Abstract
Background: This study aimed to estimate influenza-like illness (ILI) prevalence, influenza-related healthcare seeking behaviors, and willingness for vaccination. Methods: A retrospective cross-sectional study based on a random dialing telephone survey was conducted from October 2017 through March 2018 to assess influenza-like illness prevalence and vaccination willingness among different demographic groups. Results: 10,045 individuals were enrolled and completed the survey. A total of 2834 individuals (28%) self-reported that they have suffered from influenza-like illness, especially children under 15 years of age. Overall willingness for influenza vaccination in the 2018/2019 influenza season was 45% and was positively associated with higher education level, recommendation from doctors, cost-free vaccination, and vaccination campaigns with employers’ support. Hospitalization and seeking medicine from pharmacies was less frequent in urban locations. People under 15 and over 60 years of age sought medical service more frequently. Conclusions: ILI prevalence differed significantly by age and geographical location/population density. Vaccination policy for motivating key populations at highest risk to vaccinate should take into consideration the awareness-raising of vaccination benefits, barriers reduction of vaccination such as cost, and recommendation via healthcare professionals.
1. Introduction
The year 2018 marked the 100-year anniversary of the most severe influenza pandemic in recorded history, which infected nearly 500 million and killed an estimated of 50 million people worldwide over 2 years [1]. The World Health Organization (WHO) estimated that seasonal influenza was responsible for up to 650,000 deaths worldwide annually, and in China alone there were 456,718 reported influenza cases in 2017 with up to 92,000 annual influenza-associated respiratory deaths [2,3,4]. Seasonal epidemics and outbreaks globally caused considerable morbidity and mortality, and posed a significant threat to high-risk populations, such as pregnant women, infants, children, elderly, healthcare professionals, and patients with chronic underlying conditions (2). Furthermore, the 2017/2018 influenza season was particularly severe compared with recent years across the northern hemisphere including in China [5,6,7,8].
Vaccination is the most effective tool for influenza prevention, yet the current Expanded Program on Immunization (EPI) in China does not include the influenza vaccine; individuals are required to pay out of pocket for the influenza vaccine, and only a few locations had limited special subsidy programs for high risk groups [9]. National influenza vaccination coverage in China was just 1.5% to 2.2% between 2004 and 2014 [10]. In contrast, influenza vaccination coverage of residents over 60 years of age in 2015 was 49% in Beijing, where free influenza vaccination has been provided to residents over the age of 60 since 2007 [11]. Even more regional governments started to provide full or partial subsidy for influenza vaccines, but national influenza vaccine uptake has failed to increase substantially [10].
Based on a WHO fact sheet and China’s local conditions, Chinese Center for Disease Control and Prevention developed “technical guidelines for seasonal influenza vaccination in China (2018/2019)” to decrease the risk of severe infections and complications due to influenza virus infection among high risk groups. The technical guidelines recommended prioritization of seasonal influenza vaccination for children aged 6–60 months, adults over 60 years of age, persons with specific chronic diseases, healthcare workers, family members and caregivers of infants less than 6 months of age, and pregnant women or women who plan to get pregnant during the influenza season [3,12].
Because the sentinel surveillance system in China reports only individuals with influenza-like illness (ILI) visiting sentinel hospitals, it does not provide a full picture of ILI activities among the community. This study therefore aims to estimate the prevalence of self-reported ILI and ILI-related healthcare-seeking behaviors during the 2017/2018 influenza season in China, as well as to estimate influenza vaccination willingness for the 2018/2019 influenza season. We conducted a telephone survey in six provinces, three in northern China and three in southern China, which were sampled according to the diversified economic statuses, climate zones, and vaccine policies of provinces in China. The selected call respondents were asked about knowledge, attitudes, and behaviors relating to influenza-like illness and influenza vaccination.
2. Material and Methods
2.1. Study Design
This is a retrospective cross-sectional study using a population-based telephone survey with random digit dialing.
