Transepithelial Iontophoresis-Assisted Cross Linking for Progressive Keratoconus: Up to 7 Years of Follow Up
Abstract
:1. Introduction
- Progression of A parameter more than 95% CI compared to the follow up 12 months after surgery (increase of 0.261 “A” value).
- Progression of B parameter more than 95% CI to the follow up 12 months after surgery (increase 0.208 “B” value).
- Reduction of minimal pachymetry of at least 7 µm compared to the follow up 12 months after surgery (more than 95%CI).
2. Materials and Methods
Statistical Analysis
3. Results
3.1. Visual Acuity and Refraction Results
3.2. Topographic and Tomographical Results
3.3. Aberrometry Results
3.4. Adverse Events and Progression Rate
4. Discussion
- Steepening of the anterior corneal surface
- Steepening of the posterior corneal surface
- Thinning and/or an increase in the rate of corneal thickness change from the periphery to the thinnest point.
Author Contributions
Funding
Institutional Review Board Statement
Informed Consent Statement
Data Availability Statement
Conflicts of Interest
References
- Rabinowitz, Y.S.; Galvis, V.; Tello, A.; Rueda, D.; Garcia, J.D. Genetics vs chronic corneal mechanical trauma in the etiology of keratoconus. Exp. Eye Res. 2021, 202, 108328. [Google Scholar] [CrossRef] [PubMed]
- Galvis, V.; Sherwin, T.; Tello, A.; Merayo, J.; Barrera, R.; Acera, A. Keratoconus: An inflammatory disorder? Eye 2015, 29, 843–859. [Google Scholar] [CrossRef] [PubMed] [Green Version]
- Zhang, H.; Cao, X.; Liu, Y.; Wang, P.; Li, X. Tear Levels of Inflammatory Cytokines in Keratoconus: A Meta-Analysis of Case-Control and Cross-Sectional Studies. BioMed Res. Int. 2021, 2021, 6628923. [Google Scholar] [CrossRef] [PubMed]
- de Azevedo Magalhaes, O.; Goncalves, M.C.; Gatinel, D. The role of environment in the pathogenesis of keratoconus. Curr. Opin. Ophthalmol. 2021, 32, 379–384. [Google Scholar] [CrossRef]
- Romano, V.; Vinciguerra, R.; Arbabi, E.M.; Hicks, N.; Rosetta, P.; Vinciguerra, P.; Kaye, S.B. Progression of Keratoconus in Patients While Awaiting Corneal Cross-linking: A Prospective Clinical Study. J. Refract. Surg. 2018, 34, 177–180. [Google Scholar] [CrossRef] [Green Version]
- Wollensak, G.; Iomdina, E. Biomechanical and histological changes after corneal crosslinking with and without epithelial debridement. J. Cataract Refract. Surg. 2009, 35, 540–546. [Google Scholar] [CrossRef]
