Emerging Technologies for Dentin Caries Detection—A Systematic Review and Meta-Analysis
Abstract
1. Introduction
2. Materials and Methods
2.1. Eligibility Criteria
2.2. Information Sources
2.3. Search Strategy
2.4. Article Selection
2.5. Data Collection
2.6. Qualitative Analysis
2.7. Quantitative Meta-Analysis
2.7.1. Descriptive Summary Statistics
2.7.2. Univariate Meta-Analysis
2.7.3. Bivariate Meta-Analysis
2.7.4. General Specifications
3. Results
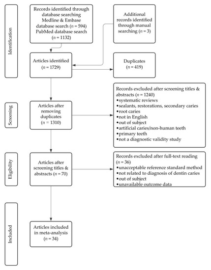
3.1. Study Selection and Data Collection
3.2. Qualitative Analysis
3.3. Quantitative Meta-Analysis
3.3.1. Laser Fluorescence (DIAGNOdent 2095 and 2190)
3.3.2. Fluorescence Camera (VistaCam iX and VistaProof)
3.3.3. Optical Coherence Tomography (OCT)
3.3.4. Near-Infrared Light Transillumination (NIR-LT, DIAGNOcam)
3.3.5. Light-Emitting Diode-Based Device (LED Device, MIDWEST)
3.3.6. Fibre-Optic Transillumination (FOTI)
3.3.7. Quantitative Light-Induced Fluorescence (QLF)
3.3.8. Light-Induced Fluorescence (LIF)
3.3.9. Alternating Current Impedance Spectroscopy (ACIS, CarieScan PRO)
3.3.10. Photo-Thermal Radiometry and Modulated Luminescence (PTR-LUM)
4. Discussion
4.1. Laser Fluorescence Technology
4.2. Fluorescence Camera Technology
4.3. Optical Coherence Tomography
4.4. Newly Emerging Technologies
4.5. Strengths and Limitations
5. Conclusions
Supplementary Materials
Author Contributions
Funding
Institutional Review Board Statement
Informed Consent Statement
Acknowledgments
Conflicts of Interest
References
- Petersen, P.E.; Bourgeois, D.; Ogawa, H.; Estupinan-Day, S.; Ndiaye, C. Policy and Practice the Global Burden of Oral Diseases and Risks to Oral Health. Bull. World Health Organ. 2005, 83, 661–669. [Google Scholar] [PubMed]
- Ruprecht, A. Oral and Maxillofacial Radiology Then and Now. JADA 2008, 139 (Suppl. S3), S5–S24. [Google Scholar] [CrossRef]
- Ritter, A.; Boushell, L.; Walter, R. Sturdevant’s Art and Science of Operative Dentistry, 7th ed.; Elsevier: St. Louis, MO, USA, 2019. [Google Scholar]
- Nowak, A.; Christensen, J.R.; Mabry, T.R.; Townsend, J.A.; Wells, M.H. Pediatric Dentistry: Infancy through Adolescence Expert Consult, 6th ed.; Elsevier: Philadelphia, PA, USA, 2019. [Google Scholar]
- Pretty, I.A. Caries Detection and Diagnosis: Novel Technologies. J. Dent. 2006, 34, 727–739. [Google Scholar] [CrossRef] [PubMed]
- Zandoná, A.F.; Zero, T.D. Diagnostic Tools for Early Caries Detection. J. Am. Dent. Assoc. 2006, 137, 1675–1684. [Google Scholar] [CrossRef] [PubMed]
- Fejerskov, O.; Nyvad, B.; Kidd, E. (Eds.) Dental Caries: The Disease and Its Clinical Management, 3rd ed.; John Wiley & Sons: Chichester, UK, 2015. [Google Scholar]
- Parveen, K.; Amjad, W. Methods for Caries Detection: An Overview. Pak. Oral Dent. J. 2015, 35, 666–669. [Google Scholar]
- Lara-Capi, C.; Cagetti, M.G.; Lingström, P.; Lai, G.; Cocco, F.; Simark-Mattsson, C.; Campus, G. Digital Transillumination in Caries Detection versus Radiographic and Clinical Methods: An In-Vivo Study. Dentomaxillofacial Radiol. 2017, 46, 20160417. [Google Scholar] [CrossRef]
- Ekstrand, K.R.; Ricketts, D.N.J.; Longbottom, C.; Pitts, N.B. Visual and Tactile Assessment of Arrested Initial Enamel Carious Lesions: An in Vivo Pilot Study. Caries Res. 2005, 39, 173–177. [Google Scholar] [CrossRef]
- Ismail, A.I.; Sohn, W.; Tellez, M.; Amaya, A.; Sen, A.; Hasson, H. The International Caries Detection and Assessment System (ICDAS): An Integrated System for Measuring Dental Caries. Community Dent. Oral Epidemiol. 2007, 35, 170–178. [Google Scholar] [CrossRef]
- Erdelyi, R.A.; Duma, V.F.; Sinescu, C.; Dobre, G.M.; Bradu, A.; Podoleanu, A. Optimization of X-Ray Investigations in Dentistry Using Optical Coherence Tomography. Sensors 2021, 21, 4554. [Google Scholar] [CrossRef]
- Menem, R.; Barngkgei, I.; Beiruti, N.; al Haffar, I.; Joury, E. The Diagnostic Accuracy of a Laser Fluorescence Device and Digital Radiography in Detecting Approximal Caries Lesions in Posterior Permanent Teeth: An In Vivo Study. Lasers Med. Sci. 2017, 32, 621–628. [Google Scholar] [CrossRef]