2.2. Setting
Influenza in China: China is located in the northern hemisphere. The annual seasonality of influenza A epidemics increases with latitude, whereas influenza B activity predominates in colder months throughout most of China. Influenza A epidemics peak in January–February in Northern China and April–June in the southernmost regions [13]. With reference to the WHO standard ILI case definition, body temperature ≥38 °C with either cough or sore throat was used in the survey [14].
2.3. Study Population and Sampling
To account for differences in influenza seasonality and economic development status, six provinces, three in northern China and three in southern China, were selected for the telephone survey (Figure 1).
Figure 1.
Map of the six selected provinces in the influenza-like illness survey in China, 2017/2018.
A representative sample population in the six provinces was reached via stratified random sampling, which was based on different ILI attack rates among different age groups. The sample size of different age groups by province was calculated on the basis of an expected ILI prevalence of 5% in adults ±2.5%, and an expected ILI prevalence of 20% in children ±5%. A minimum sample size of 9438 participants with specific amounts of each age group was required to precisely represent age-specific ILI prevalence in each location. All respondents were recruited randomly. Family members of targeted individuals under 15 years and those over 60 years of age answered the survey questions on their behalf.
All survey respondents reached through telephone calls who agreed to participate and completed the telephone survey were included in the study. A total of 43,636 random telephone calls were made with an answer rate of 49.6% (21,658/43,636), of which 10,045 were willing to participate and successfully finished the questionnaire and met the requirement of five months’ residency in the study location (Figure 2).
Figure 2.
Flowchart of influenza-like illness reported in a telephone survey in six provinces of China, 2017/2018.
2.4. Data Collection
The cross-sectional survey was performed by provincial 12320 Health Hotline Centers via the government health hotline to collect data during the October 2017 to March 2018 influenza season. The survey was conducted during March to May 2018 and the survey questionnaire included demographic information, ILI symptoms, attitude toward vaccination and protection awareness, and healthcare-seeking behaviors related to ILI symptoms. Survey data collected was double-entered into EpiData, and the data was de-identified for analysis. Phone call surveys conducted were recorded for selective examination in order to ensure the quality of the data.
2.5. Analysis and Statistics
Post-hoc tests, chi-square tests for goodness of fit and for trend, and logistic regression were performed using R version 3.0.1 (R Foundation for Statistical Computing, Vienna, Austria) to compare ILI rates, vaccination willingness, prevention awareness, and healthcare-seeking behaviors among different demographic groups. Significance was assigned at 5% (p < 0.05).
2.6. Ethics Approval and Consent to Participate
Study ethics was approved the Institutional Review Board of the Chinese Center for Disease Control and Prevention (no. 201805) and the data are de-identified for protecting personal privacy. All survey respondents who agreed to participate and completed the telephone survey were included in the study.
2.7. Availability of Data and Materials
The datasets generated and analyzed during this study are not publicly available due to the institute’s data security and sharing policy, but are available from the corresponding author on reasonable request.
3. Results
Among the 10,045 enrolled individuals, 2834 self-reported suffering from influenza like illness, with a winter prevalence of 28% (2834/10,045) (Table 1). The proportion of self-reported influenza-like illness (ILI rate) in Yunnan, Inner Mongolia, and Beijing was above the overall average ILI rate (28%). In economically developed urban metropolises, such as Guangdong (mainly Guangzhou), Shanghai, and Beijing, the proportion of self-reported influenza-like illness increased from 17% to 32% as latitude increased. The influenza-like illness rate of those under age 5 (43%) and those aged 5–14 (40%) were significantly higher than the overall ILI rate. The ILI rate also increased significantly as household income increased (p < 0.005) (Table 1).
Table 1.
Demographic characteristics of individuals targeted in a telephone survey in six provinces of China, October 2017 to March 2018.
