The Possible Role of Apathy on Conflict Monitoring: Preliminary Findings of a Behavioral Study on Severe Acquired Brain Injury Patients Using Flanker Tasks
Abstract
1. Introduction
2. Materials and Methods
2.1. Participants
2.2. Stimuli
2.3. Procedure
2.4. Data Analysis
3. Results
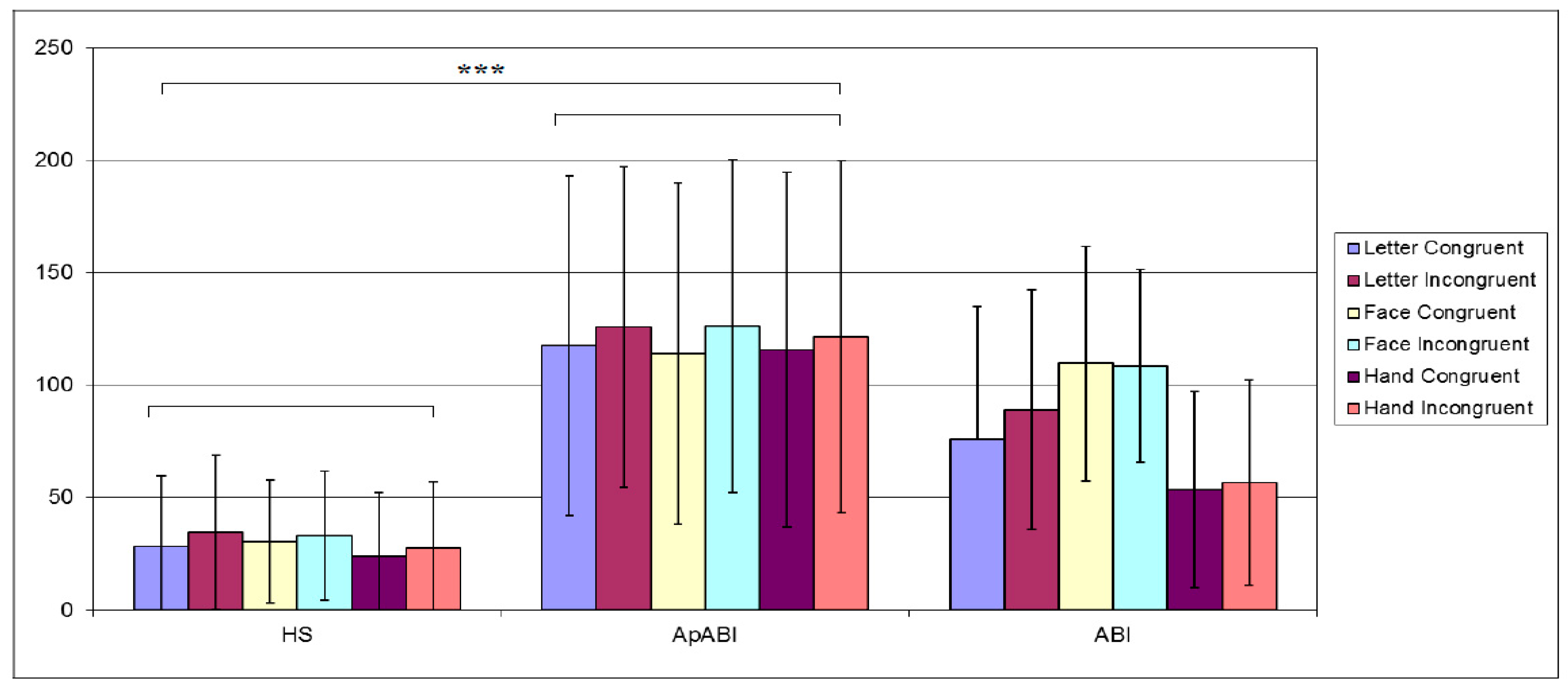
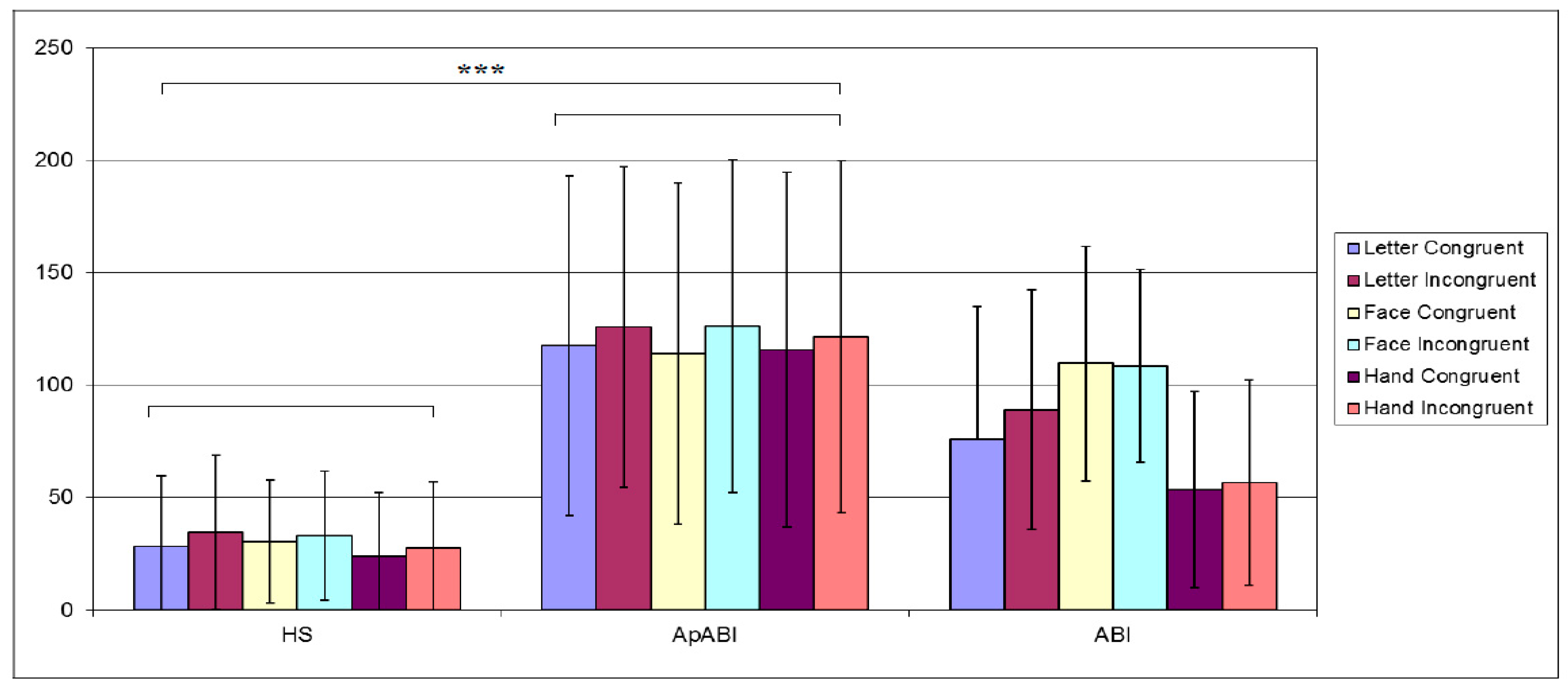
3.1. Analysis on Performance (GIP)
3.2. Analysis on ACC
3.3. Analysis on RTs
3.4. Analysis on Missing Trials
3.5. Correlations with Apathy
3.6. Single-Case Study
4. Discussion
5. Limitations
6. Conclusions
Author Contributions
Funding
Institutional Review Board Statement
Informed Consent Statement
Data Availability Statement
Conflicts of Interest
References
- Ubukata, S.; Ueda, K.; Fujimoto, G.; Ueno, S.; Murai, T.; Oishi, N. Extracting Apathy from Depression Syndrome in Traumatic Brain Injury by Using a Clustering Method. J. Neuropsychiatry Clin. Neurosci. 2022, 34, 158–167. [Google Scholar] [CrossRef] [PubMed]
- Stuss, D.T.; Van Reekum, R.; Murphy, K.J. Differentiation of states and causes of apathy. In The Neuropsychology of Emotion; Borod, J.C., Ed.; Oxford University Press: New York, NY, USA, 2000; pp. 340–363. [Google Scholar]
- Pluck, G.C.; Brown, R.G. Apathy in Parkinson’s disease. J. Neurol. Neurosurg. Psychiatry 2002, 73, 636–642. [Google Scholar] [CrossRef] [PubMed]
- Nobis, L.; Husain, M. Apathy in Alzheimer’s disease. Curr. Opin. Behav. Sci. 2018, 22, 7–13. [Google Scholar] [CrossRef]
- Tay, J.; Morris, R.G.; Markus, H.S. Apathy after stroke: Diagnosis, mechanisms, consequences, and treatment. Int. J. Stroke 2021, 16, 510–518. [Google Scholar] [CrossRef] [PubMed]
- Arnould, A.; Rochat, L.; Azouvi, P.; Van der Linden, M. A Multidimensional Approach to Apathy after Traumatic Brain Injury. Neuropsychol. Rev. 2013, 23, 210–233. [Google Scholar] [CrossRef] [PubMed]
- Ciurli, P.; Formisano, R.; Bivona, U.; Cantagallo, A.; Angelelli, P. Neuropsychiatric disorders in persons with severe traumatic brain injury: Prevalence, phenomenology, and relationship with demographic, clinical, and functional features. J. Head Trauma Rehabil. 2011, 26, 116–126. [Google Scholar] [CrossRef] [PubMed]
- Jennett, B.; Bond, M. Assessment of outcome after severe brain damage. Lancet 1975, 1, 480–484. [Google Scholar] [CrossRef]
- Soendergaard, P.L.; Siert, L.; Poulsen, I.; Wood, R.L.I.; Norup, A. Measuring neurobehavioral disabilities among severe brain injury survivors: Reports of survivors and proxies in the chronic phase. Front. Neurol. 2019, 10, 51. [Google Scholar] [CrossRef]
- Hama, S.; Yamashita, H.; Shigenobu, M.; Watanabe, A.; Hiramoto, K.; Kurisu, K.; Yamawaki, S.; Kitaoka, T. Depression or apathy and functional recovery after stroke. Int. J. Geriatr. Psychiatry 2007, 22, 1046–1051. [Google Scholar] [CrossRef]
- Zahodne, L.B.; Tremont, G. Unique effects of apathy and depression signs on cognition and function in amnestic mild cognitive impairment. Int. J. Geriatr. Psychiatry 2013, 28, 50–56. [Google Scholar] [CrossRef]