- Wollensak, G.; Spoerl, E.; Seiler, T. Stress-strain measurements of human and porcine corneas after riboflavin-ultraviolet-A-induced cross-linking. J. Cataract Refract. Surg. 2003, 29, 1780–1785. [Google Scholar] [CrossRef]
- Dhawan, S.; Rao, K.; Natrajan, S. Complications of corneal collagen cross-linking. J. Ophthalmol. 2011, 2011, 869015. [Google Scholar] [CrossRef] [Green Version]
- Wen, D.; Song, B.; Li, Q.; Tu, R.; Huang, Y.; Wang, Q.; McAlinden, C.; O’Brart, D.; Huang, J. Comparison of Epithelium-Off Versus Transepithelial Corneal Collagen Cross-Linking for Keratoconus: A Systematic Review and Meta-Analysis. Cornea 2018, 37, 1018–1024. [Google Scholar] [CrossRef]
- Zaheryani, S.M.S.; Movahedan, H.; Salouti, R.; Mohaghegh, S.; Javadpour, S.; Shirvani, M.; Kasraei, F.; Bamdad, S. Corneal Collagen Cross-Linking Using Epithelium Disruptor Instrument in Progressive Keratoconus. J. Curr. Ophthalmol. 2020, 32, 256–262. [Google Scholar] [CrossRef]
- Hashemi, H.; Miraftab, M.; Hafezi, F.; Asgari, S. Matched comparison study of total and partial epithelium removal in corneal cross-linking. J. Refract. Surg. 2015, 31, 110–115. [Google Scholar] [CrossRef] [PubMed] [Green Version]
- Galvis, V.; Tello, A.; Carreno, N.I.; Ortiz, A.I.; Barrera, R.; Rodriguez, C.J.; Ochoa, M.E. Corneal Cross-Linking (with a Partial Deepithelization) in Keratoconus with Five Years of Follow-Up. Ophthalmol. Eye Dis. 2016, 8, 17–21. [Google Scholar] [CrossRef] [PubMed] [Green Version]
- Caporossi, A.; Mazzotta, C.; Paradiso, A.L.; Baiocchi, S.; Marigliani, D.; Caporossi, T. Transepithelial corneal collagen crosslinking for progressive keratoconus: 24-month clinical results. J. Cataract Refract. Surg. 2013, 39, 1157–1163. [Google Scholar] [CrossRef]
- Vinciguerra, P.; Mencucci, R.; Romano, V.; Spoerl, E.; Camesasca, F.I.; Favuzza, E.; Azzolini, C.; Mastropasqua, R.; Vinciguerra, R. Imaging mass spectrometry by matrix-assisted laser desorption/ionization and stress-strain measurements in iontophoresis transepithelial corneal collagen cross-linking. BioMed Res. Int. 2014, 2014, 404587. [Google Scholar] [CrossRef] [PubMed]
- Buzzonetti, L.; Petrocelli, G.; Valente, P.; Iarossi, G.; Ardia, R.; Petroni, S.; Parrilla, R. Iontophoretic Transepithelial Collagen Cross-Linking Versus Epithelium-Off Collagen Cross-Linking in Pediatric Patients: 3-Year Follow-Up. Cornea 2019, 38, 859–863. [Google Scholar] [CrossRef] [PubMed]
