Persistence of Anti-Hbs after up to 30 Years in Health Care Workers Vaccinated against Hepatitis B Virus
Abstract
1. Introduction
2. Material and Methods
2.1. Context
- (1)
- plasma-derived vaccines (HEVAC-B (Pasteur, Merieux, Lyon, France) at 0, 1, 2, and 14 months or HB-Vax (Merck Sharp and Dohme, Sumneytown Pike, Westpoint, PA, USA) at 0, 1, and 6 months), up until the end of 1989;
- (2)
- yeast-derived vaccines (Engerix-B (Smith Kline Beecham Biological, Rixensart, Belgium) and Recombivax (Merck Sharp and Dohme)) at 0, 1, and 6 months, as of 1990.
2.2. Study Population
2.3. Laboratory Methods
2.4. Statistical Analysis
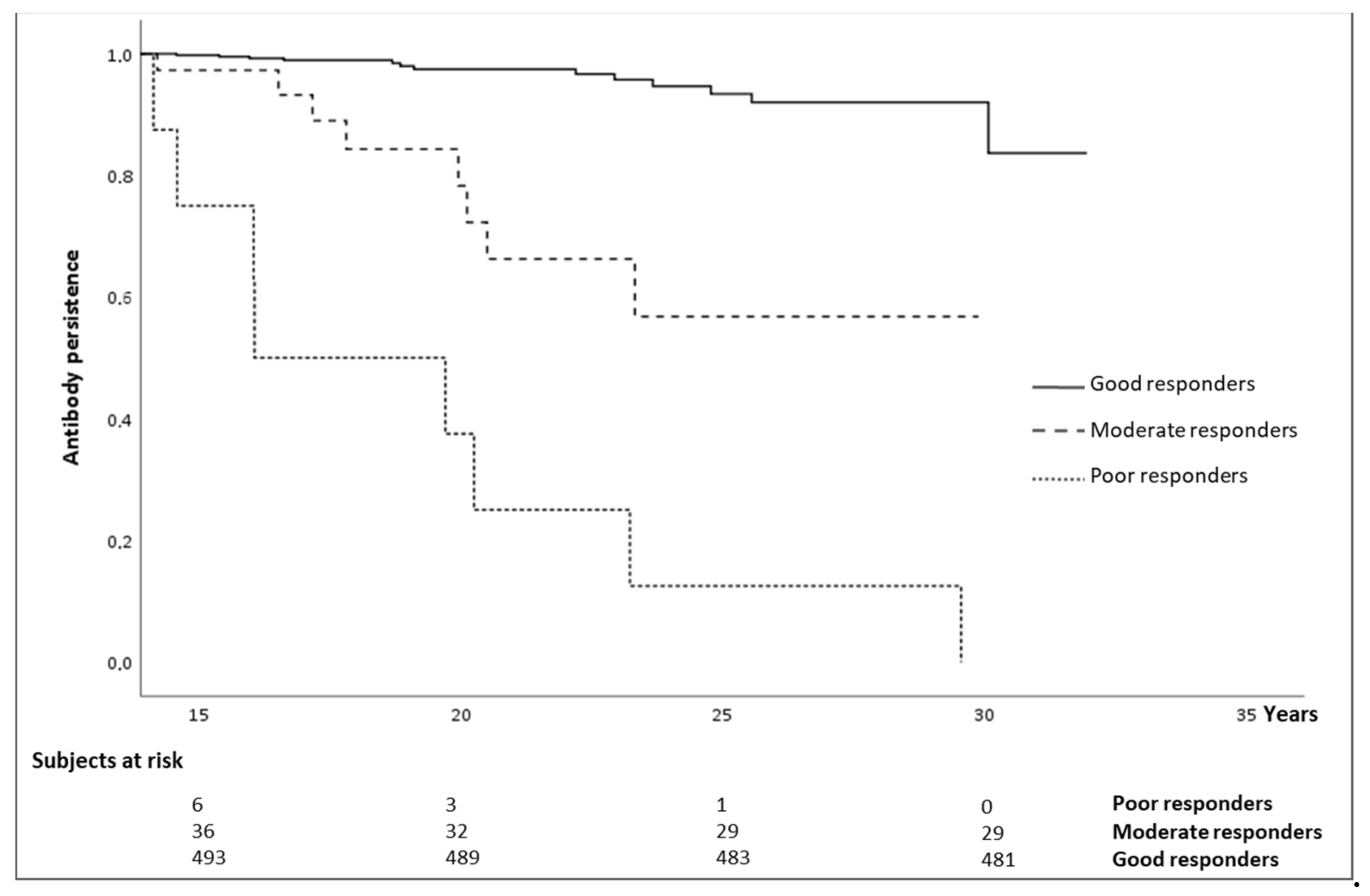
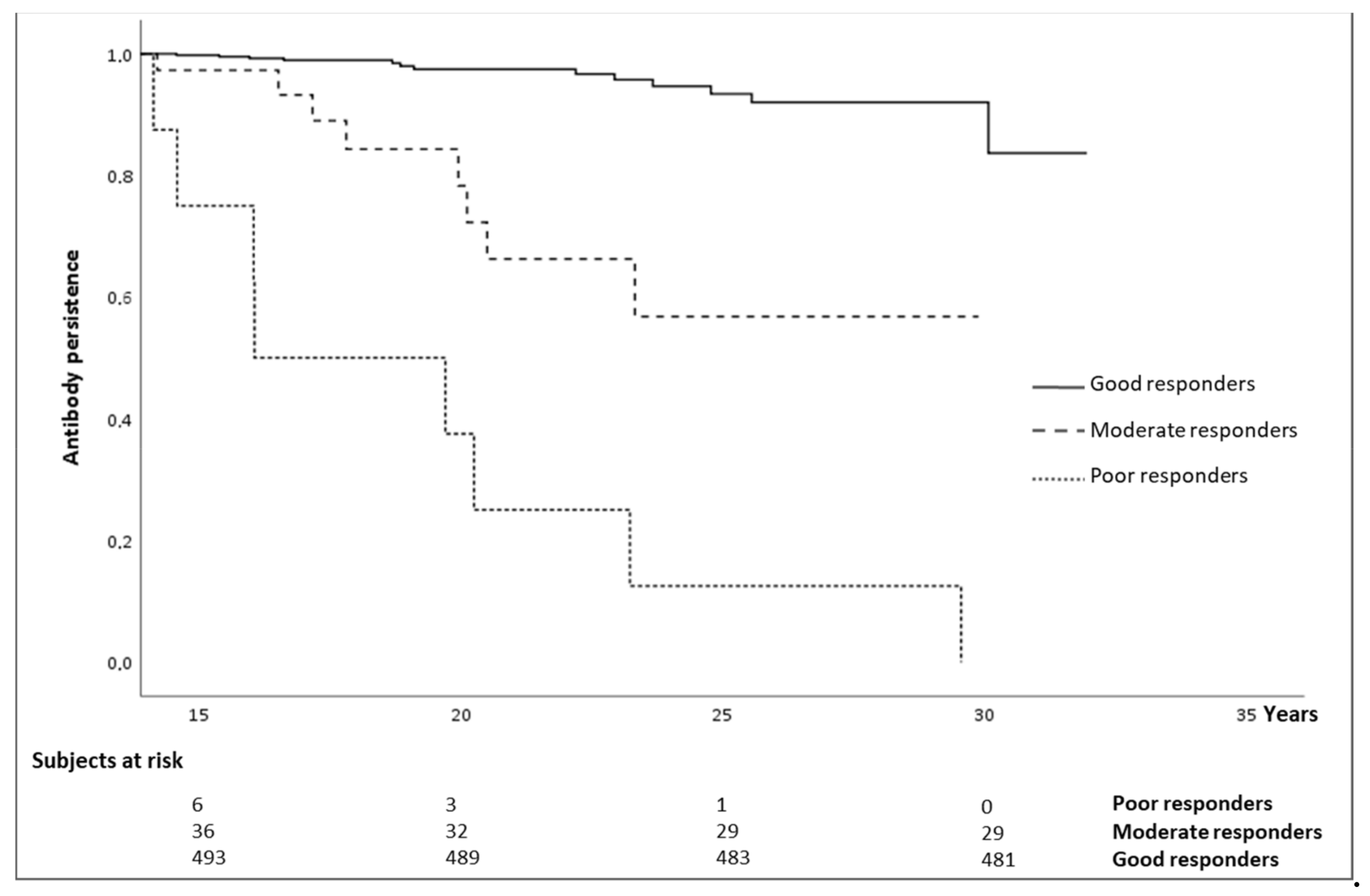
3. Results
4. Discussion
5. Conclusions
Author Contributions
Funding
Institutional Review Board Statement
Informed Consent Statement
Data Availability Statement
Conflicts of Interest
References
- World Health Organization Geneva, Switzerland. Global Hepatitis Report for 2017. Available online: https://www.who.int/hepatitis/publications/global-hepatitis-report2017/en/ (accessed on 11 November 2020).