- Mazaux, J.-M.; Masson, F.; Levin, H.S.; Alaoui, P.; Maurette, P.; Barat, M. Long-term neuropsychological outcome and loss of social autonomy after traumatic brain injury. Arch. Phys. Med. Rehabil. 1997, 78, 1316–1320. [Google Scholar] [CrossRef]
- George, M.; Whitfield, T.; Walker, Z. EPA-1210—Apathy and caregiver burden among patients with amnestic mild cognitive impairment and predictors of burden in these subgroup of patients. Eur. Psychiatry 2014, 29, 1. [Google Scholar] [CrossRef]
- Theleritis, C.; Politis, A.; Siarkos, K.; Lyketsos, C.G. A review of neuroimaging findings of apathy in Alzheimer’s disease. Int. Psychogeriatr. 2014, 26, 195–207. [Google Scholar] [CrossRef]
- Worthington, A.; Wood, R.L.L. Apathy following traumatic brain injury: A review. Neuropsychologia 2018, 118, 40–47. [Google Scholar] [CrossRef] [PubMed]
- Prigatano, G.P. Higher cerebral deficits; history of methods of assessment and approaches to rehabilitation. BNI Q. 1986, 3, 15–26. [Google Scholar]
- Husain, M.; Roiser, J.P. Neuroscience of apathy and anhedonia: A transdiagnostic approach. Nat. Rev. Neurosci. 2018, 19, 470–484. [Google Scholar] [CrossRef]
- Treadway, M.T.; Zald, D.H. Reconsidering anhedonia in depression: Lessons from translational neuroscience. Neurosci. Biobehav. Rev. 2011, 35, 537–555. [Google Scholar] [CrossRef]
- Marin, R.S.; Firinciogullari, S.; Biedrzycki, R.C. Group Differences in the Relationship between Apathy and Depression. J. Nerv. Ment. Dis. 1994, 182, 235–239. [Google Scholar] [CrossRef]
- Kostić, V.S.; Filippi, M. Neuroanatomical correlates of depression and apathy in Parkinson’s disease: Magnetic resonance imaging studies. J. Neurol. Sci. 2011, 310, 61–63. [Google Scholar] [CrossRef]
- Andersson, S.; Krogstad, J.M.; Finset, A. Apathy and depressed mood in acquired brain damage: Relationship to lesion localization and psychophysiological reactivity. Psychol. Med. 1999, 29, 447–456. [Google Scholar] [CrossRef]
- Marin, R.S.; Firinciogullari, S.; Biedrzycki, R.C. The sources of convergence between measures of apathy and depression. J. Affect. Disord. 1993, 28, 117–124. [Google Scholar] [CrossRef] [PubMed]
- Chong, T.T.; Husain, M. The role of dopamine in the pathophysiology and treatment of apathy. Prog. Brain Res. 2016, 229, 389–426. [Google Scholar] [PubMed]
- Connors, M.H.; Teixeira-Pinto, A.; Loy, C.T. Apathy and Depression in Huntington’s Disease: Distinct Longitudinal Trajectories and Clinical Correlates. J. Neuropsychiatry Clin. Neurosci. 2023, 35, 69–76. [Google Scholar] [CrossRef] [PubMed]
- Marin, R.S.; Biedrzycki, R.C.; Firinciogullari, S. Reliability and validity of the apathy evaluation scale. Psychiatry Res. 1991, 38, 143–162. [Google Scholar] [CrossRef]
- Schultz, W. Primate basal ganglia and the voluntary control of behaviour. J. Conscious. Stud. 1999, 6, 31–45. [Google Scholar]
- Brown, R.G.; Pluck, G. Negative symptoms: The ‘pathology’ of motivation and goal-directed behaviour. Trends Neurosci. 2000, 23, 412–417. [Google Scholar] [CrossRef]
- Levy, R.; Dubois, B. Apathy and the Functional Anatomy of the Prefrontal Cortex–Basal Ganglia Circuits. Cereb. Cortex 2006, 16, 916–928. [Google Scholar] [CrossRef]
