Effects of Trace Mineral Source on Growth Performance, Antioxidant Activity, and Meat Quality of Pigs Fed an Oxidized Soy Oil Supplemented Diet
Abstract
1. Introduction
2. Materials and Methods
2.1. Diets and Experimental Design
- Treatment 1: Fresh soy oil + ITMs + I-Se (FISI);
- Treatment 2: Oxidized soy oil + ITMs + I-Se (OISI);
- Treatment 3: Fresh soy oil + ITMs + 150 g/t SY (FISY);
- Treatment 4: Oxidized soy oil + ITMs + 150 g/t SY (OISY);
- Treatment 5: Oxidized soy oil + 400 g/t OTMs + 100 g/t SY (OOSY).
2.2. Animals, Housing and Sample Collection
2.3. Carcass Traits
2.4. Meat Quality Assessment
2.5. Determination of Serum Parameters
2.6. Inflammatory Cytokines and Antioxidant Capacity in the Liver
2.7. Short-Chain Fatty Acids Concentrations in Colonic Digesta
2.8. Fatty Acids in the Longissimus Dorsi and Abdominal Fat
2.9. Colonic Microbiota Composition
2.10. Statistical Analysis
3. Results
3.1. Characterization of the Oils
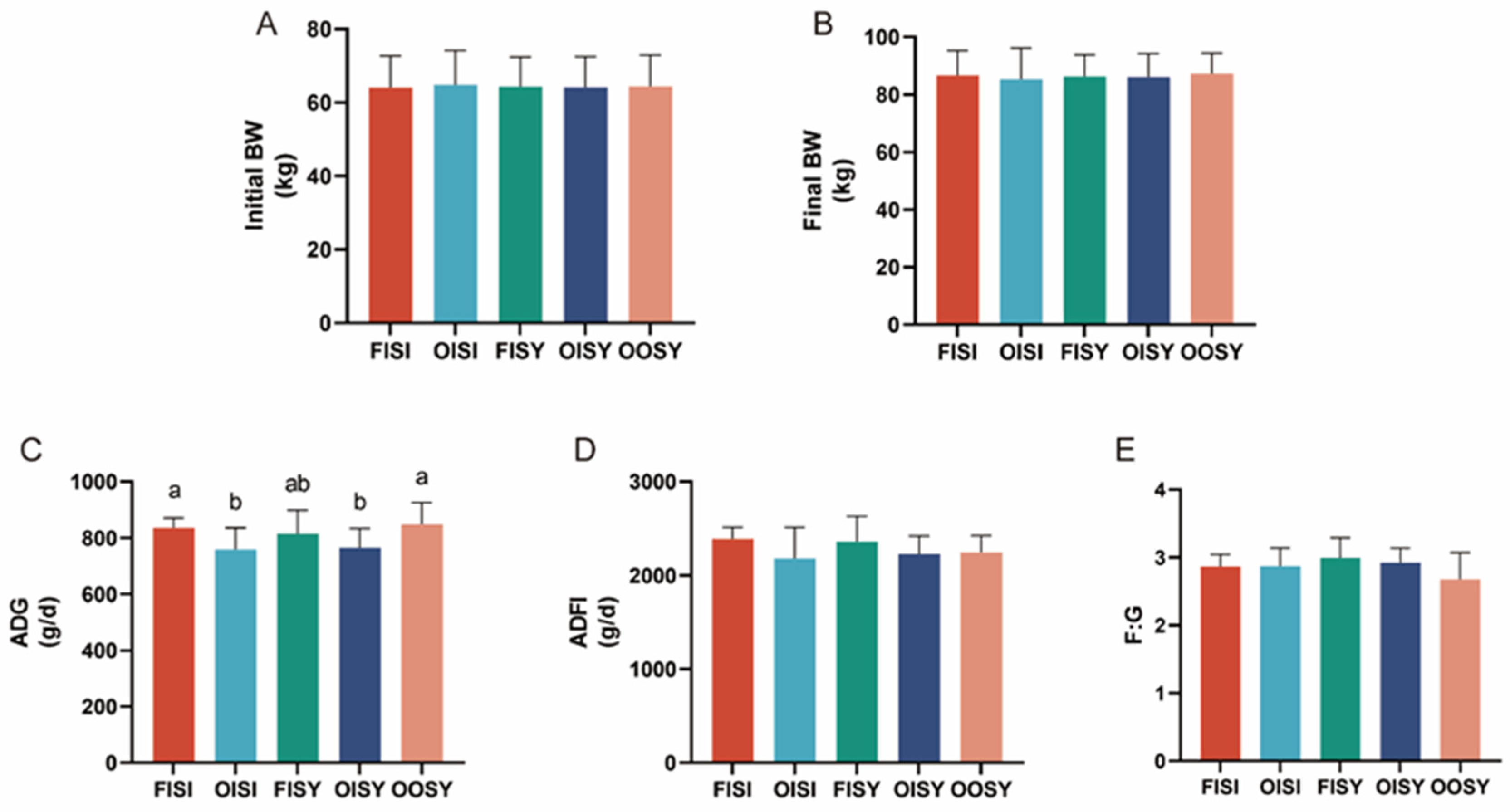
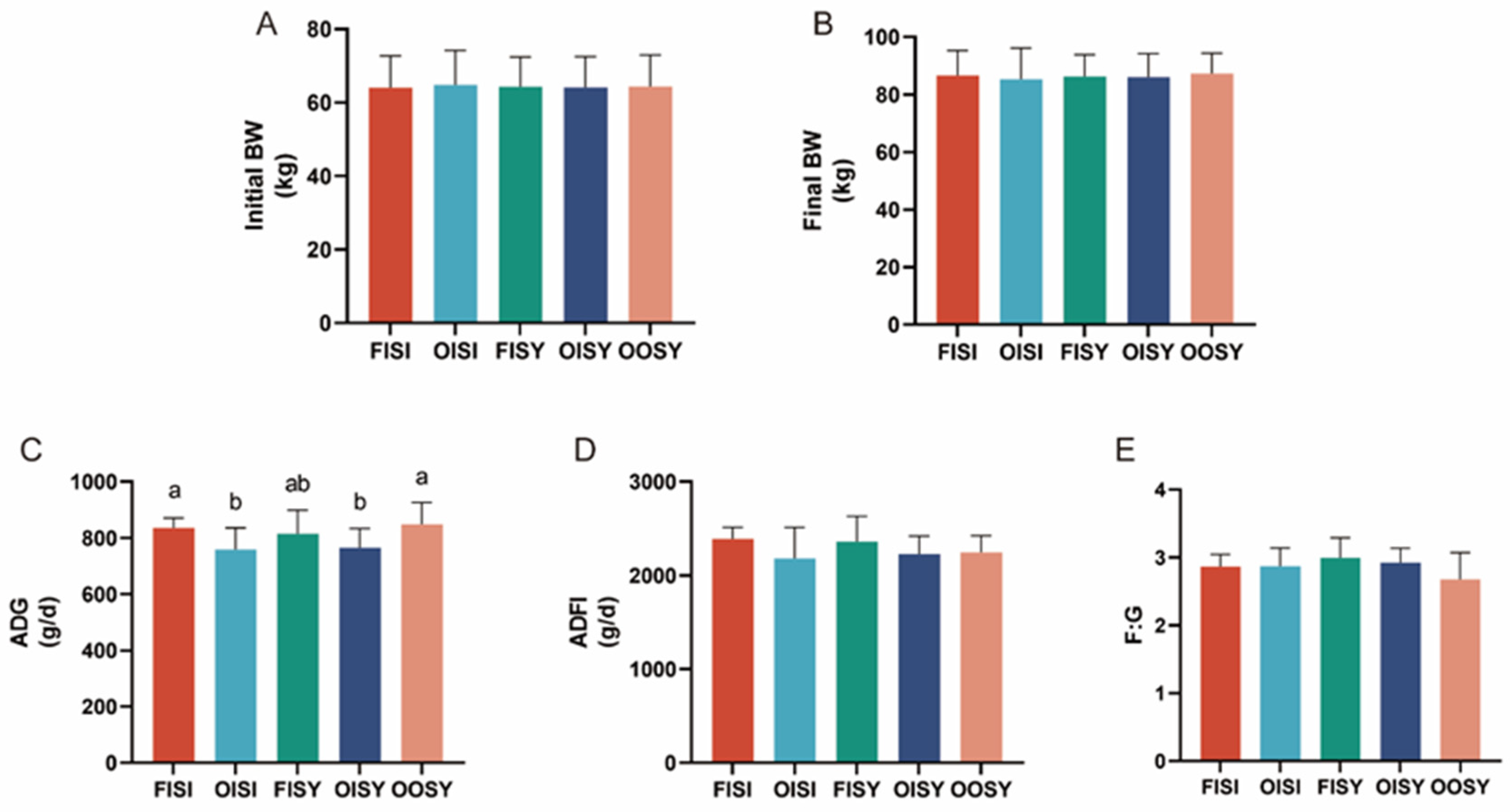
3.2. Growth Performance
3.3. Carcass Characteristics
3.4. Meat Quality
3.5. Fatty Acids
3.6. Serum Parameters
3.7. Liver Antioxidant Activity
3.8. Gut Microbial Composition
4. Discussion
5. Conclusions
Supplementary Materials
Author Contributions
Funding
Institutional Review Board Statement
Informed Consent Statement
Data Availability Statement
Acknowledgments
Conflicts of Interest
References
- Okrouhlá, M.; Stupka, R.; Cítek, J.; Lebedová, N.; Zadinová, K. Effect of duration of dietary rapeseed and soybean oil feeding on physical characteristics, fatty acid profile, and oxidative stability of pig backfat. Animals 2018, 8, 193. [Google Scholar] [CrossRef] [PubMed]
- Varona, E.; Tres, A.; Rafecas, M.; Vichi, S.; Barroeta, A.C.; Guardiola, F. Composition and nutritional value of acid oils and fatty acid distillates used in animal feeding. Animals 2021, 11, 196. [Google Scholar] [CrossRef]
- Wealleans, A.L.; Bierinckx, K.; di Benedetto, M. Fats and oils in pig nutrition: Factors affecting digestion and utilization. Anim. Feed. Sci. Technol. 2021, 277, 114950. [Google Scholar] [CrossRef]
- Overton, T.R.; Yasui, T. Practical applications of trace minerals for dairy cattle. J. Anim. Sci. 2014, 92, 416–426. [Google Scholar] [CrossRef]
- Jolliff, J.S.; Mahan, D.C. Effect of dietary calcium and phosphorus levels on the total tract digestibility of innate and supplemental organic and inorganic microminerals in a corn-soybean meal based diet of grower pigs. J. Anim. Sci. 2013, 91, 2775–2783. [Google Scholar] [CrossRef] [PubMed]
- Liu, B.; Xiong, P.; Chen, N.; He, J.; Lin, G.; Xue, Y.; Li, W.; Yu, D. Effects of replacing of inorganic trace minerals by organically bound trace minerals on growth performance, tissue mineral status, and fecal mineral excretion in commercial grower-finisher pigs. Biol. Trace Elem. Res. 2016, 173, 316–324. [Google Scholar] [CrossRef]
- Schiavon, S.; Bailoni, L.; Ramanzin, M.; Vincenzi, R.; Simonetto, A.; Bittante, G. Effect of proteinate or sulphate mineral sources on trace elements in blood and liver of piglets. Anim. Sci. 2000, 71, 131–139. [Google Scholar] [CrossRef]
- Yenice, E.; Mizrak, C.; Gültekin, M.; Atik, Z.; Tunca, M. Effects of organic and inorganic forms of manganese, zinc, copper, and chromium on bioavailability of these minerals and calcium in late-phase laying hens. Biol. Trace Elem. Res. 2015, 167, 300–307. [Google Scholar] [CrossRef]
- Burkett, J.L.; Stalder, K.J.; Powers, W.J.; Bregendahl, K.; Pierce, J.L.; Baas, T.J.; Bailey, T.; Shafer, B.L. Effect of Inorganic and Organic Trace Mineral Supplementation on the Performance, Carcass Characteristics, and Fecal Mineral Excretion of Phase-fed, Grow-finish Swine. Asian Australas. J. Anim. Sci. 2009, 22, 1279–1287. [Google Scholar] [CrossRef]