- Vinciguerra, P.; Rosetta, P.; Legrottaglie, E.F.; Morenghi, E.; Mazzotta, C.; Kaye, S.B.; Vinciguerra, R. Iontophoresis CXL with and without Epithelial Debridement Versus Standard CXL: 2-Year Clinical Results of a Prospective Clinical Study. J. Refract. Surg. 2019, 35, 184–190. [Google Scholar] [CrossRef] [PubMed]
- Cantemir, A.; Alexa, A.I.; Galan, B.G.; Anton, N.; Ciuntu, R.E.; Danielescu, C.; Chiselita, D.; Costin, D. Iontophoretic collagen cross-linking versus epithelium-off collagen cross-linking for early stage of progressive keratoconus-3 years follow-up study. Acta Ophthalmol. 2017, 95, e649–e655. [Google Scholar] [CrossRef] [PubMed] [Green Version]
- Bikbova, G.; Bikbov, M. Standard corneal collagen crosslinking versus transepithelial iontophoresis-assisted corneal crosslinking, 24 months follow-up: Randomized control trial. Acta Ophthalmol. 2016, 94, e600–e606. [Google Scholar] [CrossRef]
- Mazzotta, C.; Bagaglia, S.A.; Sgheri, A.; Di Maggio, A.; Fruschelli, M.; Romani, A.; Vinciguerra, R.; Vinciguerra, P.; Tosi, G.M. Iontophoresis Corneal Cross-linking With Enhanced Fluence and Pulsed UV-A Light: 3-Year Clinical Results. J. Refract. Surg. 2020, 36, 286–292. [Google Scholar] [CrossRef]
- Wu, H.; Luo, S.; Fang, X.; Shang, X.; Xie, Z.; Xiao, X.; Lin, Z.; Liu, Z. Transepithelial corneal cross-linking assisted by two continuous cycles of iontophoresis for progressive keratoconus in adults: Retrospective 5-year analysis. Graefes Arch. Clin. Exp. Ophthalmol. 2021, 259, 239–246. [Google Scholar] [CrossRef]
- Gomes, J.A.; Tan, D.; Rapuano, C.J.; Belin, M.W.; Ambrosio, R., Jr.; Guell, J.L.; Malecaze, F.; Nishida, K.; Sangwan, V.S.; Group of Panelists for the Global Delphi Panel of Keratoconus and Ectatic Diseases; et al. Global consensus on keratoconus and ectatic diseases. Cornea 2015, 34, 359–369. [Google Scholar] [CrossRef] [PubMed]
- Galvis, V.; Tello, A.; Ortiz, A.I.; Escaf, L.C. Patient selection for corneal collagen cross-linking: An updated review. Clin. Ophthalmol. 2017, 11, 657–668. [Google Scholar] [CrossRef] [PubMed] [Green Version]
- Vinciguerra, R.; Belin, M.W.; Borgia, A.; Piscopo, R.; Montericcio, A.; Confalonieri, F.; Legrottaglie, E.F.; Rosetta, P.; Paolo, V. Evaluating Keratoconus Progression prior to Crosslinking: Kmax versus the ABCD grading system. J. Cataract Refract. Surg. 2020; in press. [Google Scholar]