- Eslinger, P.J.; Damasio, A.R. Severe disturbance of higher cognition after bilateral frontal lobe ablation: Patient EVR. Neurology 1985, 35, 1731. [Google Scholar] [CrossRef]
- Peters, F.; Perani, D.; Herholz, K.; Holthoff, V.; Beuthien-Baumann, B.; Sorbi, S.; Pupi, A.; Degueldre, C.; Lemaire, C.; Collette, F.; et al. Orbitofrontal Dysfunction Related to Both Apathy and Disinhibition in Frontotemporal Dementia. Dement. Geriatr. Cogn. Disord. 2006, 21, 373–379. [Google Scholar] [CrossRef]
- Boone, K.B.; Miller, B.L.; Swartz, R.; Lu, P.; Lee, A. Relationship between positive and negative symptoms and neuropsychological scores in frontotemporal dementia and Alzheimer’s disease. J. Int. Neuropsychol. Soc. 2003, 9, 698–709. [Google Scholar] [CrossRef]
- Goldman-Rakic, P.S. Circuitry of primate prefrontal cortex and regulation of behaviour by representational memory. In Handbook of Physiology; Plum, F., Mountcastle, U., Eds.; The American Physiological Society: Washington, DC, USA, 1987; pp. 373–417. [Google Scholar]
- Fuster, J.M. The Prefrontal Cortex; Raven Press: New York, NY, USA, 1997. [Google Scholar]
- Petrides, M.; Pandya, D.N. Dorsolateral prefrontal cortex: Comparative cytoarchitectonic analysis in the human and the macaque brain and corticocortical connection patterns. Eur. J. Neurosci. 1999, 11, 1011–1036. [Google Scholar] [CrossRef] [PubMed]
- Habib, M. Athymhormia and disorders of motivation in Basal Ganglia disease. J. Neuropsychiatry Clin. Neurosci. 2004, 16, 509–524. [Google Scholar] [CrossRef] [PubMed]
- DeLong, M.R.; Wichmann, T. Circuits and Circuit Disorders of the Basal Ganglia. Arch. Neurol. 2007, 64, 20–24. [Google Scholar] [CrossRef]
- Laplane, D.; Levasseur, M.; Pillon, B.; Dubois, B.; Baulac, M.; Mazoyer, B.; Dinh, S.T.; Sette, G.; Danze, F.; Baron, J.-C. Obsessive-compulsive and other behavioural changes with bilateral basal ganglia lesions. A neuropsychological, magnetic resonance imaging and positron tomography study. Brain 1989, 112, 699–725. [Google Scholar] [CrossRef] [PubMed]
- Starkstein, S.E.; Berthier, M.L.; Leiguarda, R. Psychic Akinesia following Bilateral Pallidal Lesions. Int. J. Psychiatry Med. 1990, 19, 155–164. [Google Scholar] [CrossRef] [PubMed]
- De Waele, S.; Cras, P.; Crosiers, D. Apathy in Parkinson’s Disease: Defining the Park Apathy Subtype. Brain Sci. 2022, 12, 923. [Google Scholar] [CrossRef] [PubMed]
- Sawada, Y.; Takahashi, M.; Ohashi, N.; Fusamoto, H.; Maemura, K.; Kobayashi, H.; Yoshioka, T.; Sugimoto, T. Computerised tomography as an indication of long-term outcome after acute carbon monoxide poisoning. Lancet 1980, 1, 783–784. [Google Scholar] [PubMed]
- Klawans, H.L.; Stein, R.W.; Tanner, C.M.; Goetz, C.G. A Pure Parkinsonian Syndrome following Acute Carbon Monoxide Intoxication. Arch. Neurol. 1982, 39, 302–304. [Google Scholar] [CrossRef]
- Pulst, S.-M.; Walshe, T.M.; Romero, J.A. Carbon Monoxide Poisoning with Features of Gilles de la Tourette’s Syndrome. Arch. Neurol. 1983, 40, 443–444. [Google Scholar] [CrossRef]