- Creech, B.L.; Spears, J.W.; Flowers, W.L.; Hill, G.M.; Lloyd, K.E.; Armstrong, T.A.; Engle, T.E. Effect of dietary trace mineral concentration and source (inorganic vs. chelated) on performance, mineral status, and fecal mineral excretion in pigs from weaning through finishing. J. Anim. Sci. 2004, 82, 2140–2147. [Google Scholar] [CrossRef]
- Gowanlock, D.W.; Mahan, D.C.; Jolliff, J.S.; Moeller, S.J.; Hill, G.M. Evaluating the NRC levels of Cu, Fe, Mn, and Zn using organic minerals for grower-finisher swine. J. Anim. Sci. 2013, 91, 5680–5686. [Google Scholar] [CrossRef] [PubMed]
- Case, C.L.; Carlson, M.S. Effect of feeding organic and inorganic sources of additional zinc on growth performance and zinc balance in nursery pigs. J. Anim. Sci. 2002, 80, 1917–1924. [Google Scholar] [CrossRef] [PubMed]
- Kryukov, G.V.; Castellano, S.; Novoselov, S.V.; Lobanov, A.V.; Zehtab, O.; Guigó, R.; Gladyshev, V.N. Characterization of mammalian selenoproteomes. Science 2003, 300, 1439–1443. [Google Scholar] [CrossRef] [PubMed]
- Surai, P.F.; Fisinin, V.I. Selenium in poultry breeder nutrition: An update. Anim. Feed. Sci. Technol. 2014, 191, 1–15. [Google Scholar] [CrossRef]
- Fernandes, A.P.; Gandin, V. Selenium compounds as therapeutic agents in cancer. Biochim. Biophys. Acta-Gen. Subj. 2015, 1850, 1642–1660. [Google Scholar] [CrossRef]
- Rayman, M.P. Selenium and human health. Lancet 2012, 379, 1256–1268. [Google Scholar] [CrossRef]
- Weekley, C.M.; Harris, H.H. Which form is that? The importance of selenium speciation and metabolism in the prevention and treatment of disease. Chem. Soc. Rev. 2013, 42, 8870–8894. [Google Scholar] [CrossRef]
- Marschall, T.A.; Bornhorst, J.; Kuehnelt, D.; Schwerdtle, T. Differing cytotoxicity and bioavailability of selenite, methylselenocysteine, selenomethionine, selenosugar 1 and trimethylselenonium ion and their underlying metabolic transformations in human cells. Mol. Nutr. Food Res. 2016, 60, 2622–2632. [Google Scholar] [CrossRef]
- Davis, T.Z.; Tiwary, A.K.; Stegelmeier, B.L.; Pfister, J.A.; Panter, K.E.; Hall, J.O. Comparative oral dose toxicokinetics of sodium selenite and selenomethionine. J. Appl. Toxicol. 2017, 37, 231–238. [Google Scholar] [CrossRef]
- Zhang, S.; Xie, Y.; Li, M.; Yang, H.; Li, S.; Li, J.; Xu, Q.; Yang, W.; Jiang, S. Effects of different selenium sources on meat quality and shelf life of fattening pigs. Animals 2020, 10, 615. [Google Scholar] [CrossRef]
- Delezie, E.; Rovers, M.; Van der Aa, A.; Ruttens, A.; Wittocx, S.; Segers, L. Comparing responses to different selenium sources and dosages in laying hens. Poult. Sci. 2014, 93, 3083–3090. [Google Scholar] [CrossRef] [PubMed]
- Wang, Y.; Zhan, X.; Zhang, X.; Wu, R.; Yuan, D. Comparison of different forms of dietary selenium supplementation on growth performance, meat quality, selenium deposition, and antioxidant property in broilers. Biol. Trace Elem. Res. 2011, 143, 261–273. [Google Scholar] [CrossRef] [PubMed]
- Jiang, J.; Jin, F.; Lin, G.; Xiong, Y.L. Modulation of muscle antioxidant enzymes and fresh meat quality through feeding peptide-chelated trace minerals in swine production. Food Biosci. 2021, 42, 101191. [Google Scholar] [CrossRef]
- Gowanlock, D.W.; Mahan, D.C.; Jolliff, J.S.; Hill, G.M. Evaluating the influence of National Research Council levels of copper, iron, manganese, and zinc using organic (Bioplex) minerals on resulting tissue mineral concentrations, metallothionein, and liver antioxidant enzymes in grower-finisher swine diets. J. Anim. Sci. 2015, 93, 1149–1156. [Google Scholar] [CrossRef]
