Influence of Bioactive Compounds Incorporated in a Nanoemulsion as Coating on Avocado Fruits (Persea americana) during Postharvest Storage: Antioxidant Activity, Physicochemical Changes and Structural Evaluation
Abstract
1. Introduction
2. Materials and Methods
2.1. Materials
2.2. Preparation of the Nanoemulsion
Determination of the Particle Size and Zeta Potential (ζ)
2.3. Application of the Nanoemulsion in Avocado “Hass”
2.4. Weight Loss
2.5. Firmness
2.6. pH and Total Soluble Solids
2.7. Determination of Polyphenol Oxidase Activity
2.8. Determination of Colour
2.9. Bioactive Compounds and Antioxidant Activity
2.9.1. Extraction of Bioactive Compounds
2.9.2. Determination of Total Phenols
2.9.3. Determination of Total Flavonoids
2.9.4. Determination of Antioxidant Activity by Inhibiting the DPPH Radical
2.9.5. Determination of Antioxidant Activity by Inhibiting the ABTS Radical
2.10. Structural Evaluation of the Epicarp
2.11. Statistical Analysis
3. Results
3.1. Nanoemulsion
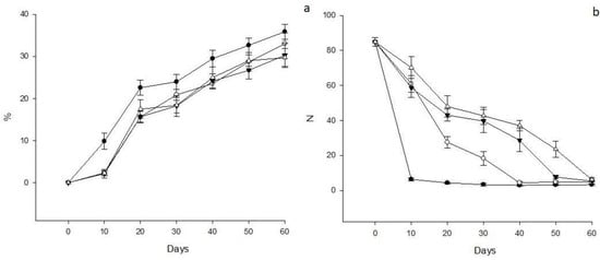
3.2. Weight Loss
3.3. Firmness
3.4. pH and Total Soluble Solids
3.5. Determination of Polyphenol Oxidase Activity
3.6. Determination of Colour
3.7. Bioactive Compounds and Antioxidant Activity
3.7.1. Total Phenols
3.7.2. Total Flavonoid Content
3.7.3. Determination of Antioxidant Activity
3.8. Structural Evaluation
4. Discussion
5. Conclusions
Author Contributions
Funding
Conflicts of Interest
References
- Melgar, B.; Dias, M.I.; Ciric, A.; Sokovic, M.; Garcia-Castello, E.M.; Rodriguez-Lopez, A.D.; Barros, L.; Ferreira, I.C. Bioactive characterization of Persea americana Mill. by-products: A rich source of inherent antioxidants. Ind. Crops Prod. 2018, 111, 212–218. [Google Scholar] [CrossRef]
- Tesfay, S.Z.; Magwaza, L.S. Evaluating the efficacy of moringa leaf extract, chitosan and carboxymethyl cellulose as edible coatings for enhancing quality and extending postharvest life of avocado (Persea americana Mill.) fruit. Food Packag. Shelf Life 2017, 11, 40–48. [Google Scholar] [CrossRef]
- Espinosa-Muños, V.; Roldán-cruz, C.A.; Hernández-Fuentes, A.D.; Quintero-Lira, A.; Almaraz-Buendía, I.; Campos-Montiel, R.G. Ultrasonic-Assisted Extraction of Phenols, Flavonoids, and Biocompounds with Inhibitory Effect Against Salmonella Typhimurium and Staphylococcus Aureus from Cactus Pear. J. Food Process. Eng. 2017, 40, e12358. [Google Scholar] [CrossRef]
- Pérez-Alonso, C.; Campos-Montiel, R.G.; Morales-Luna, E.; Reyes-Munguía, A.; Aguirre-Álvarez, G.; Pimentel-González, D.J. Estabilización de compuestos fenólicos de Opuntia oligacantha Först por microencapsulación con agave SAP (aguamiel). Revista Mexicana de Ingeniería Química 2015, 14, 579–588. [Google Scholar]
- Cenobio-Galindo, A.J.; Pimentel-González, D.J.; Del Razo-Rodríguez, O.E.; Medina-Pérez, G.; Carrillo-Inungaray, M.L.; Reyes-Munguía, A.; Campos-Montiel, R.G. Antioxidant and antibacterial activities of a starch film with bioextracts microencapsulated from cactus fruits (Opuntia oligacantha). Food Sci. Biotechnol. 2019, 1–9. [Google Scholar] [CrossRef]