- Laplane, D.; Baulac, M.; Widlocher, D.; Dubois, B. Pure psychic akinesia with bilateral lesions of basal ganglia. J. Neurol. Neurosurg. Psychiatry 1984, 47, 377–385. [Google Scholar] [CrossRef]
- Strub, R.L. Frontal Lobe Syndrome in a Patient with Bilateral Globus Pallidus Lesions. Arch. Neurol. 1989, 46, 1024–1027. [Google Scholar] [CrossRef] [PubMed]
- Lugaresi, A.; Montagna, P.; Morreale, A.; Gallassi, R. ‘Psychic akinesia’ following carbon monoxide poisoning. Eur. Neurol. 1990, 30, 167–169. [Google Scholar] [CrossRef] [PubMed]
- Laplane, D.; Dubois, B.; Pillon, B.; Baulac, M.R.N.P. Perte d’auto-activation psychique et activité mentale stéréotypée par lésion frontale. Rev. Neurol. 1988, 144, 564–570. [Google Scholar] [PubMed]
- Sultzer, D.L.; Leskin, L.P.; Jacobs, Z.M.; Melrose, R.J. Cognitive, behavioral, and emotional domains of apathy in Alzheimer’s disease: Clinical and neurobiological features. Am. J. Geriatr. Psychiatry 2013, 21, 144–145. [Google Scholar] [CrossRef]
- Pizzagalli, D.; Nitschke, J.B.; Putnam, K. Depression: Perspectives from Affective Neuroscience. Annu. Rev. Psychol. 2002, 53, 545–574. [Google Scholar] [CrossRef]
- Vanderhasselt, M.-A.; De Raedt, R.; Dillon, D.G.; Dutra, S.J.; Brooks, N.; Pizzagalli, D.A. Decreased cognitive control in response to negative information in patients with remitted depression: An event-related potential study. J. Psychiatry Neurosci. 2012, 37, 250–258. [Google Scholar] [CrossRef]
- Clawson, A.; Clayson, P.E.; Larson, M.J. Cognitive control adjustments and conflict adaptation in major depressive disorder. Psychophysiology 2013, 50, 711–721. [Google Scholar] [CrossRef]
- Eriksen, B.A.; Eriksen, C.W. Effects of noise letters upon identification of a target letter in a non-search task. Percept. Psychophys. 1974, 16, 143–149. [Google Scholar] [CrossRef]
- Eriksen, C.W.; Schultz, D.W. Information processing in visual search: A continuous flow conception and experimental results. Percept. Psychophys. 1979, 25, 249–263. [Google Scholar] [CrossRef]
- Alderman, B.L.; Olson, R.L.; Bates, M.E.; Selby, E.A.; Buckman, J.F.; Brush, C.J.; Panza, E.A.; Kranzler, A.; Eddie, D.; Shors, T.J. Rumination in major depressive disorder is associated with impaired neural activation during conflict monitoring. Front. Hum. Neurosci. 2015, 9, 269. [Google Scholar] [CrossRef]
- van Veen, V.; Carter, C.S. The timing of action-monitoring processes in the anterior cingulate cortex. J. Cogn. Neurosci. 2002, 14, 593–602. [Google Scholar] [CrossRef] [PubMed]
- Pizzagalli, D.A. Frontocingulate Dysfunction in Depression: Toward Biomarkers of Treatment Response. Neuropsychopharmacology 2010, 36, 183–206. [Google Scholar] [CrossRef] [PubMed]
- Medical Disability Society. Report of a Working Party on the Management of Traumatic Brain Injury; The Development Trust for the Young Disabled: London, UK, 1988. [Google Scholar]
- Hagen, C.; Malkmus, D.; Durham, P. Levels of Cognitive Functioning. In Rehabilitation of the Head Injured Adult. Comprehensive Physical Management, 8th ed.; Professional Staff Association of Rancho Los Amigos Hospital Inc.: Downey, CA, USA, 1979; pp. 87–90. [Google Scholar]