- Zhou, L.; Ding, X.M.; Wang, J.P.; Bai, S.P.; Zeng, Q.F.; Su, Z.W.; Xuan, Y.; Wu, A.M.; Zhang, K.Y. Oxidized oils and oxidized proteins induce apoptosis in granulosa cells by increasing oxidative stress in ovaries of laying hens. Oxidative Med. Cell. Longev. 2020, 2020, 2685310. [Google Scholar] [CrossRef]
- Hortwitz, W. AOAC official method 965.33, Peroxide value of oils and fats. In Official Methods of Analysis of AOAC International, 17th ed.; AOAC International: Gaithersberg, MD, USA, 2002. [Google Scholar]
- Firestone, D.J. Official Methods and Recommended Practices of the American Oil Chemists’ Society; American Oil Chemists’ Society: Urbana, IL, USA, 1989. [Google Scholar]
- National Research Council. Nutrient Requirements of Swine, 11th ed.; National Academy Press: Washington, DC, USA, 2012. [Google Scholar]
- Zhang, Z.Y.; Zhang, G.; Cao, J.D.; Qiu, B.Q.; Qin, X.Y.; Zhao, J.B. Effects of 25(OH)VD3 on Growth Performance, Pork Quality and Calcium Deposit in Growing-Finishing Pigs. Animals 2023, 13, 86. [Google Scholar] [CrossRef] [PubMed]
- Straadt, I.K.; Rasmussen, M.; Andersen, H.J.; Bertram, H.C. Aging-induced changes in microstructure and water distribution in fresh and cooked pork in relation to water-holding capacity and cooking loss-A combined confocal laser scanning microscopy (CLSM) and low-field nuclear magnetic resonance relaxation study. Meat Sci. 2007, 75, 687–695. [Google Scholar] [CrossRef]
- Li, L.; Wang, H.; Zhang, N.; Zhang, T.; Ma, Y. Effects of α-glycerol monolaurate on intestinal morphology, nutrient digestibility, serum profiles, and gut microbiota in weaned piglets. J. Anim. Sci. 2022, 100, skac046. [Google Scholar] [CrossRef] [PubMed]
- Zhao, J.B.; Zhang, G.; Dong, W.X.; Zhang, Y.; Wang, J.J.; Liu, L.; Zhang, S. Effects of dietary particle size and fiber source on nutrient digestibility and short chain fatty acid production in cannulated growing pigs. Anim. Feed Sci. Technol. 2019, 258, 114310. [Google Scholar] [CrossRef]
- Zhang, S.; Chu, L.; Qiao, S.; Mao, X.; Zeng, X. Effects of dietary leucine supplementation in low crude protein diets on performance, nitrogen balance, whole-body protein turnover, carcass characteristics and meat quality of finishing pigs. Anim. Sci. J. 2016, 87, 911–920. [Google Scholar] [CrossRef]
- Sukhija, P.S.; Palmquist, D.L. Rapid method for determination of total fatty acid content and composition of feedstuffs and feces. J. Agric. Food Chem. 1988, 36, 1202–1206. [Google Scholar] [CrossRef]
- Wang, Z.; Bai, Y.; Pi, Y.; Gerrits, W.J.; de Vries, S.; Shang, L.; Tao, S.; Zhang, S.; Han, D.; Zhu, Z.; et al. Xylan alleviates dietary fiber deprivation-induced dysbiosis by selectively promoting updates Bifidobacterium pseudocatenulatum in pigs. Microbiome 2021, 9, 1–14. [Google Scholar] [CrossRef] [PubMed]
- Ren, Y.; Yu, G.; Shi, C.; Liu, L.; Guo, Q.; Han, C.; Zhang, D.; Zhang, L.; Liu, B.; Gao, H.; et al. Majorbio Cloud: A one-stop, comprehensive bioinformatic platform for multiomics analyses. IMeta 2022, 1, e12. [Google Scholar] [CrossRef] [PubMed]
- Boler, D.D.; Fernandez-Duenas, D.M.; Kutzler, L.W.; Zhao, J.; Harrell, R.J.; Campion, D.R.; McKeith, F.K.; Killefer, J.; Dilger, A.C. Effects of oxidized corn oil and a synthetic antioxidant blend on performance, oxidative status of tissues, and fresh meat quality in finishing barrows. J. Anim. Sci. 2012, 90, 5159–5169. [Google Scholar] [CrossRef]
- Lindblom, S.C.; Gabler, N.K.; Kerr, B.J. Influence of feeding thermally peroxidized soybean oil on growth performance, digestibility, and gut integrity in growing pigs. J. Anim. Sci. 2018, 96, 558–569. [Google Scholar] [CrossRef]
