Abstract
The continuous operation of modern society is dominated by interdependent networks, such as energy networks, communication networks, and traffic networks. As a result, the robustness of interdependent networks has become increasingly important in recent years. On the basis of past research, a no-feedback interdependent networks model is introduced. Compared with previous work, this model is more consistent with the characteristics of real interdependent systems. In addition, two types of failure modes, unilateral failure and bilateral failure, are defined. For each failure mode, the influence of coupling strength and dependency strength on the robustness of no-feedback interdependent networks was analyzed and discussed in relation to various giant component sizes. The simulation results indicated that the robustness of the no-feedback interdependent networks was inversely proportional to coupling strength and dependency strength, and the effect of coupling strength and dependency strength on the robustness was equivalent. These conclusions are beneficial for helping researchers and engineers to build more robust interdependent systems.
1. Introduction
The continuous well-adjusted operation of modern society is ubiquitous, however it should not be taken for granted. Many critical national infrastructure networks are indispensable, including energy networks, communication networks, and traffic networks. Most of these networks are not independent, i.e., the substance, energy, and information exchanges always exist, resulting in so-called interdependent networks. Evaluating the robustness of such systems is of great significance for the design of resilient infrastructures. However, analyzing the nature of interdependent networks with traditional complex network theory faces great challenges due to the dependencies that exist between these networks. In 2010, Buldyrev proposed a one-to-one correspondence and fully coupled interdependent networks model [1], and studied the cascading failure using percolation theory. Since then, investigation on the nature of interdependent networks has received wide popularity and a lot of dramatic advances have been made [2,3,4,5,6,7,8,9,10].
In the literature, the robustness of interdependent networks has been evaluated on the basis of three aspects: (1) the characteristics of subnetworks; (2) the property of dependency links; and (3) the failure mode of nodes.
The characteristics of subnetworks include the number of subnetworks, degree distribution [11], assortative [12], and clustering coefficient [13,14]. At present, many investigations have been conducted on double-layer interdependent networks, where the number of subnetworks is two. Buldyrev et al. [1] first evaluated the robustness of two layer and fully coupled interdependent networks and found that the percolation process of interdependent networks exhibited a first-order phase transition, which was different from the two-order phase transition of a single or isolated network. Dong and Gao et al. [15,16] extended the double-layer model to a multi-layer and investigated the cascading failure process of interdependent networks consisting of three or more subnetworks. This type of network is known as the network of networks (NON). In addition, the influence of degree distribution on robustness has usually been studied based on different failure modes and coupling preference. For instance, it was concluded in Reference [17] that a broader degree distribution of subnetworks increases the robustness of random coupled interdependent networks that are under random attack.
Another important factor that affects the robustness of interdependent networks is the property of dependency links, including coupling preference [18,19,20], directionality, and dependency strength. Coupling preference determines the way that dependency links are established between subnetworks, such as assortative coupling, disassortative coupling, and random coupling based on node degree or betweenness [21]. The dependency link can be either directed [22,23] or undirected [13,14]. Fu et al. [24] investigated the influence of the dependency link direction on the robustness of interdependent networks, and found that the robustness of directed interdependent networks was worse than undirected ones. The dependency strength was defined as the failure probability of the node after losing its dependency link. Liu et al. [25] analytically demonstrated the influence of this factor on robustness with percolation theory and generating function.
In terms of the failure modes of nodes, the majority of the previous work in this area used random or intentional attacks to represent natural failure or deliberate destruction based on node degree or betweenness [26]. Recently, new explanations on the meaning of failure modes have been proposed from the viewpoint of localized attack [27,28] and fuzzy information attack [29].
In order to improve the robustness of the interdependent networks, many advanced methodologies have been proposed, such as designing coupling preference based on the topology and especially the degree distribution of subnetworks [8,30], adding redundancy of key nodes or edges [31,32], and restoring some key nodes after failure [33]. In addition, other properties related to interdependent networks have also been studied, such as propagation [34,35,36,37], competition [38], resilience [39] and gaming [40].In the end, for the theory to model the cascading failures in interdependent networks, spreading process and in particular, mean-field approximation [41,42] has been recently studied, in addition to the commonly used generating functions and percolation theory.
