 40.50 | 120.00 | 124.30 | 141 | 25.00 | 42.00 | 87.00 | 73.56 | 0.301 |
| Patients with Cancer | Patients without Cancer | |||||||
|---|---|---|---|---|---|---|---|---|
| Variable | p | HR | 95% CI HR Lower | 95% CI HR Upper | p | HR | 95% CI HR Lower | 95% CI HR Upper |
| Model I—Patient data | ||||||||
| Age | 0.0009 | 1.030 | 1.012 | 1.048 | 0.0009 | 1.036 | 1.015 | 1.058 |
| Sex (F) | 0.0263 | 0.610 | 0.394 | 0.943 | 0.0964 | 0.656 | 0.399 | 1.078 |
| Tumor with metastases | 0.0029 | 1.959 | 1.258 | 3.052 | --- | --- | --- | --- |
| Model II—Comorbidities | ||||||||
| Previous Myocardial Infarction | 0.0695 | 1.837 | 0.953 | 3.540 | 0.1616 | 1.677 | 0.813 | 3.461 |
| Previous Coronary Revascularization | 0.1904 | 1.682 | 0.772 | 3.664 | 0.9889 | 1.006 | 0.441 | 2.295 |
| Asthma | 0.7491 | 1.381 | 0.191 | 9.973 | 0.1153 | 0.202 | 0.028 | 1.478 |
| Chronic Kidney Disease | 0.4798 | 1.253 | 0.670 | 2.342 | 0.0206 | 1.960 | 1.109 | 3.464 |
| Hemiplegia | 0.3806 | 1.584 | 0.566 | 4.429 | 0.0763 | 1.983 | 0.930 | 4.226 |
| Model III—Signs recorded on admission | ||||||||
| SBP | 0.1014 | 0.992 | 0.982 | 1.002 | 0.3969 | 0.994 | 0.979 | 1.009 |
| Impaired consciousness (somnolence or confusion) | <0.0001 | 3.739 | 1.997 | 7.002 | 0.7572 | 1.127 | 0.527 | 2.412 |
| Unconscious, not intubated | 0.1923 | 2.598 | 0.619 | 10.911 | 0.1128 | 3.749 | 0.732 | 19.195 |
| Unconscious, intubated | 0.3696 | 1.709 | 0.530 | 5.508 | 0.0086 | 3.261 | 1.350 | 7.876 |
| Wheezes/Rhonchi | 0.0136 | 2.084 | 1.163 | 3.732 | 0.7087 | 1.172 | 0.510 | 2.694 |
| Model IV—Medications used before admission | ||||||||
| LMWH | 0.0523 | 1.768 | 0.994 | 3.144 | 0.3115 | 1.544 | 0.666 | 3.583 |
| Model V—Laboratory results recorded on admission | ||||||||
| WBC [103/uL] | 0.0179 | 0.833 | 0.716 | 0.969 | 0.1544 | 1.060 | 0.978 | 1.149 |
| Lymphocytes [103/uL] | 0.7275 | 1.148 | 0.529 | 2.491 | 0.2290 | 0.747 | 0.465 | 1.201 |
| Neutrophils [103/uL] | 0.0058 | 1.263 | 1.070 | 1.491 | 0.4346 | 0.960 | 0.867 | 1.063 |
| HGB [g/dL] | 0.7917 | 0.977 | 0.821 | 1.163 | 0.4266 | 0.950 | 0.837 | 1.078 |
| Potassium [mmol/L] | 0.2420 | 1.517 | 0.755 | 3.052 | 0.2254 | 1.345 | 0.833 | 2.172 |
| CRP [mg/L] | 0.0872 | 1.004 | 0.999 | 1.009 | 0.9194 | 1.000 | 0.996 | 1.004 |
| PCT [ng/mL] | 0.3510 | 1.049 | 0.948 | 1.162 | 0.0749 | 1.036 | 0.996 | 1.077 |
| INR | 0.9575 | 1.022 | 0.465 | 2.245 | 0.9108 | 0.978 | 0.663 | 1.442 |
| Urea [mg/dL] | 0.1288 | 1.008 | 0.998 | 1.019 | 0.5545 | 1.003 | 0.994 | 1.012 |
| Creatinine [mg/dL] | 0.1504 | 0.734 | 0.482 | 1.119 | 0.6836 | 1.070 | 0.773 | 1.481 |
| GFR | 0.7924 | 0.998 | 0.985 | 1.012 | 0.6550 | 0.997 | 0.985 | 1.010 |
| Bilirubin [mg/dL] | 0.1158 | 1.413 | 0.918 | 2.174 | 0.3690 | 1.283 | 0.745 | 2.208 |
| GGTP [U/L] | 0.4975 | 0.999 | 0.995 | 1.002 | 0.3276 | 1.002 | 0.998 | 1.005 |
Disclaimer/Publisher’s Note: The statements, opinions and data contained in all publications are solely those of the individual author(s) and contributor(s) and not of MDPI and/or the editor(s). MDPI and/or the editor(s) disclaim responsibility for any injury to people or property resulting from any ideas, methods, instructions or products referred to in the content. |
© 2023 by the authors. Licensee MDPI, Basel, Switzerland. This article is an open access article distributed under the terms and conditions of the Creative Commons Attribution (CC BY) license (https://creativecommons.org/licenses/by/4.0/).
Share and Cite
Szewczyk-Dąbrowska, A.; Banasik, M.; Dąbrowska, K.; Kujawa, K.; Bombala, W.; Sebastian, A.; Matera-Witkiewicz, A.; Krupińska, M.; Grata-Borkowska, U.; Sokołowski, J.; et al. Assessment of Clinical Indicators Registered on Admission to the Hospital Related to Mortality Risk in Cancer Patients with COVID-19. J. Clin. Med. 2023, 12, 878. https://doi.org/10.3390/jcm12030878
Szewczyk-Dąbrowska A, Banasik M, Dąbrowska K, Kujawa K, Bombala W, Sebastian A, Matera-Witkiewicz A, Krupińska M, Grata-Borkowska U, Sokołowski J, et al. Assessment of Clinical Indicators Registered on Admission to the Hospital Related to Mortality Risk in Cancer Patients with COVID-19. Journal of Clinical Medicine. 2023; 12(3):878. https://doi.org/10.3390/jcm12030878
Chicago/Turabian StyleSzewczyk-Dąbrowska, Alina, Mirosław Banasik, Krystyna Dąbrowska, Krzysztof Kujawa, Wojciech Bombala, Agata Sebastian, Agnieszka Matera-Witkiewicz, Magdalena Krupińska, Urszula Grata-Borkowska, Janusz Sokołowski, and et al. 2023. "Assessment of Clinical Indicators Registered on Admission to the Hospital Related to Mortality Risk in Cancer Patients with COVID-19" Journal of Clinical Medicine 12, no. 3: 878. https://doi.org/10.3390/jcm12030878
APA StyleSzewczyk-Dąbrowska, A., Banasik, M., Dąbrowska, K., Kujawa, K., Bombala, W., Sebastian, A., Matera-Witkiewicz, A., Krupińska, M., Grata-Borkowska, U., Sokołowski, J., Kiliś-Pstrusińska, K., Adamik, B., Doroszko, A., Kaliszewski, K., Pomorski, M., Protasiewicz, M., Jankowska, E. A., & Madziarska, K. (2023). Assessment of Clinical Indicators Registered on Admission to the Hospital Related to Mortality Risk in Cancer Patients with COVID-19. Journal of Clinical Medicine, 12(3), 878. https://doi.org/10.3390/jcm12030878

