Abstract
To investigate the effects of taurine and vitamin C on gibel carp (Carrassius auratus gibeilo), fish (41.85 ± 0.03 g) were fed three diets with 0% taurine + 0% vitamin C (D0), 0.1% taurine + 0% vitamin C (D1), and 0.1% taurine + 0.1% vitamin C (D2) for 8 weeks. Then 12-hour hypoxic stress test was conducted. The results showed that weight gain rate (WGR), specific growth rate (SGR), and sustained swimming time (SST) were significantly increased in the D2. CAT, SOD, T-AOC, and GSH were increased. GSH-Px and il-6 were decreased in D1 and D2. In hypoxia, CAT and T-AOC were decreased, while GSH, sod, and nrf2 were the highest in D1. Compared to normoxia, GSH-Px was increased, while SOD and MDA were decreased. Il-10 and nf-κb were increased. Vegf, epo, and ho-1 were increased and they all were higher than that in normoxia. The number of gill cell mitochondria and survival rate (SR) of gibel carp had an increasing trend but no significant difference among groups. In conclusion, taurine with vitamin C improved the growth and SST of gibel carp, and taurine and taurine with vitamin C improved antioxidant capacity, immunity, and hypoxia tolerance.
1. Introduction
Hypoxia is one of the main environmental factors limiting the healthy development of aquaculture [1,2,3]. Dissolved oxygen (DO) is necessary for the survival of aquatic animals. When the DO concentration is less than 2 mg/L, the aquatic environment is hypoxic. This can lead to various negative effects on aquatic animals, such as reduced food intake, abnormal movement, and even death [4,5]. Various attempts have been made to mitigate the effects of hypoxia on the health of fish. Studies have shown that the use of feed additives to improve fish tolerance is effective. For example, the appropriate addition of arginine to the feed can be helpful to improve the survival of the Indian major carp (Cirrhinus mrigala) under hypoxia [6]. The appropriate levels of γ-aminobutyric acid (GABA) in the feed can modulate the HIF-1 signaling pathway and blood biochemical levels of the Indian major carp to improve its survival under hypoxia [7]. The appropriate addition of mulberry leaf extract can reduce excess reactive oxygen species (ROS) in gibel carp (Carrassius auratus gibeilo), reduce oxidative damage, and improve their ability to tolerate hypoxia [8]. Therefore, food supplements are a viable method to alleviate the negative effects of hypoxic stress with the help of food.
Taurine is an organic acid that was originally isolated from the bile of bulls and is also known as sulphonic acid or sulphonic amino acid [9]. As a non-protein amino acid, taurine is not involved in protein synthesis and does not provide energy; however, it has been found in large amounts in tissues, accounting for 30–50% of total amino acids, and is an important free amino acid in the tissues of the body [10,11]. In recent years, the nutritional and physiological functions of taurine in aquatic animals and its use in feed have attracted much attention. The results of related studies have shown that the addition of taurine to feed can improve fish growth [12,13,14,15]. Other studies have shown that taurine can improve the ability of animals to tolerate hypoxia, prevent hypoxia-induced death of hepatocytes in rats [16], and increase the hypoxia tolerance of juvenile grass carp (Ctenopharyngodon idellus) [17]. Therefore, taurine is a beneficial additive for aquatic animals.
Vitamin C, also known as ascorbic acid, is a water-soluble antioxidant that can reduce ROS and protect cells from oxidative damage. It is an essential nutrient for animal growth and metabolism and can also improve fish growth, boost immunity and antioxidant capacity, and relieve stress [18,19]. Related studies have shown that the adequate addition of vitamin C to feed can improve the growth performance of coho salmon (Oncorhynchus kisutch) [20], silver carp (Hypophthalmichthys molitrix) [21], and tiger pufferfish (Takifugu rubripes) [19], while adequate levels of vitamin C can also boost the immunity of fish [22,23,24]. Using antioxidant enzymes as indicators, an appropriate amount of vitamin C can be used to increase the antioxidant capacity of fish [21,25,26]. An adequate supply of vitamin C as a coenzyme is beneficial to the growth and physical health of fish.
The gibel carp, Carrassius auratus gibeilo, is an important freshwater aquaculture species that plays a prominent role in meeting the human need for proteins and aquatic products [27]. However, climatic factors and intensive aquaculture may also expose gibel carp to the dangers of hypoxic stress, affecting its growth and production. Previous studies have shown that taurine can be used as a feed supplement to effectively improve the growth and hypoxia tolerance of some fish; however, a corresponding study on gibel carp has not yet been conducted. In addition, it is worth exploring whether hypoxic tolerance can be further improved by the combined effects of taurine and vitamin C. Therefore, this study was designed to investigate the effect of taurine and the combined effect of taurine and vitamin C on the growth performance, antioxidant capacity, immunity, and hypoxia tolerance of gibel carp in order to improve the growth and stress resistance of fish and promote the stable development of aquaculture.
2. Materials and Methods
2.1. Diet Preparation
Based on previous studies [13,28], we designed three experimental diets by adding different amounts of taurine and vitamin C to the normal diet: 0% taurine + 0% vitamin C (D0, control group), 0.1% taurine + 0% vitamin C (D1), and 0.1% taurine + 0.1% vitamin C (D2). Table 1 lists the normal feed composition. The amino acid balancing method was based on our previous study [29]. Fish, chicken, soybean, cottonseed, and rapeseed meals were used as the main protein sources. Soybean oil was the main lipid source. The feed production process includes crushing, sieving, weighing, mixing, and pelleting [30]. The ingredients were crushed, sieved, proportioned, mixed with water and oil according to the feed formulation, pelleted in a pelletizing machine (F-26(II), South China University of Technology, Guangzhou, China), and dried. The feed was frozen at −20 °C for further use.
Table 1.
Ingredient and nutrient composition of the normal diet (% dry matter).
2.2. Experimental Procedure
Fish were obtained from the Freshwater Fisheries Research Center. At the beginning of the feeding trial, the fish were fasted for 24 h and then weighed. A total of 180 healthy gibel carp (41.85 ± 0.03 g) were randomly divided into three experimental groups with three replicates each, resulting in a total of nine cages. Fish were fed twice daily based on apparent satiety (6:30 and 16:30). Fish mortality was recorded daily. Feeding trials were conducted in 1 m × 1 m × 1 m floating cages and maintained for 8 weeks. Water quality was continuously monitored, and the water temperature was 28 ± 2 °C. DO was maintained at ≥6.5 mg/L, and total ammonia nitrogen was below 0.1 mg/L throughout the feeding process. Aquaculture experiments were conducted at the Nanquan Aquaculture Basement of the Freshwater Fisheries Research Center (Wuxi, China).
2.3. Sample Collection
After the feeding trial, fish were fasted for 24 h before sampling. Fish in all cages were weighed to obtain data on growth performance. Two randomly selected fish from each cage were used to collect liver tissue samples. Liver samples were collected and temporarily stored in a tank of liquid nitrogen at −196 °C. After sampling, all liver samples were stored at −80 °C for subsequent gene expression analysis and determination of antioxidant enzyme activity. Two additional fish were randomly selected from each cage and stored at −20 °C for whole-body composition analysis. A SY28060 swimming flume (Loligo Systems, Viborg, Denmark) was used to test the swimming ability of gibel carp. Specific measurements were based on previous studies [31]. One fish was placed in the flume test area. The flow velocity was set at 5 cm/s to acclimatize the fish, and the flow velocity of the water was gradually increased to 30 cm/s. At the same time, the time between the fish swimming against the current and the point at which the fish swam with the current to the wall of the flume and stopped moving was recorded as the sustained swimming time (SST).
The remaining fish were safely transferred to a recirculating water culture system (300 L per tank) for hypoxia experiments. Before starting hypoxic stress, the water surface in the tanks was set high enough to allow the fish to swim freely, and the water surface was covered with a transparent suspension film to prevent oxygen exchange between air and water. The DO content of the water was monitored during the experiment using a portable dissolved oxygen meter. Stress was triggered when the DO content in the water dropped to 0.8 ± 0.1 mg/L. The stress period was 12 h, during which the fish in each tank were observed and recorded. Twelve hours later, the SR of the fish was noted. During the process, the water temperature was approximately 19.5 °C. Liver tissue was collected from six of the remaining fish for analysis of gene expression and antioxidant enzyme activity, and gill tissue was collected for transmission electron microscopy.
