Lack of Sex Disparity in Oral Anticoagulation in Atrial Fibrillation Patients Presenting with Ischemic Stroke in a Rural Population
Abstract
:1. Introduction
2. Materials and Methods
2.1. Data Source and Study Population
2.2. Evaluation of Sex Disparities
2.3. Statistical Analysis
3. Results
3.1. Patient Characteristics of Study Population
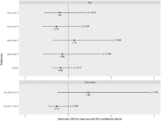
3.2. Undertreatment of Atrial Fibrillation
3.3. Anticoagulant Undertreatment Rate Based for Different Age Groups
3.4. Anticoagulant Undertreatment Rate Based on Index Stroke Year
4. Discussion
5. Conclusions
Supplementary Materials
Author Contributions
Funding
Institutional Review Board Statement
Informed Consent Statement
Data Availability Statement
Conflicts of Interest
References
- Chugh, S.S.; Havmoeller, R.; Narayanan, K.; Singh, D.; Rienstra, M.; Benjamin, E.; Gillum, R.F.; Kim, Y.-H.; McAnulty, J.H.; Zheng, Z.-J.; et al. Worldwide Epidemiology of Atrial Fibrillation: A Global Burden of Disease 2010 Study. Circulation 2014, 129, 837–847. [Google Scholar] [CrossRef] [Green Version]
- Virani, S.S.; Alonso, A.; Benjamin, E.J.; Bittencourt, M.S.; Callaway, C.W.; Carson, A.P.; Chamberlain, A.M.; Chang, A.R.; Cheng, S.; Delling, F.N.; et al. Heart Disease and Stroke Statistics—2020 Update: A Report from the American Heart Association. Circulation 2020, 141, e139–e596. [Google Scholar] [CrossRef] [PubMed]
- January, C.T.; Wann, L.S.; Calkins, H.; Chen, L.Y.; Cigarroa, J.E.; Cleveland, J.C., Jr.; Ellinor, P.T.; Ezekowitz, M.D.; Field, M.E.; Furie, K.L.; et al. 2019 AHA/ACC/HRS Focused Update of the 2014 AHA/ACC/HRS Guideline for the Management of Patients With Atrial Fibrillation: A Report of the American College of Cardiology/American Heart Association Task Force on Clinical Practice Guidelines and the Heart Rhythm Society in Collaboration With the Society of Thoracic Surgeons. Circulation 2019, 140, e125–e151. [Google Scholar] [CrossRef] [PubMed]
- Law, S.W.; Lau, W.; Wong, I.C.; Lip, G.Y.; Mok, M.T.; Siu, C.-W.; Chan, E.W. Sex-Based Differences in Outcomes of Oral Anticoagulation in Patients With Atrial Fibrillation. J. Am. Coll. Cardiol. 2018, 72, 271–282. [Google Scholar] [CrossRef] [PubMed]
- Nielsen, P.B.; Skjøth, F.; Overvad, T.F.; Larsen, T.B.; Lip, G.Y.H. Female sex is a risk modifer rather than a risk factor for stroke in atrial fibrillation should we use a CHA 2 DS 2 -VA Score Rather Than CHA 2 DS 2-VASc? Circulation 2018, 137, 832–840. [Google Scholar] [CrossRef]
- Hindricks, G.; Potpara, T.; Dagres, N.; Arbelo, E.; Bax, J.J.; Blomström-Lundqvist, C.; Boriani, G.; Castella, M.; Dan, G.-A.; Dilaveris, P.E.; et al. 2020 ESC Guidelines for the diagnosis and management of atrial fibrillation developed in collaboration with the European Association for Cardio-Thoracic Surgery (EACTS). Eur. Heart J. 2020, 42, 373–498. [Google Scholar] [CrossRef]
- Essien, U.R.; Magnani, J.W.; Chen, N.; Gellad, W.F.; Fine, M.J.; Hernandez, I. Race/Ethnicity and Sex-Related Differences in Direct Oral Anticoagulant Initiation in Newly Diagnosed Atrial Fibrillation: A Retrospective Study of Medicare Data. J. Natl. Med. Assoc. 2020, 112, 103–108. [Google Scholar] [CrossRef] [PubMed]