- Brunner, M.; Czanner, G.; Vinciguerra, R.; Romano, V.; Ahmad, S.; Batterbury, M.; Britten, C.; Willoughby, C.E.; Kaye, S.B. Improving precision for detecting change in the shape of the cornea in patients with keratoconus. Sci. Rep. 2018, 8, 12345. [Google Scholar] [CrossRef] [Green Version]
- Belin, M.W.; Duncan, J.K. Keratoconus: The ABCD Grading System. Klin. Monbl. Augenheilkd. 2016, 233, 701–707. [Google Scholar] [CrossRef]
- Belin, M.W.; Alizadeh, R.; Torres-Netto, E.A.; Hafezi, F.; Ambrosio, R., Jr.; Pajic, B. Determining Progression in Ectatic Corneal Disease. Asia Pac. J. Ophthalmol. 2020, 9, 541–548. [Google Scholar] [CrossRef]
- Vinciguerra, R.; Pagano, L.; Borgia, A.; Montericcio, A.; Legrottaglie, E.F.; Piscopo, R.; Rosetta, P.; Vinciguerra, P. Corneal Cross-linking for Progressive Keratoconus: Up to 13 Years of Follow-up. J. Refract. Surg. 2020, 36, 838–843. [Google Scholar] [CrossRef]
- Vinciguerra, P.; Randleman, J.B.; Romano, V.; Legrottaglie, E.F.; Rosetta, P.; Camesasca, F.I.; Piscopo, R.; Azzolini, C.; Vinciguerra, R. Transepithelial iontophoresis corneal collagen cross-linking for progressive keratoconus: Initial clinical outcomes. J. Refract. Surg. 2014, 30, 746–753. [Google Scholar] [CrossRef]
- Torres Munoz, I.; Grizzi, F.; Russo, C.; Camesasca, F.I.; Dioguardi, N.; Vinciguerra, P. The role of amino acids in corneal stromal healing: A method for evaluating cellular density and extracellular matrix distribution. J. Refract. Surg. 2003, 19, S227–S230. [Google Scholar]
- Kaye, S.B. Objective evaluation of refractive data and astigmatism: Quantification and analysis. Eye 2014, 28, 154–161. [Google Scholar] [CrossRef] [Green Version]
- Kaye, S.B.; Harris, W.F. Analyzing refractive data. J. Cataract Refract. Surg. 2002, 28, 2109–2116. [Google Scholar] [CrossRef]
- Long, W.F. A matrix formalism for decentration problems. Am. J. Optom. Physiol. Opt. 1976, 53, 27–33. [Google Scholar] [CrossRef] [PubMed]
- Mastropasqua, L.; Nubile, M.; Calienno, R.; Mattei, P.A.; Pedrotti, E.; Salgari, N.; Mastropasqua, R.; Lanzini, M. Corneal Cross-linking: Intrastromal Riboflavin Concentration in Iontophoresis-Assisted Imbibition Versus Traditional and Transepithelial Techniques. Am. J. Ophthalmol. 2014, 157, 623–630.e621. [Google Scholar] [CrossRef] [PubMed]
- Cassagne, M.; Laurent, C.; Rodrigues, M.; Galinier, A.; Spoerl, E.; Galiacy, S.D.; Soler, V.; Fournie, P.; Malecaze, F. Iontophoresis Transcorneal Delivery Technique for Transepithelial Corneal Collagen Crosslinking With Riboflavin in a Rabbit Model. Investig. Ophthalmol. Vis. Sci. 2016, 57, 594–603. [Google Scholar] [CrossRef] [PubMed] [Green Version]