- Souza, J.F.; Boldieri, T.; Diniz, M.B.; Rodrigues, J.A.; Lussi, A.; Cordeiro, R.C.L. Traditional and Novel Methods for Occlusal Caries Detection: Performance on Primary Teeth. Lasers Med. Sci. 2013, 28, 287–295. [Google Scholar] [CrossRef] [PubMed]
- Zaharia, C.; Duma, V.-F.; Sinescu, C.; Socoliuc, V.; Craciunescu, I.; Turcu, R.P.; Marin, C.N.; Tudor, A.; Rominu, M.; Negrutiu, M.-L. Dental Adhesive Interfaces Reinforced with Magnetic Nanoparticles: Evaluation and Modeling with Micro-CT versus Optical Microscopy. Materials 2020, 13, 3908. [Google Scholar] [CrossRef] [PubMed]
- Duma, V.-F.; Dobre, G.; Demian, D.; Cernat, R.; Sinescu, C.; Topala, F.I.; Negrutiu, M.L.; Hutiu, G.; Bradu, A.; Podoleanu, A.G. Handhelp Scanning Probes for Optical Coherence Tomography. Rom. Rep. Phys. 2015, 67, 1346–1358. [Google Scholar]
- Xing, H.; Eckert, G.J.; Ando, M. Detection and Analyzing Plane of Non-Cavitated Approximal Caries by Cross-Polarized Optical Coherence Tomography (CP-OCT). J. Dent. 2021, 110, 103679. [Google Scholar] [CrossRef] [PubMed]
- Canjau, S.; Todea, C.; Negrutiu, M.L.; Sinescu, C.; Topala, F.I.; Marcauteanu, C.; Manescu, A.; Duma, V.F.; Bradu, A.; Podoleanu, A.G. Optical Coherence Tomography for Non-Invasive Ex Vivo Investigations in Dental Medicine—A Joint Group Experience (Review). Sovrem. Tehnol. Med. 2015, 7, 97–114. [Google Scholar] [CrossRef]
- Sinescu, C.; Negrutiu, M.L.; Bradu, A.; Duma, V.F.; Podoleanu, A.G. Noninvasive Quantitative Evaluation of the Dentin Layer during Dental Procedures Using Optical Coherence Tomography. Comput. Math. Methods Med. 2015, 2015, 709076. [Google Scholar] [CrossRef]
- Amaechi, B.T.; Podoleanu, A.; Higham, S.M.; Jackson, D.A. Correlation of Quantitative Light-Induced Fluorescence and Optical Coherence Tomography Applied for Detection and Quantification of Early Dental Caries. J. Biomed. Opt. 2003, 8, 642. [Google Scholar] [CrossRef]
- Oancea, R.; Bradu, A.; Sinescu, C.; Negru, R.M.; Negrutiu, M.L.; Antoniac, I.; Duma, V.F.; Podoleanu, A.G. Assessment of the Sealant/Tooth Interface Using Optical Coherence Tomography. J. Adhes. Sci. Technol. 2015, 29, 49–58. [Google Scholar] [CrossRef]
- Shimada, Y.; Sadr, A.; Sumi, Y.; Tagami, J. Application of Optical Coherence Tomography (OCT) for Diagnosis of Caries, Cracks, and Defects of Restorations. Curr. Oral Health Rep. 2015, 2, 73–80. [Google Scholar] [CrossRef]
- Lagerweij, M.D.; van Loveren, C. Declining Caries Trends: Are We Satisfied? Curr. Oral Health Rep. 2015, 2, 212–217. [Google Scholar] [CrossRef]
- Chu, C.H.; Chau, A.M.; Lo, E.C. Current and Future Research in Diagnostic Criteria and Evaluation of Caries Detection Methods. Oral Health Prev. Dent. 2013, 11, 181–189. [Google Scholar] [CrossRef] [PubMed]
- Iranzo-Cortés, J.E.; Terzic, S.; Montiel-Company, J.M.; Almerich-Silla, J.M. Diagnostic Validity of ICDAS and DIAGNOdent Combined: An in Vitro Study in Pre-Cavitated Lesions. Lasers Med. Sci. 2017, 32, 543–548. [Google Scholar] [CrossRef] [PubMed]
- Rosa, M.I.; Schambeck, V.S.; Dondossola, E.R.; Alexandre, M.C.M.; Tuon, L.; Grande, A.J.; Hugo, F. Laser Fluorescence of Caries Detection in Permanent Teeth in Vitro: A Systematic Review and Meta-Analysis. J. Evid.-Based Med. 2016, 9, 213–224. [Google Scholar] [CrossRef] [PubMed]
- Gimenez, T.; Braga, M.M.; Raggio, D.P.; Deery, C.; Ricketts, D.N.; Mendes, F.M. Fluorescence-Based Methods for Detecting Caries Lesions: Systematic Review, Meta-Analysis and Sources of Heterogeneity. PLoS ONE 2013, 8, e60421. [Google Scholar] [CrossRef] [PubMed]
- Foros, P.; Oikonomou, E.; Koletsi, D.; Rahiotis, C.; Rahiotis, C. Detection Methods for Early Caries Diagnosis: A Systematic Review and Meta-Analysis. Caries Res. 2021, 55, 247–259. [Google Scholar] [CrossRef] [PubMed]