Although dramatic advances have been made in the literature, the available tools and theories for the research of interdependent networks are insufficient. For example, when modeling the dependency link, the characteristics of a real system have not been fully considered, resulting in the oversimplification of the properties of the dependency link. Many models in previous studies were built on the assumption that dependencies are bidirectional and assumed that nodes would inevitably fail after their dependent nodes fail, but this is not the case. Furthermore, failure modes in previous studies that have been considered to inform the perspective of one subnetwork rather than the whole interdependent networks. Such assumptions may lead to a misunderstanding of the operating characteristics of real interdependent systems. In order to facilitate the description, we defined a new failure mode and developed a framework to analyze the robustness of interdependent systems from the perspective of the different characteristics of dependency links.
The rest of this paper is organized as follows. Section 2 proposes an interdependent networks model based on the description of the failure modes of nodes and evaluation indicators of robustness. Numerical simulation and analysis on the cascading failure and collapse threshold are provided in Section 3 from two aspects: coupling strength and dependency strength. In addition, the influence of these two factors on the robustness of interdependent networks is also discussed. Finally, Section 4 concludes this paper and puts forward several directions for future work.
2. Models
2.1. Interdependent Networks With No-Feedback Dependency
There are two kinds of dependency relationships among interdependent networks: feedback and no-feedback [2,3]. Figure 1a shows a model with undirected feedback dependency: A3 and B4 depend on each other, the same as B4 and A4. Figure 1b shows a model with directed feedback dependency: A4 depends on B4 and B4 depends on A3. In both Figure 1a,b, A3-B4-A4 constitutes a feedback relationship of dependency or an interdependent chain. Thus, the failure of node A3 can produce a feedback on other nodes in subnetwork A through node B4. Due to the existence of the interdependent chain, the robustness of feedback interdependent networks is usually very poor, and in extreme cases, even the failure of a single node will cause the complete collapse of the whole system [24]. In addition, nodes usually establish the dependency with nearest nodes rather than nodes far away from them. Suppose that nodes with the same number in different subnetworks are nearest from each other, the dependency links among nodes A3, B4 and A4 in Figure 1a,b are not consistent with the principle of nearest distance.
Figure 1.
Various interdependent networks models [43]. (a) Model with undirected and feedback dependency links; (b) Model with directed and feedback dependency links; (c) Model with directed and no-feedback dependency links. In sub-graph (a); node A3 and B4 depend on each other, same as node B4 and A4; in sub-graph (b); node A4 depend on B4, and B4 depend on A3. Both of them form a feedback dependency relationship.
Therefore, in order to improve the level of robustness, the feedback interdependent system shown in Figure 1a,b should be avoided. For interdependent networks composed of two subnetworks A and B, if node Ai depends on node Bj and Bj depends on Ak, they must have k = i, such a system is called the no-feedback interdependent system [43]. These kinds of interdependent networks were firstly constructed and the percolation process of such systems studied by Parshani in Reference [2]. In addition, there are few bidirectional (or undirected) dependency links similar to those shown as Figure 1a, and most of the dependency links in interdependent networks are directed [23]. For example, a node in the control network may control a power network node, but this power node is not necessarily responsible for the power supply of this control node, i.e., the power node depends on the control node but not vice versa, which constitutes unidirectional dependency. Generally speaking, a more general situation in the real world is that the dependency link has directionality and satisfies the constraint of no-feedback. An illustrative example is shown in Figure 1c. In this paper, the interdependent model with directed and no-feedback dependency was considered. Without the loss of generality, we assumed that a node from one subnetwork had no more than one dependent node from the other subnetwork.
Many complex systems in the real world, e.g., communication and control networks that play the key role of connection in many interdependent systems, are usually modeled as random networks [7,44]. Therefore, the Erdő-Rényi (ER) random network model is determined for the formulation of the subnetwork. We assumed that both subnetworks had the same number of nodes (denote as NA, NB) for simplicity. Sorting the node numbers of subnetworks A and B randomly, we then got two random sequences (Ai1, Ai2, …, AiN and Bj1, Bj2, …, BjN) and constructed the potential dependency relationship like Ai1-Bj1, Ai2-Bj2, …, AiN-BjN using one-to-one correspondence. At last, we chose a certain proportion of nodes, like CSA, in subnetwork A randomly, and constructed the dependency of A on B according to the potential dependency relationship. In the same way, we constructed the dependency of B on A with proportion CSB. Based on the above steps, we got a no-feedback ER-ER interdependent networks model with coupling strength CSA and CSB as shown in Figure 1c.