- Nicolini, L.A.; Orsi, A.; Tatarelli, P.; Viscoli, C.; Icardi, G.; Sticchi, L. A Global View to HBV Chronic Infection: Evolving Strategies for Diagnosis, Treatment and Prevention in Immunocompetent Individuals. Int. J. Environ. Res. Public Health 2019, 16, 3307. [Google Scholar] [CrossRef]
- Trépo, C.; Chan, H.L.Y.; Lok, A. Hepatitis B Virus Infection. Lancet 2014, 384, 2053–2063. [Google Scholar] [CrossRef]
- Datta, S.; Chatterjee, S.; Veer, V.; Chakravarty, R. Molecular Biology of the Hepatitis B Virus for Clinicians. J. Clin. Exp. Hepatol. 2012, 2, 353–365. [Google Scholar] [CrossRef] [PubMed]
- Coppola, N.; Corvino, A.R.; De Pascalis, S.; Signoriello, G.; Di Fiore, E.; Nienhaus, A.; Sagnelli, E.; Lamberti, M. The Long-Term Immunogenicity of Recombinant Hepatitis B Virus (HBV) Vaccine: Contribution of Universal HBV Vaccination in Italy. BMC Infect. Dis 2015, 15, 149. [Google Scholar] [CrossRef][Green Version]
- European Centre for Disease Surveillance and Control. Hepatitis B. Annual Epidemiological Report for 2017. Available online: https://www.ecdc.europa.eu/sites/default/files/documents/hepatitis-B-annual-epidemiological-report-2017.pdf (accessed on 15 November 2020).
- De Schryver, A.; Claesen, B.; Meheus, A.; van Sprundel, M.; Francois, G. European Survey of Hepatitis B Vaccination Policies for Healthcare Workers. Eur. J. Public Health 2011, 21, 338–343. [Google Scholar] [CrossRef]
- Elseviers, M.M.; Arias-Guillén, M.; Gorke, A.; Arens, H.-J. Sharps injuries amongst healthcare workers: Review of incidence, transmissions and costs: Sharps injuries amongst healthcare workers. J. Ren. Care 2014, 40, 150–156. [Google Scholar] [CrossRef] [PubMed]
- Garzillo, E.M.; Arnese, A.; Coppola, N.; Corvino, A.; Feola, D.; Monaco, M.G.L.; Signoriello, G.; Marsella, L.T.; Arena, P.; Lamberti, M. HBV Vaccination Status among Healthcare Workers: A Cross-Sectional Study. J. Infect. Prev. 2020, 21, 23–27. [Google Scholar] [CrossRef] [PubMed]
- Burnett, R.J.; Francois, G.; Mphahlele, M.J.; Mureithi, J.G.; Africa, P.N.; Satekge, M.M.; Mokonoto, D.M.; Meheus, A.; van Sprundel, M. Hepatitis B vaccination coverage in healthcare workers in Gauten province, South Africa. Vaccine 2011, 29, 4293–4297. [Google Scholar] [CrossRef]
- Tufon, K.A.; Meriki, H.D.; Kwenti, T.E.; Tony, N.J.; Malika, E.; Bolimo, A.F.; Kouanou, Y.S.; Nkuo-Akenji, T.; Anong, D.N. HBV Transmission Risk Assessment in Healthcare Workers, Household and Sexual Contacts of HBV Infected Patients in the Southwest Region of Cameroon. Oman Med. J. 2019, 34, 313–321. [Google Scholar] [CrossRef]
- CDC. Hepatitis B FAQs for the Public. Available online: https://www.cdc.gov/hepatitis/hbv/bfaq.htm (accessed on 28 November 2020).