- Kapor, S.; Rankovic, M.J.; Khazaei, Y.; Crispin, A.; Schüler, I.; Krause, F.; Lussi, A.; Neuhaus, K.; Eggmann, F.; Michou, S.; et al. Systematic Review and Meta-Analysis of Diagnostic Methods for Occlusal Surface Caries. Clin. Oral Investig. 2021, 25, 4801–4815. [Google Scholar] [CrossRef] [PubMed]
- Rankovic, M.J.; Kapor, S.; Khazaei, Y.; Crispin, A.; Schüler, I.; Krause, F.; Ekstrand, K.; Michou, S.; Eggmann, F.; Lussi, A.; et al. Systematic Review and Meta-Analysis of Diagnostic Studies of Proximal Surface Caries. Clin. Oral Investig. 2021, 25, 6069–6079. [Google Scholar] [CrossRef] [PubMed]
- McInnes, M.D.F.; Moher, D.; Thombs, B.D.; McGrath, T.A.; Bossuyt, P.M.; Clifford, T.; Cohen, J.F.; Deeks, J.J.; Gatsonis, C.; Hooft, L.; et al. Preferred Reporting Items for a Systematic Review and Meta-Analysis of Diagnostic Test Accuracy Studies The PRISMA-DTA Statement. JAMA 2018, 319, 388–396. [Google Scholar] [CrossRef]
- Macaskill, P.; Gatsonis, C.; Deeks, J.J.; Harbord, R.M.; Takwoingi, Y. Chapter 10: Analysing and Presenting Results. In Cochrane Handbook for Systematic Reviews of Diagnostic Test Accuracy, Version 1.0.; Deeks, J.J., Bossuyt, P.M., Gatsonis, C., Eds.; John Wiley & Sons: Chichester, UK, 2010. [Google Scholar]
- Schardt, C.; Adams, M.B.; Owens, T.; Keitz, S.; Fontelo, P. Utilization of the PICO framework to improve searching PubMed for clinical questions. BMC Med. Inform. Decis. Mak. 2007, 7, 16. [Google Scholar] [CrossRef]
- Kühnisch, J.; Janjic Rankovic, M.; Kapor, S.; Schüler, I.; Krause, F.; Michou, S.; Ekstrand, K.; Eggmann, F.; Neuhaus, K.W.; Lussi, A.; et al. Identifying and Avoiding Risk of Bias in Caries Diagnostic Studies. J. Clin. Med. 2021, 10, 3223. [Google Scholar] [CrossRef]
- Whiting, P.; Rutjes, A.W.; Reitsma, J.B.; Bossuyt, P.M.; Kleijnen, J. The Development of QUADAS: A Tool for the Quality Assessment of Studies of Diagnostic Accuracy Included in Systematic Reviews. BMC Med. Res. Methodol. 2003, 3, 25. [Google Scholar] [CrossRef] [PubMed]
- Whiting, P.F.; Rutjes, A.W.S.; Westwood, M.E.; Mallett, S.; Deeks, J.J.; Reitsma, J.B.; Leeflang, M.M.G.; Sterne, J.A.C.; Patrick Bossuyt, M.M. QUADAS-2: A Revised Tool for the Quality Assessment of Diagnostic Accuracy Studies. Ann. Intern. Med. 2011, 155, 529–536. [Google Scholar] [CrossRef] [PubMed]
- Peters, M.; Godfrey, C.; McInerney, P.; Baldini, S.C.; Khalil, H.; Parker, D. The Joanna Briggs Institute Reviewers’ Manual 2015, Methodology for JBI Scoping Reviews; The Joanna Briggs Institute: Adelaide, Australia, 2015. [Google Scholar]
- Harvey, L.A.; Dijkers, M.P. Should Trials That Are Highly Vulnerable to Bias Be Excluded from Systematic Reviews? Spinal Cord 2019, 57, 715–716. [Google Scholar] [CrossRef]
- Da Costa, B.R.; Hilfiker, R.; Egger, M. PEDro’s Bias: Summary Quality Scores Should Not Be Used in Meta-Analysis. J. Clin. Epidemiol. 2013, 66, 75–77. [Google Scholar] [CrossRef] [PubMed]
- DerSimonian, R.; Laird, N. Meta-Analysis in Clinical Trials. Control. Clin. Trials 1986, 7, 177–188. [Google Scholar] [CrossRef]
- Borenstein, M.; Hedges, L.V.; Higgins, J.P.T.; Rothstein, H.R. Introduction to Meta-Analysis; John Wiley & Sons: Chichester, UK, 2009; ISBN 9780470057247. [Google Scholar] [CrossRef]
- Deeks, J.J. Systematic Reviews in Health Care: Systematic Reviews of Evaluations of Diagnostic and Screening Tests. BMJ 2001, 323, 157–162. [Google Scholar] [CrossRef] [PubMed]
- Reitsma, J.B.; Glas, A.S.; Rutjes, A.W.S.; Scholten, R.J.P.M.; Bossuyt, P.M.; Zwinderman, A.H. Bivariate Analysis of Sensitivity and Specificity Produces Informative Summary Measures in Diagnostic Reviews. J. Clin. Epidemiol. 2005, 58, 982–990. [Google Scholar] [CrossRef]
- Doebler, P.; Holling, H.; Böhning, D. A Mixed Model Approach to Meta-Analysis of Diagnostic Studies with Binary Test Outcome. Psychol. Method 2012, 17, 418–436. [Google Scholar] [CrossRef]
- Achilleos, E.E.; Rahiotis, C.; Kakaboura, A.; Vougiouklakis, G. Evaluation of a New Fluorescence-Based Device in the Detection of Incipient Occlusal Caries Lesions. Lasers Med. Sci. 2013, 28, 193–201. [Google Scholar] [CrossRef]