- Yong, C.M.; Tremmel, J.A.; Lansberg, M.G.; Fan, J.; Askari, M.; Turakhia, M.P. Sex Differences in Oral Anticoagulation and Outcomes of Stroke and Intracranial Bleeding in Newly Diagnosed Atrial Fibrillation. J. Am. Heart Assoc. 2020, 9, e015689. [Google Scholar] [CrossRef]
- Thompson, L.E.; Maddox, T.M.; Lei, L.; Grunwald, G.K.; Bradley, S.M.; Peterson, P.N.; Masoudi, F.A.; Turchin, A.; Song, Y.; Doros, G.; et al. Sex Differences in the Use of Oral Anticoagulants for Atrial Fibrillation: A Report From the National Cardiovascular Data Registry (NCDR®) PINNACLE Registry. J. Am. Heart Assoc. 2017, 6, e005801. [Google Scholar] [CrossRef]
- Marzona, I.; Proietti, M.; Vannini, T.; Tettamanti, M.; Nobili, A.; Medaglia, M.; Bortolotti, A.; Merlino, L.; Roncaglioni, M.C. Sex-related differences in prevalence, treatment and outcomes in patients with atrial fibrillation. Intern. Emerg. Med. 2020, 15, 231–240. [Google Scholar] [CrossRef]
- Mazurek, M.; Huisman, M.V.; Rothman, K.J.; Paquette, M.; Teutsch, C.; Diener, H.-C.; Dubner, S.J.; Halperin, J.L.; Zint, K.; França, L.R.; et al. Gender Differences in Antithrombotic Treatment for Newly Diagnosed Atrial Fibrillation: The GLORIA-AF Registry Program. Am. J. Med. 2018, 131, 945–955. [Google Scholar] [CrossRef] [Green Version]
- Li, Y.-M.; Jiang, C.; He, L.; Li, X.-X.; Hou, X.-X.; Chang, S.-S.; Lip, G.Y.; Du, X.; Dong, J.-Z.; Ma, C.-S. Sex Differences in Presentation, Quality of Life, and Treatment in Chinese Atrial Fibrillation Patients: Insights from the China Atrial Fibrillation Registry Study. Med. Sci. Monit. 2019, 25, 8011–8018. [Google Scholar] [CrossRef] [PubMed]
- Lip, G.Y.; Laroche, C.; Boriani, G.; Cimaglia, P.; Dan, G.-A.; Santini, M.; Kalarus, Z.; Rasmussen, L.H.; Popescu, M.I.; Tica, O.; et al. Sex-related differences in presentation, treatment, and outcome of patients with atrial fibrillation in Europe: A report from the Euro Observational Research Programme Pilot survey on Atrial Fibrillation. Europace 2014, 17, 24–31. [Google Scholar] [CrossRef] [PubMed]
- Diaz, J.; Koza, E.; Chaudhary, D.; Shahjouei, S.; Naved, M.A.; Malik, M.T.; Li, J.; Adibuzzaman, M.; Griffin, P.; Abedi, V.; et al. Adherence to anticoagulant guideline for atrial fibrillation: A large care gap among stroke patients in a rural population. J. Neurol. Sci. 2021, 424, 117410. [Google Scholar] [CrossRef] [PubMed]
- Chaudhary, D.; Khan, A.; Shahjouei, S.; Gupta, M.; Lambert, C.; Avula, V.; Schirmer, C.M.; Holland, N.; Griessenauer, C.J.; Azarpazhooh, M.R.; et al. Trends in ischemic stroke outcomes in a rural population in the United States. J. Neurol. Sci. 2021, 422, 117339. [Google Scholar] [CrossRef]
- Chaudhary, D.; Khan, A.; Gupta, M.; Hu, Y.; Li, J.; Abedi, V.; Zand, R. Obesity and mortality after the first ischemic stroke: Is obesity paradox real? PLoS ONE 2021, 16, e0246877. [Google Scholar] [CrossRef]
- Bhave, P.D.; Lu, X.; Girotra, S.; Kamel, H.; Sarrazin, M.V. Race- and sex-related differences in care for patients newly diagnosed with atrial fibrillation. Heart Rhythm. 2015, 12, 1406–1412. [Google Scholar] [CrossRef] [Green Version]