2.2. Failure Mode and Evaluation Indicator of Robustness
In order to analyze the influence of subnetworks (e.g., power grid and communication network) reliability on the robustness of interdependent systems, many studies have considered the case of failure nodes in only one subnetwork, which is insufficient to fully reveal the failure characteristics of interdependent networks. Therefore, according to the location of the initial failure nodes, we defined two failure modes, i.e., unilateral failure and bilateral failure, to analyze the robustness in this paper. Denote as the number of initial failure nodes in subnetworks A and B, respectively, then the two failure modes can be described as follows [45].
Unilateral failure (UF): a fraction of puf failure nodes are randomly distributed in only one subnetwork, for example, subnetwork A.
Bilateral failure (BF): a fraction of pbf failure nodes are randomly distributed in the whole interdependent networks [16,43].
Based on Reference [1], we assumed that the initial random failure led to a cascade of failures, and that only nodes belonging to the giant component of subnetworks remained functional. The cascading failure ended when the size of the giant component no longer changed. At this point, there are two common indicators to measure the robustness. The first one is the size of the giant component after cascading failure, which is denoted as S. Specifically, this indicator under UF is the giant component size of subnetwork A, which is remarked as SA hereinafter. When it comes to BF, it means the giant component size of the whole interdependent networks, and is denoted as SAB. The second indicator is a collapse threshold, denoted as fc, representing the minimum size of initial failure that causes the interdependent networks to complete collapse. The collapse threshold under UF is defined as = min(puf), where puf is restricted by SA(puf) = 0. Similarly, the collapse threshold under BF is defined as = min(pbf), where pbf subjects to SAB(pbf) = 0.
3. Simulation and Analysis
In this section, the robustness of the no-feedback interdependent networks is analyzed based on the following two considerations:
- Fully coupled interdependent systems as shown in [1] are rare in reality. In most circumstances, only part of the nodes have dependency partners, such systems are known as partially interdependent networks [2,46].