- Aktan, A.M.; Cebe, M.A.; Çiftçi, M.E.; Şirin Karaarslan, E. A Novel LED-Based Device for Occlusal Caries Detection. Lasers Med. Sci. 2012, 27, 1157–1163. [Google Scholar] [CrossRef]
- Bizhang, M.; Wollenweber, N.; Singh-Hüsgen, P.; Danesh, G.; Zimmer, S. Pen-Type Laser Fluorescence Device versus Bitewing Radiographs for Caries Detection on Approximal Surfaces. Head Face Med. 2016, 12, 30. [Google Scholar] [CrossRef] [PubMed]
- Bussaneli, D.G.; Restrepo, M.; Boldieri, T.; Pretel, H.; Mancini, M.W.; Santos-Pinto, L.; Cordeiro, R.C.L. Assessment of a New Infrared Laser Transillumination Technology (808 Nm) for the Detection of Occlusal Caries—an in Vitro Study. Lasers Med. Sci. 2015, 30, 1873–1879. [Google Scholar] [CrossRef] [PubMed]
- Castilho, L.S.; Cotta, F.V.M.D.; Bueno, A.C.; Moreira, A.N.; Ferreira, E.F.; Magalhães, C.S. Validation of DIAGNOdent Laser Fluorescence and the International Caries Detection and Assessment System (ICDAS) in Diagnosis of Occlusal Caries in Permanent Teeth: An in Vivo Study. Eur. J. Oral Sci. 2016, 124, 188–194. [Google Scholar] [CrossRef] [PubMed]
- De Paula, A.B.; Campos, J.Á.D.B.; Diniz, M.B.; Hebling, J.; Rodrigues, J.A. In Situ and in Vitro Comparison of Laser Fluorescence with Visual Inspection in Detecting Occlusal Caries Lesions. Lasers Med. Sci. 2011, 26, 1–5. [Google Scholar] [CrossRef]
- De Souza, J.F.; Diniz, M.B.; Boldieri, T.; Rodrigues, J.A.; Lussi, A.; Cordeiro, R.C.L. In Vitro Performance of a Pen-Type Laser Fluorescence Device and Bitewing Radiographs for Approximal Caries Detection in Permanent and Primary Teeth. Indian, J. Dent. Res. 2014, 25, 702–710. [Google Scholar] [CrossRef]
- Diniz, M.B.; Boldieri, T.; Rodrigues, J.A.; Santos-Pinto, L.; Lussi, A.; Cordeiro, R.C.L. The Performance of Conventional and Fluorescence-Based Methods for Occlusal Caries Detection: An in Vivo Study with Histologic Validation. J. Am. Dent. Assoc. 2012, 143, 339–350. [Google Scholar] [CrossRef]
- Dündar, A.; Çiftçi, M.E.; İşman, Ö.; Aktan, A.M. In Vivo Performance of Near-Infrared Light Transillumination for Dentine Proximal Caries Detection in Permanent Teeth. Saudi Dent. J. 2020, 32, 187–193. [Google Scholar] [CrossRef]
- Jablonski-Momeni, A.; Stucke, J.; Steinberg, T.; Heinzel-Gutenbrunner, M. Use of ICDAS-II, Fluorescence-Based Methods, and Radiography in Detection and Treatment Decision of Occlusal Caries Lesions: An in Vitro Study. Int. J. Dent. 2012, 2012, 371595. [Google Scholar] [CrossRef]
- Jablonski-Momeni, A.; Rosen, S.M.; Schipper, H.M.; Stoll, R.; Roggendorf, M.J.; Heinzel-Gutenbrunner, M.; Stachniss, V.; Pieper, K. Impact of Measuring Multiple or Single Occlusal Lesions on Estimates of Diagnostic Accuracy Using Fluorescence Methods. Lasers Med. Sci. 2012, 27, 343–352. [Google Scholar] [CrossRef]
- Litzenburger, F.; Schäfer, G.; Hickel, R.; Kühnisch, J.; Heck, K. Comparison of Novel and Established Caries Diagnostic Methods: A Clinical Study on Occlusal Surfaces. BMC Oral Health 2021, 21, 97. [Google Scholar] [CrossRef]
- Luczaj-Cepowicz, E.; Marczuk-Kolada, G.; Obidzinska, M.; Sidun, J. Diagnostic Validity of the Use of ICDAS II and DIAGNOdent Pen Verified by Micro-Computed Tomography for the Detection of Occlusal Caries Lesions—An in Vitro Evaluation. Lasers Med. Sci. 2019, 34, 1655–1663. [Google Scholar] [CrossRef] [PubMed]
- Marczuk-Kolada, G.; Luczaj-Cepowicz, E.; Obidzinska, M.; Rozycki, J. Performance of ICDAS II and Fluorescence Methods on Detection of Occlusal Caries—An Ex Vivo Study. Photodiagnosis Photodyn. Ther. 2020, 29, 101609. [Google Scholar] [CrossRef] [PubMed]
- Mortensen, D.; Dannemand, K.; Twetman, S.; Keller, M.K. Detection of Non-Cavitated Occlusal Caries with Impedance Spectroscopy and Laser Fluorescence: An In Vitro Study. Open Dent. J. 2014, 8, 28–32. [Google Scholar] [CrossRef] [PubMed][Green Version]