- Xiong, Q.; Shantsila, A.; Lane, D.A.; Zhou, Q.; Liu, Y.; Shen, Y.; Cheng, X.; Hong, K.; Lip, G.Y. Sex differences in clinical characteristics and inpatient outcomes among 2442 hospitalized Chinese patients with nonvalvular atrial fibrillation: The Nanchang Atrial Fibrillation Project. Int. J. Cardiol. 2015, 201, 195–199. [Google Scholar] [CrossRef] [PubMed]
- Lip, G.Y.; Rushton-Smith, S.K.; Goldhaber, S.Z.; Fitzmaurice, D.A.; Mantovani, L.G.; Goto, S.; Haas, S.; Bassand, J.-P.; Camm, A.J. Does sex affect anticoagulant use for stroke prevention in nonvalvular atrial fibrillation?: The prospective global anticoagulant registry in the FIELD-Atrial Fibrillation. Circ. Cardiovasc. Qual. Outcomes 2015, 8, S12–S20. [Google Scholar] [CrossRef] [Green Version]
- Palareti, G.; Antonucci, E.; Migliaccio, L.; Erba, N.; Marongiu, F.; Pengo, V.; Poli, D.; Testa, S.; Tosetto, A.; Tripodi, A.; et al. Vitamin K antagonist therapy: Changes in the treated populations and in management results in Italian anticoagulation clinics compared with those recorded 20 years ago. Intern. Emerg. Med. 2017, 12, 1109–1119. [Google Scholar] [CrossRef] [Green Version]
- Kirchhof, P.; Benussi, S.; Kotecha, D.; Ahlsson, A.; Atar, D.; Casadei, B.; Castella, M.; Diener, H.-C.; Heidbuchel, H.; Hendriks, J.; et al. 2016 ESC Guidelines for the management of atrial fibrillation developed in collaboration with EACTS. Eur. Heart J. 2016, 37, 2893–2962. [Google Scholar] [CrossRef] [PubMed] [Green Version]
- Loikas, D.; Forslund, T.; Wettermark, B.; Schenck-Gustafsson, K.; Hjemdahl, P.; von Euler, M. Sex and Gender Differences in Thromboprophylactic Treatment of Patients with Atrial Fibrillation after the Introduction of Non–Vitamin K Oral Anticoagulants. Am. J. Cardiol. 2017, 120, 1302–1308. [Google Scholar] [CrossRef] [PubMed]
- Aronis, K.N.; Thigpen, J.; Tripodis, Y.; Dillon, C.; Forster, K.; Henault, L.; Quinn, E.K.; Berger, P.B.; Limdi, N.A.; Hylek, E.M. Paroxysmal atrial fibrillation and the hazards of under-treatment. Int. J. Cardiol. 2016, 202, 214–220. [Google Scholar] [CrossRef] [PubMed] [Green Version]
- Waldo, A.L.; Becker, R.C.; Tapson, V.F.; Colgan, K.J. Hospitalized Patients with Atrial Fibrillation and a High Risk of Stroke Are Not Being Provided With Adequate Anticoagulation. J. Am. Coll. Cardiol. 2005, 46, 1729–1736. [Google Scholar] [CrossRef] [Green Version]
- Cohen, N.; Almoznino-Sarafian, D.; Alon, I.; Gorelik, O.; Koopfer, M.; Chachashvily, S.; Shteinshnaider, M.; Litvinjuk, V.; Modai, D. Warfarin for stroke prevention still underused in atrial fibrillation: Patterns of omission. Stroke 2000, 31, 1217–1222. [Google Scholar] [CrossRef] [Green Version]
- Liu, T.; Yang, H.-L.; Gu, L.; Huili, Y.; Omorogieva, O.; Ren, M.-X.; Wang, X.-H. Current status and factors influencing oral anticoagulant therapy among patients with non-valvular atrial fibrillation in Jiangsu province, China: A multi-center, cross-sectional study. BMC Cardiovasc. Disord. 2020, 20, 22. [Google Scholar] [CrossRef]
- Tulner, L.R.; Van Campen, J.P.C.M.; Kuper, I.M.J.A.; Gijsen, G.J.P.T.; Koks, C.H.W.; Mac Gillavry, M.R.; Van Tinteren, H.; Beijnen, J.H.; Brandjes, D.P.M. Reasons for undertreatment with oral anticoagulants in frail geriatric outpatients with atrial fibrillation: A prospective, descriptive study. Drugs Aging 2010, 27, 39–50. [Google Scholar] [CrossRef]
