Humoral Response in Cattle Vaccinated with the Heterologous Sheeppox Virus Vaccine for Protection Against Lumpy Skin Disease: A Field Study
Abstract
1. Introduction
2. Materials and Methods
2.1. Study Area
2.2. Animals
2.3. Sample Collection
2.4. DNA Extraction and PCR Amplification
2.5. ELISA
2.6. Immunoblotting
2.7. CapPV Strains and P32 Sequence Analysis
2.8. In Silico Prediction of Linear and Conformational B- and T-Cell Epitopes for P32 Protein
2.9. Statistical Analysis
3. Results
3.1. PCR
3.2. Detection of CapPV Seropositive Animals by IDvet-ELISA
3.3. Detection of CapPV Seropositive Animals by Immunoblotting
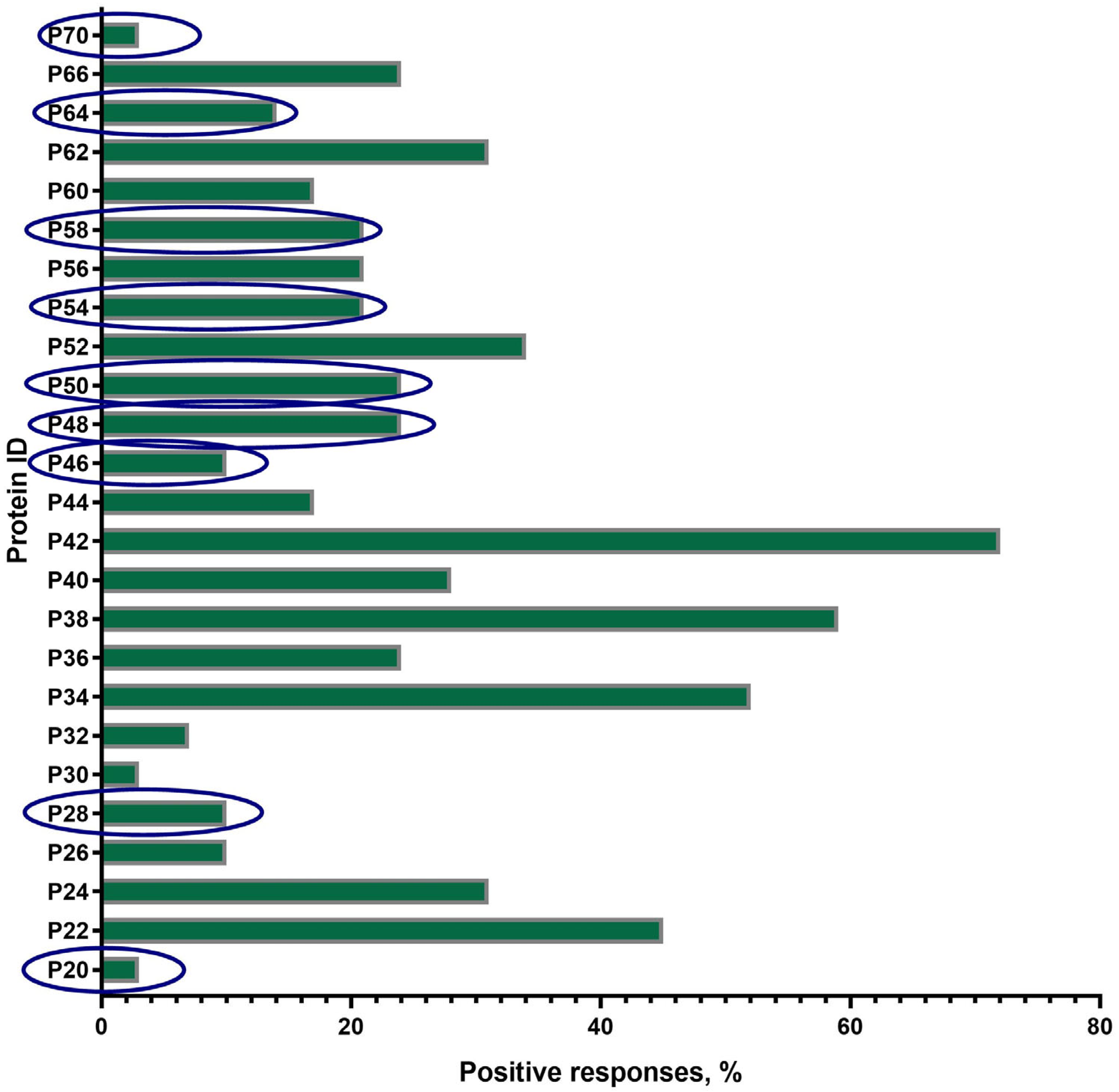
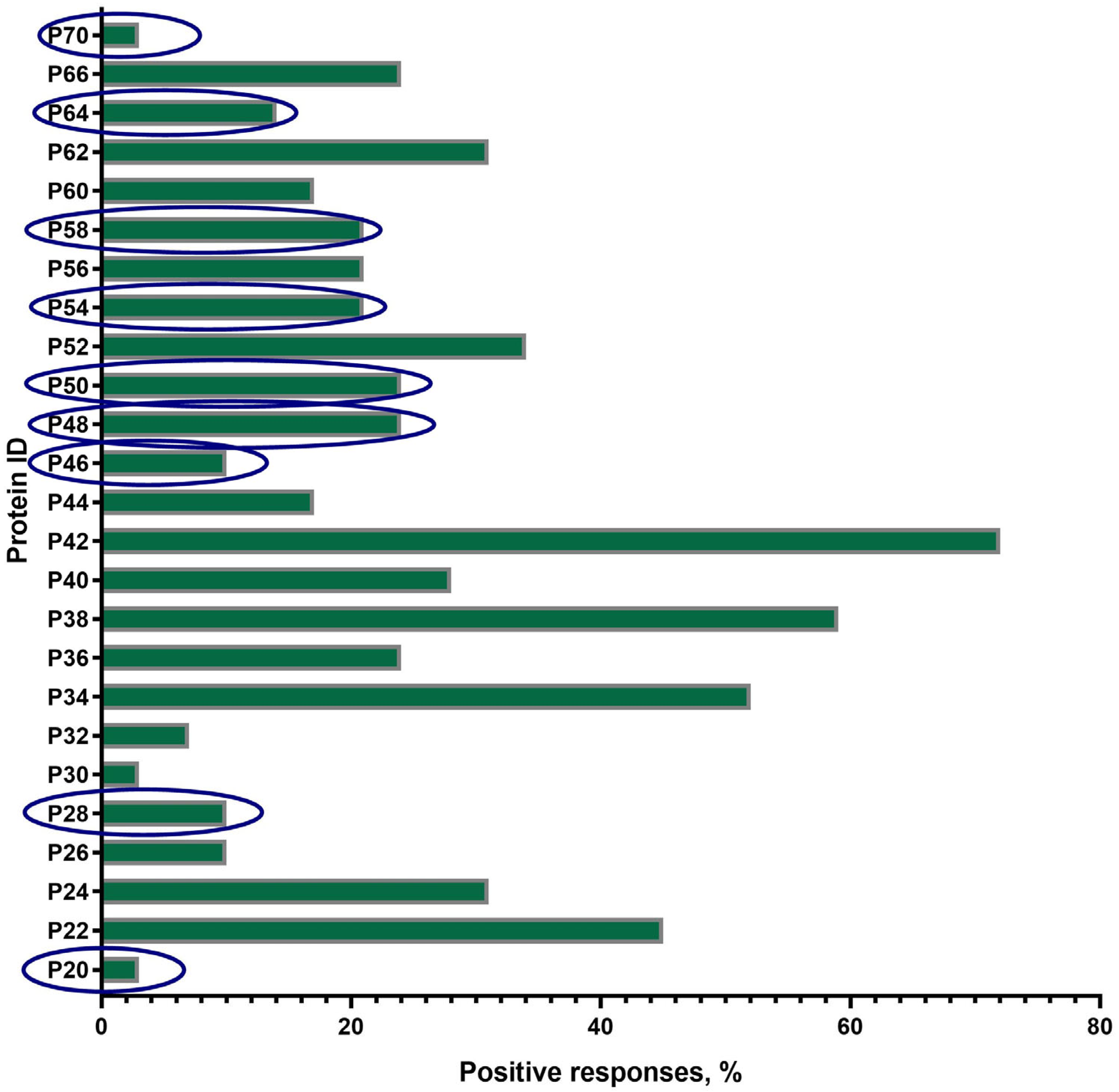
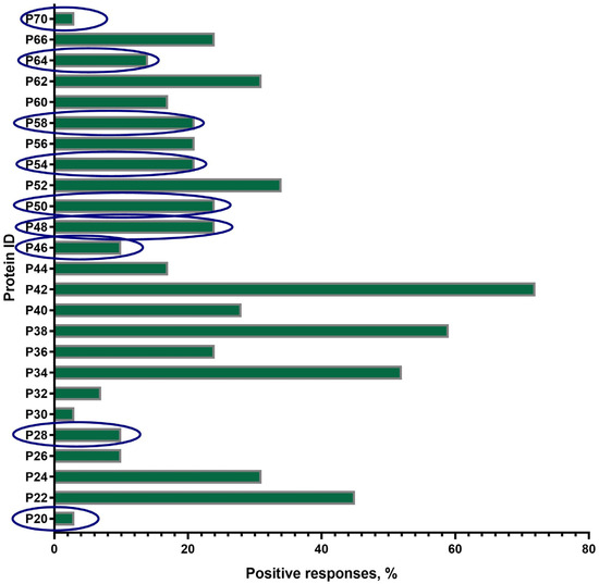
3.4. Spectrum of Immunoreactive Antigens Identified by Immunoblotting
3.4.1. IDvet-ELISA Negative Sera
3.4.2. IDvet-ELISA-Positive Sera
3.4.3. The Panel of the Most Immunoreactive Antigens
3.5. Polymorphism of P32 Protein
3.6. Epitope Analysis of P32 Protein by In Silico Method
3.6.1. B-Cell Linear Epitopes
3.6.2. B-Cell Conformational Epitopes
3.6.3. T-Cell Epitopes
4. Discussion
5. Conclusions
Supplementary Materials
Author Contributions
Funding
Institutional Review Board Statement
Informed Consent Statement
Data Availability Statement
Acknowledgments
Conflicts of Interest
References
- Tuppurainen, E.S.M.; Venter, E.H.; Shisler, J.L.; Gari, G.; Mekonnen, G.A.; Juleff, N.; Lyons, N.A.; De Clercq, K.; Upton, C.; Bowden, T.R.; et al. Review: Capripoxvirus diseases: Current status and opportunities for control. Transbound. Emerg. Dis. 2017, 64, 729–745. [Google Scholar] [CrossRef] [PubMed]
- Sprygin, A.; Pestova, Y.; Wallace, D.B.; Tuppurainen, E.; Kononov, A.V. Transmission of lumpy skin disease virus: A short review. Virus. Res. 2019, 269, 197637. [Google Scholar] [CrossRef] [PubMed]
- Kononov, A.; Byadovskaya, O.; Wallace, B.D.; Prutnikov, P.; Pestova, Y.; Kononova, S.; Nesterov, A.; Rusaleev, V.; Lozovoy, D.; Sprygin, A. Non-vector-borne transmission of lumpy skin disease virus. Sci. Rep. 2020, 10, 7436. [Google Scholar]
- Nesterov, A.; Mazloum, A.; Byadovskaya, O.; Shumilova, I.; Schalkwyk, A.V.; Krotova, A.; Kirpichenko, V.; Donnik, I.; ChvalaIlya, I.; Sprygin1, A. Experimentally controlled study indicates that the naturally occurring recombinant vaccine-like lumpy skin disease strain Udmurtiya/2019, detected during freezing winter in northern latitudes, is transmitted via indirect contact. Front. Vet. Sci. 2022, 9, 1001426. [Google Scholar] [CrossRef]
- Babiuk, S.; Bowden, T.R.; Boyle, D.B.; Wallace, D.B.; Kitching, R.P. Capripoxviruses: An emerging worldwide threat to sheep, goats and cattle. Transbound. Emerg. Dis. 2008, 55, 263–272. [Google Scholar] [CrossRef]
- Datten, B.; Chaudhary, A.A.; Sharma, S.; Singh, L.; Rawat, K.D.; Ashraf, M.S.; Alneghery, L.M.; Aladwani, M.O.; Rudayni, H.A.; Dayal, D.; et al. An Extensive Examination of the Warning Signs, Symptoms, Diagnosis, Available Therapies, and Prognosis for Lumpy Skin Disease. Viruses 2023, 15, 604. [Google Scholar] [CrossRef]
- Sprygin, A.; Artyuchova, E.; Babin, Y.; Prutnikov, P.; Kostrova, E.; Byadovskaya, O.; Kononov, A. Epidemiological char-acterization of lumpy skin disease outbreaks in Russia in 2016. Transbound. Emerg. Dis. 2018, 65, 1514–1521. [Google Scholar] [CrossRef]
- Akther, M.; Akter, S.H.; Sarker, S.; Aleri, J.W.; Annandale, H.; Abraham, S.; Uddin, J.M. Global burden of lumpy skin disease, outbreaks, and future challenges. Viruses 2023, 15, 1861. [Google Scholar] [CrossRef]