- Yu, A.S.; Cheung, R.C.; Keeffe, E.B. Hepatitis B Vaccines. Infect. Dis. Clin. N. Am. 2006, 20, 27–45. [Google Scholar] [CrossRef] [PubMed]
- Advisory Committee on Immunization Practices; Centers for Disease Control and Prevention (CDC) Immunization of Health-Care Personnel. Recommendations of the Advisory Committee on Immunization Practices (ACIP). Mmwr Recomm Rep. 2011, 60, 1–45. [Google Scholar]
- Bruce, M.G.; Bruden, D.; Hurlburt, D.; Zanis, C.; Thompson, G.; Rea, L.; Toomey, M.; Townshend-Bulson, L.; Rudolph, K.; Bulkow, L.; et al. Antibody Levels and Protection After Hepatitis B Vaccine: Results of a 30-Year Follow-up Study and Response to a Booster Dose. J. Infect. Dis. 2016, 214, 16–22. [Google Scholar] [CrossRef]
- Immunization Action Coalition (IAC). Hepatitis B. Available online: https://www.immunize.org/askexperts/experts_hepb.asp (accessed on 30 November 2020).
- Middleman, A.B.; Baker, C.J.; Kozinetz, C.A.; Kamili, S.; Nguyen, C.; Hu, D.J.; Spradling, P.R. Duration of Protection After Infant Hepatitis B Vaccination Series. PEDIATRICS 2014, 133, e1500–e1507. [Google Scholar] [CrossRef] [PubMed]
- Khafagy, A.; AlJahdaly, I.; Goweda, R. Hepatitis B Vaccine: Assessment of Immunologic Response, Coverage Rate, and Factors Influencing Seroreactivity. Clin. Lab. 2020, 66. [Google Scholar] [CrossRef] [PubMed]
- Averhoff, F.; Mahoney, F.; Coleman, P.; Schatz, G.; Hurwitz, E.; Margolis, H. Immunogenicity of Hepatitis B Vaccines. Am. J. Prev. Med. 1998, 15, 1–8. [Google Scholar] [CrossRef]
- Weber, D.J.; Rutala, W.A.; Samsa, G.P.; Santimaw, J.E.; Lemon, S.M. Obesity as a Predictor of Poor Antibody Response to Hepatitis B Plasma Vaccine. JAMA 1985, 254, 3187–3189. [Google Scholar] [CrossRef] [PubMed]
- Liu, F.; Guo, Z.; Dong, C. Influences of Obesity on the Immunogenicity of Hepatitis B Vaccine. Hum. Vaccines Immunother. 2017, 13, 1014–1017. [Google Scholar] [CrossRef]
- Mast, E.E.; Weinbaum, C.M.; Fiore, A.E.; Alter, M.J.; Bell, B.P.; Finelli, L.; Rodewald, L.E.; Douglas, J.M.; Janssen, R.S.; Ward, J.W.; et al. A Comprehensive Immunization Strategy to Eliminate Transmission of Hepatitis B Virus Infection in the United States: Recommendations of the Advisory Committee on Immunization Practices (ACIP) Part II: Immunization of Adults. Mmwr. Recomm. Rep. 2006, 55, 1–33. [Google Scholar]
- Lamberti, M.; De Rosa, A.; Garzillo, E.M.; Corvino, A.R.; Sannolo, N.; De Pascalis, S.; Di Fiore, E.; Westermann, C.; Arnese, A.; Gabriella, D.G.; et al. Vaccination against Hepatitis b Virus: Are Italian Medical Students Sufficiently Protected after the Public Vaccination Programme? J. Occup. Med. Toxicol. 2015, 10. [Google Scholar] [CrossRef] [PubMed]
- European Consensus Group on Hepatitis B Immunity. Are Booster Immunisations Needed for Lifelong Hepatitis B Immunity? Lancet 2000, 355, 561–565. [Google Scholar] [CrossRef]
- Floreani, A.; Baldo, V.; Cristofoletti, M.; Renzulli, G.; Valeri, A.; Zanetti, C.; Trivello, R. Long-Term Persistence of Anti-HBs after Vaccination against HBV: An 18 Year Experience in Health Care Workers. Vaccine 2004, 22, 607–610. [Google Scholar] [CrossRef]
- Yoshioka, N.; Deguchi, M.; Hagiya, H.; Kagita, M.; Tsukamoto, H.; Takao, M.; Yoshida, H.; Yamamoto, N.; Akeda, Y.; Nabetani, Y.; et al. Durability of Immunity by Hepatitis B Vaccine in Japanese Health Care Workers Depends on Primary Response Titers and Durations. PLoS ONE 2017, 12, e0187661. [Google Scholar] [CrossRef]