- Overholt, M.F.; Dilger, A.C.; Boler, D.D.; Kerr, B.J. Influence of feeding thermally peroxidized soybean oil on growth performance, digestibility, and gut integrity in finishing pigs. J. Anim. Sci. 2018, 96, 2789–2803. [Google Scholar] [CrossRef] [PubMed]
- Mondal, S.; Haldar, S.; Saha, P.; Ghosh, T.K. Metabolism and tissue distribution of trace elements in broiler chickens’ fed diets containing deficient and plethoric levels of copper, manganese, and zinc. Biol. Trace Elem. Res. 2010, 137, 190–205. [Google Scholar] [CrossRef]
- Bao, Y.M.; Choct, M.; Iji, P.A.; Bruerton, K. Effect of organically complexed copper, iron, manganese, and zinc on broiler performance, mineral excretion, and accumulation in tissues. J. Appl. Poult. Res. 2007, 16, 448–455. [Google Scholar] [CrossRef]
- Su, Y.; Chen, Y.P.; Cheng, Y.F.; Wen, C.; Zhou, Y.M. Effects of modified palygorskite supplementation on egg quality and mineral element content, and intestinal integrity and barrier function of laying hens. Biol. Trace Elem. Res. 2018, 186, 529–537. [Google Scholar] [CrossRef]
- Hung, Y.T.; Hanson, A.R.; Shurson, G.C.; Urriola, P.E. Peroxidized lipids reduce growth performance of poultry and swine: A meta-analysis. Anim. Feed. Sci. Technol. 2017, 231, 47–58. [Google Scholar] [CrossRef]
- Hanson, A.; Urriola, P.; Shurson, G.J.J.A.S. Peroxide value (PV) and thiobarbituric acid reactive substaances (TBARS) as indicators of dietary lipid peroxidation, reduced growth performance, and metabolic oxidation status when feeding peroxidized lipids to pigs and broilers. J. Anim. Sci. 2014, 91 (Suppl. S2), 144. [Google Scholar]
- Halliwell, B.; Chirico, S. Lipid peroxidation: Its mechanism, measurement, and significance. Am. J. Clin. Nutr. 1993, 57, 715–725. [Google Scholar] [CrossRef] [PubMed]
- Byrne, L.; Murphy, R.A. Relative bioavailability of trace minerals in production animal nutrition: A review. Animals 2022, 12, 1981. [Google Scholar] [CrossRef] [PubMed]
- Leeson, S. A New Look at Trace Mineral Nutrition of Poultry: Can We Reduce the Environmental Burden of Poultry Manure? Nottingham University Press: Nottingham, UK, 2003. [Google Scholar]
- Muszynski, S.; Tomaszewska, E.; Kwiecien, M.; Dobrowolski, P.; Tomczyk, A. Effect of dietary phytase supplementation on bone and hyaline cartilage development of broilers fed with organically complexed copper in a cu-deficient diet. Biol. Trace Elem. Res. 2018, 182, 339–353. [Google Scholar] [CrossRef] [PubMed]
- Wang, S.; Wu, S.; Zhang, Y.; Chen, J.; Zhou, X. Effects of different levels of organic trace minerals on oxidative status and intestinal function in weanling piglets. Biol. Trace Elem. Res. 2023, 201, 720–727. [Google Scholar] [CrossRef]
- Wang, L.; Yao, D.; Urriola, P.E.; Hanson, A.R.; Saqui-Salces, M.; Kerr, B.J.; Shurson, G.C.; Chen, C. Identification of activation of tryptophan-NAD+ pathway as a prominent metabolic response to thermally oxidized oil through metabolomics-guided biochemical analysis. J. Nutr. Biochem. 2018, 57, 255–267. [Google Scholar] [CrossRef]
- Guo, Q.P.; Zhang, L.Y.; Duan, Y.H.; Wang, W.L.; Huang, R.L.; Li, F.N. Changes in carcass traits, meat quality, muscle fiber characteristics, and liver function of finishing pigs fed high level of fish oil. Can. J. Anim. Sci. 2021, 101, 342–352. [Google Scholar] [CrossRef]
- Nong, Q.Y.; Wang, L.Y.; Zhou, Y.B.; Sun, Y.; Chen, W.T.; Xie, J.T.; Zhu, X.D.; Shan, T.Z. Low dietary n-6/n-3 pufa ratio regulates meat quality, reduces triglyceride content, and improves fatty acid composition of meat in heigai pigs. Animals 2020, 10, 1543. [Google Scholar] [CrossRef]