3.1. Knowledge and Attitudes toward Influenza Infection and Prevention
Among the 10,045 enrolled individuals, 75% (7564/10,045) reported knowing influenza is different from a common cold and 82% (8241/10,045) reported knowing influenza could cause severe consequences such as hospitalization and severe complications, even death. A total of 72% of enrolled individuals would recommend influenza vaccination to their family members. To be noted, individuals with awareness of a difference between influenza and common cold (odds ratio of 1.58 with 95% CI 1.35 to 1.86) and those with awareness of severe consequences caused by influenza (odds ratio of 1.70 with 95% CI 1.42 to 2.04) were found to be more likely to recommend their family members to be vaccinated for influenza in comparison with those who are not aware of these knowledge (both p < 0.001). In addition, people with higher education (junior college, undergraduate, and above) were found to be significantly more likely to recommend their family members to be vaccinated (p < 0.001), whereas household income was found to not significantly impact attitudes towards influenza vaccination.
Prevention awareness, including hand washing, mask wearing, and self-segregation when one has ILI symptoms, was over 70%; Beijing and Shanghai were found to have the highest prevention awareness. The overall self-reported hand washing rate was found to be 79% (range of 74–83%), and hand washing awareness in urban cities was found to be significantly higher than other provinces. The overall self-reported mask wearing rate and self-segregation rate was found to be 75% (range of 64–84%) and 72% (range of 63–80%) (Table 2). Males were found to have higher prevention awareness than females, and prevention awareness increased significantly with higher income level (p < 0.001) and education level (p < 0.001). Healthcare professionals had the highest prevention awareness, whereas full-time students were found to be the least likely to be aware of the need for self-segregation (Table 2).
Table 2.
Influenza prevention awareness of telephone survey respondents in six provinces of China, October 2017 to March 2018.
3.2. Healthcare-Seeking Behaviors Related to Influenza Infection
Information on healthcare seeking behaviors of individuals targeted in the telephone survey who were reported to have ILI symptoms was investigated (Table 3). Important to note is that Inner Mongolia had the highest rate of healthcare-seeking behaviors for ILI symptoms (96%), whereas Beijing and Shanghai had the lowest (82% and 82%). Hospitalization and seeking medicine from a pharmacy were found to be less frequent in economically developed urban metropolises (Beijing, Shanghai, and Guangdong). The average proportion of hospitalization and seeking medicine from a pharmacy in Yunnan, Gansu, and Inner Mongolia was four times that of economically developed urban metropolises (Beijing, Shanghai, and Guangdong). Compared with other areas, individuals in Yunnan preferred a private clinic/village doctor rather than a municipal hospital for their first visit. Those under the age of 15 and over the age of 60 sought treatment more often and from outpatient/emergency departments; also, they were more frequently hospitalized. As household income increased, treatment-seeking activity decreased significantly (p = 0.013), and the proportion choosing a municipal hospital for their first visits increased dramatically (Table 3).
Table 3.
Healthcare-seeking behaviors of individuals targeted in a telephone survey in six provinces of China, October 2017 to March 2018.
3.3. Factors Related to Willingness to Be Vaccinated for Influenza
The overall willingness for influenza vaccination during the 2018/2019 influenza season was found to be 45% (range of 30–54%). Gansu has the largest proportion of individuals with the intention of vaccination against influenza, whereas individuals in Guangdong are the least likely to be vaccinated against influenza for the 2018/2019 influenza season. Individuals with higher education level were found to be more likely to be vaccinated against influenza for the 2018/2019 influenza season than those with a low education level (p < 0.001). Household income was found not to significantly impact one’s influenza vaccination intention for the next influenza season. Government officials and full-time students were more likely to be vaccinated against influenza than individuals of other occupation groups during the 2018/2019 influenza season (p < 0.001).