- Zhao, Y.-L.; Han, B.-H.; Zhang, X.-J.; Pan, L.-L.; Zhou, H.-S.; Gao, Z.; Hao, Z.-Y.; Wu, Z.-W.; Ma, T.-L.; Wang, F.; et al. Immune Persistence 17 to 20 Years after Primary Vaccination with Recombination Hepatitis B Vaccine (CHO) and the Effect of Booster Dose Vaccination. BMC Infect. Diseases 2019, 19, 1–7. [Google Scholar] [CrossRef] [PubMed]
- Gara, N.; Abdalla, A.; Rivera, E.; Zhao, X.; Werner, J.M.; Liang, T.J.; Hoofnagle, J.H.; Rehermann, B.; Ghany, M.G. Durability of Antibody Response Against Hepatitis B Virus in Healthcare Workers Vaccinated as Adults. Clin. Infect. Dis. 2015, 60, 505–513. [Google Scholar] [CrossRef]
- Chiara, F.; Bartolucci, G.B.; Cattai, M.; Piazza, A.; Nicolli, A.; Buja, A.; Trevisan, A. Hepatitis B Vaccination of Adolescents: Significance of Non-Protective Antibodies. Vaccine 2013, 32, 62–68. [Google Scholar] [CrossRef]
- Dini, G.; Toletone, A.; Barberis, I.; Debarbieri, N.; Massa, E.; Paganino, C.; Bersi, F.; Montecucco, A.; Alicino, C.; Durando, P. Persistence of Protective Anti-HBs Antibody Levels and Anamnestic Response to HBV Booster Vaccination: A Cross-Sectional Study among Healthcare Students 20 Years Following the Universal Immunization Campaign in Italy. Hum. Vaccines Immunother. 2017, 13, 440–444. [Google Scholar] [CrossRef]
- Trevisan, A.; Frasson, C.; De Nuzzo, D.; Nicolli, A.; Scapellato, M.L. Significance of Anti-HB Levels below 10 IU/L after Vaccination against Hepatitis B in Infancy or Adolescence: An Update in Relation to Sex. Hum. Vaccin Immunother. 2020, 16, 460–464. [Google Scholar] [CrossRef]
- Sahana, H.V.; Sarala, N.; Prasad, S.R. Decrease in Anti-HBs Antibodies over Time in Medical Students and Healthcare Workers after Hepatitis B Vaccination. Biomed. Res. Int. 2017, 2017, 1–5. [Google Scholar] [CrossRef]
- Jilg, W.; Schmidt, M.; Deinhardt, F. Persistence of Specific Antibodies after Hepatitis B Vaccination. J. Hepatol. 1988, 6, 201–207. [Google Scholar] [CrossRef]
- Trivello, R.; Chiaramonte, M.; Ngatchu, T.; Baldo, V.; Majori, S.; Moschen, M.E.; Simoncello, I.; Renzulli, G.; Naccarato, R. Persistence of Anti-HBs Antibodies in Health Care Personnel Vaccinated with Plasma-Derived Hepatitis B Vaccine and Response to Recombinant DNA HB Booster Vaccine. Vaccine 1995, 13, 139–141. [Google Scholar] [CrossRef]
- Wu, J.S.; Hwang, L.Y.; Goodman, K.J.; Beasley, R.P. Hepatitis B Vaccination in High-Risk Infants: 10-Year Follow-Up. J. Infect. Dis 1999, 179, 1319–1325. [Google Scholar] [CrossRef]
- EASL 2017 Clinical Practice Guidelines on the management of hepatitis B virus infection. J. Hepatol. 2017, 67, 370–398. [CrossRef] [PubMed]
- Wood, R.C.; MacDonald, K.L.; White, K.E.; Hedberg, C.W.; Hanson, M.; Osterholm, M.T. Risk Factors for Lack of Detectable Antibody Following Hepatitis B Vaccination of Minnesota Health Care Workers. JAMA 1993, 270, 2935–2939. [Google Scholar] [CrossRef] [PubMed]
- Yang, S.; Tian, G.; Cui, Y.; Ding, C.; Deng, M.; Yu, C.; Xu, K.; Ren, J.; Yao, J.; Li, Y.; et al. Factors Influencing Immunologic Response to Hepatitis B Vaccine in Adults. Sci. Rep. 2016, 6. [Google Scholar] [CrossRef] [PubMed]