- de Tonnac, A.; Mourot, J. Effect of dietary sources of n-3 fatty acids on pig performance and technological, nutritional and sensory qualities of pork. Animal 2018, 12, 1527–1535. [Google Scholar] [CrossRef]
- Anjum, M.; Mirza, I.; Khan, A.; Azim, A. Effect of fresh versus oxidized soybean oil on growth performance, organs weights and meat quality of broiler chicks. Pak. Vet. J. 2004, 24, 173–178. [Google Scholar]
- Bai, M.M.; Liu, H.N.; Xu, K.; Zhang, X.F.; Deng, B.C.; Tan, C.Q.; Deng, J.P.; Bing, P.P.; Yin, Y.L. Compensation effects of coated cysteamine on meat quality, amino acid composition, fatty acid composition, mineral content in dorsal muscle and serum biochemical indices in finishing pigs offered reduced trace minerals diet. Sci. China-Life Sci. 2019, 62, 1550–1553. [Google Scholar] [CrossRef] [PubMed]
- Gagaoua, M.; Suman, S.P.; Purslow, P.P.; Lebret, B. The color of fresh pork: Consumers expectations, underlying farm-to-fork factors, myoglobin chemistry and contribution of proteomics to decipher the biochemical mechanisms. Meat Sci. 2023, 206, 109340. [Google Scholar] [CrossRef] [PubMed]
- Bo, H.X.; Hiep, H.; Nga, B.T.T.; Hanh, H.Q.; Do Duc, L. Effects of compound trace minerals on the growth performance, carcass characteristics and meat quality of fattening pigs. Anim. Biotechnol. 2023, 34, 1822–1827. [Google Scholar] [CrossRef]
- Ma, X.Y.; Lin, Y.C.; Jiang, Z.Y.; Zheng, C.T.; Zhou, G.L.; Yu, D.Q.; Cao, T.; Wang, J.; Chen, F. Dietary arginine supplementation enhances antioxidative capacity and improves meat quality of finishing pigs. Amino Acids 2010, 38, 95–102. [Google Scholar] [CrossRef] [PubMed]
- Su, G.Q.; Zhou, X.W.; Wang, Y.; Chen, D.W.; Chen, G.; Li, Y.; He, J. Effects of plant essential oil supplementation on growth performance, immune function and antioxidant activities in weaned pigs. Lipids Health Dis. 2018, 17, 1–10. [Google Scholar] [CrossRef]
- Yin, P.; Xie, S.W.; Huo, Y.J.; Guo, T.Y.; Fang, H.H.; Zhang, Y.M.; Liu, Y.J.; Tian, L.X.; Niu, J. Effects of dietary oxidized fish oil on growth performance, antioxidant defense system, apoptosis and mitochondrial function of juvenile largemouth bass (Micropterus salmoides). Aquaculture 2019, 500, 347–358. [Google Scholar] [CrossRef]
- Awney, H.A. The effects of Bifidobacteria on the lipid profile and oxidative stress biomarkers of male rats fed thermally oxidized soybean oil. Biomarkers 2011, 16, 445–452. [Google Scholar] [CrossRef]
- Guo, Q.P.; Zhang, L.Y.; Yin, Y.J.; Gong, S.M.; Yang, Y.H.; Chen, S.S.; Han, M.M.; Duan, Y.H. Taurine attenuates oxidized fish oil-induced oxidative stress and lipid metabolism disorder in mice. Antioxidants 2022, 11, 1391. [Google Scholar] [CrossRef]
- Simoes, I.C.M.; Fontes, A.; Pinton, P.; Zischka, H.; Wieckowski, M.R. Mitochondria in non-alcoholic fatty liver disease. Int. J. Biochem. Cell Biol. 2018, 95, 93–99. [Google Scholar] [CrossRef]
- Tancharoenrat, P.; Ravindran, V.; Zaefarian, F.; Ravindran, G. Digestion of fat and fatty acids along the gastrointestinal tract of broiler chickens. Poult. Sci. 2014, 93, 371–379. [Google Scholar] [CrossRef]
- Martinez-Guryn, K.; Hubert, N.; Frazier, K.; Urlass, S.; Musch, M.W.; Ojeda, P.; Pierre, J.F.; Miyoshi, J.; Sontag, T.J.; Cham, C.M.; et al. Small intestine microbiota regulate host digestive and absorptive adaptive responses to dietary lipids. Cell Host Microbe 2018, 23, 458–469. [Google Scholar] [CrossRef] [PubMed]
- Fava, F.; Gitau, R.; Griffin, B.A.; Gibson, G.R.; Tuohy, K.M.; Lovegrove, J.A. The type and quantity of dietary fat and carbohydrate alter faecal microbiome and short-chain fatty acid excretion in a metabolic syndrome ‘at-risk’ population. Int. J. Obes. 2013, 37, 216–223. [Google Scholar] [CrossRef] [PubMed]