- Saltykov, Y.V.; Kolosova, A.A.; Feodorova, V.A. Update of lumpy skin disease: Emergence in Asian Part of Eurasia. Acta Vet. 2022, 72, 287–299. [Google Scholar] [CrossRef]
- Wilhelm, L.; Ward, M.P. The spread of lumpy skin disease virus across Southeast Asia: Insights from surveillance. Transbound. Emerg. Dis. 2023, 4, 3972359. [Google Scholar] [CrossRef]
- Calistri, P.; De Clercq, K.; Gubbins, S.; Klement, E.; Stegeman, A.; Cortiñas, A.J.; Marojevic, D.; Antoniou, S.E.; Broglia, A. Lumpy skin disease epidemiological report IV: Data collection and analysis. EFSA J. 2020, 18, e06010. [Google Scholar] [CrossRef] [PubMed]
- Byadovskaya, O.; Prutnikov, P.; Shalina, K.; Babiuk, S.; Perevozchikova, N.; Korennoy, F.; Chvala, I.; Kononov, A.; Sprygin, A. The changing epidemiology of lumpy skin disease in Russia since the first introduction from 2015 to 2020. Transbound. Emerg. Dis. 2022, 69, e2551–e2562. [Google Scholar] [CrossRef] [PubMed]
- fsvps.gov.ru. Available online: https://fsvps.gov.ru/jepizooticheskaja-situacija/rossija/svodnye-kartograficheskie-dannye-hronologii-neblagopoluchija-v-rf-po-osobo-opasnym-i-jekonomicheski-znachimym-boleznjam-zhivotnyh/ (accessed on 1 September 2025).
- Sprygin, A.; Pestova, Y.; Prutnikov, P.; Kononov, A. Detection of vaccine-like lumpy skin disease virus in cattle and Musca domestica L. flies in an outbreak of lumpy skin disease in Russia in 2017. Transbound. Emerg. Dis. 2018, 65, 1137–1144. [Google Scholar] [CrossRef]
- Kononov, A.; Byadovskaya, O.; Kononova, S.; Yashin, R.; Zinyakov, N.; Mischenko, V.; Perevozchikova, N.; Sprygin, A. Detection of vaccine-like strains of lumpy skin disease virus in outbreaks in Russia in 2017. Arch. Virol. 2019, 164, 1575–1585. [Google Scholar] [CrossRef] [PubMed]
- Sprygin, A.; Pestova, Y.; Bjadovskaya, O.; Prutnikov, P.; Zinyakov, N.; Kononova, S.; Ruchnova, O.; Lozovoy, D.; Chvala, I.; Kononov, A. Evidence of recombination of vaccine strains of lumpy skin disease virus with field strains, causing disease. PLoS ONE 2020, 15, e0232584. [Google Scholar] [CrossRef]
- Saltykov, Y.V.; Kolosova, A.A.; Filonova, N.N.; Chichkin, A.N.; Feodorova, V.A. Genetic evidence of multiple introductions of lumpy skin disease virus into Saratov Region, Russia. Pathogens 2021, 10, 716. [Google Scholar] [CrossRef]
- Haegeman, A.; De Leeuw, I.; Mostin, L.; Campe, W.V.; Aerts, L.; Venter, E.; Tuppurainen, E.; Saegerman, C.; De Clercq, K. Comparative evaluation of lumpy skin disease virus-based live attenuated vaccines. Vaccines 2021, 9, 473. [Google Scholar] [CrossRef]
- Tuppurainen, E.; Dietze, K.; Wolff, J.; Bergmann, H.; Beltran-Alcrudo, D.; Fahrion, A.; Lamien, C.E.; Busch, F.; Sauter-Louis, C.; Conraths, F.J.; et al. Review: Vaccines and vaccination against lumpy skin disease. Vaccines 2021, 9, 1136. [Google Scholar] [CrossRef]
- Ben-Gera, J.; Klement, E.; Khinich, E.; Stram, Y.; Shpigel, N.Y. Comparison of the efficacy of Neethling lumpy skin disease virus and x10RM65 sheep-pox live attenuated vaccines for the prevention of lumpy skin disease—The results of a randomized controlled field study. Vaccine 2015, 33, 4837–4842. [Google Scholar] [CrossRef]
- Abutarbush, S.M.; Hananeh, W.M.; Ramadan, W.; Al Sheyab, O.M.; Alnajjar, A.R.; Al Zoubi, I.G.; Knowles, N.J.; Bachanek-Bankowska, K.; Tuppurainen, E.S. Adverse reactions to field vaccination against lumpy skin disease in Jordan. Transbound. Emerg. Dis. 2016, 63, e213–e219. [Google Scholar] [CrossRef]