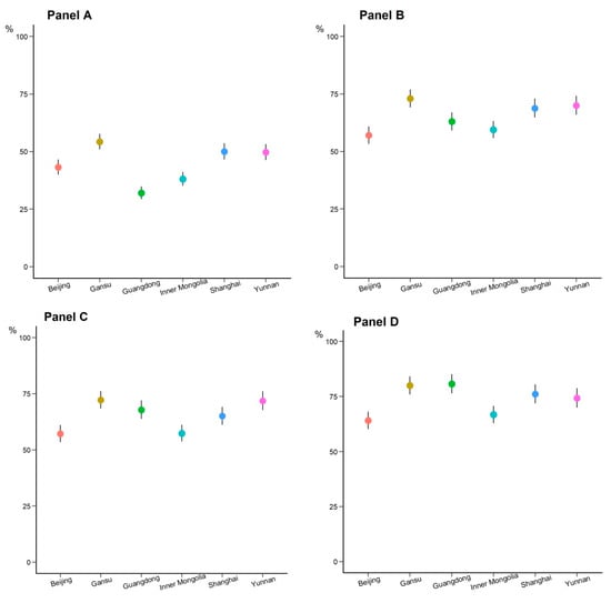
In addition, 65% of respondents self-reported with the intention of receiving an influenza vaccination on the condition that the influenza vaccine was free, 65% of respondents self-reported with the intention for influenza vaccination on the condition that the influenza vaccine was recommended by their doctors, and 74% of respondents self-reported with the intention of receiving an influenza vaccination on the condition that their employer supported the influenza vaccination (Figure 3). Recommendation from one’s doctor was found to be the most effective factor for increasing the intention for influenza vaccination (odds ratio of 6.48 with 95% CI 5.53–7.60). Cost-free vaccination also had a large effect on increasing intention for influenza vaccination (odds ratio of 5.33 with 95% CI 4.54–6.25), followed by employer’s support for influenza vaccination (odds ratio of 2.23 with 95% CI 1.85–2.68).

Figure 3.
Influenza vaccination attitudes of telephone survey respondents during the October 2017 to March 2018 influenza season in six provinces of China. Panel (A) Willingness for influenza vaccination during the 2018/2019 influenza season in China; Panel (B) Willingness for influenza vaccination during the 2018/2019 influenza season on the condition that the influenza vaccine was recommended by their doctors; Panel (C): Willingness for influenza vaccination during the 2018/2019 influenza season on the condition that the influenza vaccine was free; Panel (D): Willingness for influenza vaccination during the 2018/2019 influenza season on the condition that their employer supported the influenza vaccination; Panel (E): Willingness for recommendation of influenza vaccination to one’s family members influenza vaccination during the 2018/2019 influenza season.
4. Discussion
Population-based estimates of seasonal ILI are important sources of information for determining the total burden of disease. This study used population-based data from six provinces of China representing both high population density urban districts and low population density rural districts, and used a representative sample across age ranges, the influenza-like illness rate of individuals under age 14 were significantly higher than other age groups [15]. High prevention awareness overall was identified, especially among the healthcare professionals, and the varying levels of willingness to be vaccinated illustrates the need for improved communication strategies that accurately reflect an individual’s risk for contracting seasonal influenza.
The high level of awareness of a difference between influenza and common cold and potential severe consequences caused by influenza virus infection may explain their attitudes towards influenza vaccination recommendation to their family members and the high prevention awareness. Individuals with New Rural Cooperative Medical Insurance for Rural Residents (NRCMIRR) may be reimbursed if they are vaccinated, which may account for the highest intention to vaccinate in Gansu [10]. Low willingness to vaccinate may result from individuals’ underestimation of their risk of contracting influenza and a lower ILI epidemic of the previous influenza season in their community [16].
Although overall prevention awareness was relatively high across all provinces studied, information, education, and communication (IEC) strategies could be targeted to the populations found to have lower awareness in this study, for instance, those with limited education and low household income who may be at increased risk for infection [17,18]. As household income does not significantly impact the influenza vaccination willingness and recommendation influenza vaccination to family members, thus IEC strategies for increasing vaccination rates should incorporate doctor’s recommendations and support from one’s employer. A policy of free influenza vaccinations for high-risk populations could also improve uptake.