2.4. Chemical Analysis
The moisture, crude protein, crude lipid, and ash contents (%) of the experimental feed and whole fish body were measured using standard methods with three replicates per group [32]. The samples were first dried in an oven at 105 °C to determine the moisture content. Subsequently, crude protein content was measured using the Kjeldahl nitrogen determination method on an automatic instrument (Haineng K1100, Jinan Haineng Instrument Co., Ltd., Jinan, China). Crude lipid content was analyzed by the Soxhlet extraction method in an automatic fat analyzer (Haineng SOX606, Jinan Haineng Instrument Co., Ltd., China) and samples were calcined at 560 °C for 6 h in a Muffle furnace (XL-2A, Hangzhou Zhuochi Instrument Co., Ltd., Hangzhou, China) to obtain ash content data. Activities of antioxidant enzymes such as catalase (CAT) (U/mgprot), superoxide dismutase (SOD) (U/mgprot), glutathione peroxidase (GSH-Px) (U/mgprot), total antioxidant capacity (T-AOC) (mmol/gprot), glutathione (GSH) (μmol/gprot), and malondialdehyde (MDA) (nmol/mgprot) were measured using corresponding kits provided by Nanjing Jiancheng Bioengineering Institute (Nanjing, China) following previous studies. The expertise of the measurement methods is widely recognized by universities and research institutes [33,34,35,36]. The main instrument used was the spectrophotometer (Thermo Fisher Multiskan GO, Shanghai, China). The succinct methods of determining antioxidant enzyme activities as well as MDA are shown in Table 2. The specific methods for determination were as follows: All operations were performed in strict accordance with the instructions of the kits. (1) CAT was measured using the kit model A007-1-1 by the ammonium molybdenum acid method. Each milligram of protein in the sample corresponds to 1 µmol of H2O2 decomposed by CAT per second as one unit of activity (U). (2) T-AOC was determined using the kit A015-2-1 by the ABTS method. The principle is that ABTS is oxidized to green ABTS+ in the presence of a suitable oxidant. Antioxidants inhibit the production of ABTS+. The total antioxidant capacity of a sample can be determined and calculated by measuring the absorbance of ABTS+ at 405 nm or 734 nm, and Trolox is used as a reference for the total antioxidant capacity of antioxidants. (3) The activity of SOD is determined using kit model A001-3-2 with the WST-1 method, and the meaning of the result is that one unit of SOD activity (U) is the amount of enzyme required to inhibit 50% of the oxidation rate per reactive solution and per milligram of protein in 1 mL of reactive solution. (4) The TBA method was applied to determine MDA using the kit model A003-1-2. The principle is that MDA in the degradation products of lipid peroxidation can condense with thiobarbituric acid (TBA) to form a red product with a maximum absorption peak at 532 nm. Therefore, the results of the determination at this wavelength can reflect the content of MDA. (5) The kit model A006-2-1 using the microplate method was used for the determination of GSH. The principle of the determination is that GSH can react with dithiobisnitrobenzoic acid to produce a yellow compound, which can be used for colorimetric quantitative determination of the content of GSH under the condition of 405 nm wavelength. (6) The activity of GSH-Px is measured using the kit A005-1-2 by the colorimetric method. A unit of enzyme activity (U) is defined as one unit of enzyme activity (U) per milligram of protein per minute at 37 °C, minus the effect of the nonenzymatic reaction, which reduces the concentration of GSH in the reaction system by 1 μmol/L. The calculation of all the above indexes needs the protein content in liver tissue, so we use the kit model A045-2-2, applying the Caulmers Brilliant Blue method to determine the protein content. The principle is that the protein molecule has the -NH3+ group. When the brownish-red Caulmers Brilliant Blue colorant is added to the protein standard solution or the sample, the anion on the Caulmers Brilliant Blue dye combines with the protein -NH3+, making the solution turn blue. The solution turns blue, and the protein content can be calculated by measuring the absorbance. Gill cell sections were prepared by Wuhan Servicebio Technology Co., Ltd. (Wuhan, China).
Table 2.
Liver parameters related to antioxidant capacity.
2.5. RNA Extraction and Real-Time PCR Analysis
RNA was extracted from the liver tissue of gibel carp using an RNA extraction reagent (Vazyme, Nanjing, China). The concentration and quality of RNA were determined using a NanoDrop 2000 spectrophotometer. The concentration of the RNA samples was adjusted to 60 ng/μL, with A260/A280 ranging between 1.8 and 2.0. qPCR was performed using the One-Step SYBR Prime Script TM PLUS RT-PCR kit (Takara, Dalian, China) on a CFX96 Touch (Bio-Rad, Hercules, CA, USA). The qPCR reactions were programmed as follows: reverse transcription at 42 °C for 5 min, pre-denaturation at 95 °C for 10 s, then denaturation at 95 °C for 5 s and 60 °C (annealing temperature) for 30 s for 40 cycles. The melting curves were analyzed by increasing the temperature from 65 °C to 95 °C while observing fluorescence. Beta-actin (β-actin), which has high and stable expression, was chosen as the internal reference gene, and no significant difference was detected. The primer sequences used are listed in Table 3. Some of the primer sequences were obtained from previous research, and the remaining primers were designed online using Primer Premier 6.0. Sangon Biotech (Shanghai) Co., Ltd. (Shanghai, China) helped to synthesize the primers. The standard curve method was used to calculate the relative expression of genes [33].
Table 3.
Primer sequences for RT-qPCR analysis.
2.6. Statistical Analysis
The data were subjected to normality and homogeneity tests before any statistical analysis. The statistical software SPSS 25.0 was used to analyze all data. A one-way ANOVA (Duncan’s test) was used to evaluate the effects of the addition of taurine and vitamin C on growth performance, whole-body composition, SST in normoxia, SR, and the number of cellular mitochondria in hypoxia. The effects of DO and the addition of taurine and vitamin C, their interaction on the liver genes, and the antioxidant enzyme activities of gibel carp were evaluated using a two-way ANOVA. When a significant interaction between the main effects of the variables was observed, the main effects of taurine and vitamin C were evaluated using a one-way ANOVA (Duncan’s test), and those of DO were evaluated using an independent samples t-test. The results are presented as means with standard deviations. Statistical significance was set at p < 0.05.
3. Results
3.1. Growth Performance
The growth performance-related indices and feed conversion ratio (FCR) are listed in Table 4. With the addition of taurine and vitamin C, final body weight (FBW), specific growth rate (SGR), and weight gain rate (WGR) showed an increasing trend. Among all groups, WGR and SGR were highest in the D2 group, and both were higher than those in the D0 group (p < 0.05), and the survival rate (SR) of all groups was 100%. The D2 group showed an increasing trend and the highest FCR, but no significant difference was observed (p > 0.05).
Table 4.
Growth performance, whole-body composition, and swimming ability of gibel carp fed graded dietary of taurine and vitamin C levels for 8 weeks.
3.2. Whole-Body Composition
The whole-body composition of gibel carp is shown in Table 4. Moisture content was lower in both the D1 and D2 groups than in the D0 group. Crude protein content was lower in the D1 group than in the D0 group, whereas it was highest in the D2 group. The crude lipid content showed a decreasing trend and reached the lowest value in the D2 group, whereas the ash content showed an increasing trend and reached the highest value in the D2 group. None of the above body composition indices showed a significant difference between the groups (p > 0.05).
3.3. Swimming Ability
Table 4 shows the swimming ability of the different groups of gibel carp. No significant difference in SST was found between groups D1 and D0, while the SST of group D2 was significantly longer than those of the other two groups (p > 0.05).
3.4. Antioxidant Capacity of the Liver (Nrf2 Signaling Pathway)
Results of the antioxidant enzyme activities in gibel carp liver under normoxic and hypoxic environments are shown in Table 5. CAT, T-AOC, SOD, and GSH levels tended to increase with the addition of taurine and taurine with vitamin C in a normoxic environment, and the differences were significant compared with the D0 group (p < 0.05). GSH-Px tended to decrease (p < 0.05), and no significant difference was observed in MDA. In a hypoxic environment, CAT and T-AOC showed a decreasing trend, and GSH showed an increasing, and then decreasing trend, and the maximum value was observed in the D1 group (p < 0.05). The differences were not significant in SOD, MDA, and GSH-Px levels between the groups. The results of the two-way ANOVA showed that DO has a significant effect on SOD, MDA, and GSH-Px. Compared with normoxia, SOD and MDA were significantly decreased, and GSH-Px was significantly increased in hypoxia (p < 0.05), while no significant difference was found in the other indices. The addition of taurine and taurine with vitamin C significantly affected the T-AOC and GSH levels. The interaction of DO and the addition of taurine or taurine with vitamin C had significant effects on CAT, T-AOC, SOD, and GSH-Px (p < 0.05).
Table 5.
Antioxidant enzyme activities and MDA of gibel carp fed graded dietary of taurine and vitamin C levels in normoxia for 8 weeks and hypoxia for 12 h.