- Raiskup, F.; Theuring, A.; Pillunat, L.E.; Spoerl, E. Corneal collagen crosslinking with riboflavin and ultraviolet-A light in progressive keratoconus: Ten-year results. J. Cataract Refract. Surg. 2015, 41, 41–46. [Google Scholar] [CrossRef] [PubMed]
- Mazzotta, C.; Traversi, C.; Baiocchi, S.; Bagaglia, S.; Caporossi, O.; Villano, A.; Caporossi, A. Corneal Collagen Cross-Linking with Riboflavin and Ultraviolet A Light for Pediatric Keratoconus: Ten-Year Results. Cornea 2018, 37, 560–566. [Google Scholar] [CrossRef]
- Nicula, C.; Pop, R.; Rednik, A.; Nicula, D. 10-Year Results of Standard Cross-Linking in Patients with Progressive Keratoconus in Romania. J. Ophthalmol. 2019, 2019, 8285649. [Google Scholar] [CrossRef]
- Ng, S.M.; Ren, M.; Lindsley, K.B.; Hawkins, B.S.; Kuo, I.C. Transepithelial versus epithelium-off corneal crosslinking for progressive keratoconus. Cochrane Database Syst. Rev. 2021, 3, CD013512. [Google Scholar] [CrossRef]
- Gustafsson, I.; Bergstrom, A.; Myers, A.C.; Ivarsen, A.; Hjortdal, J. Association between keratoconus disease severity and repeatability in measurements of parameters for the assessment of progressive disease. PLoS ONE 2020, 15, e0228992. [Google Scholar] [CrossRef]
- Soeters, N.; Wisse, R.P.; Godefrooij, D.A.; Imhof, S.M.; Tahzib, N.G. Transepithelial versus epithelium-off corneal cross-linking for the treatment of progressive keratoconus: A randomized controlled trial. Am. J. Ophthalmol. 2015, 159, 821–828 e823. [Google Scholar] [CrossRef]


| Baseline | 6 Months | 12 Months | 24 Months | 36 Months | 48 Months | 60 Months | 72 Months | 84 Months | |
|---|---|---|---|---|---|---|---|---|---|
| N | 19 | 18 | 16 | 15 | 15 | 12 | 12 | 12 | 5 |
| Age | 28.10 ± 6.42 | 28.2 ± 6.59 | 28.8 ± 6.68 | 28.4 ± 6.40 | 27.3 ± 6.2 | 28.1 ± 6.0.298 | 29.08 ± 7.07 | 28 ± 5.3 | 25.8 ± 4.71 |
| CDVA | 0.58 ± 0.191 | 0.75 ± 0.21 | 0.79 ± 0.25 | 0.76 ± 0.27 | 0.75 ± 0.30 | 0.74 ± 0.19 | 0.62 ± 0.20 | 0.64 ± 0.25 | 0.75 ± 0.25 |
| Kmax | 58.87 ± 3.90 | 58.4 ± 3.4 | 58.1 ± 3.80 | 58.7 ± 4.39 | 59.5 ± 4.31 | 59.7 ± 3.63 | 58.9 ± 2.69 | 59.5 ± 3.86 | 58.8 ± 5.47 |
| ThCT | 435.9 ± 38.25 | 443.9 ± 37.43 | 443.1 ± 36.37 | 439 ± 38 | 443.2 ± 42.1 | 450.2 ± 36.46 | 446.2 ± 38.2 | 433.5 ± 47.8 | 421.2 ± 81.1 |