Additionally, IEC campaigns that inform the public of the true estimated number of cases each year and the negative economic impacts illness has on individuals, families, and the economy as a whole may improve willingness to vaccinate, alongside expansion of free or subsidized vaccination programs. Further research is needed to estimate the cost of influenza morbidity and mortality to justify whether or not a nationwide vaccination program for key populations would improve vaccination coverage significantly [10].
The influenza seasons lasts longer with increasing latitude [19], and the influenza virus circulation patterns in the north and south of China are different [13,20]. Our results showed that the proportion of self-reported ILI in urban metropolises increases as latitude increases, which might indicate influenza transmission patterns are different in urban and rural areas as latitude increases.
The collected data may have a selection bias and recall bias, as telephone respondents were randomly selected by the 12320 Health Hotline and were asked about self-report health information. The elderly, unemployed individuals, and those who work at home may be more likely to be involved in telephone survey. Individuals are prone to focus on health issues via the 12320 Health Hotline and thus may not be representative for all members of the population of interest. However, because of the high rate of treatment-seeking for the study population (87%) and the fact that respondents were only asked to refer back to the current influenza season, recall bias may be limited. Missing data, though minimal, and respondents’ ability to refuse participation may have impacted study findings. In addition, the individuals may have confused the influenza vaccine and haemophilus influenza type B (Hib) vaccine, which could result in higher self-reported influenza vaccination willingness. Individuals may be not ideally randomized and be skewed to those who are more often available for the 12320 Health Hotline at the time the calls were made.
The strengths of this study included random digit dialing to obtain population-based estimates of ILI by age and provided a large representative sample of the population in the six provinces. The study also adhered to the strengthening the reporting of observational studies in epidemiology (STROBE) guidelines for observational research [21].
5. Conclusions
ILI prevalence in different groups differed significantly by age and geographical location/population density. Vaccination willingness was positively associated with higher education level, recommendation from doctors, cost-free vaccination, and support from employers. Vaccination policy should encourage key populations at the highest risk to vaccinate, and should be accompanied by awareness- and willingness-raising campaigns that promote the benefits of vaccination, reduce barriers to vaccination such as cost, and provide information on the risk of influenza for all age groups via healthcare professionals. Additionally, campaigns should promote and educate the population on prevention strategies for women, low-income households, full-time students, and those with low levels of education.
Author Contributions
Conceptualization, L.F., Y.Q., M.G., L.Z., B.J.C., and Z.L.; data curation, K.T.; formal analysis, X.R. and M.G.; funding acquisition, E.G., L.W., B.J.C., and Z.L.; investigation, X.R.; methodology, J.F., Y.Q., P.W., and S.Z.; project administration, X.R. and K.T.; resources, L.F., P.W., L.Z., B.J.C., and Z.L.; software, Y.Q.; supervision, L.W., B.J.C., and Z.L.; validation, S.Z.; visualization, X.R.; writing original draft, X.R., E.G., and B.J.C.; writing, review and editing, X.R., E.G., L.W., J.F., S.Z., J.Y., B.J.C., and Z.L. All authors have read and agreed to the published version of the manuscript.
Funding
This study was funded by grants from the National Natural Science Foundation of China (NSFC) (no. 91846302), China Ministry of Science and Technology (grant no. 2018ZX10713001), and China CDC’s Key Laboratory of Surveillance and Early-Warning on Infectious Disease. The funding bodies had no role in study design, data collection and analysis, preparation of the manuscript, or the decision to publish. Open access publication costs will be covered by China CDC under the SORT IT program in Special Programme for Research and Training in Tropical Diseases (WHO/TDR).