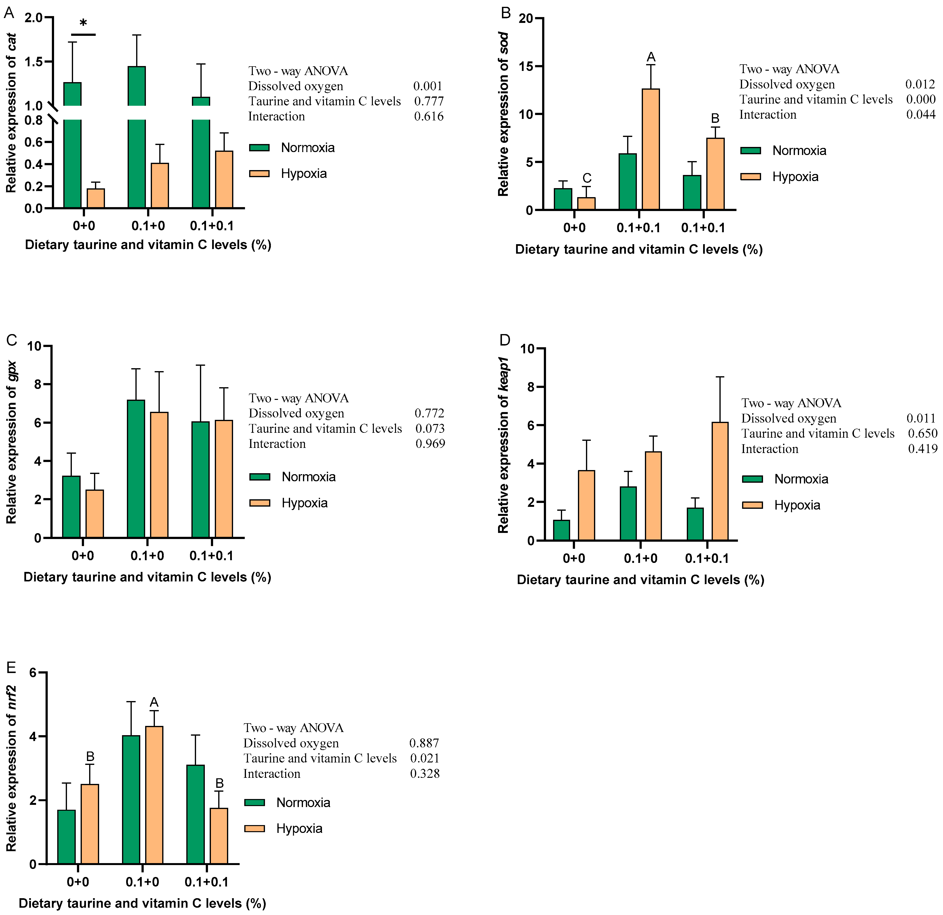
Figure 1 shows the expression levels of antioxidant-related genes in gibel carp liver under normoxic and hypoxic environments. From Figure 1, we observe that in the normoxic environment, after adding taurine and taurine with vitamin C, sod, gpx, and nrf2 had an increasing trend, but none of them had significant differences (p > 0.05). cat and keap1 had no significant trend. In the hypoxic environment, the expression of sod and nrf2 increased and then decreased after the addition of taurine and taurine with vitamin C (p < 0.05). The expression levels of cat, gpx, and keap1 were positively associated with the addition of taurine and taurine with vitamin C, but none were significantly different (p > 0.05). The results of the two-way ANOVA showed that DO significantly affected the expression of cat, sod, and keap1, while the addition of taurine and taurine with vitamin C significantly affected sod and nrf2. The expression of sod was significantly affected by the interaction between DO and the addition of taurine and taurine with vitamin C.
Figure 1.
Relative expression levels of mRNA of antioxidant-related genes of gibel carp fed graded dietary of taurine and vitamin C in normoxia for 8 weeks and hypoxia for 12 h. Data with different superscript letters are significantly different (p < 0.05); the hypoxic data were labeled with an upper case “ABC”, “*” indicates a significant difference (p < 0.05) between values of 0.8 mg/L and 6.5 mg/L dissolved oxygen as determined by t-test. (A) cat, catalase; (B) sod, superoxide dismutase; (C) gpx, glutathione peroxidase; (D) keap1, recombinant kelch-like ECH-associated protein 1; (E) nrf2, nuclear factor erythroid 2-related factor 2.
3.5. Immune Response of the Liver (NF-κB Signaling Pathway)
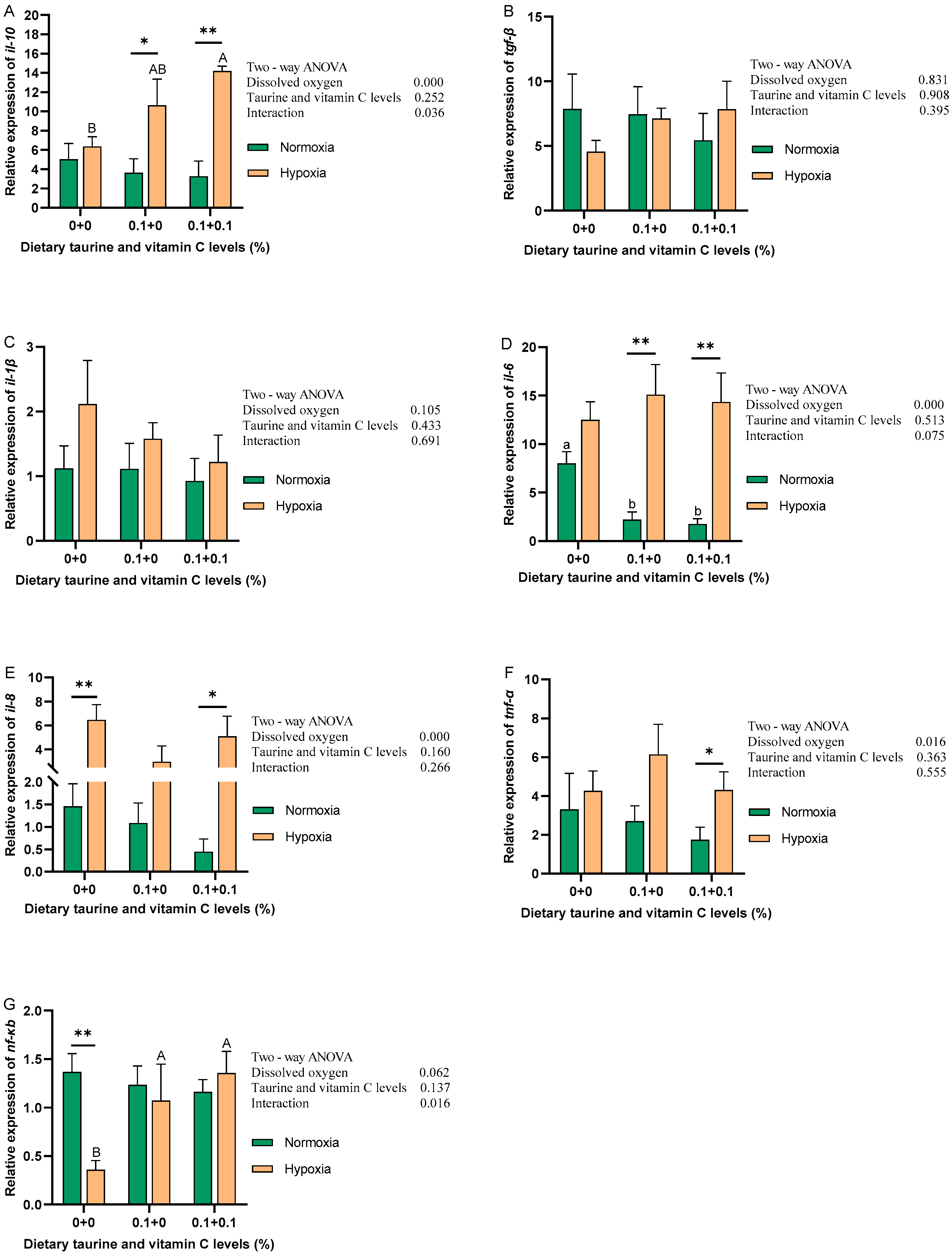
The expression levels of immune-related genes in gibel carp liver under normoxic and hypoxic environments are shown in Figure 2. In the normoxic environment, all inflammatory factors showed a decreasing trend, and the expression of il-6 in the D1 and D2 groups was significantly lower compared to the D0 group (p < 0.05); the expressions of the rest of the genes were not significantly different among groups. In hypoxia, as the additions of taurine and taurine with vitamin C, an increasing trend in the expression of il-10, tgf-β, and nf-κb was observed in gibel carp liver, among which the changes in il-10 and nf-κb were significant (p < 0.05). There were decreasing trends in the expressions of il-1β and il-8, but the differences were not significant. The remaining genes showed no significant change in trend. The results of a two-way ANOVA showed that DO could significantly affect the expression of il-10, il-6, il-8, and tnf-α (p < 0.05). The additions of taurine and taurine with vitamin C did not significantly affect the expression of each gene; il-10 and nf-κb were significantly affected by the interaction of DO and the additions of taurine and taurine with vitamin C.
Figure 2.
Relative expression levels of mRNA of hepatic inflammation-associated genes of gibel carp fed graded dietary of taurine and vitamin C in normoxia for 8 weeks and hypoxia for 12 h. Data with different superscript letters are significantly different (p < 0.05); the normoxic data were labeled with a lower case “ab” and the hypoxic data were labeled with an upper case “AB”, “*” indicates a significant difference (p < 0.05) and “**” indicates a significant difference (p < 0.01) between values of 0.8 mg/L and 6.5 mg/L dissolved oxygen as determined by t-test. (A) il-10, interleukin-10; (B) tgf-β, transforming growth factor-β; (C) il-1β, interleukin-1β; (D) il-6, interleukin-6; (E) il-8, interleukin-8; (F) tnf-α, tumor necrosis factor-α; (G) nf-κb, nuclear factor kappa-β.