| HOA | 1.03 ± 0.402 | 0.69 ± 0.45 | 0.59 ± 0.53 | 0.33 ± 0.18 | 0.37 ± 0.17 | 0.396 ± 0.121 | 0.34 ± 0.16 | 0.74 ± 0.386 | 0.512 ± 0.57 |
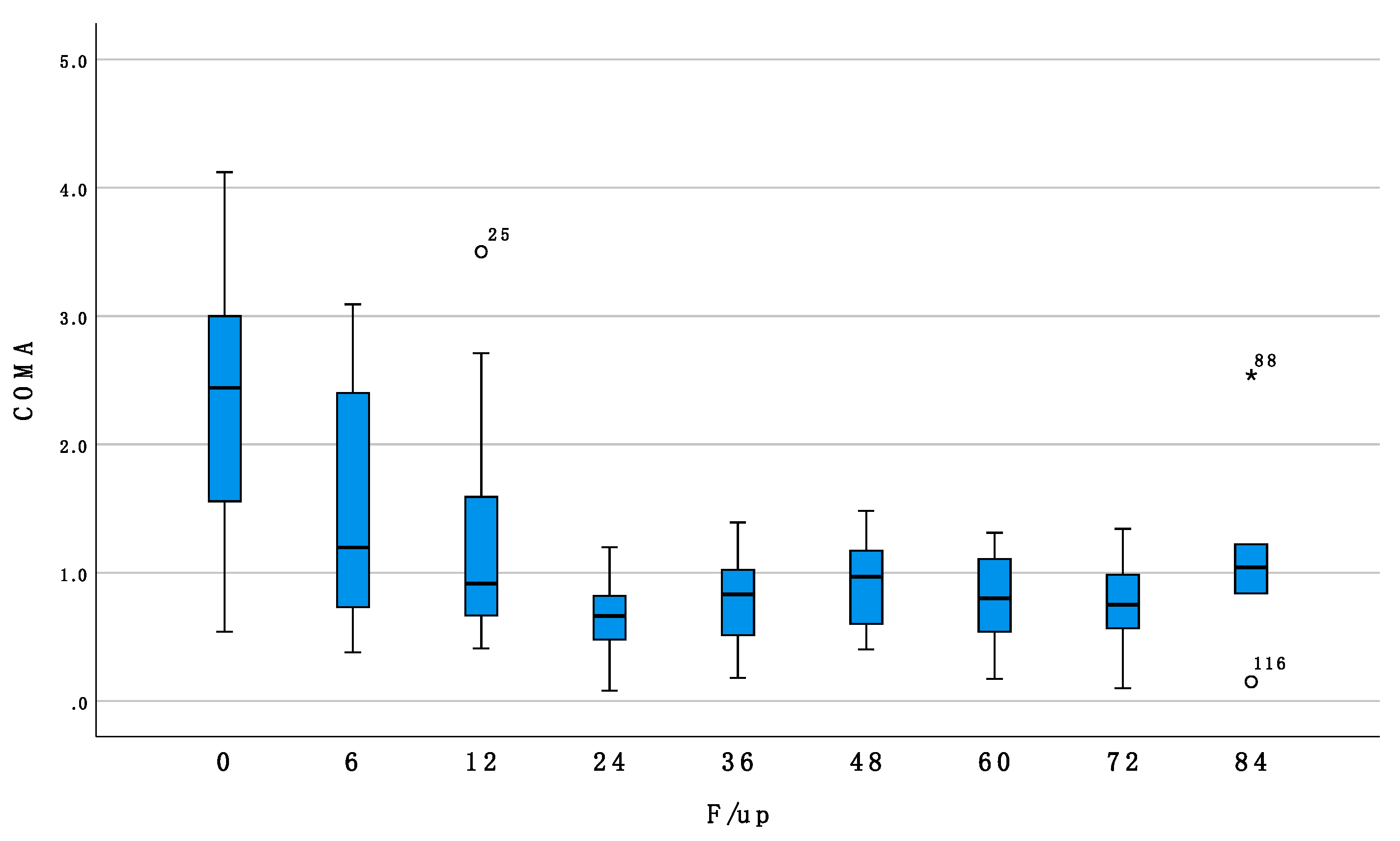
| COMA | 2.31 ± 0.97 | 1.48 ± 0.91 | 1.22 ± 0.86 | 0.66 ± 0.31 | 0.77 ± 0.36 | 0.925 ± 0.353 | 0.81 ± 0.376 | 0.06 ± 0.08 | 1.15 ± 0.87 |
| Spher Ab | 0.14 ± 0.46 | 0.28 ± 0.40 | 0.23 ± 0.41 | −0.29 ± 1.30 | 0.03 ± 0.09 | 0.26 ± 0.08 | 0.05 ± 0.064 | 3.57 ± 1.70 | 0.76 ± 0.12 |
| A | 3.07 ± 1.29 | 3.34 ± 1.34 | 3.1 ± 1.4 | 3.22 ± 1.4 | 3.38 ± 1,77 | 3.40 ± 1.24 | 3.49 ± 1.13 | 3.57 ± 1.70 | 3.51 ± 2.34 |
| B | 5.58 ± 2.17 | 5.6 ± 2.27 | 5.41 ± 2.24 | 5.35 ± 2.28 | 5.7 ± 2.06 | 5.21 ± 1.46 | 5.47 ± 1.03 | 5.40 ± 2.11 | 5.41 ± 2.74 |
| C | 2.19 ± 0.80 | 2.1 ± 0.80 | 2.1 ± 0.79 | 1.99 ± 0.85 | 2.05 ± 0.85 | 1.94 ± 0.82 | 1.95 ± 0.75 | 2.29 ± 0.96 | 2.18 ± 1.09 |
Publisher’s Note: MDPI stays neutral with regard to jurisdictional claims in published maps and institutional affiliations. |
© 2022 by the authors. Licensee MDPI, Basel, Switzerland. This article is an open access article distributed under the terms and conditions of the Creative Commons Attribution (CC BY) license (https://creativecommons.org/licenses/by/4.0/).
Share and Cite
Vinciguerra, R.; Legrottaglie, E.F.; Tredici, C.; Mazzotta, C.; Rosetta, P.; Vinciguerra, P. Transepithelial Iontophoresis-Assisted Cross Linking for Progressive Keratoconus: Up to 7 Years of Follow Up. J. Clin. Med. 2022, 11, 678. https://doi.org/10.3390/jcm11030678
Vinciguerra R, Legrottaglie EF, Tredici C, Mazzotta C, Rosetta P, Vinciguerra P. Transepithelial Iontophoresis-Assisted Cross Linking for Progressive Keratoconus: Up to 7 Years of Follow Up. Journal of Clinical Medicine. 2022; 11(3):678. https://doi.org/10.3390/jcm11030678
Chicago/Turabian StyleVinciguerra, Riccardo, Emanuela F Legrottaglie, Costanza Tredici, Cosimo Mazzotta, Pietro Rosetta, and Paolo Vinciguerra. 2022. "Transepithelial Iontophoresis-Assisted Cross Linking for Progressive Keratoconus: Up to 7 Years of Follow Up" Journal of Clinical Medicine 11, no. 3: 678. https://doi.org/10.3390/jcm11030678
APA StyleVinciguerra, R., Legrottaglie, E. F., Tredici, C., Mazzotta, C., Rosetta, P., & Vinciguerra, P. (2022). Transepithelial Iontophoresis-Assisted Cross Linking for Progressive Keratoconus: Up to 7 Years of Follow Up. Journal of Clinical Medicine, 11(3), 678. https://doi.org/10.3390/jcm11030678