Acknowledgments
We thank the staff members of the 12320 Health Hotline Center in China CDC, Beijing, Shanghai, Guangzhou, Yunnan, Inner Mongolia, and Gansu, for their valuable assistance in survey data collection. Zhongjie Li had full access to all the data in the study and had final responsibility for the decision to submit the manuscript for publication. The views expressed are those of the authors and do not necessarily represent the policy of the Chinese Center for Disease Control and Prevention.
Conflicts of Interest
B.J.C. has received research funding from Sanofi Pasteur and MedImmune Inc. for studies of influenza vaccination effectiveness. The authors who have taken part in this study declared that they do not have any other potential conflicts of interest.
References
- Honigsbaum, M. Spanish influenza redux: Revisiting the mother of all pandemics. Lancet 2018, 391, 2492–2495. [Google Scholar] [CrossRef]
- Iuliano, A.D.; Roguski, K.M.; Chang, H.H.; Muscatello, D.J.; Palekar, R.; Tempia, S.; Cohen, C.; Gran, J.M.; Schanzer, D.; Cowling, B.J.; et al. Estimates of global seasonal influenza associated respiratory mortality: A modelling study. Lancet 2018, 391, 1285–1300. [Google Scholar] [CrossRef]
- WHO. Fact Sheet on Seasonal Influenza. 2018. Available online: https://www.who.int/news-room/fact-sheets/detail/influenza-(seasonal) (accessed on 3 November 2019).
- National Health Commission of the PRC. National Notifiable Disease Factsheet in 2017–2018. 2019. Available online: http://www.nhc.gov.cn/jkj/s3578/201802/de926bdb046749abb7b0a8e23d929104.shtml (accessed on 3 November 2019).
- Kochanek, M.; Boll, B.; Shimabukuro-Vornhagen, A.; Welte, T.; Wieland, U.; Pletz, M.; Hallek, M.; Fätkenheuer, G.; Salzberger, B. The 2017/2018 Influenza Season-Business as Usual? A Statement of Medical Societies. Internist 2018, 59, 1122–1124. [Google Scholar] [CrossRef] [PubMed]
- Region WWP. Bi-Weekly Influenza Situation. Update 14 March 2018. Available online: http://origin.wpro.who.int/emerging_diseases/wpro_influenza_biweekly_14march2018.pdf (accessed on 3 November 2019).
- Groeneveld, G.H.; Spaan, W.J.; van der Hoek, W.; van Dissel, J.T. The severe flu season of 2017–2018: Making a case for the vaccination of healthcare professionals. Ned. Tijdschr. Geneeskd. 2018, 162, D3323. [Google Scholar] [PubMed]
- Feng, Z.J. Seasonal, avian and pandemic influenza: Are we prepared? Zhonghua Liu Xing Bing Xue Za Zhi 2018, 39, 1017–1020. [Google Scholar] [PubMed]
- Feng, L.; Mounts, A.W.; Feng, Y.; Luo, Y.; Yang, P.; Feng, Z.; Yang, W.; Yu, H. Seasonal influenza vaccine supply and target vaccinated population in China, 2004–2009. Vaccine 2010, 28, 6778–6782. [Google Scholar] [CrossRef] [PubMed]
- Yang, J.; Atkins, K.E.; Feng, L.; Pang, M.; Zheng, Y.; Liu, X.; Cowling, B.J.; Yu, H. Seasonal influenza vaccination in China: Landscape of diverse regional reimbursement policy, and budget impact analysis. Vaccine 2016, 34, 5724–5735. [Google Scholar] [CrossRef] [PubMed]
- Wu, S.; Su, J.; Yang, P.; Zhang, H.; Li, H.; Chu, Y.; Hua, W.; Li, C.; Tang, Y.; Wang, Q. Factors associated with the uptake of seasonal influenza vaccination in older and younger adults: A large, population-based survey in Beijing, China. BMJ Open 2017, 7, e017459. [Google Scholar] [CrossRef] [PubMed]