- Zhang, Z.; Vriesekoop, F.; Yuan, Q.; Liang, H. Effects of nisin on the antimicrobial activity of D-limonene and its nanoemulsion. Food Chem. 2014, 150, 307–312. [Google Scholar] [CrossRef]
- Hashtjin, A.M.; Abbasi, S. Nano-emulsification of orange peel essential oil using sonication and native gums. Food Hydrocoll. 2015, 44, 40–48. [Google Scholar] [CrossRef]
- McClements, D.J.; Rao, J. Food-grade nanoemulsions: Formulation, fabrication, properties, performance, biological fate, and potential toxicity. Crit. Rev. Food Sci. Nutr. 2011, 51, 285–330. [Google Scholar] [CrossRef]
- Zhang, S.; Zhang, M.; Fang, Z.; Liu, Y. Preparation and characterization of blended cloves/cinnamon essential oil nanoemulsions. LWT-Food Sci. Technol. 2017, 75, 316–322. [Google Scholar] [CrossRef]
- Donsì, F.; Cuomo, A.; Marchese, E.; Ferrari, G. Infusion of essential oils for food stabilization: Unraveling the role of nanoemulsion-based delivery systems on mass transfer and antimicrobial activity. Innov. Food Sci. Emerg. 2014, 22, 212–220. [Google Scholar] [CrossRef]
- Cenobio-Galindo, A.J.; Campos-Montiel, R.G.; Jiménez-Alvarado, R.; Almaraz-Buendía, I.; Medina-Pérez, G.; Fernández-Luqueño, F. Development and Incorporation of Nanoemulsions in Food. Int. J. Food Stud. 2019, 8, 105–124. [Google Scholar]
- Zambrano-Zaragoza, M.L.; Gutiérrez-Cortez, E.; Del Real, A.; González-Reza, R.M.; Galindo-Pérez, M.J.; Quintanar-Guerrero, D. Fresh-cut Red Delicious apples coating using tocopherol/mucilage nanoemulsion: Effect of coating on polyphenol oxidase and pectin methylesterase activities. Food Res. Int. 2014, 62, 974–983. [Google Scholar] [CrossRef]
- Oh, Y.A.; Oh, Y.J.; Song, A.Y.; Won, J.S.; Song, K.B.; Min, S.C. Comparison of effectiveness of edible coatings using emulsions containing lemongrass oil of different size droplets on grape berry safety and preservation. LWT-Food Sci. Technol. 2017, 75, 742–750. [Google Scholar] [CrossRef]
- Aguilar-Méndez, M.A.; Martín-Martínez, E.S.; Tomás, S.A.; Cruz-Orea, A.; Jaime-Fonseca, M.R. Gelatine–starch films: Physicochemical properties and their application in extending the post-harvest shelf life of avocado (Persea americana). J. Sci. Food Agric. 2008, 88, 185–193. [Google Scholar] [CrossRef]
- Maftoonazad, N.; Ramaswamy, H.S. Postharvest shelf-life extension of avocados using methyl cellulose-based coating. LWT-Food Sci. Technol. 2005, 38, 617–624. [Google Scholar] [CrossRef]
- Aguirre-Joya, J.A.; Ventura-Sobrevilla, J.; Martínez-Vazquez, G.; Ruelas-Chacón, X.; Rojas, R.; Rodríguez-Herrera, R.; Aguilar, C.N. Effects of a natural bioactive coating on the quality and shelf life prolongation at different storage conditions of avocado (Persea americana Mill.) cv. Hass. Food Packag. Shelf Life 2017, 14, 102–107. [Google Scholar] [CrossRef]
- Vargas-Ortiz, M.; Rodríguez-Jimenes, G.; Salgado-Cervantes, M.; Pallet, D. Minimally Processed Avocado Through Flash Vacuum-Expansion: Its Effect in Major Physicochemical Aspects of the Puree and Stability on Storage. J. Food Process. Preserv. 2017, 41, e12988. [Google Scholar] [CrossRef]