- Lane, D.A.; Lip, G.Y. Use of the CHA 2 DS 2 -VASc and HAS-BLED Scores to Aid Decision Making for Thromboprophylaxis in Nonvalvular Atrial Fibrillation. Circulation 2012, 126, 860–865. [Google Scholar] [CrossRef] [Green Version]
- Regpala, S.; Lacombe, S.; Sharma, M.; Gibbens, S.; Ball, D.; Francis, K.; LaHaye, S. Evaluation of patients’ attitudes towards stroke prevention and bleeding risk in atrial fibrillation. Thromb. Haemost. 2014, 111, 465–473. [Google Scholar] [CrossRef]



| Variable | Overall | Female | Male | p-Value |
|---|---|---|---|---|
| Number of patients | 1062 | 556 | 506 | |
| Age at atrial fibrillation diagnosis in years, median (IQR) | 75.5 (67.3, 82.5) | 78.9 (69.8, 84.5) | 72.3 (64.4, 79.2) | <0.001 * |
| Age at index stroke event in years, median (IQR) | 80.0 (71.5, 86.3) | 82.6 (74.9, 88.3) | 76.9 (68.1, 82.9) | <0.001 * |
| CHA2DS2-VASc at baseline, median (IQR) | 4.0 (3.0, 6.0) | 5.0 (4.0, 6.0) | 4.0 (3.0, 5.0) | <0.001 * |
| CHA2DS2-VASc | <0.001 * | |||
| 0 | 10 (0.9) | 0 (0.0) | 10 (2.0) | |
| 1 | 37 (3.5) | 7 (1.3) | 30 (5.9) | |
| 2+ | 1015 (95.6) | 549 (98.7) | 466 (92.1) | |
| Dyslipidemia, n (%) | 740 (69.7) | 368 (66.2) | 372 (73.5) | 0.011 * |
| Heart failure, n (%) | 397 (37.4) | 209 (37.6) | 188 (37.2) | 0.934 |
| Hypertension, n (%) | 900 (84.7) | 472 (84.9) | 428 (84.6) | 0.957 |
| Diabetes, n (%) | 392 (36.9) | 188 (33.8) | 204 (40.3) | 0.033 * |
| Past ischemic stroke, n (%) | 115 (10.8) | 66 (11.9) | 49 (9.7) | 0.295 |
| Transient ischemic attack, n (%) | 135 (12.7) | 74 (13.3) | 61 (12.1) | 0.603 |
| Other thromboembolism, n (%) | 79 (7.4) | 46 (8.3) | 33 (6.5) | 0.332 |
| Myocardial infarction, n (%) | 215 (20.2) | 84 (15.1) | 131 (25.9) | <0.001 * |
| Peripheral vascular disease, n (%) | 275 (25.9) | 119 (21.4) | 156 (30.8) | 0.001 * |
| Hypercoagulative State, n (%) | 13 (1.2) | 9 (1.6) | 4 (0.8) | 0.271 |
| Chronic liver disease, n (%) | 42 (4.0) | 16 (2.9) | 26 (5.1) | 0.084 |
| Cirrhosis, n (%) | 12 (1.1) | 6 (1.1) | 6 (1.2) | 1.000 |
| Chronic kidney disease, n (%) | 391 (36.8) | 217 (39.0) | 174 (34.4) | 0.133 |
| End-stage renal disease ESRD, n (%) | 35 (3.3) | 13 (2.3) | 22 (4.3) | 0.097 |
| Past hemorrhagic stroke, n (%) | 37 (3.5) | 18 (3.2) | 19 (3.8) | 0.770 |
| Medications | ||||
| Antiplatelets, n (%) | 231 (21.8) | 115 (20.7) | 116 (22.9) | 0.418 |
| Anticoagulants, n (%) | 275 (25.9) | 146 (26.3) | 129 (25.5) | 0.830 |
| Anticoagulant and Antiplatelet, n (%) | 226 (21.3) | 106 (19.1) | 120 (23.7) | 0.076 |
| Statins, n (%) | 501 (47.2) | 242 (43.5) | 259 (51.2) | 0.015 * |
| Antihypertensives, n (%) | 546 (51.4) | 272 (48.9) | 274 (54.2) | 0.101 |
| Medical insurance type, n (%) † | <0.001 * | |||
| Commercial | 132 (12.8) | 55 (10.2) | 77 (15.7) | |
| Health Maintenance Organization (HMO) | 352 (34.1) | 174 (32.2) | 178 (36.2) | |
| Medicaid | 13 (1.3) | 7 (1.3) | 6 (1.2) | |
| Medicare | 518 (50.2) | 297 (55.0) | 221 (44.9) | |
| Self-Pay | 1 (0.1) | 1 (0.2) | 0 (0.0) | |
| Special Billing | 9 (0.9) | 6 (1.1) | 3 (0.6) | |
| Veterans Affairs (VA) | 7 (0.7) | 0 (0.0) | 7 (1.4) | |