- Neuhaus, K.W.; Ciucchi, P.; Rodrigues, J.A.; Hug, I.; Emerich, M.; Lussi, A. Diagnostic Performance of a New Red Light LED Device for Approximal Caries Detection. Lasers Med. Sci. 2015, 30, 1443–1447. [Google Scholar] [CrossRef]
- Ozkan, G.; Guzel, K.G.U. Clinical Evaluation of Near-Infrared Light Transillumination in Approximal Dentin Caries Detection. Lasers Med. Sci. 2017, 32, 1417–1422. [Google Scholar] [CrossRef]
- Peycheva, K.; Boteva, E. A Comparison of Different Methods for Fissure Caries Detection. Acta Med. Bulg. 2016, 43, 30–38. [Google Scholar] [CrossRef]
- Rodrigues, J.A.; Hug, I.; Neuhaus, K.W.; Lussi, A. Light-Emitting Diode and Laser Fluorescence–Based Devices in Detecting Occlusal Caries. J. Biomed. Opt. 2011, 16, 107003. [Google Scholar] [CrossRef]
- Seremidi, K.; Lagouvardos, P.; Kavvadia, K. Comparative in Vitro Validation of VistaProof and DIAGNOdent Pen for Occlusal Caries Detection in Permanent Teeth. Oper. Dent. 2012, 37, 234–245. [Google Scholar] [CrossRef]
- Tassoker, M.; Ozcan, S.; Karabekiroglu, S. Occlusal Caries Detection and Diagnosis Using Visual ICDAS Criteria, Laser Fluorescence Measurements, and Near-Infrared Light Transillumination Images. Med. Princ. Pract. 2020, 29, 25–31. [Google Scholar] [CrossRef]
- Jablonski-Momeni, A.; Schipper, H.M.; Rosen, S.M.; Heinzel-Gutenbrunner, M.; Roggendorf, M.J.; Stoll, R.; Stachniss, V.; Pieper, K. Performance of a Fluorescence Camera for Detection of Occlusal Caries in Vitro. Odontology 2011, 99, 55–61. [Google Scholar] [CrossRef]
- Jablonski-Momeni, A.; Liebegall, F.; Stoll, R.; Heinzel-Gutenbrunner, M.; Pieper, K. Performance of a New Fluorescence Camera for Detection of Occlusal Caries in Vitro. Lasers Med. Sci. 2013, 28, 101–109. [Google Scholar] [CrossRef] [PubMed]
- Jablonski-Momeni, A.; Heinzel-Gutenbrunner, M.; Klein, S.M.C. In Vivo Performance of the VistaProof Fluorescence-Based Camera for Detection of Occlusal Lesions. Clin. Oral Investig. 2014, 18, 1757–1762. [Google Scholar] [CrossRef] [PubMed]
- Lederer, A.; Kunzelmann, K.H.; Heck, K.; Hickel, R.; Litzenburger, F. In Vitro Validation of Near-Infrared Transillumination at 780 Nm for the Detection of Caries on Proximal Surfaces. Clin. Oral Investig. 2019, 23, 3933–3940. [Google Scholar] [CrossRef] [PubMed]
- Bozdemir, E.; Aktan, A.M.; Ozsevik, A.; Sirin Kararslan, E.; Ciftci, M.E.; Cebe, M.A. Comparison of Different Caries Detectors for Approximal Caries Detection. J. Dent. Sci. 2016, 11, 293–298. [Google Scholar] [CrossRef] [PubMed]
- Gomez, J.; Zakian, C.; Salsone, S.; Pinto, S.C.S.; Taylor, A.; Pretty, I.A.; Ellwood, R. In Vitro Performance of Different Methods in Detecting Occlusal Caries Lesions. J. Dent. 2013, 41, 180–186. [Google Scholar] [CrossRef]
- Luong, M.N.; Shimada, Y.; Araki, K.; Yoshiyama, M.; Tagami, J.; Sadr, A. Diagnosis of Occlusal Caries with Dynamic Slicing of 3D Optical Coherence Tomography Images. Sensors 2020, 20, 1659. [Google Scholar] [CrossRef]
- Nakagawa, H.; Sadr, A.; Shimada, Y.; Tagami, J.; Sumi, Y. Validation of Swept Source Optical Coherence Tomography (SS-OCT) for the Diagnosis of Smooth Surface Caries in Vitro. J. Dent. 2013, 41, 80–89. [Google Scholar] [CrossRef]
- Shimada, Y.; Nakagawa, H.; Sadr, A.; Wada, I.; Nakajima, M.; Nikaido, T.; Otsuki, M.; Tagami, J.; Sumi, Y. Noninvasive Cross-Sectional Imaging of Proximal Caries Using Swept-Source Optical Coherence Tomography (SS-OCT) in Vivo. J. Biophotonics 2014, 7, 506–513. [Google Scholar] [CrossRef]
- Ástvaldsdóttir, Á.; Åhlund, K.; Holbrook, W.P.; de Verdier, B.; Tranæus, S. Approximal Caries Detection by DIFOTI: In Vitro Comparison of Diagnostic Accuracy/Efficacy with Film and Digital Radiography. Int. J. Dent. 2012. [Google Scholar] [CrossRef]
- Laitala, M.L.; Piipari, L.; Sämpi, N.; Korhonen, M.; Pesonen, P.; Joensuu, T.; Anttonen, V. Validity of Digital Imaging of Fiber-Optic Transillumination in Caries Detection on Proximal Tooth Surfaces. Int. J. Dent. 2017, 2017. [Google Scholar] [CrossRef]