- Agianniotaki, E.I.; Chaintoutis, S.C.; Haegeman, A.; Tasioudi, K.E.; De Leeuw, I.; Katsoulos, P.D.; Sachpatzidis, A.; De Clercq, K.; Alexandropoulos, T.; Polizopoulou, Z.S.; et al. Development and validation of a TaqMan probe-based real-time PCR method for the differentiation of wild type lumpy skin disease virus from vaccine virus strains. J. Virol. Methods 2017, 249, 48–57. [Google Scholar] [CrossRef] [PubMed]
- Agianniotaki, E.I.; Tasioudi, K.E.; Chaintoutis, S.C.; Iliadou, P.; Mangana-Vougiouka, O.; Kirtzalidou, A.; Alexandropoulos, T.; Sachpatzidis, A.; Plevraki, E.; Dovas, C.I.; et al. Lumpy skin disease outbreaks in Greece during 2015–16, implementation of emergency immunization and genetic differentiation between field isolates and vaccine virus strains. Vet. microbiol. 2017, 201, 78–84. [Google Scholar] [CrossRef] [PubMed]
- Katsoulos, P.D.; Chaintoutis, S.C.; Dovas, C.I.; Polizopoulou, Z.S.; Brellou, G.D.; Agianniotaki, E.I.; Tasioudi, K.E.; Chondrokouki, E.; Papadopoulos, O.; Karatzias, H.; et al. Investigation on the incidence of adverse reactions, viraemia and haematological changes following field immunization of cattle using a live attenuated vaccine against lumpy skin disease. Transbound. Emerg. Dis. 2018, 65, 174–185. [Google Scholar] [CrossRef] [PubMed]
- Bamouh, Z.; Hamdi, J.; Fellahi, S.; Khayi, S.; Jazouli, M.; Tadlaoui, K.O.; Fihri, O.F.; Tuppurainen, E.; Elharrak, M. Investigation of post vaccination reactions of two live attenuated vaccines against lumpy skin disease of cattle. Vaccines 2021, 9, 621. [Google Scholar] [CrossRef]
- Tuppurainen, E.S.; Pearson, C.R.; Bachanek-Bankowska, K.; Knowles, N.J.; Amareen, S.; Frost, L.; Henstock, M.R.; Lamien, C.E.; Diallo, A.; Mertens, P.P. Characterization of sheep pox virus vaccine for cattle against lumpy skin disease virus. Antiviral. Res. 2014, 109, 1–6. [Google Scholar] [CrossRef]
- Şevik, M.; Doğan, M. Epidemiological and molecular studies on lumpy skin disease outbreaks in Turkey during 2014–2015. Transbound. Emerg. Dis. 2017, 64, 1268–1279. [Google Scholar] [CrossRef]
- Tuppurainen, E.S.; Oura, C.A. Review: Lumpy skin disease: An emerging threat to Europe, the Middle East and Asia. Transbound. Emerg. Dis. 2012, 59, 40–48. [Google Scholar] [CrossRef]
- Hamdi, J.; Bamouh, Z.; Jazouli, M.; Boumart, Z.; Tadlaoui, K.O.; Fihri, O.F.; El Harrak, M. Experimental evaluation of the cross-protection between Sheeppox and bovine Lumpy skin vaccines. Sci. Rep. 2020, 10, 8888. [Google Scholar] [CrossRef]
- Gari, G.; Abie, G.; Gizaw, D.; Wubete, A.; Kidane, M.; Asgedom, H.; Bayissa, B.; Ayelet, G.; Oura, C.A.; Roger, F.; et al. Evaluation of the safety, immunogenicity and efficacy of three capripoxvirus vaccine strains against lumpy skin disease virus. Vaccine 2015, 33, 3256–3261. [Google Scholar] [CrossRef]
- Zhugunissov, K.; Bulatov, Y.; Orynbayev, M.; Kutumbetov, L.; Abduraimov, Y.; Shayakhmetov, Y.; Taranov, D.; Amanova, Z.; Mambetaliyev, M.; Absatova, Z.; et al. Goatpox virus (G20-LKV) vaccine strain elicits a protective response in cattle against lumpy skin disease at challenge with lumpy skin disease virulent field strain in a comparative study. Vet. Microbiol. 2020, 245, 108695. [Google Scholar] [CrossRef]
- Kumar, N.; Barua, S.; Kumar, R.; Khandelwal, N.; Kumar, A.; Verma, A.; Singh, L.; Godara, B.; Chander, Y.; Kumar, G.; et al. Evaluation of the safety, immunogenicity and efficacy of a new live-attenuated lumpy skin disease vaccine in India. Virulence 2023, 14, 2190647. [Google Scholar] [CrossRef]
- Hakobyan, V.; Sargsyan, K.; Kharatyan, S.; Elbakyan, H.; Sargsyan, V.; Markosyan, T.; Vardanyan, T.; Badalyan, M.; Achenbach, J.E. The serological response in cattle following administration of a heterologous sheep pox virus strain vaccine for protection from lumpy skin disease; current situation in Armenia. Vet. Sci. 2023, 10, 102. [Google Scholar] [CrossRef] [PubMed]