- Zhou, Z.K.; Wang, Y.Y.; Jiang, Y.M.; Diao, Y.J.; Strappe, P.; Prenzler, P.; Ayton, J.; Blanchard, C. Deep-fried oil consumption in rats impairs glycerolipid metabolism, gut histology and microbiota structure. Lipids Health Dis. 2016, 15, 1–11. [Google Scholar] [CrossRef] [PubMed]
- De Rodas, B.; Youmans, B.P.; Danzeisen, J.L.; Huyen, T.; Johnson, T.J. Microbiome profiling of commercial pigs from farrow to finish. J. Anim. Sci. 2018, 96, 1778–1794. [Google Scholar] [CrossRef] [PubMed]
- Altieri, C.; Bevilacqua, A.; Cardillo, D.; Sinigaglia, M. Effectiveness of fatty acids and their monoglycerides against gram-negative pathogens. Int. J. Food Sci. Technol. 2009, 44, 359–366. [Google Scholar] [CrossRef]
- Bielik, V.; Kolisek, M. Bioaccessibility and bioavailability of minerals in relation to a healthy gut microbiome. Int. J. Mol. Sci. 2021, 22, 6803. [Google Scholar] [CrossRef]
- Zhang, B.; Dong, W.; Ma, Z.; Duan, S.; Han, R.; Lv, Z.; Liu, X.; Mao, Y. Hyperbaric oxygen improves depression-like behaviors in chronic stress model mice by remodeling gut microbiota and regulating host metabolism. CNS Neurosci. Ther. 2023, 29, 239–255. [Google Scholar] [CrossRef]
- Zeng, H.; Ishaq, S.L.; Zhao, F.-Q.; Wright, A.-D.G. Colonic inflammation accompanies an increase of β-catenin signaling and Lachnospiraceae/Streptococcaceae bacteria in the hind gut of high-fat diet-fed mice. J. Nutr. Biochem. 2016, 35, 30–36. [Google Scholar] [CrossRef]




| Items | Fresh Soy Oil | Oxidized Soy Oil |
|---|---|---|
| POV, mmol/kg | 3.89 | 83.58 |
| Acid value, mg KOH/g | 0.18 | 1.17 |
| Fatty acids composition, mg/kg | ||
| SFA | 161.37 | 252.15 |
| C8:0 | 0.05 | 0.71 |
| C10:0 | 0.11 | 0.31 |
| C12:0 | 0.14 | 0.50 |
| C13:0 | 0.03 | 0.00 |
| C14:0 | 0.82 | 4.83 |
| C15:0 | 0.11 | 0.52 |
| C16:0 | 106.23 | 172.60 |
| C17:0 | 0.10 | 1.66 |
| C18:0 | 41.32 | 60.29 |
| C20:0 | 4.23 | 3.28 |
| C21:0 | 0.83 | 2.01 |
| C22:0 | 4.83 | 3.49 |
| C23:0 | 0.84 | 0.62 |
| C24:0 | 1.73 | 1.33 |
| MUFA | 239.34 | 320.79 |
| C14:1 | 0.03 | 0.35 |
| C16:1 | 0.92 | 12.26 |
| C18:1n9c | 235.72 | 302.98 |
| C20:1 | 2.42 | 4.12 |
| C22:1n9 | 0.22 | 0.70 |
| C24:1 | 0.03 | 0.38 |
| PUFA | 598.86 | 388.21 |
| C18:2n6c | 527.21 | 347.64 |
| C18:3n3 | 71.32 | 38.20 |
| C20:3n6 | 0.03 | 0.49 |
| C20:4n6 | 0.02 | 0.94 |
| C20:3n3 | 0.04 | 0.29 |
| C20:5n3 | 0.06 | 0.29 |
| C22:2 | 0.11 | 0.35 |
| C22:6n3 | 0.07 | 0.00 |
| SUM | 999.57 | 961.14 |
| Items | FISI | OISI | FISY | OISY | OOSY |
|---|---|---|---|---|---|
| Trace minerals, mg/kg | |||||
| Fe | 80(I) | 80(I) | 80(I) | 80(I) | 20(O) |
| Cu | 15(I) | 15(I) | 15(I) | 15(I) | 3.75(O) |
| Mn | 20(I) | 20(I) | 20(I) | 20(I) | 5(O) |
| Zn | 80(I) | 80(I) | 80(I) | 80(I) | 20(O) |
| Se | 0.3(I) | 0.3(I) | 0.3(O) | 0.3(O) | 0.3(O) |
| Dietary inclusion of soy oil, % | |||||
| Fresh soy oil | 2 | - | 2 | - | - |
| Oxidized soy oil | - | 2 | - | 2 | 2 |
| Analysis of dietary minerals, mg/kg | |||||
| Fe | 82 | 83 | 83 | 82 | 23 |
| Cu | 16 | 17 | 17 | 17 | 4 |
| Mn | 20 | 20 | 21 | 20 | 6 |
| Zn | 78 | 82 | 81 | 80 | 22 |
| Se | 0.30 | 0.32 | 0.32 | 0.31 | 0.30 |
| Items | FISI | OISI | FISY | OISY | OOSY | SEM | p-Value |
|---|---|---|---|---|---|---|---|
| Carcass weight, kg | 78.34 | 77.93 | 76.31 | 78.12 | 79 | 1.63 | 0.35 |
| Carcass length, cm | 83.55 | 83.14 | 81.52 | 82.78 | 84.33 | 1.85 | 0.14 |
| Dressing percentage, % | 66.01 bc | 64.37 c | 68.40 ab | 66.65 bc | 69.95 a | 1.25 | 0.01 |
| Loin eye length, cm | 101.06 | 95.49 | 97.41 | 99.73 | 101.87 | 6.31 | 0.4 |