- De Renzi, E.; Vignolo, L.A. The Token Test: A sensitive test to detect receptive disturbances in aphasics. Brain 1962, 85, 556–678. [Google Scholar] [CrossRef] [PubMed]
- Basso, A.; Capitani, E.; Laiacona, M. Raven’s Coloured Progressive Matrices: Normative values on 305 adults normal controls. Funct. Neurol. 1987, 2, 189–194. [Google Scholar] [PubMed]
- Orsini, A. La memoria diretta e la memoria inverse di cifre in soggetti dai 16 ai 64 anni. Boll. Psicol. Appl. 2003, 239, 73–77. [Google Scholar]
- Orsini, A.; Grossi, D.; Capitani, E.; Laiacona, M.; Papagno, C.; Vallar, G. Verbal and spatial immediate memory span: Normative data from 1355 adults and 1112 children. Ital. J. Neurol. Sci. 1987, 8, 537–548. [Google Scholar] [CrossRef]
- Novelli, G.; Papagno, C.; Capitani, E.; Laiacona, M. Tre test clinici di ricerca e produzione lessicale. Taratura su soggetti normali. Arch. Psicol. Neurol. Psichiatr. 1986, 47, 477–506. [Google Scholar]
- Appollonio, I.; Leone, M.; Isella, V.; Piamarta, F.; Consoli, T.; Villa, M.L.; Forapani, E.; Russo, A.; Nichelli, P. The Frontal Assessment Battery (FAB): Normative values in an Italian population sample. J. Neurol. Sci. 2005, 26, 108–116. [Google Scholar] [CrossRef]
- Reitan, R.M. Validity of the Trail Making test as an indicator of organic brain damage. Percept. Mot. Skills 1958, 8, 271–276. [Google Scholar] [CrossRef]
- Corrigan, J.D.; Hinkeldey, M.S. Relationships between parts A and B of the Trail Making Test. J. Clin. Psychol. 1987, 43, 402–409. [Google Scholar] [CrossRef]
- Giovagnoli, A.R.; Del Pesce, M.; Mascheroni, S.; Simoncelli, M.; Laiacona, M.; Capitani, E. Trail making test: Normative values from 287 normal adult controls. Ital. J. Neurol. Sci. 1996, 17, 305–309. [Google Scholar] [CrossRef] [PubMed]
- Marin, R.S. Apathy: Concept, syndrome, neural mechanisms and treatment. Semin. Clin. Neuropsychiatry 1996, 1, 304–314. [Google Scholar] [PubMed]
- Cummings, J.L.; Mega, M.; Gray, K.; Rosenberg-Thompson, S.; Carusi, D.A.; Gornbein, J. The Neuropsychiatric Inventory: Comprehensive assessment of psychopathology in dementia. Neurology 1994, 44, 2308–2314. [Google Scholar] [CrossRef] [PubMed]
- Beck, A.; Steer, R.; Brown, G.K. Manual for the Beck Depression Inventory-II; Psychological Corporation: San Antonio, TX, USA, 1996. [Google Scholar]
- Bagby, R.M.; Parker, J.D.A.; Taylor, G.J. The Twenty-item Toronto Alexithymia Scale-II. Convergent, discriminant and concurrent validity. J. Psychosom. Res. 1994, 38, 33–40. [Google Scholar] [CrossRef] [PubMed]
- Goeleven, E.; De Raedt, R.; Leyman, L.; Verschuere, B. The Karolinska Directed Emotional Faces: A validation study. Cogn. Emot. 2008, 22, 1094–1118. [Google Scholar] [CrossRef]
- Crawford, J.; Howell, D.C. Comparing an Individual’s Test Score against Norms Derived from Small Samples. Clin. Neuropsychol. 1998, 12, 482–486. [Google Scholar] [CrossRef]
- Bird, C.M.; Castelli, F.; Malik, O.; Frith, U.; Husain, M. The impact of extensive medial frontal lobe damage on ‘Theory of Mind’ and cognition. Brain 2004, 127, 914–928. [Google Scholar] [CrossRef]