- Enul, H.; Uzar, S.; Satir, E.; Sarac, F.; Adiay, C.; Parmaksiz, A.; Colak, G.; Asar, E. Humoral immune response profile of a cattle herd vaccinated with 5- and 10-times Bakirköy strain sheep pox vaccine under field conditions. Vaccine 2024, 42, 369–374. [Google Scholar] [CrossRef] [PubMed]
- Hakobyan, V.; Sargsyan, K.; Elbakyan, H.; Sargsyan, V.; Markosyan, T.; Chobanyan, G.; Badalyan, M.; Kharatyan, S. Duration of immunity in cattle to lumpy skin disease utilizing a sheep pox vaccine. Vet. Sci. 2024, 11, 164. [Google Scholar] [CrossRef] [PubMed]
- Milovanović, M.; Dietze, K.; Milićević, V.; Radojičić, S.; Valčić, M.; Moritz, T.; Hoffmann, B. Humoral immune response to repeated lumpy skin disease virus vaccination and performance of serological tests. BMC Vet. Res. 2019, 15, 80. [Google Scholar] [CrossRef]
- Krešić, N.; Šimić, I.; Bedeković, T.; Acinger-Rogić, Ž.; Lojkić, I. Evaluation of serological tests for detection of antibodies against Lumpy Skin Disease Virus. J. Clin. Microbiol. 2020, 58, e00348-20. [Google Scholar] [CrossRef]
- Milovanović, M.; Milićević, V.; Radojičić, S.; Valčić, M.; Hoffmann, B.; Dietze, K. Suitability of individual and bulk milk samples to investigate the humoral immune response to lumpy skin disease vaccination by ELISA. Virol. J. 2020, 17, 28. [Google Scholar] [CrossRef]
- Berguido, F.J.; Kangethe, R.T.; Shell, W.; Wijewardana, V.; Grabherr, R.; Cattoli, G.; Lamien, C.E. Different neutralizing antibody responses of heterologous sera on sheeppox and lumpy skin disease viruses. Viruses 2024, 16, 1127. [Google Scholar] [CrossRef]
- Sprygin, A.; Shalina, K.; van Schalkwyk, A.; Mazloum, A.; Shcherbinin, S.; Krotova, A.; Byadovskaya, O.; Prokhvatilova, L.; Chvala, I. Molecular and epidemiological analyses of sheeppox outbreaks in Russia from 2013 to 2021. Transbound. Emerg. Dis. 2023, 2023, 8934280. [Google Scholar] [CrossRef]
- Le Goff, C.; Lamien, C.E.; Fakhfakh, E.; Chadeyras, A.; Aba-Adulugba, E.; Libeau, G.; Tuppurainen, E.; Wallace, D.B.; Adam, T.; Silber, R.; et al. Capripoxvirus G-protein-coupled chemokine receptor: A host-range gene suitable for virus animal origin discrimination. J. Gen. Virol. 2009, 90, 1967–1977. [Google Scholar] [CrossRef]
- Ireland, D.C.; Binepal, Y.S. Improved detection of capripoxvirus in biopsy samples by PCR. J. Virol. Methods 1998, 74, 1–7. [Google Scholar] [CrossRef]
- Feodorova, V.A.; Zaitsev, S.S.; Lyapina, A.M.; Kichemazova, N.V.; Saltykov, Y.V.; Khizhnyakova, M.A.; Evstifeev, V.V.; Larionova, O.S. Whole genome sequencing characteristics of Chlamydia psittaci caprine AMK-16 strain, a promising killed whole cell veterinary vaccine candidate against chlamydia infection. PLoS ONE 2023, 18, e0293612. [Google Scholar] [CrossRef]
- Hughes, L.; Wilkins, K.; Goldsmith, C.S.; Smith, S.; Hudson, P.; Patel, N.; Karem, K.; Damon, I.; Li, Y.; Olson, V.A.; et al. A rapid Orthopoxvirus purification protocol suitable for high-containment laboratories. J. Virol. Methods 2017, 243, 68–73. [Google Scholar] [CrossRef] [PubMed]
- Fay, P.C.; Cook, C.G.; Wijesiriwardana, N.; Tore, G.; Comtet, L.; Carpentier, A.; Shih, B.; Freimanis, G.; Haga, I.R.; Beard, P.M. Madin-Darby bovine kidney (MDBK) cells are a suitable cell line for the propagation and study of the bovine poxvirus lumpy skin disease virus. J. Virol. Methods 2020, 285, 113943. [Google Scholar] [CrossRef] [PubMed]