3.6. Hypoxia Signaling Pathway (HIF-1 Signaling Pathway)
Figure 3 shows the expression levels of hypoxia-related genes in gibel carp liver from each group in normoxic and hypoxic environments. In a normoxic environment, the addition of taurine and taurine with vitamin C to the diet had no significant effect on each gene. In a hypoxic environment, the expression of vegf, epo, ho-1, angpt1, nos, and tfr1 was increased by the addition of taurine and taurine with vitamin C. Among them, epo, ho-1, and tfr1 were significantly increased (p < 0.05), while hif-1α showed a decreasing trend in expression levels, but there was no significant difference (p > 0.05). There was no significant trend in the expression levels of et1 and tf. The results of the two-way ANOVA showed that ho-1 was significantly affected by DO, the addition of taurine and taurine with vitamin C, and the interaction of DO and the addition of taurine and taurine with vitamin C. DO significantly affected the expression levels of hif-1α, vegf, epo, ho-1, and et1 (p < 0.05). None of the other genes was significantly affected by these three factors.
Figure 3.
Relative expression levels of mRNA of hypoxia genes of gibel carp fed graded dietary of taurine and vitamin C in normoxia for 8 weeks and hypoxia for 12 h. Data with different superscript letters are significantly different (p < 0.05); the hypoxic data were labeled with an upper case “AB”, “*” indicates a significant difference (p < 0.05) and “**” indicates a significant difference (p < 0.01) between values of 0.8 mg/L and 6.5 mg/L dissolved oxygen as determined by t-test. (A) hif-1α, hypoxia-inducible factor 1-α; (B) vegf, vascular endothelial growth factor; (C) epo, erythropoietin; (D) ho-1, heme oxygenase-1; (E) angpt1, angiopoietin-1; (F) et1, endothelin 1; (G) nos, nitric oxide synthase; (H) tf, transferrin; (I) tfr1, transferrin receptor protein 1.
3.7. Survival Rate of Fish and Mitochondrial Number in Gill Cells in Hypoxia
The results of SR and the number of cellular mitochondria (NCM) of the gibel carp in each group under hypoxia are shown in Table 6. With the addition of taurine and taurine with vitamin C, the SR and NCM increased, and the SR of the D2 group was much better than that of the other groups, although the difference was not significant. The statistical results of the NCM for each group are presented in Table 6 and Figure 4. The NCM of the D1 and D2 groups was more than the D0 group; however, the difference was not significant.
Table 6.
Survival rate of fish and the number of cellular mitochondria of gibel carp in hypoxia.

Figure 4.
Transmission electron microscopy results of gibel carp gill cells in each group in hypoxia. Note: “D0/D1/D2” denote the three treatment groups, and “A/B/C” represent three samples from the same treatment group. “M” indicates the location and number of mitochondria.
4. Discussion
4.1. Growth Performance and Whole-Body Composition
The results of the present study showed that the addition of taurine and taurine with vitamin C was beneficial to the growth performance of gibel carp, suggesting that taurine and vitamin C play an important role in regulating the growth performance of fish. Numerous studies on other fish species have also reported similar results. For example, the addition of adequate amounts of taurine in the diet has a positive effect on the growth of yellowtail (Seriola quinqueradiata) [41], Japanese flounder (Paralichthys olivaceus) [42], and turbot [43] by increasing their FBW and SGR and decreasing FCR. Adequate amounts of vitamin C supplements can improve various growth indices, such as WGR and SGR, of Lemeduk fish larvae (Barbonymus schwanenfeldii) [44] and yellow catfish [25]. One reason is that vitamin C is an essential nutrient for fish survival. It can act as an enzyme cofactor and help fish maintain optimal health and normal metabolic function, which in turn promotes their growth [45,46]. Taurine is a neuronal trophic factor that has a stimulating effect on the olfactory and gustatory senses of aquatic animals in terms of nitrogen content, water solubility, and acidity and can, therefore, be used as an attractant to promote feeding by aquatic animals [47,48]. Due to the effect of taurine to promote fish feeding and vitamin C to promote fish growth, the addition of both taurine and vitamin C to the feed significantly improved the growth performance of gibel carp.
In terms of whole-body composition, the results showed that the addition of taurine with vitamin C to the feed showed a tendency to increase the crude protein content and decrease the crude lipid content of the gibel carp, but the degree of increase and decrease was not significant compared to the D0 group. Studies have shown that the addition of taurine to feed can increase crude protein content and decrease the crude lipid content of juvenile Atlantic salmon (Salmo salar) [49]. The addition of adequate amounts of vitamin C can lead to a significant increase in crude protein and crude lipid content of the fish body [24,50]. However, vitamin C did not significantly affect the body composition of sabaki tilapia (Oreochromis spilurus) [51]; therefore, the effect of vitamin C on body composition may depend to some extent on the fish species. The results of this study indicate that exogenous taurine promotes the involvement of sulfur-containing amino acids in protein anabolism by reducing taurine synthesis in fish [52]. At the same time, taurine may be involved in the synthesis of bile acids, promote lipid metabolism [12], increase the activity of the rate-limiting enzyme, and lead to lipid-lowering effects [53]. This effect can be further enhanced by using vitamin C as a coenzyme [45]. The fact that the increase in crude protein and the decrease in crude lipid were not significant may be due to the small amount of added taurine and vitamin C.
4.2. Antioxidant Capacity of the Liver (Nrf2 Signaling Pathway)
In the normoxic experiment, the addition of taurine and taurine with vitamin C to the feed significantly increased the enzyme activities of CAT, SOD, T-AOC, and GSH. This was consistent with the results of studies on juvenile black carp [13] and yellowfin bream (Acanthopagrus latus) [54], in which the addition of moderate amounts of taurine to the feeds significantly increased the activities of antioxidant enzymes, such as SOD and CAT in fish. Similarly, the addition of vitamin C to feed could also increase the activities of related antioxidant enzymes in yellow catfish [25] and heterozygous gibel carp [28]. It has been suggested that the addition of taurine and taurine with vitamin C could improve the antioxidant ability of gibel carp by promoting the activities of related enzymes [55,56]. Interestingly, the GSH-Px results showed a significant decrease. A rational explanation for this phenomenon is that SOD can decompose the superoxide anion into H2O2; whereas, both CAT and GSH-Px are important detoxification enzymes for H2O2 [57]. When the H2O2 concentration is low, organic peroxides are the preferred substrates for GSH-Px; however, at higher H2O2 concentrations, they are metabolized by CAT [58]. The addition of taurine and taurine with vitamin C to the diet increased the expression of nrf2, sod, and the activity of GSH, while the activity of CAT and T-AOC decreased under hypoxic conditions. Compared with the normoxic results, GSH-Px activity was significantly higher in the group with 0.1% taurine + 0% vitamin C (D1) and in the group with 0.1% taurine + 0.1% vitamin C (D2) under hypoxia, which is also consistent with the above explanation. Moreover, the MDA levels of all groups were significantly lower under hypoxia than under normoxia, suggesting that the addition of taurine and vitamin C could lower the MDA levels and alleviate the hypoxic stress of gibel carp by increasing the antioxidant enzyme activities in the hypoxic environment. It can be concluded that the addition of taurine and taurine with vitamin C to the diet can increase the antioxidant capacity of gibel carp in both normoxic and hypoxic environments and alleviate hypoxic stress.
4.3. Immune Response of the Liver (NF-κB Signaling Pathway)
Studies have shown that the nuclear transcription factor κB (NF-κB) signaling pathway regulates various physiological activities and that activation of this pathway may promote inflammatory responses and is involved in immune responses [59,60]. Taurine and vitamin C have also been shown to be effective modulators of the organismal inflammatory response and are involved in physiological activities, such as immunomodulation [61,62]. For example, taurine and vitamin C can be used as effective additives to improve the immunity of the olive flounder (Paralichthys olivaceus) [63] and rainbow trout [22] by modulating inflammatory cytokines. In this experiment, the relative expression levels of the il-6 gene in the 0.1% taurine + 0% vitamin C group (D1) and the 0.1% taurine + 0.1% vitamin C group (D2) were significantly lower than those in the 0% taurine + 0% vitamin C group (D0) in normoxia. Il-6 is a pleiotropic immunocytokine with both pro-inflammatory and anti-inflammatory effects. Studies have shown that prolonged activation of the il-6 signaling pathway can cause major damage to the liver [64]. The levels of other pro-inflammatory cytokines, including il-8 and tnf-α, also showed a decreasing trend. Therefore, the addition of taurine and taurine with vitamin C to the diet can improve the immunity of gibel carp in normoxia by downregulating the expression of pro-inflammatory cytokines. Hypoxic stress can inhibit and impair immune functions in fish [65,66]. In this study, the relative expression levels of il-10, il-6, and il-8 were significantly higher under hypoxic conditions than under normoxia, suggesting that hypoxic stress exacerbates the inflammatory response in the liver. The relative expression of nf-κb in the 0.1% taurine + 0% vitamin C group (D1), and the 0.1% taurine + 0.1% vitamin C group (D2) was significantly higher than that in the 0% taurine + 0% vitamin C group (D0). Il-10 also increased, and the level in the D2 group was significantly higher than that in the D0 group. The phenomenon that both anti-inflammatory and pro-inflammatory cytokines show the same expression trend has also been observed in other studies [33,67]. It is speculated that there is a negative feedback mechanism in the NF-κB signaling pathway and that the hypoxic environment promotes the inflammatory response in the liver of gibel carp, while taurine and vitamin C activate the expression of il-10 by upregulating the expression of nf-κb to alleviate hypoxic stress.