- Feng, L.Z.; Peng, Z.B.; Wang, D.Y.; Yang, P.; Yang, J.; Zhang, Y.Y.; Chen, J.; Jiang, S.Q.; Xu, L.L.; Kang, M.; et al. Technical guidelines for seasonal influenza vaccination in China, 2018–2019. Zhonghua Liuxingbingxue Zazhi 2018, 39, 1413–1425. [Google Scholar] [PubMed]
- Yu, H.; Alonso, W.J.; Feng, L.; Tan, Y.; Shu, Y.; Yang, W.; Viboud, C. Characterization of regional influenza seasonality patterns in China and implications for vaccination strategies: Spatio-temporal modeling of surveillance data. PLoS Med. 2013, 10, e1001552. [Google Scholar] [CrossRef] [PubMed]
- Fitzner, J.; Qasmieh, S.; Mounts, A.W.; Alexander, B.; Besselaar, T.; Briand, S.; Brown, C.; Clark, S.; Dueger, E.; Gross, D.; et al. Revision of clinical case definitions: Influenza like illness and severe acute respiratory infection. Bull. World Health Organ. 2018, 96, 122–128. [Google Scholar] [CrossRef] [PubMed]
- Lu, L.; Liu, D.L.; Zhang, T.G.; Chen, M.; Zhang, Z.J.; Wang, X.L.; Yang, Z.; Pang, X.H.; Deng, Y. Herd immunity against new influenza A (H1N1) in pre-vaccinated residents aged over 5 years in Beijing. Zhonghua Jie He He Hu Xi Za Zhi 2010, 33, 403–405. [Google Scholar] [PubMed]
- Wu, S.; Yang, P.; Li, H.; Ma, C.; Zhang, Y.; Wang, Q. Influenza vaccination coverage rates among adults before and after the 2009 influenza pandemic and the reasons for non-vaccination in Beijing, China: A cross-sectional study. BMC Public Health 2013, 13, 636. [Google Scholar] [CrossRef] [PubMed]
- Bengtsson, T.; Dribe, M.; Eriksson, B. Social Class and Excess Mortality in Sweden During the 1918 Influenza Pandemic. Am. J. Epidemiol. 2018, 187, 2568–2576. [Google Scholar] [CrossRef] [PubMed]
- Grantz, K.H.; Rane, M.S.; Salje, H.; Glass, G.E.; Schachterle, S.E.; Cummings, D.A. Disparities in influenza mortality and transmission related to sociodemographic factors within Chicago in the pandemic of 1918. Proc. Natl. Acad. Sci. USA 2016, 113, 13839–13844. [Google Scholar] [CrossRef] [PubMed]
- Broberg, E.K.; Waris, M.; Johansen, K.; Snacken, R.; Penttinen, P. European Influenza Surveillance N. Seasonality and geographical spread of respiratory syncytial virus epidemics in 15 European countries, 2010 to 2016. Euro Surveill. 2018, 23. [Google Scholar] [CrossRef] [PubMed]
- Saha, S.; Chadha, M.; Shu, Y. Group of Asian Researchers on I. Divergent seasonal patterns of influenza types A and B across latitude gradient in Tropical Asia. Influ. Other Respir. Viruses 2016, 10, 176–184. [Google Scholar] [CrossRef] [PubMed]
- Von Elm, E.; Altman, D.G.; Egger, M.; Pocock, S.J.; Gotzsche, P.C.; Vandenbroucke, J.P. The Strengthening the Reporting of Observational Studies in Epidemiology (STROBE) statement: Guidelines for reporting observational studies. J. Clin. Epidemiol. 2008, 61, 344–349. [Google Scholar] [CrossRef] [PubMed]
© 2019 by the authors. Licensee MDPI, Basel, Switzerland. This article is an open access article distributed under the terms and conditions of the Creative Commons Attribution (CC BY) license (http://creativecommons.org/licenses/by/4.0/).