- Tripathy, S.; Sathi, H.C.; Puspa Saha, S.; Shankar, R.; Singh, V.K. Study of immune response after hepatitis B vaccination in medical students and healthcare workers. Indian J. Prev. Soc. Med. 2011, 42, 315–321. [Google Scholar]
- Nashibi, R.; Alavi, S.M.; Yousefi, F.; Salmanzadeh, S.; Moogahi, S.; Ahmadi, F.; Farashahinejad, M. Post-Vaccination Immunity Against Hepatitis B Virus and Predictors for Non-Responders Among Medical Staff. Jundishapur J. Microbiol. 2015, 8. [Google Scholar] [CrossRef]
- Chiara, F.; Bartolucci, G.B.; Mongillo, M.; Ferretto, L.; Nicolli, A.; Trevisan, A. Hepatitis B Vaccination at Three Months of age: A Successful Strategy? Vaccine 2013, 31, 1696–1700. [Google Scholar] [CrossRef]


| Characteristics | HCWs | Anti-HBs Negative | Person-Years | Antibody Loss | ||||
|---|---|---|---|---|---|---|---|---|
| N | (%) | N | (%) | Incidence Density/1000 Person-Years | Adjusted RR (CI 95%) | p | ||
| Overall | 539 | 100.0 | 29 | 5.4 | 10414.6 | 2.8 | ||
| Titers after primary immunization | ||||||||
| 10–99 | 8 | 1.5 | 8 | 100.0 | 153.6 | 52.1 | - | - |
| 100–999 | 37 | 6.9 | 8 | 21.6 | 707.6 | 11.3 | 0.28 (0.10–0.80) | 0.018 |
| ≥1000 | 494 | 91.7 | 13 | 2.6 | 9553.3 | 1.4 | 0.03 (0.01–0.09) | 0.000 |
| Sex | ||||||||
| Females | 441 | 81.8 | 22 | 5.0 | 8623.1 | 2.6 | 1.0 (0.40–2.50) | 0.986 |
| Male | 98 | 18.2 | 7 | 7.1 | 1791.5 | 3.9 | - | - |
| Age group | ||||||||
| ≤20 | 267 | 49.5 | 9 | 3.4 | 5284.4 | 1.7 | - | - |
| 21+ | 272 | 50.5 | 20 | 7.4 | 5130.2 | 3.9 | 1.3 (0.50–3.20) | 0.556 |
| Type of vaccine | ||||||||
| Plasma-derived | 219 | 40.6 | 8 | 3.7 | 4444.5 | 1.8 | - | - |
| Yeast-derived | 320 | 59.4 | 21 | 6.6 | 5970.1 | 3.5 | 2.1 (0.86–4.98) | 0.107 |
Publisher’s Note: MDPI stays neutral with regard to jurisdictional claims in published maps and institutional affiliations. |
© 2021 by the authors. Licensee MDPI, Basel, Switzerland. This article is an open access article distributed under the terms and conditions of the Creative Commons Attribution (CC BY) license (https://creativecommons.org/licenses/by/4.0/).
Share and Cite
Cocchio, S.; Baldo, V.; Volpin, A.; Fonzo, M.; Floreani, A.; Furlan, P.; Mason, P.; Trevisan, A.; Scapellato, M.L. Persistence of Anti-Hbs after up to 30 Years in Health Care Workers Vaccinated against Hepatitis B Virus. Vaccines 2021, 9, 323. https://doi.org/10.3390/vaccines9040323
Cocchio S, Baldo V, Volpin A, Fonzo M, Floreani A, Furlan P, Mason P, Trevisan A, Scapellato ML. Persistence of Anti-Hbs after up to 30 Years in Health Care Workers Vaccinated against Hepatitis B Virus. Vaccines. 2021; 9(4):323. https://doi.org/10.3390/vaccines9040323
Chicago/Turabian StyleCocchio, Silvia, Vincenzo Baldo, Anna Volpin, Marco Fonzo, Annarosa Floreani, Patrizia Furlan, Paola Mason, Andrea Trevisan, and Maria Luisa Scapellato. 2021. "Persistence of Anti-Hbs after up to 30 Years in Health Care Workers Vaccinated against Hepatitis B Virus" Vaccines 9, no. 4: 323. https://doi.org/10.3390/vaccines9040323
APA StyleCocchio, S., Baldo, V., Volpin, A., Fonzo, M., Floreani, A., Furlan, P., Mason, P., Trevisan, A., & Scapellato, M. L. (2021). Persistence of Anti-Hbs after up to 30 Years in Health Care Workers Vaccinated against Hepatitis B Virus. Vaccines, 9(4), 323. https://doi.org/10.3390/vaccines9040323