4.4. Hypoxia Signaling Pathway (HIF-1 Signaling Pathway)
It is well known that hypoxia can be extremely detrimental to the survival and growth of fish [4,5]. Several biological mechanisms resist hypoxic stress in fish. The HIF-1 signaling pathway, which is mainly regulated by hypoxia-inducible factor 1-α (hif-1α), plays a crucial role in fish adaptation to hypoxia [68]. In this signaling pathway, hif-1α, as an upstream gene, regulates the expression of a variety of genes that can respond to the hypoxic environment and thus control the adaptation of fish to hypoxia [69,70,71,72]. In this experiment, the addition of taurine and taurine with vitamin C to the feed did not significantly affect the relative expression levels of genes in the HIF-1 signaling pathway when the gibel carp were in normoxia. However, compared to normoxia, this pathway was activated during hypoxia, and the expression of the genes hif-1α, erythropoietin (epo), vascular endothelial growth factor (vegf), and heme oxygenase-1 (ho-1), which are associated with the production and degradation of erythrocytes, vessels, and hemoglobin [69,70,71], was significantly increased, indicating that the gibel carp was affected by hypoxic stress and activated the corresponding defense mechanisms. At the same time, the addition of taurine and taurine with vitamin C significantly increased the relative expression levels of epo, ho-1, and tfr1 under hypoxia. Tfr1 is the major regulatory receptor in the process of iron uptake in cells and has a crucial function in the development of many diseases [72], suggesting that the defenses of gibel carp against hypoxia were further enhanced. This finding is consistent with previous research, showing that taurine and vitamin C can inhibit the transcription and expression of hif-1 and, thus, have a therapeutic effect on hypoxia-induced vascular remodeling [73,74]. Under hypoxia, hif-1α had a certain decreasing trend between the groups of gibel carp, but the difference was not significant, which was probably the reason for the low dose of added taurine and vitamin C. However, due to the sensitive regulatory effect of hif-1α on downstream genes, some genes showed significant differences. The above results suggest that the addition of taurine and taurine with vitamin C may further increase the tolerance of gibel carp to hypoxia by modulating the HIF-1 signaling pathway.
4.5. Survival Rate and Mitochondrial Number in Gill Cells of Gibel Carp in Hypoxia
The survival of fish in a hypoxic environment can be used as a visual indicator to assess the damage caused by hypoxia and their ability to tolerate it. In this experiment, although the difference in SR between the groups was not significant, the SR of the 0.1% taurine + 0.1% vitamin C group (D2) was much better than that of the D0 group and the 0.1% taurine + 0% vitamin C group (D1), which is consistent with previous studies showing that taurine can significantly prolong the survival time of hypoxic mice [75] and that vitamin C can improve the hypoxia tolerance of channel catfish (Ictalurus punctatus) to a certain extent [76]. At the same time, the results of this experiment indicate that feeding taurine and taurine with vitamin C can improve the antioxidant capacity, immune response, and cardiovascular oxygen transport capacity of gibel carp by modulating the Nrf2, NF-κB, and HIF-1 signaling pathways, thus intuitively showing stronger hypoxia tolerance ability and improved SR. In addition, the results of the swimming ability test conducted at the end of the feeding experiment showed that the simultaneous addition of taurine and vitamin C to the diet could significantly increase the SST of gibel carp in a certain water current environment. The results of previous studies suggested that swimming ability can be used as an important indicator to evaluate the ability of fish to adapt to the environment and that fish with strong swimming ability tend to have better metabolism and a stronger body [77,78,79]. This result can, therefore, be taken as evidence that the addition of taurine and vitamin C to the feed can improve the SR of gibel carp in hypoxic environments by increasing their physical fitness.
Mitochondria are sensitive organelles in cells under stress and are one of the most important organelles that serve as sources of energy for cellular and oxygen metabolism and play important roles in physiological and pathological processes such as cell growth, apoptosis, and senescence [80,81]. Gills are an important organ for oxygen respiration in fish, and their physicochemical state may better reflect the ability of fish to cope with hypoxia [82]. In this experiment, the number of mitochondria in the gill cells of gibel carp was higher in both the group with 0.1% taurine + 0% vitamin C (D1) and the group with 0.1% taurine + 0.1% vitamin C (D2) than in the group with 0% taurine + 0% vitamin C (D0) under hypoxic condition, although the difference was not significant. This result is generally consistent with previous studies showing that both taurine and vitamin C play a crucial role in regulating the functional expression of mitochondria [83,84]. It has been shown that hypoxia leads to high ROS production, resulting in a reduced mitochondrial inner membrane area and decreased oxidative capacity, while mitochondria themselves produce ROS through the respiratory chain, such that large amounts of ROS trigger mitochondrial autophagy in response to a hypoxic environment [85]. In conjunction with other results from this study and other studies, taurine and vitamin C may increase the antioxidant capacity of fish and reduce the damage to organisms by ROS, thereby reducing mitochondrial autophagy and improving mitochondrial function, which in turn may improve the ability of gibel carp to tolerate hypoxia.
5. Conclusions
In summary, what we have demonstrated by conducting culture trials as well as hypoxic stress experiments is that the addition of 0.1% taurine + 0.1% vitamin C to the diet could improve the growth performance and swimming ability of gibel carp, while the addition of 0.1% taurine and 0.1% taurine + 0.1% vitamin C improved the antioxidant capacity, immune response, and hypoxia tolerance of gibel carp by modulating the Nrf2, NF-κB, and HIF-1 signaling pathways.
The results of this research confirm that taurine and vitamin C are beneficial feed additives and provide referable nutritional approaches to improve the efficiency of fish farming such as gibel carp and to reduce the damage caused by hypoxic environmental stress in aquaculture. The effects of hypoxia on aquaculture are objective and long term. In the future, more relevant research needs to be invested in alleviating the problem of hypoxia in fish, such as researching more fish species, selecting more suitable feed additives, and determining the optimal amount of additives by setting different additivity levels, in order to ensure the healthy development of the aquaculture industry.
Author Contributions
M.R., H.L. and D.H. designed the study. L.Z. (Leimin Zhang) carried out the experiments and wrote the manuscript. L.Z. (Lu Zhang) provided technical guidance. All authors have read and agreed to the published version of the manuscript.
Funding
This study was financially supported by the National Key R & D Program of China (2023YFD2400601), the earmarked fund for CARS (CARS-46), the National Natural Science Foundation of China (32102806) and Central Public-interest Scientific Institution Basal Research Fund, Freshwater Fisheries Research Center, CAFS (NO. 2024JBFR01).
Institutional Review Board Statement
The study was conducted according to the Management Rule of Laboratory Animals (Chinese Order No. 676 of the State Council, revised 1 March 2017). The study was approved by the Laboratory Animal Ethics Committee of the Freshwater Fisheries Research Center (LAECFFRC-2023-03-03).
Informed Consent Statement
Not applicable.
Data Availability Statement
Data are contained within the article.
Conflicts of Interest
Lu Zhang is employed by Tongwei Agricultural Development Co., Ltd. The remaining authors declare that the research was conducted in the absence of any commercial or financial relationships that could be construed as potential conflicts of interest. Lu Zhang made important contributions to the experimental technique.