- Ko, H.Y.; Kang, S.M.; Kim, H.E.; Kwon, H.K.; Kim, B.il. Validation of Quantitative Light-Induced Fluorescence-Digital (QLF-D) for the Detection of Approximal Caries in Vitro. J. Dent. 2015, 43, 568–575. [Google Scholar] [CrossRef] [PubMed]
- Jallad, M.; Zero, D.; Eckert, G.; Zandona, A.F. In Vitro Detection of Occlusal Caries on Permanent Teeth by a Visual, Light-Induced Fluorescence and Photothermal Radiometry and Modulated Luminescence Methods. Caries Res. 2015, 49, 523–530. [Google Scholar] [CrossRef] [PubMed]
- Gomez, J.; Tellez, M.; Pretty, I.A.; Ellwood, R.P.; Ismail, A.I. Non-Cavitated Carious Lesions Detection Methods: A Systematic Review. Community Dent. Oral Epidemiol. 2013, 41, 55–66. [Google Scholar] [CrossRef] [PubMed]
- Akbari, M.; Ahrari, F.; Jafari, M. A Comparative Evaluation of DIAGNodent and Caries Detector Dye in Detection of Residual Caries in Prepared Cavities. J. Contemp. Dent. Pract. 2012, 13, 515–520. [Google Scholar] [CrossRef] [PubMed]
- Bader, J.D.; Shugars, D.A. A Systematic Review of the Performance of a Laser Fluorescence Device for Detecting Caries. J. Am. Dent. Assoc. 2004, 135, 1413–1426. [Google Scholar] [CrossRef] [PubMed]
- Lussi, A.A.; Imwinkelried, S.; Pitts, N.N.; Longbottom, C.; Reich, E. Performance and Reproducibility of a Laser Fluorescence System for Detection of Occlusal Caries in Vitro. Caries Res. 1999, 33, 261–266. [Google Scholar] [CrossRef]
- Lussi, A.; Hack, A.; Hug, I.; Heckenberger, H.; Megert, B.; Stich, H. Detection of Approximal Caries with a New Laser Fluorescence Device. Caries Res. 2006, 40, 97–103. [Google Scholar] [CrossRef]
- Kamburoǧlu, K.; Kolsuz, E.; Murat, S.; Yüksel, S.; Özen, T. Proximal Caries Detection Accuracy Using Intraoral Bitewing Radiography, Extraoral Bitewing Radiography and Panoramic Radiography. Dentomaxillofacial Radiol. 2012, 41, 450–459. [Google Scholar] [CrossRef]
- Gomez, J. Detection and Diagnosis of the Early Caries Lesion. BMC Oral Health 2015, 15, 1–7. [Google Scholar] [CrossRef]
- Chan, K.H.; Fried, D. Multispectral Cross-Polarization Reflectance Measurements Suggest High Contrast of Demineralization on Tooth Surfaces at Wavelengths beyond 1300 Nm Due to Reduced Light Scattering in Sound Enamel. J. Biomed. Opt. 2018, 23, 1. [Google Scholar] [CrossRef]
- Shimada, Y.; Burrow, M.F.; Araki, K.; Zhou, Y.; Hosaka, K.; Sadr, A.; Yoshiyama, M.; Miyazaki, T.; Sumi, Y.; Tagami, J. 3D Imaging of Proximal Caries in Posterior Teeth Using Optical Coherence Tomography. Sci. Rep. 2020, 10, 1–4. [Google Scholar] [CrossRef] [PubMed]
- Hsieh, Y.S.; Ho, Y.C.; Lee, S.Y.; Chuang, C.C.; Tsai, J.che; Lin, K.F.; Sun, C.W. Dental Optical Coherence Tomography. Sensors 2013, 7, 8928–8949. [Google Scholar] [CrossRef] [PubMed]
- Alammari, M.R.; Smith, P.W.; de Josselin De Jong, E.; Higham, S.M. Quantitative Light-Induced Fluorescence (QLF): A Tool for Early Occlusal Dental Caries Detection and Supporting Decision Making in Vivo. J. Dent. 2013, 41, 127–132. [Google Scholar] [CrossRef] [PubMed]





| Search Category | Search Items |
|---|---|
| 1. | “dental caries” |
| AND | |
| 2. | “lasers” OR “fluorescence” OR fiber optics” OR optical coherence tomography” OR “light” OR “transillumination” OR “electrical conductivity” |
| AND | |
| 3. | “diagnosis” OR “detection” OR “validity”. |
| Laser Fluorescence (LF) | |||
|---|---|---|---|
| Index Test | In Vivo/ In Vitro | Meta-Analytical Statistics | Occlusal |
| DIAGNOdent 2095 | In vivo | N | 2 |
| Univariate | |||
| I-square [%] | 0% | ||
| log DOR ± se; 95%CI | 2.79 ± 0.53 (1.75; 3.83) | ||
| R; 95%CI | – | ||
| DIAGNOdent 2095 | In vitro | N | 3 |
| Univariate | |||
| I-square [%] | 43.29% | ||
| log DOR ± se; 95%CI | 1.74 ± 0.44 (0.89; 2.6) | ||
| R; 95%CI | – | ||
| Bivariate | |||
| Tsens ± se; 95%CI | 0.14 ± 0.86 (−0.44; 0.71) | ||
| Tfpr ± se; 95%CI | −1.61 ± 0.27 (−2.13; −1.09) | ||
| Sensitivity; 95%CI | 0.53 (0.39; 0.67) | ||
| FPR; 95%CI | 0.17 (0.11; 0.25) | ||
| AUC | 0.745 | ||
| pAUC | 0.559 | ||