- Carn, V.M.; Kitching, R.P.; Hammond, J.M.; Chand, P. Use of a recombinant antigen in an indirect ELISA for detecting bovine antibody to capripoxvirus. J. Virol. Methods 1994, 49, 285–294, Erratum in J. Virol. Methods 1995, 53, 273. [Google Scholar] [CrossRef] [PubMed]
- Venkatesan, G.; Kumar Teli, M.; Sankar, M.; Kumar, A.; Dashprakash, M.; Arya, S.; Madhavan, A.; Ramakrisnan, M.A.; Pandey, A.B. Expression and evaluation of recombinant P32 protein based ELISA for sero-diagnostic potential of capripox in sheep and goats. Mol. Cell. Probes 2018, 37, 48–54. [Google Scholar] [CrossRef]
- Kushwaha, A.; Kumar, A.; Madhavan, A.; Goswami, D.; Poulinlu, G.; Venkatesan, G. Immunogenic proteins of capripox virus: Potential applications in diagnostic/prophylactic developments. Hosts Viruses 2019, 6, 130–140. [Google Scholar] [CrossRef]
- Sumana, K.; Revanaiah, Y.; Shivachandra, S.B.; Mothay, D.; Apsana, R.; Saminathan, M.; Basavaraj, S.; Reddy, G.B.M. Molecular phylogeny of Capripoxviruses based on major immunodominant protein (P32) reveals circulation of host specific sheeppox and goatpox viruses in small ruminants of India. Infect. Genet. Evol. 2020, 85, 104472. [Google Scholar] [CrossRef]
- Tcherepanov, V.; Ehlers, A.; Upton, C. Genome Annotation Transfer Utility (GATU): Rapid annotation of viral genomes using a closely related reference genome. BMC Genom. 2006, 7, 150. [Google Scholar] [CrossRef]
- Tamura, K.; Stecher, G.; Kumar, S. MEGA11: Molecular Evolutionary Genetics Analysis Version 11. Mol. Biol. Evol. 2021, 38, 3022–3027. [Google Scholar] [CrossRef]
- Ponomarenko, J.V.; Bui, H.H.; Li, W.; Fusseder, N.; Bourne, P.E.; Sette, A.; Peters, B. ElliPro: A new structure-based tool for the prediction of antibody epitopes. BMC Bioinform. 2008, 9, 514. [Google Scholar] [CrossRef] [PubMed]
- Feodorova, V.A.; Lyapina, A.M.; Khizhnyakova, M.A.; Zaitsev, S.S.; Sayapina, L.V.; Arseneva, T.E.; Trukhachev, A.L.; Lebedeva, S.A.; Telepnev, M.V.; Ulianova, O.V.; et al. Humoral and cellular immune responses to Yersinia pestis Pla antigen in humans immunized with live plague vaccine. PLoS Negl. Trop. Dis. 2018, 12, e0006511. [Google Scholar] [CrossRef] [PubMed]
- Feodorova, V.A.; Lyapina, A.M.; Khizhnyakova, M.A.; Zaitsev, S.S.; Saltykov, Y.V.; Motin, V.L. Yersinia pestis antigen F1 but not LcrV induced humoral and cellular immune responses in humans immunized with live plague vaccine—Comparison of immunoinformatic and immunological approaches. Vaccines 2020, 8, 698. [Google Scholar] [CrossRef] [PubMed]
- Andreatta, M.; Nielsen, M. Gapped sequence alignment using artificial neural networks: Application to the MHC class I system. Bioinformatics 2016, 32, 511–517. [Google Scholar] [CrossRef]
- Doytchinova, I.; Flower, D.R. VAXIJN: A server for prediction of protective antigens, tumour antigens and subunit vaccines. BMC Bioinform. 2007, 8, 4. [Google Scholar] [CrossRef]
- Calis, J.J.; Maybeno, M.; Greenbaum, J.A.; Weiskopf, D.; De Silva, A.D.; Sette, A.; Keşmir, C.; Peters, B. Properties of MHC class I presented peptides that enhance immunogenicity. PLoS Comput. Biol. 2013, 9, e1003266. [Google Scholar] [CrossRef]
- Gupta, S.; Kapoor, P.; Chaudhary, K.; Gautam, A.; Kumar, R.; Open Source Drug Discovery Consortium; Raghava, G.P. In silico approach for predicting toxicity of peptides and proteins. PLoS ONE 2013, 8, e73957. [Google Scholar] [CrossRef]
- Nguyen, M.N.; Krutz, N.L.; Limviphuvadh, V.; Lopata, A.L.; Gerberick, G.F.; Maurer-Stroh, S. AllerCatPro 2.0: A web server for predicting protein allergenicity potential. Nucleic Acids Res. 2022, 50, W36–W43. [Google Scholar] [CrossRef]