References
- Qin, F.; Shi, M.; Yuan, H.; Yuan, L.; Lu, W.; Zhang, J.; Tong, J.; Song, X. Dietary nano-selenium relieves hypoxia stress and, improves immunity and disease resistance in the Chinese mitten crab (Eriocheir sinensis). Fish Shellfish Immunol. 2016, 54, 481–488. [Google Scholar] [CrossRef] [PubMed]
- Li, F.; Sun, Z.; Qi, H.; Zhou, X.; Xu, C.; Wu, D.; Fang, F.; Feng, J.; Zhang, N. Effects of Rice-Fish Co-culture on Oxygen Consumption in Intensive Aquaculture Pond. Rice Sci. 2019, 26, 50–59. [Google Scholar] [CrossRef]
- Tanner, C.A.; Burnett, L.E.; Burnett, K.G. The effects of hypoxia and pH on phenoloxidase activity in the Atlantic blue crab, Callinectes sapidus. Comp. Biochem. Physiol. Part A Mol. Integr. Physiol. 2006, 144, 218–223. [Google Scholar] [CrossRef] [PubMed]
- Wu, R. Hypoxia: From molecular responses to ecosystem responses. Mar. Pollut. Bull. 2002, 45, 35–45. [Google Scholar] [CrossRef] [PubMed]
- Wu, R.S.S.; Zhou, B.S.; Randall, D.J.; Woo, N.Y.S.; Lam, P.K.S. Aquatic Hypoxia Is an Endocrine Disruptor and Impairs Fish Reproduction. Environ. Sci. Technol. 2003, 37, 1137–1141. [Google Scholar] [CrossRef]
- Varghese, T.; Rejish Kumar, V.; Gopan, A.; Valappil, R.K.; Sajina, K.A.; Mishal, P.; Pal, A.K. Dietary arginine modulates nonspecific immune responses in Indian Major Carp, Cirrhinus mrigala exposed to hypoxia. Aquaculture 2020, 529, 735613. [Google Scholar] [CrossRef]
- Varghese, T.; Rejish Kumar, V.J.; Anand, G.; Dasgupta, S.; Pal, A. Dietary GABA enhances hypoxia tolerance of a bottom-dwelling carp, Cirrhinus mrigala by modulating HIF-1α, thyroid hormones and metabolic responses. Fish Physiol. Biochem. 2020, 46, 199–212. [Google Scholar] [CrossRef]
- Li, H.; Lu, L.; Wu, M.; Xiong, X.; Luo, L.; Ma, Y.; Liu, Y. The effects of dietary extract of mulberry leaf on growth performance, hypoxia-reoxygenation stress and biochemical parameters in various organs of fish. Aquac. Rep. 2020, 18, 100494. [Google Scholar] [CrossRef]
- Tiedemann, F.; Gmelin, L. Einige neue Bestandtheile der Galle des Ochsen. Ann. Der Phys. 2006, 85, 326–337. [Google Scholar] [CrossRef]
- Kuzmina, V.; Gavrovskaya, L.; Ryzhova, O. Taurine. Effect on Exotrophia and Metabolism in Mammals and Fish. J. Evol. Biochem. Physiol. 2010, 46, 19–27. [Google Scholar] [CrossRef]
- Jacobsen, J.G.; Smith, L.H. Biochemistry and physiology of taurine and taurine derivatives. Physiol. Rev. 1968, 48, 424–511. [Google Scholar] [CrossRef] [PubMed]
- Kim, S.K.; Kim, K.G.; Kim, K.D.; Kim, K.W.; Son, M.H.; Rust, M.; Johnson, R. Effect of dietary taurine levels on the conjugated bile acid composition and growth of juvenile Korean rockfish Sebastes schlegeli (Hilgendorf). Aquac. Res. 2015, 46, 2768–2775. [Google Scholar] [CrossRef]
- Zhang, J.; Hu, Y.; Ai, Q.; Mao, P.; Tian, Q.; Zhong, L.; Xiao, T.; Chu, W. Effect of dietary taurine supplementation on growth performance, digestive enzyme activities and antioxidant status of juvenile black carp (Mylopharyngodon piceus) fed with low fish meal diet. Aquac. Res. 2018, 49, 3187–3195. [Google Scholar] [CrossRef]
- Zhang, Y.; Wei, Z.; Liu, G.; Deng, K.; Yang, M.; Pan, M.; Gu, Z.; Liu, D.; Zhang, W.; Mai, K. Synergistic effects of dietary carbohydrate and taurine on growth performance, digestive enzyme activities and glucose metabolism in juvenile turbot Scophthalmus maximus L. Aquaculture 2019, 499, 32–41. [Google Scholar] [CrossRef]
- Salze, G.; McLean, E.; Craig, S.R. Dietary taurine enhances growth and digestive enzyme activities in larval cobia. Aquaculture 2012, 362–363, 44–49. [Google Scholar] [CrossRef]
- Nakashima, T.; Seto, Y.; Nakajima, T.; Shima, T.; Sakamoto, Y.; Cho, N.; Sano, A.; Iwai, M.; Kagawa, K.; Okanoue, T.; et al. Calcium-associated cytoprotective effect of taurine on the calcium and oxygen paradoxes in isolated rat hepatocytes. Liver 1990, 10, 167–172. [Google Scholar] [CrossRef]
- Yang, H.; Tian, L.; Huang, J.; Liang, G.; Liu, Y. Dietary taurine can improve the hypoxia-tolerance but not the growth performance in juvenile grass carp Ctenopharyngodon idellus. Fish Physiol. Biochem. 2013, 39, 1071–1078. [Google Scholar] [CrossRef]
- Lim, C.; Lovell, R.T. Pathology of the vitamin C deficiency syndrome in channel catfish (Ictalurus punctatus). J. Nutr. 1978, 108, 1137. [Google Scholar] [CrossRef]
- Eo, J.; Lee, K. Effect of dietary ascorbic acid on growth and non-specific immune responses of tiger puffer, Takifugu rubripes. Fish Shellfish Immunol. 2008, 25, 611–616. [Google Scholar] [CrossRef]
- Xu, C.; Yu, H.; Li, L.; Li, M.; Qiu, X.; Fan, X.; Fan, Y.; Shan, L. Effects of Dietary Vitamin C on the Growth Performance, Biochemical Parameters, and Antioxidant Activity of Coho Salmon Oncorhynchus kisutch (Walbaum, 1792) Postsmolts. Aquac. Nutr. 2022, 2022, 6866578. [Google Scholar] [CrossRef]
- Khan, M.; Fatima, M.; Shah, S.Z.H.; Khan, N.; Khizar, A.; Nadeem, H.; Khan, F. Evaluation of dietary Vitamin C requirement of Hypophthalmichthys molitrix fingerlings and its effects on growth, haematology and serum enzyme activities. Aquac. Res. 2022, 53, 5582–5593. [Google Scholar] [CrossRef]
- Leal, E.; Zarza, C.; Tafalla, C. Effect of vitamin C on innate immune responses of rainbow trout (Oncorhynchus mykiss) leukocytes. Fish Shellfish Immunol. 2017, 67, 179–188. [Google Scholar] [CrossRef] [PubMed]
- Yusuf, A.; Huang, X.; Chen, N.; Apraku, A.; Wang, W.; Cornel, A.; Rahman, M.M. Impact of dietary vitamin c on plasma metabolites, antioxidant capacity and innate immunocompetence in juvenile largemouth bass, Micropterus salmoides. Aquac. Rep. 2020, 17, 100383. [Google Scholar] [CrossRef]
- Zou, W.; Lin, Z.; Huang, Y.; Limbu, S.M.; Rong, H.; Yu, C.; Lin, F.; Wen, X. Effect of dietary vitamin C on growth performance, body composition and biochemical parameters of juvenile Chu’s croaker (Nibea coibor). Aquac. Nutr. 2020, 26, 60–73. [Google Scholar] [CrossRef]
- Liang, X.; Li, Y.; Hou, Y.; Qiu, H.; Zhou, Q. Effect of dietary vitamin C on the growth performance, antioxidant ability and innate immunity of juvenile yellow catfish (Pelteobagrus fulvidraco Richardson). Aquac. Res. 2017, 48, 149–160. [Google Scholar] [CrossRef]
- Imanpoor, M.; Imanpoor, M.R.; Roohi, Z. Effects of dietary vitamin C on skeleton abnormalities, blood biochemical factors, haematocrit, growth, survival and stress response of Cyprinus carpio fry. Aquac. Int. 2017, 25, 793–803. [Google Scholar] [CrossRef]
- Henchion, M.; Hayes, M.; Mullen, A.; Fenelon, M.; Brijesh Kumar, T. Future Protein Supply and Demand: Strategies and Factors Influencing a Sustainable Equilibrium. Foods 2017, 6, 53. [Google Scholar] [CrossRef]
- Wu, L.; Xu, W.; Li, H.; Dong, B.; Geng, H.; Jin, J.; Han, D.; Liu, H.; Zhu, X.; Yang, Y.; et al. Vitamin C Attenuates Oxidative Stress, Inflammation, and Apoptosis Induced by Acute Hypoxia through the Nrf2/Keap1 Signaling Pathway in Gibel Carp (Carassius gibelio). Antioxidants 2022, 11, 935. [Google Scholar] [CrossRef]
- Huang, D.; Liang, H.; Ge, X.; Zhu, J.; Li, S.; Wang, Y.; Ren, M.; Chen, X. Effects of Dietary Lysine Levels on Growth Performance and Glycolipid Metabolism via the AKT/FoxO1 Pathway in Juvenile Largemouth Bass, Micropterus salmoides. Aquac. Nutr. 2022, 2022, 1372819. [Google Scholar] [CrossRef]
- Ren, M.; Liao, Y.; Xie, J.; Liu, B.; Zhou, Q.; Ge, X.; Cui, H.; Pan, L.; Chen, R. Dietary arginine requirement of juvenile blunt snout bream, Megalobrama amblycephala. Aquaculture 2013, 414–415, 229–234. [Google Scholar] [CrossRef]