| Loin eye width, cm | 71.74 | 65.78 | 68.84 | 70.11 | 71.55 | 5.73 | 0.39 |
| Loin eye area, cm2 | 5081 | 4406 | 4726 | 4918 | 5124 | 634 | 0.3 |
| Shoulder fat thickness, mm | 28.25 | 31.96 | 28.91 | 30.9 | 30.82 | 3.34 | 0.31 |
| The last rib fat thickness, mm | 15.93 | 16.17 | 15.36 | 16.81 | 17.39 | 2.99 | 0.8 |
| Lumbosacral fat thickness, mm | 10.25 | 12.59 | 11.11 | 11.07 | 12.14 | 2.39 | 0.47 |
| The 6th to 7th rib fat thickness, mm | 19.88 | 23.37 | 21.25 | 24.32 | 25.02 | 3.47 | 0.08 |
| The 10th rib fat thickness, mm | 16.04 | 18.15 | 16.83 | 17.86 | 18.28 | 3.64 | 0.79 |
| Items | FISI | OISI | FISY | OISY | OOSY | SEM | p-Value |
|---|---|---|---|---|---|---|---|
| Marbling score | 2.92 | 2.25 | 2.42 | 3.08 | 2.75 | 0.75 | 0.32 |
| Flesh color score | 3.17 | 3.08 | 3.17 | 2.83 | 3.08 | 0.67 | 0.91 |
| l* 45min | 46.82 | 46.8 | 47.21 | 47.02 | 47.95 | 2.99 | 0.96 |
| a* 45min | 17.86 b | 18.11 b | 18.97 a | 18.26 ab | 17.65 b | 0.7 | 0.03 |
| b* 45min | 1.01 | 1.08 | 0.88 | 0.92 | 1.2 | 0.42 | 0.7 |
| pH 45min | 5.98 | 5.93 | 6.02 | 6.03 | 5.89 | 0.28 | 0.9 |
| l* 24h | 50.95 | 49.84 | 51.92 | 51.14 | 52.63 | 1.76 | 0.11 |
| a* 24h | 17.63 | 17.96 | 17.93 | 17.64 | 16.91 | 0.71 | 0.09 |
| b* 24h | 0.91 | 0.98 | 0.77 | 0.81 | 1.12 | 0.46 | 0.7 |
| pH 24h | 5.74 | 5.73 | 5.74 | 5.78 | 5.72 | 0.17 | 0.98 |
| Drip loss% | 2.42 | 2.57 | 2.4 | 2.58 | 2.4 | 0.74 | 0.98 |
| Items, mg/kg | FISI | OISI | FISY | OISY | OOSY | SEM | p-Value |
|---|---|---|---|---|---|---|---|
| SFA | 27.72 | 28.6 | 26.84 | 27.45 | 23.85 | 1.63 | 0.93 |
| C8:0 | 0.02 | 0.02 | 0.01 | 0.02 | 0.02 | 0 | 0.60 |
| C10:0 | 0.04 | 0.06 | 0.04 | 0.06 | 0.01 | 0.01 | 0.73 |
| C12:0 | 0.06 | 0.07 | 0.06 | 0.06 | 0.05 | 0 | 0.69 |
| C14:0 | 0.21 | 0.1 | 0.3 | 0.13 | 0.32 | 0.06 | 0.87 |
| C15:0 | 3.41 | 2.68 | 4.96 | 2.52 | 6.54 | 0 | 0.84 |
| C16:0 | 0.01 | 0.01 | 0.02 | 0 | 0.01 | 1.04 | 0.90 |
| C17:0 | 0.21 | 0.21 | 0.22 | 0.22 | 0.21 | 0.01 | 0.99 |
| C18:0 | 9.22 | 9.09 | 8.99 | 8.93 | 8.01 | 0.5 | 0.96 |
| C20:0 | 0.02 | 0.03 | 0.09 | 0.04 | 0.09 | 0.01 | 0.98 |
| C21:0 | 0.05 | 0.04 | 0.12 | 0.06 | 0.09 | 0.02 | 0.52 |
| C22:0 | 0.05 | 0.06 | 0.06 | 0.06 | 0.06 | 0 | 0.53 |
| C23:0 | 0.04 | 0.04 | 0.03 | 0.04 | 0.04 | 0 | 0.61 |
| C24:0 | 0.05 | 0.05 | 0.05 | 0.06 | 0.06 | 0 | 0.88 |
| MUFA | 28.73 | 32.06 | 27.53 | 30.22 | 25.04 | 2.11 | 0.90 |
| C14:1 | 0.01 | 0.02 | 0.01 | 0.02 | 0.02 | 0 | 0.46 |
| C16:1 | 1.89 | 2.38 | 1.76 | 2.07 | 1.68 | 0.16 | 0.70 |
| C18:1n9c | 26.19 | 28.96 | 25.14 | 27.45 | 22.73 | 1.91 | 0.91 |
| C20:1 | 0.48 | 0.55 | 0.46 | 0.52 | 0.43 | 0.44 | 0.93 |
| C22:1n9 | 0.1 | 0.09 | 0.1 | 0.12 | 0.12 | 0.01 | 0.50 |
| C24:1 | 0.05 | 0.07 | 0.06 | 0.06 | 0.07 | 0 | 0.31 |
| PUFA | 19.01 | 21.17 | 23.67 | 19.52 | 18.07 | 0.92 | 0.33 |
| C18:2n6c | 8.18 | 9.04 | 10.18 | 8.37 | 7.55 | 0.42 | 0.32 |
| C18:3n3 | 0.21 | 0.3 | 0.41 | 0.29 | 0.24 | 0.03 | 0.29 |
| C20:3n6 | 0.2 | 0.21 | 0.2 | 0.21 | 0.23 | 0.01 | 0.60 |
| C20:4n6 | 1.53 | 1.69 | 1.75 | 1.5 | 1.73 | 0.04 | 0.26 |
| C20:3n3 | 0.06 | 0.07 | 0.08 | 0.08 | 0.06 | 0.01 | 0.76 |
| C20:5n3 | 0.06 | 0.06 | 0.06 | 0.06 | 0.07 | 0 | 0.84 |
| C22:2 | 0.05 | 0.07 | 0.05 | 0.05 | 0.05 | 0.07 | 0.87 |
| C22:6n3 | 0.08 | 0.09 | 0.09 | 0.08 | 0.09 | 0.01 | 0.80 |
| SUM | 66.83 | 72.22 | 67.2 | 68.3 | 58.93 | 4.08 | 0.43 |
| Items, mg/kg | FISI | OISI | FISY | OISY | OOSY | SEM | p-Value |
|---|---|---|---|---|---|---|---|
| SFA | 441.83 | 389.31 | 414.18 | 416.41 | 413.37 | 8.67 | 0.47 |
| C8:0 | 0.11 | 0.14 | 0.10 | 0.11 | 0.12 | 0.01 | 0.32 |
| C10:0 | 0.88 | 0.98 | 0.90 | 0.93 | 0.93 | 0.02 | 0.55 |