| Smoking status, n (%) | <0.001 * | |||
| Current smoke | 87 (8.2) | 25 (4.5) | 62 (12.3) | |
| Past smoker | 408 (38.4) | 140 (25.2) | 268 (53.0) | |
| Never smoker | 520 (49.0) | 368 (66.2) | 152 (30.0) | |
| Unknown | 47 (4.4) | 23 (4.1) | 24 (4.7) | |
| NIHSS at index stroke event, median (IQR) # | 5.0 (2.0, 9.0) | 6.0 (3.0, 12.0) | 4.0 (2.0, 6.0) | 0.001 * |
| All-cause mortality within 1 year of index stroke, n (%) | 303 (28.5) | 164 (29.5) | 139 (27.5) | 0.508 |
| Recorded encounter count per year between diagnosis of atrial fibrillation and index stroke, median (IQR) | 6.3 (3.0, 11.0) | 6.9 (3.0, 11.0) | 6.0(3.0, 10.8) | 0.404 |
| Time in years between diagnosis of atrial fibrillation and index stroke, median (IQR) | 2.8 (1.0, 5.6) | 2.9 (1.0, 5.5) | 2.6 (1.0, 5.6) | 0.899 |
| All Patients | Undertreated | |||||||
|---|---|---|---|---|---|---|---|---|
| Total | Female | Male | Total | Female | Male | p-Value | ||
| All Groups | 1015 | 549 | 466 | 532 (52.4%) | 299 (54.5%) | 233 (50.0%) | 0.175 | |
| Stratified by Age | Group 1 (44.4–72.8 years) | 254 | 110 | 144 | 141 (55.5%) | 64 (58.2%) | 77 (53.5%) | 0.535 |
| Group 2 (72.8–80.6 years) | 254 | 112 | 142 | 120 (47.2%) | 59 (52.7%) | 61 (43.0%) | 0.157 | |
| Group 3 (80.6–86.6 years) | 254 | 138 | 116 | 122 (48.0%) | 64 (46.4%) | 58 (50.0%) | 0.653 | |
| Group 4 (>86.6 years) | 253 | 189 | 64 | 149 (58.9%) | 112 (59.3%) | 37 (57.8%) | 0.955 | |
| Stratified by Index Date | 2004–2010 | 221 | 108 | 113 | 112 (50.7%) | 54 (50.0%) | 58 (51.3%) | 0.950 |
| 2011–2019 | 794 | 441 | 353 | 420 (52.9%) | 245 (55.6%) | 175 (49.6%) | 0.108 | |
Publisher’s Note: MDPI stays neutral with regard to jurisdictional claims in published maps and institutional affiliations. |
© 2021 by the authors. Licensee MDPI, Basel, Switzerland. This article is an open access article distributed under the terms and conditions of the Creative Commons Attribution (CC BY) license (https://creativecommons.org/licenses/by/4.0/).
Share and Cite
Koza, E.; Diaz, J.; Chaudhary, D.; Shahjouei, S.; Li, J.; Abedi, V.; Zand, R. Lack of Sex Disparity in Oral Anticoagulation in Atrial Fibrillation Patients Presenting with Ischemic Stroke in a Rural Population. J. Clin. Med. 2021, 10, 4670. https://doi.org/10.3390/jcm10204670
Koza E, Diaz J, Chaudhary D, Shahjouei S, Li J, Abedi V, Zand R. Lack of Sex Disparity in Oral Anticoagulation in Atrial Fibrillation Patients Presenting with Ischemic Stroke in a Rural Population. Journal of Clinical Medicine. 2021; 10(20):4670. https://doi.org/10.3390/jcm10204670
Chicago/Turabian StyleKoza, Eric, Johan Diaz, Durgesh Chaudhary, Shima Shahjouei, Jiang Li, Vida Abedi, and Ramin Zand. 2021. "Lack of Sex Disparity in Oral Anticoagulation in Atrial Fibrillation Patients Presenting with Ischemic Stroke in a Rural Population" Journal of Clinical Medicine 10, no. 20: 4670. https://doi.org/10.3390/jcm10204670
APA StyleKoza, E., Diaz, J., Chaudhary, D., Shahjouei, S., Li, J., Abedi, V., & Zand, R. (2021). Lack of Sex Disparity in Oral Anticoagulation in Atrial Fibrillation Patients Presenting with Ischemic Stroke in a Rural Population. Journal of Clinical Medicine, 10(20), 4670. https://doi.org/10.3390/jcm10204670