- Vargas-Ortiz, M.; Servent, A.; Rodríguez-Jimenes, G.; Pallet, D.; Salgado-Cervantes, M. Effect of thermal stage in the processing avocado by flash vacuum expansion: Effect on the antioxidant capacity and the qualitaty of the mash. J. Food Process. Preserv. 2017, 41, e13118. [Google Scholar] [CrossRef]
- Villa-Rodríguez, J.A.; Molina-Corral, F.J.; Ayala-Zavala, J.F.; Olivas, G.I.; González-Aguilar, G.A. Effect of maturity stage on the content of fatty acids and antioxidant activity of ‘Hass’ avocado. Food Res. Int. 2011, 44, 1231–1237. [Google Scholar] [CrossRef]
- Wang, W.; Bostic, T.R.; Gu, L. Antioxidant capacities, procyanidins and pigments in avocados of different strains and cultivars. Food Chem. 2010, 122, 1193–1198. [Google Scholar] [CrossRef]
- Hernández-Rivero, R.; Arévalo-Galarza, M.; Valdovinos-Ponce, G.; González-Hernández, H.; Valdez-Carrasco, J.; Ramírez-Guzmán, M.E. Histología del daño en fruto y rama de aguacate ‘Hass’ por escamas armadas (Hemiptera: Diaspididae). Revista Mexicana de Ciencias Agrícolas 2013, 4, 739–751. [Google Scholar] [CrossRef]
- Espinosa-Cruz, C.C.; Valle-Guadarrama, S.; Ybarra-Moncada, M.; Martínez-Damián, M.T. Comportamiento postcosecha de frutos de aguacate ‘Hass’ afectado por temperatura y atmósfera modificada con microperforado. Revista Fitotecnia Mexicana 2014, 37, 235–242. [Google Scholar]
- Sellamuthu, P.S.; Mafune, M.; Sivakumar, D.; Soundy, P. Thyme oil vapour and modified atmosphere packaging reduce anthracnose incidence and maintain fruit quality in avocado. J. Sci. Food Agric. 2013, 93, 3024–3031. [Google Scholar] [CrossRef] [PubMed]
- Russo, V.C.; Daiuto, E.R.; Vietes, R.L.; Smith, R.E. Postharvest Parameters of the “Fuerte” Avocado When Refrigerated in Different Modified Atmospheres. J. Food Process. Preserv. 2014, 38, 2006–2013. [Google Scholar] [CrossRef]
- Vinha, A.F.; Moreira, J.; Barreira, S.V. Physicochemical parameters, phytochemical composition and antioxidant activity of the algarvian avocado (Persea americana Mill.). J. Agric. Sci. 2013, 5, 100. [Google Scholar] [CrossRef]
- Saucedo-Pompa, S.; Rojas-Molina, R.; Aguilera-Carbó, A.F.; Saenz-Galindo, A.; de La Garza, H.; Jasso-Cantú, D.; Aguilar, C.N. Edible film based on candelilla wax to improve the shelf life and quality of avocado. Food Res. Int. 2009, 42, 511–515. [Google Scholar] [CrossRef]
- Mpho, M.; Sivakumar, D.; Sellamuthu, P.S.; Bautista-Baños, S. Use of lemongrass oil and modified atmosphere packaging on control of anthracnose and quality maintenance in avocado cultivars. J. Food Qual. 2013, 36, 198–208. [Google Scholar] [CrossRef]
- Cox, K.A.; McGhie, T.K.; White, A.; Woolf, A.B. Skin colour and pigment changes during ripening of ‘Hass’ avocado fruit. Postharvest Biol. Technol. 2004, 31, 287–294. [Google Scholar] [CrossRef]
- Correa-Pacheco, Z.N.; Bautista-Baños, S.; Valle-Marquina, M.Á.; Hernández-López, M. The Effect of Nanostructured Chitosan and Chitosan-thyme Essential Oil Coatings on Colletotrichum gloeosporioides Growth in vitro and on cv Hass Avocado and Fruit Quality. J. Phytopathol. 2017, 165, 297–305. [Google Scholar] [CrossRef]