- Howard, D.; Nickels, L. Separating input and output phonology: Semantic, phonological, and orthographic effects in short-term memory impairment. Cogn. Neuropsychol. 2005, 22, 42–77. [Google Scholar] [CrossRef]
- Papps, B.P.; Calder, A.J.; Young, A.W.; O’Carroll, R. Dissociation of affective modulation of recollective and perceptual experience following amygdala damage. J. Neurol. Neurosurg. Psychiatry 2003, 74, 253–254. [Google Scholar] [CrossRef]
- Rosenbaum, R.S.; Fuqiang, G.; Richards, B.; Black, S.E.; Moscovitch, M. “Where to?” remote memory for spatial relations and landmark identity in former taxi drivers with Alzheimer’s disease and encephalitis. J. Cogn. Neurosci. 2005, 17, 446–462. [Google Scholar] [CrossRef]
- Rusconi, E.; Priftis, K.; Rusconi, M.L.; Umiltà, C. Arithmetic priming from neglected numbers. Cogn. Neuropsychol. 2006, 23, 227–239. [Google Scholar] [CrossRef]
- Holm, S. A simple sequentially rejective multiple test procedure. Scand. J. Stat. 1979, 6, 65–70. [Google Scholar]
- Andersson, S.; Bergedalen, A.M. Cognitive correlates of apathy in traumatic brain injury. Neuropsychiatry Neuropsychol. Behav. Neurol. 2002, 15, 184–191. [Google Scholar] [PubMed]
- Montoya-Murillo, G.; Ibarretxe-Bilbao, N.; Peña, J.; Ojeda, N. The impact of apathy on cognitive performance in the elderly. Int. J. Geriatr. Psychiatry 2019, 34, 657–665. [Google Scholar] [CrossRef]
- Mesulum, M. The human frontal lobes: Transcending the default mode through contingent encoding. In Principles of Frontal Function; Stuss, D.R., Knight, R., Eds.; Oxford University Press: New York, NY, USA, 2002; pp. 8–30. [Google Scholar]
- Lohner, V.; Brookes, R.L.; Hollocks, M.J.; Morris, R.G.; Markus, H.S. Apathy, but not depression, is associated with executive dysfunction in cerebral small vessel disease. PLoS ONE 2017, 12, e0176943. [Google Scholar] [CrossRef]
- Njomboro, P.; Deb, S.; Humphreys, G.W. Apathy and executive functions: Insights from brain damage involving the anterior cingulate cortex. BMJ Case Rep. 2012, 2012, bcr0220125934. [Google Scholar] [CrossRef]
- Dillon, D.G.; Wiecki, T.; Pechtel, P.; Webb, C.; Goer, F.; Murray, L.; Trivedi, M.; Fava, M.; McGrath, P.J.; Weissman, M.; et al. A computational analysis of flanker interference in depression. Psychol. Med. 2015, 45, 2333–2344. [Google Scholar] [CrossRef] [PubMed]
- Geldmacher, D.S.; Levin, B.E.; Wright, C.B. Characterizing healthy samples for studies of human cognitive aging. Front. Aging Neurosci. 2012, 4, 23. [Google Scholar] [CrossRef]
- Njomboro, P.; Deb, S. Distinct Neuropsychological Correlates of Cognitive, Behavioral, and Affective Apathy Sub-Domains in Acquired Brain Injury. Front. Neurol. 2014, 5, 73. [Google Scholar] [CrossRef]
- Lopez-Dóriga Bonnardeaux, P.; Andrino Díaz, N. Post-stroke apathy. Rev. Esp. Geriatr. Gerontol. 2016, 51, 164–169. [Google Scholar]
- Horstmann, G.; Borgstedt, K.; Heumann, M. Flanker effects with faces may depend on perceptual as well as emotional differences. Emotion 2006, 6, 28–39. [Google Scholar] [CrossRef] [PubMed]









| Demographic and Clinical Data | ApABI (n = 5) | ABI (n = 5) | p-Value |