- Tang, B.; Chen, X.; Hu, C.; Dai, J.; Wang, X.; Zhang, J. Flow velocity effects on swimming behavior and exercise physiology of juvenile Acanthopagrus Schlegel II. Acta Hydrobiol. Sin. 2023, 47, 1993–2002. (In Chinese) [Google Scholar]
- AOAC. Official Methods of Analysis of the Association of Official Analytical Chemists, 15th ed.; Association of Official Analytical Chemists, Inc.: Arlington, VA, USA, 2003. [Google Scholar]
- Zhao, F.; Xu, P.; Xu, G.; Huang, D.; Zhang, L.; Ren, M.; Liang, H. Dietary valine affects growth performance, intestinal immune and antioxidant capacity in juvenile largemouth bass (Micropterus salmoides). Anim. Feed Sci. Technol. 2023, 295, 115541. [Google Scholar] [CrossRef]
- Sun, X.; Yu, H.; Xing, K.; Tian, Y.; Chen, C.; Guo, Y.; Shi, H.; Yang, S.; Chen, S.; Wang, Q. Effects of taurine levels in feed on blood biochemical parameters and antioxidant indexes of Cynoglossus semilaevis and their responses to fishing stress. Isr. J. Aquac. Bamidgeh 2021, 73, 1–16. [Google Scholar] [CrossRef]
- Zhao, W.; Liu, Z.; Niu, J. Growth performance, intestinal histomorphology, body composition, hematological and antioxidant parameters of Oncorhynchus mykiss were not detrimentally affected by replacement of fish meal with concentrated dephenolization cottonseed protein. Aquac. Rep. 2021, 19, 100557. [Google Scholar] [CrossRef]
- Zhang, C.; Yao, W.; Li, X.; Duan, Z.; Dang, J.; Cao, K.; Leng, X. Dietary emulsifier and antioxidant improved astaxanthin utilization and antioxidant capacity of rainbow trout (Oncorhynchus mykiss). Aquac. Nutr. 2021, 27, 2416–2426. [Google Scholar] [CrossRef]
- Khieokhajonkhet, A.; Suwannalers, P.; Aeksiri, N.; Ratanasut, K.; Chitmanat, C.; Inyawilert, W.; Phromkunthong, W.; Kaneko, G. Effects of dietary red pepper extracts on growth, hematology, pigmentation, disease resistance, and growth- and immune-related gene expressions of goldfish (Carassius auratus). Anim. Feed Sci. Technol. 2023, 301, 115658. [Google Scholar] [CrossRef]
- Yang, K.; Qi, X.; He, M.; Song, K.; Luo, F.; Qu, X.; Wang, G.; Ling, F. Dietary supplementation of salidroside increases immune response and disease resistance of crucian carp (Carassius auratus) against Aeromonas hydrophila. Fish Shellfish Immunol. 2020, 106, 1–7. [Google Scholar] [CrossRef] [PubMed]
- Gu, Y.; Chen, K.; Xi, B.; Xie, J.; Bing, X. Protective effects of paeonol against lipopolysaccharide-induced liver oxidative stress and inflammation in gibel carp (Carassius auratus gibelio). Comp. Biochem. Physiol. Part C Toxicol. Pharmacol. 2022, 257, 109339. [Google Scholar] [CrossRef] [PubMed]
- Sun, L.; Wang, Q.; Wang, R.; Sun, K.; Li, S.; Lin, G.; Lei, P.; Xu, H. Effect of dietary poly-γ-glutamic acid on growth, digestive enzyme activity, antioxidant capacity, and TOR pathway gene expression of gibel carp (Carassius auratus gibelio). Aquac. Rep. 2022, 27, 101412. [Google Scholar] [CrossRef]
- Matsunari, H.; Takeuchi, T.; Takahashi, M.; Mushiake, K. Effect of dietary taurine supplementation on growth performance of yellowtail juveniles Seriola quinqueradiata. Fish. Sci. 2005, 71, 1131–1135. [Google Scholar] [CrossRef]
- Kim, S.; Matsunari, H.; Takeuchi, T.; Yokoyama, M.; Murata, Y.; Ishihara, K. Effect of different dietary taurine levels on the conjugated bile acid composition and growth performance of juvenile and fingerling Japanese flounder Paralichthys olivaceus. Aquaculture 2007, 273, 595–601. [Google Scholar] [CrossRef]
- Qi, G.; Ai, Q.; Mai, K.; Xu, W.; Liufu, Z.; Yun, B.; Zhou, H. Effects of dietary taurine supplementation to a casein-based diet on growth performance and taurine distribution in two sizes of juvenile turbot (Scophthalmus maximus L.). Aquaculture 2012, 358–359, 122–128. [Google Scholar] [CrossRef]
- Mellisa, S.; Fitria Hasri, I.; Nurfadillah, N.; Arisa, I.I. The effectiveness of feeding artemia enriched with vitamin c on the growth performance and survival of Lemeduk fish larvae (Barbonymus schwanenfeldii). Iop Conf. Ser. Earth Environ. Sci. 2021, 674, 12061. [Google Scholar] [CrossRef]
- Gasco, L.; Gai, F.; Maricchiolo, G.; Genovese, L.; Ragonese, S.; Bottari, T.; Caruso, G. Supplementation of Vitamins, Minerals, Enzymes and Antioxidants in Fish Feeds. In Feeds for the Aquaculture Sector; Springer International Publishing AG: Cham, Switzerland, 2018; pp. 63–103. [Google Scholar] [CrossRef]
- Kandeel, M.M.A.; Magouz, F.I.; Omar, A.A.; Amer, A.A.; Zaineldin, A.I.; Ashry, A.M.; Dawood, M.A.O. Combined effects of butyl hydroxytoluene and vitamin C on the growth performance, blood biochemistry, and antioxidative status of common carp (Cyprinus carpio). Ann. Anim. Sci. 2024, 24, 881–888. [Google Scholar] [CrossRef]
- Carr, W.E.S.; Netherton, I.J.C.; Gleeson, R.A.; Derby, C.D. Stimulants of Feeding Behavior in Fish: Analyses of Tissues of Diverse Marine Organisms. Biol. Bull. 1996, 190, 149–160. [Google Scholar] [CrossRef]
- Martinez, J.; Chatzifotis, S.; Divanach, P.; Takeuchi, T. Effect of dietary taurine supplementation on growth performance and feed selection of sea bass Dicentrarchus labrax fry fed with demand-feeders. Fish. Sci. 2004, 70, 74–79. [Google Scholar] [CrossRef]
- Espe, M.; Ruohonen, K.; El-Mowafi, A. Effect of taurine supplementation on metabolism and body lipid to protein ratio in juvenile Atlantic salmon (Salmo salar). Aquac. Res. 2011, 43, 349–360. [Google Scholar] [CrossRef]
- Nasar, M.F.; Shah, S.Z.H.; Aftab, K.; Fatima, M.; Bilal, M.; Hussain, M. Dietary vitamin C requirement of juvenile grass carp (Ctenopharyngodon idella) and its effects on growth attributes, organ indices, whole-body composition and biochemical parameters. Aquac. Nutr. 2021, 27, 1903–1911. [Google Scholar] [CrossRef]
- Al-Amoudi, M.M.; El-Nakkadi, A.M.N.; El-Nouman, B.M. Evaluation of optimum dietary requirement of vitamin C for the growth of Oreochromis spilurus fingerlings in water from the Red Sea. Aquaculture 1992, 105, 165–173. [Google Scholar] [CrossRef]
- Li, P.; Mai, K.; Trushenski, J.; Wu, G. New developments in fish amino acid nutrition: Towards functional and environmentally oriented aquafeeds. Amino Acids 2008, 37, 43–53. [Google Scholar] [CrossRef]
- Yun, B.; Ai, Q.; Mai, K.; Xu, W.; Qi, G.; Luo, Y. Synergistic effects of dietary cholesterol and taurine on growth performance and cholesterol metabolism in juvenile turbot (Scophthalmus maximus L.) fed high plant protein diets. Aquaculture 2012, 324–325, 85–91. [Google Scholar] [CrossRef]
- Dehghani, R.; Oujifard, A.; Torfi Mozanzadeh, M.; Morshedi, V.; Bagheri, D. Effects of dietary taurine on growth performance, antioxidant status, digestive enzymes activities and skin mucosal immune responses in yellowfin seabream, Acanthopagrus latus. Aquaculture 2019, 517, 734795. [Google Scholar] [CrossRef]
- Salze, G.P.; Davis, D.A. Taurine: A critical nutrient for future fish feeds. Aquaculture 2015, 437, 215–229. [Google Scholar] [CrossRef]
- Ming, J.; Xie, J.; Xu, P.; Ge, X.; Liu, W.; Ye, J. Effects of emodin and vitamin C on growth performance, biochemical parameters and two HSP70s mRNA expression of Wuchang bream (Megalobrama amblycephala Yih) under high temperature stress. Fish Shellfish Immunol. 2012, 32, 651–661. [Google Scholar] [CrossRef] [PubMed]
- Borković, S.S.; Pavlović, S.Z.; Kovačević, T.B.; Štajn, A.Š.; Petrović, V.M.; Saičić, Z.S. Antioxidant defence enzyme activities in hepatopancreas, gills and muscle of Spiny cheek crayfish (Orconectes limosus) from the River Danube. Comp. Biochem. Physiol. Part C Toxicol. Pharmacol. 2008, 147, 122–128. [Google Scholar] [CrossRef]