| C12:0 | 1.20 | 1.13 | 1.18 | 1.14 | 1.20 | 0.04 | 0.98 |
| C13:0 | 0.01 | 0.01 | 0.02 | 0.02 | 0.01 | 0.01 | 0.97 |
| C14:0 | 15.32 | 14.26 | 15.64 | 15.22 | 15.61 | 0.29 | 0.64 |
| C15:0 | 0.56 | 0.57 | 0.59 | 0.66 | 0.67 | 0.61 | 0.94 |
| C16:0 | 258.41 | 235.54 | 244.01 | 251.32 | 246.89 | 3.99 | 0.48 |
| C17:0 | 3.82 | 3.67 | 3.30 | 4.10 | 4.21 | 0.27 | 0.91 |
| C18:0 | 152.55 | 124.61 | 138.16 | 133.55 | 135.88 | 5.35 | 0.62 |
| C20:0 | 2.47 | 1.88 | 2.79 | 2.26 | 1.67 | 0.16 | 0.25 |
| C21:0 | 6.16 | 6.16 | 7.15 | 6.69 | 5.82 | 0.18 | 0.22 |
| C22:0 | 0.16 ab | 0.13 c | 0.18 a | 0.17 ab | 0.14 ab | 0.01 | <0.05 |
| C23:0 | 0.13 ab | 0.17 ab | 0.10 c | 0.18 ab | 0.19 a | 0.11 | <0.05 |
| C24:0 | 0.06 | 0.05 | 0.10 | 0.05 | 0.04 | 0.01 | 0.33 |
| MUFA | 377.58 | 378.66 | 345.83 | 376.78 | 371.93 | 6.50 | 0.66 |
| C14:1 | 0.15 | 0.18 | 0.17 | 0.17 | 0.20 | 0.01 | 0.69 |
| C16:1 | 17.64 | 20.42 | 17.44 | 20.22 | 20.63 | 0.93 | 0.76 |
| C18:1n9c | 351.97 | 350.68 | 321.42 | 348.85 | 343.99 | 6.02 | 0.67 |
| C20:1 | 7.52 | 6.91 | 6.43 | 7.19 | 6.51 | 0.25 | 0.69 |
| C22:1n9 | 0.26 | 0.28 | 0.32 | 0.29 | 0.34 | 0.01 | 0.06 |
| C24:1 | 0.04 | 0.19 | 0.06 | 0.05 | 0.27 | 0.05 | 0.61 |
| PUFA | 156.61 | 155.57 | 210.05 | 176.33 | 165.69 | 170.19 | 0.13 |
| C18:2n6c | 142.47 | 141.58 | 192.17 | 160.84 | 151.21 | 6.43 | 0.12 |
| C18:3n3 | 8.71 | 8.23 | 11.59 | 8.96 | 8.23 | 0.43 | 0.14 |
| C20:3n6 | 0.83 | 0.92 | 1.00 | 1.11 | 1.12 | 0.05 | 0.24 |
| C20:4n6 | 2.25 | 2.57 | 3.08 | 2.67 | 2.92 | 0.14 | 0.44 |
| C20:3n3 | 1.30 | 1.24 | 1.42 | 1.28 | 0.99 | 0.19 | 0.08 |
| C20:5n3 | 0.20 | 0.17 | 0.18 | 0.24 | 0.24 | 0.02 | 0.63 |
| C22:2 | 0.33 | 0.55 | 0.14 | 0.47 | 0.53 | 0.05 | 0.06 |
| C22:6n3 | 0.53 | 0.30 | 0.51 | 0.76 | 0.47 | 0.07 | 0.44 |
| SUM | 976.51 | 924.08 | 970.83 | 970.03 | 951.58 | 9.51 | 0.42 |
Disclaimer/Publisher’s Note: The statements, opinions and data contained in all publications are solely those of the individual author(s) and contributor(s) and not of MDPI and/or the editor(s). MDPI and/or the editor(s) disclaim responsibility for any injury to people or property resulting from any ideas, methods, instructions or products referred to in the content. |
© 2024 by the authors. Licensee MDPI, Basel, Switzerland. This article is an open access article distributed under the terms and conditions of the Creative Commons Attribution (CC BY) license (https://creativecommons.org/licenses/by/4.0/).
Share and Cite
Zhang, G.; Huang, J.; Sun, Z.; Guo, Y.; Lin, G.; Zhang, Z.; Zhao, J. Effects of Trace Mineral Source on Growth Performance, Antioxidant Activity, and Meat Quality of Pigs Fed an Oxidized Soy Oil Supplemented Diet. Antioxidants 2024, 13, 1227. https://doi.org/10.3390/antiox13101227
Zhang G, Huang J, Sun Z, Guo Y, Lin G, Zhang Z, Zhao J. Effects of Trace Mineral Source on Growth Performance, Antioxidant Activity, and Meat Quality of Pigs Fed an Oxidized Soy Oil Supplemented Diet. Antioxidants. 2024; 13(10):1227. https://doi.org/10.3390/antiox13101227
Chicago/Turabian StyleZhang, Ge, Jingyi Huang, Zhiqiang Sun, Yuhan Guo, Gang Lin, Zeyu Zhang, and Jinbiao Zhao. 2024. "Effects of Trace Mineral Source on Growth Performance, Antioxidant Activity, and Meat Quality of Pigs Fed an Oxidized Soy Oil Supplemented Diet" Antioxidants 13, no. 10: 1227. https://doi.org/10.3390/antiox13101227
APA StyleZhang, G., Huang, J., Sun, Z., Guo, Y., Lin, G., Zhang, Z., & Zhao, J. (2024). Effects of Trace Mineral Source on Growth Performance, Antioxidant Activity, and Meat Quality of Pigs Fed an Oxidized Soy Oil Supplemented Diet. Antioxidants, 13(10), 1227. https://doi.org/10.3390/antiox13101227