| Laser Fluorescence (LF) | ||||
|---|---|---|---|---|
| Index Test | In Vivo/ In Vitro | Meta-Analytical Statistics | Occlusal | Proximal |
| DD pen | In vivo | N | 3 | 2 |
| Univariate | ||||
| I-square [%] | 64.61% | 92.30% | ||
| log DOR ± se; 95%CI | 2.24 ± 0.54 (1.19; 3.3) | 1.27 ± 2.09 (−2.82; 5.36) | ||
| R; 95%CI | – | – | ||
| Bivariate | ||||
| Tsens ± se; 95%CI | 0.95 ± 0.86 (−0.05; 1.94) | – | ||
| Tfpr ± se; 95%CI | −1.24 ± 0.25 (−1.72; −0.75) | – | ||
| Sensitivity; 95%CI | 0.72 (0.49; 0.88) | – | ||
| FPR; 95%CI | 0.23 (0.15; 0.32) | – | ||
| AUC | 0.811 | – | ||
| pAUC | 0.672 | – | ||
| DD pen | In vitro | N | 11 | 3 |
| Univariate | ||||
| I-square [%] | 42.32% | 92.81% | ||
| log DOR ± se; 95%CI | 2.07 ± 0.26 (1.56; 2.58) | 3.67 ± 1.2 (1.32; 6.02) | ||
| R; 95%CI | 0.67 (0.12; 0.91) | – | ||
| Bivariate | ||||
| Tsens ± se; 95%CI | 0.75 ± 0.34 (0.08; 1.42) | 1.17 ± 0.86 (−0.52; 2.86) | ||
| Tfpr ± se; 95%CI | −1.28 ± 0.23 (−1.74; −0.82) | −2.4 ± 0.49 (−3.36; −1.44) | ||
| Sensitivity; 95%CI | 0.68 (0.52; 0.81) | 0.76 (0.37; 0.95) | ||
| FPR; 95%CI | 0.22 (0.15; 0.31) | 0.08 (0.03; 0.19) | ||
| AUC | 0.803 | 0.932 | ||
| pAUC | 0.702 | 0.743 | ||
| Fluorescence Camera (FC) | ||||
|---|---|---|---|---|
| Index Test | In Vivo/ in Vitro | Meta-Analytical Statistics | Occlusal Using Manufacturer Cut-Off | Occlusal Using Optimal Cut-Off |
| VistaProof | In vivo | N | 1 | – |
| Univariate | ||||
| I-square [%] | – | – | ||
| log DOR; 95%CI | 2.73 (1.50; 3.96) | – | ||
| R; 95%CI | – | – | ||
| VistaProof | In vitro | N | 3 | 5 |
| Univariate | ||||
| I-square [%] | 0% | 26.32% | ||
| log DOR ± se; 95%CI | 1.014 ± 0.63 (−0.22; 2.24) | 3.00 ± 0.40 (2.22; 3.78) | ||
| R; 95%CI | – | −0.55 (−0.97; 0.64) | ||
| Bivariate | ||||
| Tsens ± se; 95%CI | −1.63 ± 0.94 (−3.46; 0.21) | 2.14 ± 0.31 (1.53; 2.76) | ||
| Tfpr ± se; 95%CI | −2.51 ± 0.59 (−3.66; −1.36) | −0.73 ± 0.13 (−0.99; −0.47) | ||
| Sensitivity; 95%CI | 0.16 (0.03; 0.55) | 0.895 (0.82; 0.94) | ||
| FPR; 95%CI | 0.08 (0.03; 0.21) | 0.33 (0.27; 0.38) | ||
| AUC | 0.762 | 0.845 | ||
| pAUC | 0.253 | 0.871 | ||
| VistaCam iX | In vitro | N | 2 | 1 |
| Univariate | ||||
| I-square [%] | 0% | – | ||
| log DOR ± se; 95%CI | 2.35 ± 0.42 (1.54; 3.16) | 2.56 (1.56; 3.57) | ||
| R; 95%CI | – | – | ||
| Optical Coherence Tomography (OCT) | ||||
|---|---|---|---|---|
| Index Test | In Vivo/ In Vitro | Meta-Analytical Statistics | Occlusal | Proximal |
| OCT | In vivo | N | – | 1 |
| Univariate | ||||
| I-square [%] | – | – | ||
| log DOR; 95%CI | – | 4.49 (3.03; 5.95) | ||
| R; 95%CI | – | – | ||
| OCT | In vitro | N | 2 | 1 |
| Univariate | ||||
| I-square [%] | 0% | – | ||
| log DOR ± se; 95%CI | 2.98 ± 0.66 (1.69; 4.28) | 5.96 (4.22; 7.70) | ||
| R; 95%CI | – | – | ||
| OCT overall | In vivo | Occlusal & proximal | ||
| & in vitro | N | 4 | ||
| Univariate | ||||
| I-square [%] | 61.87% | |||
| log DOR ± se; 95%CI | 4.17 ± 0.71 (2.78; 5.56) | |||
| R; 95%CI | 0.37 (−0.92; 0.98) | |||
| Bivariate | ||||
| Tsens ± se; 95%CI | 1.36 ± 0.80 (−0.21; 2.94) | |||
| Tfpr ± se; 95%CI | −2.61 ± 0.64 (−3.87; −1.35) | |||
| Sensitivity; 95%CI | 0.80 (0.45; 0.95) | |||
| FPR; 95%CI | 0.07 (0.02; 0.21) | |||
| AUC | 0.945 | |||
| pAUC | 0.836 | |||
| Near-InfraRed Light Transillumination (NIR-LT) | ||||
|---|---|---|---|---|
| Index Test | In Vivo/ In Vitro | Meta-Analytical Statistics | Occlusal | Proximal |
| DIAGNOcam | In vivo | N | 1 | 2 |
| Univariate | ||||
| I-square [%] | – | 93.66% | ||
| log DOR; 95%CI | 4.16 (2.10; 6.22) | 3.56 ± 2.44 (−1.22; 8.34) | ||
| R; 95%CI | – | – | ||
| DIAGNOcam | In vitro | N | – | 1 |
| Univariate | ||||
| I-square [%] | – | – | ||
| log DOR; 95%CI | – | 5.46 (3.59; 7.34) | ||
| R; 95%CI | – | – | ||
| Light-Emitting Diode-Based Device (LED) | ||||
|---|---|---|---|---|
| Index Test | In Vivo/ In Vitro | Meta-Analytical Statistics | Occlusal | Proximal |
| Midwest | In vivo | N | – | 1 |
| Univariate | ||||
| I-square [%] | – | – | ||