- Yu, B. Cellular Defenses Against Damage From Reactive Oxygen Species. Physiol. Rev. 1995, 75, 236. [Google Scholar] [CrossRef]
- Xie, X.; Xu, Z.; Xu, K.; Xiao, Y. DUSP19 mediates spinal cord injury-induced apoptosis and inflammation in mouse primary microglia cells via the NF-kB signaling pathway. Neurol. Res. 2019, 42, 31–38. [Google Scholar] [CrossRef]
- Qiu, W.; Hu, J.; Magnuson, J.; Greer, J.; Yang, M.; Chen, Q.; Fang, M.; Zheng, C.; Schlenk, D. Evidence linking exposure of fish primary macrophages to antibiotics activates the NF-kB pathway. Environ. Int. 2020, 138, 105624. [Google Scholar] [CrossRef]
- Zhang, F.; Mao, Y.; Qiao, H.; Jiang, H.; Zhao, H.; Chen, X.; Tong, L.; Sun, X. Protective effects of taurine against endotoxin-induced acute liver injury after hepatic ischemia reperfusion. Amino Acids 2009, 38, 237–245. [Google Scholar] [CrossRef]
- Zhao, Y.; Wang, L.; Gao, J. Effects of dietary highly unsaturated fatty acid levels on growth, fatty acid profiles, antioxidant activities, mucus immune responses and hepatic lipid metabolism related gene expressions in loach (Misgurnus anguillicaudatus) juveniles. Aquac. Res. 2019, 50, 2486–2495. [Google Scholar] [CrossRef]
- Liu, J.; Pan, M.; Liu, Y.; Huang, D.; Luo, K.; Wu, Z.; Zhang, W.; Mai, K. Taurine alleviates endoplasmic reticulum stress, inflammatory cytokine expression and mitochondrial oxidative stress induced by high glucose in the muscle cells of olive flounder (Paralichthys olivaceus). Fish Shellfish Immunol. 2022, 123, 358–368. [Google Scholar] [CrossRef] [PubMed]
- Schmidt-Arras, D.; Rose-John, S. IL-6 pathway in the liver: From physiopathology to therapy. J. Hepatol. 2016, 64, 1403–1415. [Google Scholar] [CrossRef] [PubMed]
- Nam, S.; Haque, M.N.; Shin, Y.K.; Park, H.S.; Rhee, J. Constant and intermittent hypoxia modulates immunity, oxidative status, and blood components of red seabream and increases its susceptibility to the acute toxicity of red tide dinoflagellate. Fish Shellfish Immunol. 2020, 105, 286–296. [Google Scholar] [CrossRef] [PubMed]
- Abdel-Tawwab, M.; Hagras, A.E.; Elbaghdady, H.A.M.; Monier, M.N. Effects of dissolved oxygen and fish size on Nile tilapia, Oreochromis niloticus (L.): Growth performance, whole-body composition, and innate immunity. Aquac. Int. 2015, 23, 1261–1274. [Google Scholar] [CrossRef]
- Gu, J.; Liang, H.; Ge, X.; Xia, D.; Pan, L.; Mi, H.; Ren, M. A study of the potential effect of yellow mealworm (Tenebrio molitor) substitution for fish meal on growth, immune and antioxidant capacity in juvenile largemouth bass (Micropterus salmoides). Fish Shellfish Immunol. 2022, 120, 214–221. [Google Scholar] [CrossRef]
- Xiao, W. The hypoxia signaling pathway and hypoxic adaptation in fishes. Science China. Life Sci. 2015, 58, 148–155. [Google Scholar] [CrossRef]
- Wanner, R.M.; Spielmann, P.; Stroka, D.M.; Camenisch, G.; Wenger, R.H. Epolones induce erythropoietin expression via hypoxia-inducible factor-1α activation. Blood 2000, 96, 1558–1565. [Google Scholar] [CrossRef]
- Shweiki, D.; Itin, A.; Soffer, D.; Keshet, E. Vascular endothelial growth factor induced by hypoxia may mediate hypoxia-initiated angiogenesis. Nature 1992, 359, 843–845. [Google Scholar] [CrossRef]
- Lee, P.; Jiang, B.; Chin, B.Y.; Iyer, N.; Alam, J.; Semenza, G.; Choi, A. Hypoxia-inducible Factor-1 Mediates Transcriptional Activation of the Heme Oxygenase-1 Gene in Response to Hypoxia. J. Biol. Chem. 1997, 272, 5375–5381. [Google Scholar] [CrossRef]
- Tacchini, L.; Bianchi, L.; Zazzera-A, B.; Cairo, G. Transferrin receptor induction by hypoxia. HIF-1-mediated transcriptional activation and cell-specific post-transcriptional regulation. J. Biol. Chem. 1999, 274, 24142–24146. [Google Scholar] [CrossRef]
- Amano, H.; Maruyama, K.; Naka, M.; Tanaka, T. Target validation in hypoxia-induced vascular remodeling using transcriptome/metabolome analysis. Pharmacogenom. J. 2003, 3, 183–188. [Google Scholar] [CrossRef] [PubMed]
- Pan, Y.; Mansfield, K.; Bertozzi, C.; Rudenko, V.; Chan, D.; Giaccia, A.; Simon, M. Multiple Factors Affecting Cellular Redox Status and Energy Metabolism Modulate Hypoxia-Inducible Factor Prolyl Hydroxylase Activity In Vivo and In Vitro. Mol. Cell. Biol. 2007, 27, 912–925. [Google Scholar] [CrossRef] [PubMed]
- Malcangio, M.; Bartolini, A.; Ghelardini, C.; Bennardini, F.; Malmberg-Aiello, P.; Franconi, F.; Giotti, A. Effect of ICV taurine on the impairment of learning, convulsions and death caused by hypoxia. Psychopharmacology 1989, 98, 316–320. [Google Scholar] [CrossRef]
- Xiao, K.; Wang, X.; Wang, M.; Guo, H.; Liu, W.; Guang-zhen, J. Metabolism, antioxidant and immunity in acute and chronic hypoxic stress and the improving effect of vitamin C in the channel catfish (Ictalurus punctatus). Fish Physiol. Biochem. 2023, 50, 183–196. [Google Scholar] [CrossRef] [PubMed]
- Roche, D.G.; Binning, S.A.; Bosiger, Y.; Johansen, J.L.; Rummer, J.L. Finding the best estimates of metabolic rates in a coral reef fish. J. Exp. Biol. 2013, 216, 2103–2110. [Google Scholar] [CrossRef]
- John, J.S.; Thometz, N.M.; Boerner, K.; Denum, L.; Kendall, T.L.; Richter, B.P.; Gaspard, J.C.; Williams, T.M. Metabolic trade-offs in tropical and subtropical marine mammals: Unique maintenance and locomotion costs in West Indian manatees and Hawaiian monk seals. J. Exp. Biol. 2021, 224, jeb237628. [Google Scholar] [CrossRef]
- Killen, S.S.; Glazier, D.S.; Rezende, E.L.; Clark, T.D.; Atkinson, D.; Willener, A.S.T.; Halsey, L.G. Ecological Influences and Morphological Correlates of Resting and Maximal Metabolic Rates across Teleost Fish Species. Am. Nat. 2016, 187, 592–606. [Google Scholar] [CrossRef]
- Zhu, X.; Xiao, Z.; Xu, Y.; Zhao, X.; Cheng, P.; Cui, N.; Cui, M.; Li, J.; Zhu, X. Differential Impacts of Soybean and Fish Oils on Hepatocyte Lipid Droplet Accumulation and Endoplasmic Reticulum Stress in Primary Rabbit Hepatocytes. Gastroenterol. Res. Pract. 2016, 2016, 9717014. [Google Scholar] [CrossRef][Green Version]
- Kriváková, P.; Cervinkova, Z.; Lotkova, H.; Kucera, O.; Rousar, T. Mitochondria and their role in cell metabolism. Acta Med. 2005, 48, 57–67. [Google Scholar]
- Nilsson, G.E.; Dymowska, A.; Stecyk, J.A.W. New insights into the plasticity of gill structure. Respir. Physiol. Neurobiol. 2012, 184, 214–222. [Google Scholar] [CrossRef]
- Jong, C.J.; Sandal, P.; Schaffer, S.W. The Role of Taurine in Mitochondria Health: More Than Just an Antioxidant. Molecules 2021, 26, 4913. [Google Scholar] [CrossRef] [PubMed]
- Nishinaka, Y.; Sugiyama, S.; Yokota, M.; Saito, H.; Ozawa, T. The effects of a high dose of ascorbate on ischemia-reperfusion-induced mitochondrial dysfunction in canine hearts. Heart Vessel. 1992, 7, 18–23. [Google Scholar] [CrossRef] [PubMed]
- Scherz-Shouval, R.; Shvets, E.; Fass, E.; Shorer, H.; Gil, L.; Elazar, Z. Reactive oxygen species are essential for autophagy and specifically regulate the activity of Atg4. EMBO J. 2007, 26, 1749–1760. [Google Scholar] [CrossRef] [PubMed]
Disclaimer/Publisher’s Note: The statements, opinions and data contained in all publications are solely those of the individual author(s) and contributor(s) and not of MDPI and/or the editor(s). MDPI and/or the editor(s) disclaim responsibility for any injury to people or property resulting from any ideas, methods, instructions or products referred to in the content. |
© 2024 by the authors. Licensee MDPI, Basel, Switzerland. This article is an open access article distributed under the terms and conditions of the Creative Commons Attribution (CC BY) license (https://creativecommons.org/licenses/by/4.0/).