- Tesfay, S.Z.; Bertling, I.; Bower, J.P. Effects of postharvest potassium silicate application on phenolics and other anti-oxidant systems aligned to avocado fruit quality. Postharvest Biol. Technol. 2011, 60, 92–99. [Google Scholar] [CrossRef]
- Sellamuthu, P.S.; Sivakumar, D.; Soundy, P.; Korsten, L. Essential oil vapours suppress the development of anthracnose and enhance defence related and antioxidant enzyme activities in avocado fruit. Postharvest Biol. Technol. 2013, 81, 66–72. [Google Scholar] [CrossRef]
- Deng, J.; Bi, Y.; Zhang, Z.; Xie, D.; Ge, Y.; Li, W.; Wang, J.; Wang, Y. Postharvest oxalic acid treatment induces resistance against pink rot by priming in muskmelon (Cucumis melo L.) fruit. Postharvest Biol. Technol. 2015, 106, 53–61. [Google Scholar] [CrossRef]
- Schroeder, C.A. The structure of the skin or rind of the avocado. Calif. Avocado Soc. Yearb. 1950, 34, 169–176. [Google Scholar]


| Days/Treatments | C | N25 | N50 | CN |
|---|---|---|---|---|
| pH | ||||
| 0 | 5.62 ± 0.06aA | 5.62 ± 0.04aA | 5.63 ± 0.04aA | 5.60 ± 0.09aA |
| 30 | 6.40 ± 0.03cB | 6.15 ± 0.03aB | 6.33 ± 0.02bB | 6.33 ± 0.04bB |
| 60 | 6.56 ± 0.05aC | 6.70 ± 0.07bC | 6.70 ± 0.01bC | 6.72 ± 0.01bC |
| TSS | ||||
| 0 | 1.13 ± 0.05aA | 1.03 ± 0.05aA | 1.10 ± 0.10aA | 1.00 ± 0.01aA |
| 30 | 4.00 ± 0.01cB | 2.83 ± 0.04aB | 2.86 ± 0.05aB | 3.23 ± 0.15bB |
| 60 | 4.06 ± 0.11aB | 4.03 ± 0.05aC | 4.00 ± 0.07aC | 4.16 ± 0.05aC |
| PPO activity | ||||
| 0 | 0.21 ± 0.01aA | 0.23 ± 0.01aA | 0.21 ± 0.01aA | 0.23 ± 0.01aA |
| 30 | 0.29 ± 0.01cB | 0.21 ± 0.01aA | 0.24 ± 0.00bB | 0.23 ± 0.01bA |
| 60 | 0.33 ± 0.01cC | 0.26 ± 0.01aB | 0.26 ± 0.02aB | 0.31 ± 0.01bB |
| Days/Treatments | C | N25 | N50 | CN |
|---|---|---|---|---|
| L* | ||||
| 0 | 35.78 ± 1.70aA | 35.09 ± 2.18aA | 34.57 ± 1.52aA | 35.01 ± 1.47aA |
| 30 | 29.08 ± 1.81aB | 28.78 ± 1.66aB | 29.72 ± 1.05aB | 29.57 ± 1.13aB |
| 60 | 22.66 ± 0.67aC | 21.52 ± 0.85aC | 23.03 ± 0.29aC | 22.45 ± 0.29aC |
| a* | ||||
| 0 | −7.38 ± 0.84aA | −7.24 ± 0.60aA | −7.11 ± 0.73aA | −6.90 ± 1.53aA |
| 30 | 2.05 ± 0.32cB | −0.25 ± 1.15aB | −0.94 ± 1.57aB | 1.40 ± 0.42bB |
| 60 | 4.51 ± 0.30aC | 4.11 ± 0.38aC | 4.99 ± 0.50aC | 4.43 ± 0.41aC |
| b* | ||||
| 0 | 29.78 ± 2.65aA | 29.83 ± 2.24aA | 30.11 ± 1.81aA | 30.08 ± 2.31aA |
| 30 | 25.11 ± 0.57aB | 26.68 ± 0.56aB | 22.25 ± 0.39bB | 19.53 ± 1.59cB |
| 60 | 25.39 ± 0.64aB | 25.44 ± 1.07aB | 23.41 ± 1.53abB | 21.76 ± 0.43bB |
| Days/Treatments | C | N25 | N50 | CN |
|---|---|---|---|---|
| L* | ||||
| 0 | 77.42 ± 1.95aA | 77.32 ± 0.78aA | 76.59 ± 1.24aA | 75.99 ± 1.64aA |
| 30 | 69.73 ± 0.70aB | 71.43 ± 1.09aB | 71.31 ± 0.49aB | 69.60 ± 1.00aB |
| 60 | 59.94 ± 2.15aC | 59.94 ± 2.15aC | 62.32 ± 1.80aC | 60.12 ± 0.93aC |
| a* | ||||
| 0 | −7.67 ± 0.58aA | −7.99 ± 0.63aA | −7.95 ± 0.50aA | −9.05 ± 0.77aA |
| 30 | −2.38 ± 0.89bB | −4.78 ± 0.47aB | −4.26 ± 0.40aB | −4.26 ± 0.40aB |
| 60 | 3.50 ± 0.29bC | 1.61 ± 0.23aC | 1.30 ± 0.34aC | 1.57 ± 0.19aC |
| b* | ||||
| 0 | 45.50 ± 0.97aA | 45.70 ± 1.02aA | 44.65 ± 0.86aA | 47.98 ± 0.47aA |
| 30 | 41.96 ± 0.76bB | 44.67 ± 1.36aA | 44.75 ± 0.78aA | 45.57 ± 1.84aA |
| 60 | 33.77 ± 0.44bC | 35.73 ± 0.59aB | 35.95 ± 1.48abB | 33.85 ± 0.58bB |
| Days/Treatments | C | N25 | N50 | CN |
|---|---|---|---|---|