- Gari, G.; Biteau-Coroller, F.; LeGoff, C.; Caufour, P.; Roger, F. Evaluation of indirect fluorescent antibody test (IFAT) for the diagnosis and screening of lumpy skin disease using Bayesian method. Vet. Microbiol. 2008, 129, 269–280. [Google Scholar] [CrossRef]
- Abdelwahab, M.G.; Khafagy, H.A.; Moustafa, A.M.; Saad, M.A. Evaluation of humoral and cell-mediated immunity of lumpy skin disease vaccine prepared from local strain in calves and its related to maternal immunity. J. Am. Sci. 2016, 12, 38–45. [Google Scholar]
- Norian, R.; Ahangaran, A.N.; Vashovi, H.R.; Azadmehr, A. Evaluation of humoral and cell-mediated immunity of two capripoxvirus vaccine strains against lumpy skin disease virus. Iranian J. Virol. 2016, 10, 1–11. [Google Scholar] [CrossRef]
- Varshovi, H.R.; Norian, R.; Azadmehr, A.; Ahangaran, A.N. Immune response characteristics of Capri pox virus vaccines following emergency vaccination of cattle against lumpy skin disease virus. Iranian J. Vet. Sci. Technol. 2018, 9, 33–40. [Google Scholar]
- Regge, N. Lumpy skin disease. In Manual of Diagnostic Tests and Vaccines for Terrestrial Animals, 3rd ed.; World Organization for Animal Health (WOAH): Paris, France, 2024; De. 3.4.12; pp. 1–18. [Google Scholar]
- Haegeman, A.; De Leeuw, I.; Saduakassova, M.; Van Campe, W.; Aerts, L.; Philips, W.; Sultanov, A.; Mostin, L.; De Clercq, K. The importance of quality control of LSDV live attenuated vaccines for its safe application in the field. Vaccines 2021, 9, 1019. [Google Scholar] [CrossRef]
- Philips, W.; Haegeman, A.; Krešić, N.; Mostin, L.; De Regge, N. Neethling Strain-Based Homologous Live Attenuated LSDV Vaccines Provide Protection Against Infection with a Clade 2.5 Recombinant LSDV Strain. Vaccines 2024, 13, 8. [Google Scholar] [CrossRef]
- Haegeman, A.; Philips, W.; Mostin, L.; De Leeuw, I.; Van Campe, W.; Saegerman, C.; De Clercq, K.; De Regge, N. A goatpox but not sheeppox heterologous live attenuated vaccines provide complete protection against lumpy skin disease in cattle under experimental conditions. Sci. Rep. 2025, 15, 26078. [Google Scholar] [CrossRef]





| Group | Sup-Group | The Time Points of Sampling | Age, Months, Median (25th–75th Percentile) | The Number of Positive Responses in | |||||
|---|---|---|---|---|---|---|---|---|---|
| IDvet-ELISA | Immunoblotting | PCR | |||||||
| Abs. | % | Abs. | % | Abs. | % | ||||
| A | 1. | Before the first vaccination | 6.0 | 0/30 | 0 | 24/30 | 80.0 | 0/30 | 0 |
| 2. | 28 days post-vaccination | 7.0 | 0/30 | 0 | 30/30 | 100 | 0/30 | 0 | |
| 3. | One year post-vaccination, one month before revaccination | 17.0 | 0/30 | 0 | 25/30 | 83.3 | 0/30 | 0 | |
| 4. | 28 days post-revaccination | 19.0 | 25/30 | 83.3 | 30/30 | 100 | 0/30 | 0 | |
| 5. | Three months post-revaccination | 21.0 | 0/30 | 0 | N/A | N/A | 0/30 | 0 | |
| B | 6. | Before the first vaccination | 46.5 (17.0–72.0) | 0/30 | 0 | 0/30 | 0 | 0/30 | 0 |
| 7. | 28 days post-vaccination | 47.5 (18.0–73.0) | 0/30 | 0 | 0/30 | 0 | 0/30 | 0 | |
| 8. | One year post-vaccination, before revaccination | 59.5 (30.0–85.0) | 0/30 | 0 | 0/30 | 0 | 0/30 | 0 | |
| 9. | 28 days post-revaccination | 60.5 (31.0–86.0) | 9/30 | 30 | 30/30 | 100 | 0/30 | 0 | |
| 10. | Three months post-revaccination | 62.5 (33.0–88.0) | 0/30 | 0 | 30/30 | 100 | 0/30 | 0 | |
| C | 11. | Unvaccinated with no LSD (negative control) | 6.0 | 0/3 | 0 | 0/3 | 0 | 0/3 | 0 |
| 12. | Vaccinated with LSD (positive control) | >6.0 | 1/1 | 100 | 1/1 | 100 | 1/1 | 100 | |
| CapPV Strain ID | Epitope | B-Cell Epitope Peptide Composition | Position, Start–end | Number of Residues | Immunogenicity | Antigenicity | Allergenicity | Toxicity | 3D Structure | ||