| log DOR; 95%CI | – | 1.71 (1.29; 2.13) | ||
| R; 95%CI | – | – | ||
| Midwest | In vitro | N | 2 | 2 |
| Univariate | ||||
| I-square [%] | 49.44% | 25.59% | ||
| log DOR ± se; 95%CI | 2.48 ± 0.53 (1.44; 3.52) | 1.67 ± 0.54 (0.62; 2.72) | ||
| R; 95%CI | – | – | ||
| Fiber-Optic Transillumination (FOTI) | ||||
|---|---|---|---|---|
| Index Test | In Vivo/ In Vitro | Meta-Analytical Statistics | Occlusal | Proximal |
| FOTI | In vivo | N | – | 1 |
| Univariate | ||||
| I-square [%] | – | – | ||
| log DOR; 95%CI | – | 2.46 (2.06; 2.87) | ||
| R; 95%CI | – | – | ||
| FOTI | In vitro | N | 1 | 1 |
| Univariate | ||||
| I-square [%] | – | – | ||
| log DOR; 95%CI | 3.78 (2.63; 4.93) | 2.28 (0.81; 3.75) | ||
| R; 95%CI | – | – | ||
| Quantitative Light-Induced Fluorescence (QLF) | ||||
|---|---|---|---|---|
| Index Test | In Vivo/ In Vitro | Meta-Analytical Statistics | Occlusal | Proximal |
| QLF Inspektor Pro | In vitro | N | 3 | 1 |
| Univariate | ||||
| I-square [%] | 0% | – | ||
| log DOR ± se; 95%CI | 2.75 ± 0.31 (2.15; 3.35) | 2.55(1.27; 3.83) | ||
| R; 95%CI | – | – | ||
| Bivariate | ||||
| Tsens ± se; 95%CI | 1.66 ± 0.39 (0.90; 2.41) | – | ||
| Tfpr ± se; 95%CI | −1.18 ± 0.34 (−1.85; −0.51) | – | ||
| Sensitivity; 95%CI | 0.84 (0.71; 0.92) | – | ||
| FPR; 95%CI | 0.24 (0.14; 0.38) | – | ||
| AUC | 0.873 | – | ||
| pAUC | 0.854 | – | ||
| Light-Induced Fluorescence (LIF) | |||
|---|---|---|---|
| Index Test | In Vivo/ In Vitro | Meta-Analytical Statistics | Occlusal |
| LIF | In vitro | N | 2 |
| Univariate | |||
| I-square [%] | 0% | ||
| log DOR ± se; 95%CI | 3.52 ± 0.50 (2.54; 4.50) | ||
| R; 95%CI | – | ||
| Alternating Current Impedance Spectroscopy (ACIS) | |||
|---|---|---|---|
| Index Test | In Vivo/ In Vitro | Meta-Analytical Statistics | Occlusal |
| CarieScan PRO | In vivo | N | 1 |
| Univariate | |||
| I-square [%] | – | ||
| log DOR; 95%CI | 3.56 (2.20; 4.91) | ||
| R; 95%CI | – | ||
| CarieScan PRO | In vitro | N | 1 |
| Univariate | |||
| I-square [%] | – | ||
| log DOR; 95%CI | 1.45 (−0.99; 3.89) | ||
| R; 95%CI | – | ||
| PhotoThermal Radiometry and Modulated Luminescence (PTR-LUM) | |||
|---|---|---|---|
| Index Test | In Vivo/ In Vitro | Meta-Analytical Statistics | Occlusal |
| Canary System | In vitro | N | 1 |
| Univariate | |||
| I-square [%] | – | ||
| log DOR; 95%CI | 1.55 (0.32; 2.78) | ||
| R; 95%CI | – | ||
Publisher’s Note: MDPI stays neutral with regard to jurisdictional claims in published maps and institutional affiliations. |
© 2022 by the authors. Licensee MDPI, Basel, Switzerland. This article is an open access article distributed under the terms and conditions of the Creative Commons Attribution (CC BY) license (https://creativecommons.org/licenses/by/4.0/).
Share and Cite
Serban, C.; Lungeanu, D.; Bota, S.-D.; Cotca, C.C.; Negrutiu, M.L.; Duma, V.-F.; Sinescu, C.; Craciunescu, E.L. Emerging Technologies for Dentin Caries Detection—A Systematic Review and Meta-Analysis. J. Clin. Med. 2022, 11, 674. https://doi.org/10.3390/jcm11030674
Serban C, Lungeanu D, Bota S-D, Cotca CC, Negrutiu ML, Duma V-F, Sinescu C, Craciunescu EL. Emerging Technologies for Dentin Caries Detection—A Systematic Review and Meta-Analysis. Journal of Clinical Medicine. 2022; 11(3):674. https://doi.org/10.3390/jcm11030674
Chicago/Turabian StyleSerban, Christa, Diana Lungeanu, Sergiu-David Bota, Claudia C. Cotca, Meda Lavinia Negrutiu, Virgil-Florin Duma, Cosmin Sinescu, and Emanuela Lidia Craciunescu. 2022. "Emerging Technologies for Dentin Caries Detection—A Systematic Review and Meta-Analysis" Journal of Clinical Medicine 11, no. 3: 674. https://doi.org/10.3390/jcm11030674
APA StyleSerban, C., Lungeanu, D., Bota, S.-D., Cotca, C. C., Negrutiu, M. L., Duma, V.-F., Sinescu, C., & Craciunescu, E. L. (2022). Emerging Technologies for Dentin Caries Detection—A Systematic Review and Meta-Analysis. Journal of Clinical Medicine, 11(3), 674. https://doi.org/10.3390/jcm11030674