| Total phenols | ||||
| 0 | 247.33 ± 2.77aA | 238.14 ± 17.11aA | 244.46 ± 7.05aA | 239.00 ± 11.70aA |
| 30 | 122.07 ± 4.56bC | 160.85 ± 2.28aB | 127.24 ± 6.50bB | 120.34 ± 5.65bC |
| 60 | 152.23 ± 6.03cB | 214.29 ± 7.78bA | 240.15 ± 16.29aA | 164.87 ± 5.54cB |
| Total flavonoids | ||||
| 0 | 37.07 ± 0.71aB | 36.25 ± 0.94aC | 36.46 ± 0.35aB | 36.04 ± 0.61aB |
| 30 | 32.34 ± 1.23cC | 44.27 ± 0.35aB | 36.04 ± 2.22bB | 46.74 ± 2.49aA |
| 60 | 42.63 ± 2.33bA | 48.18 ± 1.78aA | 47.77 ± 2.82abA | 44.27 ± 1.55bA |
| DPPH | ||||
| 0 | 462.15 ± 25.61aA | 483.38 ± 15.13aA | 477.14 ± 32.29aA | 469.23 ± 25.59aA |
| 30 | 247.84 ± 10.91bB | 309.43 ± 17.04aC | 242.85 ± 20.33bB | 239.52 ± 7.52bC |
| 60 | 179.18 ± 17.22cC | 435.52 ± 13.69aB | 439.68 ± 18.47aA | 318.17 ± 13.75bB |
| ABTS | ||||
| 0 | 228.44 ± 7.79aA | 225.60 ± 6.34aA | 223.28 ± 4.71aB | 221.73 ± 13.41aA |
| 30 | 112.48 ± 13.77bB | 211.40 ± 5.15aB | 112.48 ± 6.05bC | 128.75 ± 12.46bB |
| 60 | 68.32 ± 5.42dC | 233.87 ± 5.94bA | 310.57 ± 5.15aA | 195.13 ± 14.33cA |
© 2019 by the authors. Licensee MDPI, Basel, Switzerland. This article is an open access article distributed under the terms and conditions of the Creative Commons Attribution (CC BY) license (http://creativecommons.org/licenses/by/4.0/).
Share and Cite
Cenobio-Galindo, A.d.J.; Ocampo-López, J.; Reyes-Munguía, A.; Carrillo-Inungaray, M.L.; Cawood, M.; Medina-Pérez, G.; Fernández-Luqueño, F.; Campos-Montiel, R.G. Influence of Bioactive Compounds Incorporated in a Nanoemulsion as Coating on Avocado Fruits (Persea americana) during Postharvest Storage: Antioxidant Activity, Physicochemical Changes and Structural Evaluation. Antioxidants 2019, 8, 500. https://doi.org/10.3390/antiox8100500
Cenobio-Galindo AdJ, Ocampo-López J, Reyes-Munguía A, Carrillo-Inungaray ML, Cawood M, Medina-Pérez G, Fernández-Luqueño F, Campos-Montiel RG. Influence of Bioactive Compounds Incorporated in a Nanoemulsion as Coating on Avocado Fruits (Persea americana) during Postharvest Storage: Antioxidant Activity, Physicochemical Changes and Structural Evaluation. Antioxidants. 2019; 8(10):500. https://doi.org/10.3390/antiox8100500
Chicago/Turabian StyleCenobio-Galindo, Antonio de Jesus, Juan Ocampo-López, Abigail Reyes-Munguía, María Luisa Carrillo-Inungaray, Maria Cawood, Gabriela Medina-Pérez, Fabián Fernández-Luqueño, and Rafael Germán Campos-Montiel. 2019. "Influence of Bioactive Compounds Incorporated in a Nanoemulsion as Coating on Avocado Fruits (Persea americana) during Postharvest Storage: Antioxidant Activity, Physicochemical Changes and Structural Evaluation" Antioxidants 8, no. 10: 500. https://doi.org/10.3390/antiox8100500
APA StyleCenobio-Galindo, A. d. J., Ocampo-López, J., Reyes-Munguía, A., Carrillo-Inungaray, M. L., Cawood, M., Medina-Pérez, G., Fernández-Luqueño, F., & Campos-Montiel, R. G. (2019). Influence of Bioactive Compounds Incorporated in a Nanoemulsion as Coating on Avocado Fruits (Persea americana) during Postharvest Storage: Antioxidant Activity, Physicochemical Changes and Structural Evaluation. Antioxidants, 8(10), 500. https://doi.org/10.3390/antiox8100500