|---|---|---|---|
| Age (years) | 56.6 ± 12.1 | 58.6 ± 11.5 | 0.690 |
| Education (years) | 10.4 ± 3.6 | 16.0 ± 4.4 | 0.019 |
| Etiology (TBI/non-TBI) | 4/1 | 3/2 | 0.490 |
| Time since injury (months) | 60.4 ± 64.1 | 34.8 ± 23.7 | 0.426 |
| Ability/Mood Assessed | Task | ApABI (n = 5) | ABI (n = 5) | p-Value |
|---|---|---|---|---|
| Abstract Reasoning | Raven 36 | 29.5 ± 3.2 | 30.8 ± 2.0 | 0.291 |
| Memory | Digit Span Forward | 5.3 ± 0.5 | 5.1 ± 1.6 | 0.400 |
| Digit Span Backward | 3.3 ± 1.6 | 3.7 ± 3.1 | 0.629 | |
| Prose Memory Test | 4.7 ± 2.2 | 4.9 ± 5.4 | 0.857 | |
| Corsi Block-Tapping Test (span) | 4.2 ± 0.7 | 4.6 ± 1.5 | 0.886 | |
| Attention | Trail Making Test A | 87.5 ± 39.5 | 44.4 ± 18.6 | 0.032 |
| Trail Making Test B | 281 ± 92 | 142 ± 95 | 0.063 | |
| Language | Phonemic Verbal Fluency test | 12.2 ± 8.3 | 25.3 ± 21.0 | 0.999 |
| Semantic Verbal Fluency test | 10.2 ± 4.2 | 10.5 ± 3.0 | 0.857 | |
| Executive Functions | Frontal Assessment Battery | 15.5 ± 0.5 | 15.7 ± 1.9 | 0.670 |
| Depression | Beck Depression Inventory II | 19.4 ± 8.9 | 11.8 ± 7.1 | 0.151 |
| Groups | Gender M/F | Age Mean (SD) | Educational Level Mean (SD) |
|---|---|---|---|
| ApABI Patients | 3/2 | 56.6 (12.5) | 10.4 (3.36) |
| ABI Patients without Apathy | 3/2 | 58.6 (11.4) | 16 (4.47) |
| Healthy Subjects | 9/6 | 54.4 (9.57) | 13.6 (2.26) |
| Clinical Assessment of Apathy | ApABI Patients | ABI Patients | Healthy Subjects | p-Value |
|---|---|---|---|---|
| Apathy | 35.8 ± 0.8 *§ | 59.8 ± 4.3 | 62.2 ± 3.4 | 0.002 |
| Cognitive Apathy | 16.6 ± 1.8 *§ | 26.4 ± 1.8 | 27.1 ± 2.4 | 0.002 |
| Emotional–Affective Apathy | 9.6 ± 1.3 *§ | 17.4 ± 1.8 | 17.3 ± 1.0 | 0.002 |
| Auto-Activation Apathy | 4.6 ± 0.9 * | 6.6 ± 1.1 | 7.3 ± 0.9 | 0.003 |
| Type of Task | Congruent Trials | Incongruent Trials | ||||
|---|---|---|---|---|---|---|
| GIP | Letter FT | Face FT | Hand FT | Letter FT | Face FT | Hand FT |
| Cognitive Apathy | R = −0.318 p = 0.058 | R = −0.294 p = 0.154 | R = −0.252 p = 0.224 | R = −0.287 p = 0.165 | R = −0.363 p = 0.075 | R = −0.245 p = 0.070 |
| Emotional–Affective Apathy | R = −0.479 p = 0.015 | R = −0.343 p = 0.094 | R = −0.501 p = 0.011 | R = −0.407 p = 0.044 | R = −0.420 p = 0.037 | R = −0.468 p = 0.018 |
| Auto-Activation Apathy | R = −0.344 p = 0.092 | R = −0.300 p = 0.145 | R = −0.403 p = 0.046 | R = −0.370 p = 0.069 | R = −0.301 p = 0.144 | R = −0.382 p = 0.059 |
| Participants | Statistic | dof | p-Value | ES |
|---|---|---|---|---|
| Subj16 | 7.640 | 14 | 0.000 | −9.488 |
| Subj17 | 1.740 | 14 | 0.104 | −1.945 |
| Subj18 | 5.627 | 14 | 0.000 | 6.660 |
| Subj19 | 11.781 | 14 | 0.000 | −16.528 |
| Subj20 | 19.897 | 14 | 0.000 | 36.307 |
| Subj21 | 0.099 | 14 | 0.923 | −0.109 |
| Subj22 | 1.327 | 14 | 0.206 | 1.479 |
| Subj23 | 9.218 | 14 | 0.000 | 11.959 |
| Subj24 | 0.971 | 14 | 0.348 | 1.080 |
| Subj25 | 0.133 | 14 | 0.896 | −0.148 |
| Participants | Statistic | dof | p-Value | ES | Group | p.adj | |
|---|---|---|---|---|---|---|---|
| Subj21 | 11.909 | 14 | 0.000 | −16.817 | ABI | 0.000 | *** |