|---|---|---|---|---|---|---|---|---|---|---|---|
| Scores | Status | Scores | Status | ||||||||
| The LSDV Neethling LW1959 | 1 | IVGREISDVVPELKSD | 11–26 | 16 | 0.02868 | Immunogen | 0.7722 | Antigen | Non-Allergen | None | Figure S4—1 |
| 2 | KVDTVKDFKNSDVNFFFKDKKDISLS | 33–58 | 26 | −0.57546 | None | 1.0605 | Antigen | Non-Allergen | None | Figure S4—2 | |
| 3 | VEKSGGVENFTEYFSGLCNALCTKEAK | 67–93 | 27 | 0.03989 | Immunogen | 0.3237 | Non-Antigen | Non-Allergen | None | Figure S4—3 | |
| 4 | DIKNSEN | 110–116 | 7 | −0.14336 | None | 1.5066 | Antigen | Non-Allergen | None | Figure S4—4 | |
| 5 | IEMQEKNI | 139–146 | 8 | −0.28452 | None | 2.1634 | Antigen | Non-Allergen | None | Figure S4—5 | |
| 6 | TFHNSNSRILFNQENNNFMYSYTGGYD | 154–180 | 27 | −0.21097 | None | 0.3513 | Non-Antigen | Non-Allergen | None | Figure S4—6 | |
| 7 | NEIIKNKGISTS | 198–209 | 12 | −0.20784 | None | 0.0808 | Non-Antigen | Non-Allergen | None | Figure S4—7 | |
| 8 | KELKL | 219–223 | 5 | −0.2206 | None | N/A | N/A | Non-Allergen | None | Figure S4—8 | |
| The SPPV NISKHI | 1 | IVGREISDVVPELKSDN | 11–27 | 17 | −0.02268 | None | 0.8316 | Antigen | Non-Allergen | None | Figure S4—1 |
| 2 | YKKVDTVKDFKNSDVNFFLKDKKDDISLS | 31–59 | 29 | −0.69398 | None | 1.0220 | Antigen | Non-Allergen | None | Figure S4—2 | |
| 3 | VEKSGGVENFTEYFSGLCNALCTKEAK | 68–94 | 27 | 0.03989 | Immunogen | 0.3237 | Non-Antigen | Non-Allergen | None | Figure S4—3 | |
| 4 | DIKNSEN | 111–117 | 7 | −0.14336 | None | 1.5066 | Antigen | Non-Allergen | None | Figure S4—4 | |
| 5 | EKNI | 144–147 | 4 | −0.0021 | None | N/A | N/A | Non-Allergen | None | Figure S4—5 | |
| 6 | TFHNSNSRILFNQENNNFMYSYTGGYD | 155–181 | 27 | −0.21097 | None | 0.3513 | Non-Antigen | Non-Allergen | None | Figure S4—6 | |
| 7 | EIIKNKGISTS | 200–210 | 11 | −0.34876 | None | 0.2495 | Non-Antigen | Non-Allergen | None | Figure S4—7 | |
| 8 | KELKL | 220–224 | 5 | −0.2206 | None | N/A | Not Available | Non-Allergen | None | Figure S4—8 | |
| CapPV Strain ID | Epitope | B-Cell Epitope Residues and Position | Number of Residues | Score |
|---|---|---|---|---|
| The LSDV Neethling_vaccine_LW_1959 | 1 | A:N27, A:I29, A:F30, A:K33, A:V34, A:D35, A:T36, A:V37, A:K38, A:D39, A:F40, A:K41, A:N42, A:S43, A:D44, A:V45, A:N46, A:F47, A:F48, A:F49, A:K50, A:D51, A:K52, A:D54, A:I55, A:S56, A:L57, A:S58, A:V67, A:E68, A:K69, A:S70, A:G71, A:G72, A:V73, A:E74, A:N75, A:F76, A:T77, A:E78, A:F80, A:S81, A:G82, A:L83, A:C84, A:N85, A:A86, A:L87, A:C88, A:T89, A:K90, A:E91, A:K93, A:G178, A:Y179, A:N198, A:E199, A:I201, A:K202, A:N203, A:K204, A:G205, A:I206, A:S207, A:T208, A:S209, A:F212 | 67 | 0.723 |
| 2 | A:K219, A:E220, A:L221, A:K222, A:L223 | 5 | 0.67 | |
| 3 | A:K117, A:D125, A:T127, A:D130, A:L131, A:I132, A:T133, A:N136, A:I139, A:E140, A:Q142, A:E143, A:K144, A:F155, A:H156, A:N157, A:S158, A:N159, A:S160, A:R161, A:I162, A:L163, A:N165, A:Q166, A:E167, A:N168, A:N169, A:N170, A:F171, A:M172, A:Y173, A:S174, A:Y175, A:T176, A:G177, A:N229, A:D230, A:S231, A:S232, A:K233, A:Y234, A:I235, A:L236, A:H237, A:N238 | 45 | 0.636 | |
| 4 | A:A2, A:D3, A:D110, A:K112, A:N113, A:S114, A:E115, A:N116 | 8 | 0.573 | |
| The SPPV vaccine strain NISKHI | 1 | A:F47, A:F48, A:L49, A:K52 | 4 | 0.841 |
| 2 | A:F81, A:S82, A:G83, A:L84, A:C85, A:N86, A:A87, A:L88, A:C89, A:T90, A:K91, A:E92, A:K94, A:G179, A:Y180, A:E200, A:K203, A:N204, A:K205, A:G206, A:I207, A:S208, A:T209, A:S210, A:F213 | 25 | 0.746 | |
| 3 | A:Y31, A:K32, A:K33, A:V34, A:D35, A:T36, A:V37, A:K38, A:D39, A:F40, A:K41, A:N42, A:S43, A:D44, A:V45, A:N46, A:K67, A:V68, A:E69, A:K70, A:S71, A:G72, A:G73, A:V74, A:E75, A:N76, A:F77, A:T78, A:E79, A:S106, A:Y107, A:I202 | 32 | 0.698 | |
| 4 | A:I134, A:N137, A:I140, A:E141, A:E144, A:K145, A:F156, A:H157, A:N158, A:S159, A:N160, A:S161, A:R162, A:I163, A:L164, A:N166, A:Q167, A:E168, A:N169, A:N170, A:N171, A:F172, A:M173, A:Y174, A:S175, A:Y176, A:T177, A:G178, A:N230, A:D231, A:S232, A:S233, A:K234, A:Y235 | 34 | 0.69 | |
| 5 | A:K220, A:E221, A:L222, A:K223, A:L224 | 5 | 0.655 | |
| 6 | A:D111, A:K113, A:N114, A:S115, A:E116, A:N117 | 6 | 0.569 | |
| 7 | A:K53, A:D54, A:D55, A:I56, A:S57, A:L58, A:S59 | 7 | 0.553 | |
| 8 | A:L23, A:S25, A:D26 | 3 | 0.553 | |
| 9 | A:I11, A:V12, A:G13, A:R14, A:E15, A:I16, A:S17, A:D18, A:V19, A:V20, A:P21, A:E22, A:D125 | 13 | 0.535 |
| Epitope | T-Cell Epitope Peptide Composition | Number of Residues | Immunogenicity | Antigenicity | Allergenicity | Presence in CapPV Strain ID | |||
|---|---|---|---|---|---|---|---|---|---|
| Scores | Status | Scores | Status | The LSDV Neethling Vaccine | The SPPV Vaccine Strain NISKHI | ||||
| 1 | KNIDIFQL | data | 0.20756 | Immunogen | 0.6259 | Antigen | Non-Allergen | + | + |
| 2 | ISDVVPEL | data | 0.163 | Immunogen | 0.6177 | Antigen | Non-Allergen | + | + |
| 3 | EISDVVPEL | data | 0.09682 | Immunogen | 0.9824 | Antigen | Non-Allergen | + | + |
| 4 | REISDVVPEL | data | 0.02653 | Immunogen | 0.6901 | Antigen | Non-Allergen | + | + |
| 5 | KNSDVNFFF | data | 0.16993 | Immunogen | 1.0919 | Antigen | Non-Allergen | + | − |
| 6 | KNSDVNFFL | data | 0.16993 | Immunogen | 0.6480 | Antigen | Non-Allergen | − | + |
Disclaimer/Publisher’s Note: The statements, opinions and data contained in all publications are solely those of the individual author(s) and contributor(s) and not of MDPI and/or the editor(s). MDPI and/or the editor(s) disclaim responsibility for any injury to people or property resulting from any ideas, methods, instructions or products referred to in the content. |
© 2025 by the authors. Licensee MDPI, Basel, Switzerland. This article is an open access article distributed under the terms and conditions of the Creative Commons Attribution (CC BY) license (https://creativecommons.org/licenses/by/4.0/).
Share and Cite
Lyapina, A.M.; Kichemazova, N.V.; Lavrukhin, M.S.; Saltykov, Y.V.; Zaytsev, S.S.; Larionova, O.S.; Feodorova, V.A. Humoral Response in Cattle Vaccinated with the Heterologous Sheeppox Virus Vaccine for Protection Against Lumpy Skin Disease: A Field Study. Vaccines 2025, 13, 1221. https://doi.org/10.3390/vaccines13121221
Lyapina AM, Kichemazova NV, Lavrukhin MS, Saltykov YV, Zaytsev SS, Larionova OS, Feodorova VA. Humoral Response in Cattle Vaccinated with the Heterologous Sheeppox Virus Vaccine for Protection Against Lumpy Skin Disease: A Field Study. Vaccines. 2025; 13(12):1221. https://doi.org/10.3390/vaccines13121221
Chicago/Turabian StyleLyapina, Anna M., Natalya V. Kichemazova, Maxim S. Lavrukhin, Yuri V. Saltykov, Sergey S. Zaytsev, Olga S. Larionova, and Valentina A. Feodorova. 2025. "Humoral Response in Cattle Vaccinated with the Heterologous Sheeppox Virus Vaccine for Protection Against Lumpy Skin Disease: A Field Study" Vaccines 13, no. 12: 1221. https://doi.org/10.3390/vaccines13121221
APA StyleLyapina, A. M., Kichemazova, N. V., Lavrukhin, M. S., Saltykov, Y. V., Zaytsev, S. S., Larionova, O. S., & Feodorova, V. A. (2025). Humoral Response in Cattle Vaccinated with the Heterologous Sheeppox Virus Vaccine for Protection Against Lumpy Skin Disease: A Field Study. Vaccines, 13(12), 1221. https://doi.org/10.3390/vaccines13121221