| Subj22 | 4.984 | 14 | 0.000 | −5.827 | ABI | 0.001 | ** |
| Subj23 | 7.841 | 14 | 0.000 | −9.805 | ABI | 0.000 | *** |
| Subj24 | 0.772 | 14 | 0.453 | 0.859 | ABI | 0.945 | |
| Subj25 | 1.042 | 14 | 0.315 | 1.160 | ABI | 0.945 | |
| Subj16 | 4.679 | 14 | 0.000 | 5.439 | ApABI | 0.002 | ** |
| Subj17 | 0.354 | 14 | 0.729 | 0.393 | ApABI | 0.945 | |
| Subj18 | 2.103 | 14 | 0.054 | 2.359 | ApABI | 0.216 | |
| Subj19 | 12.147 | 14 | 0.000 | −17.286 | ApABI | 0.000 | *** |
| Subj20 | 14.444 | 14 | 0.000 | 22.154 | ApABI | 0.000 | *** |
| Participants | Statistic | dof | p-Value | ES | Group | p.adj | |
|---|---|---|---|---|---|---|---|
| Subj16 | 8.954 | 14 | 0.000 | 11.548 | ApABI | 0.000 | *** |
| Subj17 | 0.744 | 14 | 0.469 | −0.828 | ApABI | 1.000 | |
| Subj18 | 3.403 | 14 | 0.004 | −3.874 | ApABI | 0.030 | * |
| Subj19 | 10.474 | 14 | 0.000 | 14.136 | ApABI | 0.000 | *** |
| Subj20 | 0.279 | 14 | 0.784 | −0.310 | ApABI | 1.000 | |
| Subj21 | 4.167 | 14 | 0.001 | 4.801 | ABI | 0.008 | ** |
| Subj22 | 0.444 | 14 | 0.664 | −0.494 | ABI | 1.000 | |
| Subj23 | 0.173 | 14 | 0.865 | 0.192 | ABI | 1.000 | |
| Subj24 | 1.026 | 14 | 0.322 | −1.142 | ABI | 1.000 | |
| Subj25 | 1.289 | 14 | 0.218 | 1.437 | ABI | 1.000 |
Disclaimer/Publisher’s Note: The statements, opinions and data contained in all publications are solely those of the individual author(s) and contributor(s) and not of MDPI and/or the editor(s). MDPI and/or the editor(s) disclaim responsibility for any injury to people or property resulting from any ideas, methods, instructions or products referred to in the content. |
© 2023 by the authors. Licensee MDPI, Basel, Switzerland. This article is an open access article distributed under the terms and conditions of the Creative Commons Attribution (CC BY) license (https://creativecommons.org/licenses/by/4.0/).
Share and Cite
D’Ippolito, M.; Spinelli, G.; Iosa, M.; Aglioti, S.M.; Formisano, R. The Possible Role of Apathy on Conflict Monitoring: Preliminary Findings of a Behavioral Study on Severe Acquired Brain Injury Patients Using Flanker Tasks. Brain Sci. 2023, 13, 298. https://doi.org/10.3390/brainsci13020298
D’Ippolito M, Spinelli G, Iosa M, Aglioti SM, Formisano R. The Possible Role of Apathy on Conflict Monitoring: Preliminary Findings of a Behavioral Study on Severe Acquired Brain Injury Patients Using Flanker Tasks. Brain Sciences. 2023; 13(2):298. https://doi.org/10.3390/brainsci13020298
Chicago/Turabian StyleD’Ippolito, Mariagrazia, Giuseppe Spinelli, Marco Iosa, Salvatore Maria Aglioti, and Rita Formisano. 2023. "The Possible Role of Apathy on Conflict Monitoring: Preliminary Findings of a Behavioral Study on Severe Acquired Brain Injury Patients Using Flanker Tasks" Brain Sciences 13, no. 2: 298. https://doi.org/10.3390/brainsci13020298
APA StyleD’Ippolito, M., Spinelli, G., Iosa, M., Aglioti, S. M., & Formisano, R. (2023). The Possible Role of Apathy on Conflict Monitoring: Preliminary Findings of a Behavioral Study on Severe Acquired Brain Injury Patients Using Flanker Tasks. Brain Sciences, 13(2), 298. https://doi.org/10.3390/brainsci13020298