- Not all nodes will fail after their dependency nodes failing, i.e., failure of the dependency link does not absolutely lead to dependency node failure. Given the huge loss caused by cascading failure, a real-world coupled system usually has protection measures on key nodes to ensure these nodes can maintain a working state with a certain probability after the failing of their dependency nodes [25,46], such a system is called weakly interdependent networks.
The parameter coupling strength (CS) is utilized to describe the fraction of nodes in one subnetwork that has dependency partners in another subnetwork [2]. Specifically, CSA(CSB) indicates the fraction of nodes in subnetwork A(B) that depend on the nodes in subnetwork B(A). In addition, in the weakly interdependent networks model, the failure probability of the node after losing its dependency node is defined as dependency strength (DS). In order to avoid the mutual influence between CS and DS during simulation, they were investigated separately in this work. For example, if one parameter is studied, the other parameter will be fixed with value 1. In order to balance the computation cost of the simulation and characteristics of the real coupled system, the target network employed for simulation is with a scale of NA = NB = 5000, and the average degree is <kA > = < kB > = 4.
3.1. Coupling Strength
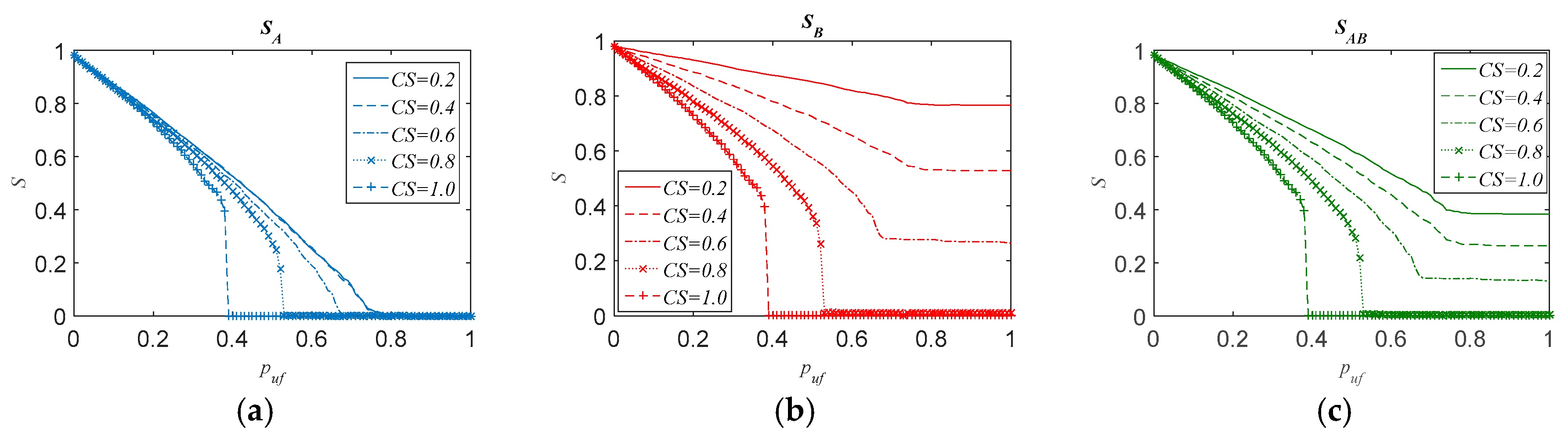
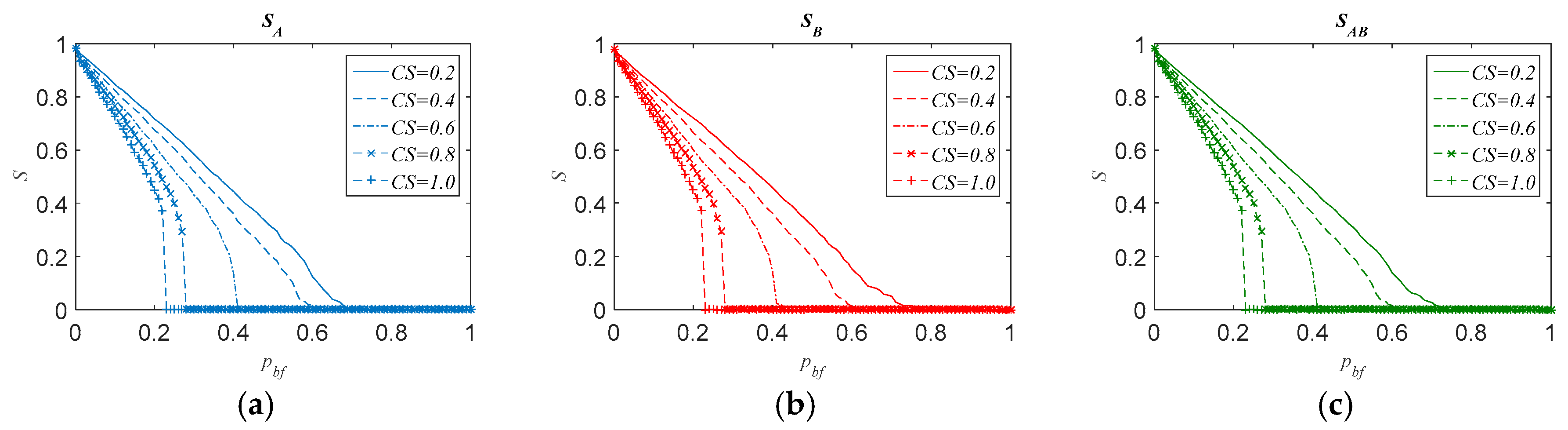
This subsection is introduced to investigate the effect of CS on the robustness of no-feedback interdependent networks. We started the simulation from a special case where different subnetworks had equal coupling strength, i.e., CSA = CSB = CS. Based on the node number and average degree set given above, the cascading failure of interdependent networks was simulated as follows. At the beginning, according to different failure modes, we randomly select nodes with a ratio of p as failure nodes in only one subnetwork or the whole interdependent networks, then the initial failures cause the cascading failure. When the cascading failure ends, the results of SA, SB, and SAB with different coupling strength under two failure modes are demonstrated in Figure 2 and Figure 3, respectively. It should be noted that SAB = (SA + SB)/2 is shown since different subnetworks have the same number of nodes.
Figure 2.
Simulation results of cascading failure of no-feedback interdependent networks with different coupling strength (CS) under unilateral failure (UF), results of one simulation. (a)cascading failure of subnetwork A with different CS under UF; (b) cascading failure of subnetwork B with different CS under UF; (c) cascading failure of the entire interdependent networks with different CS under UF.
Figure 3.
Simulation results of cascading failure of no-feedback interdependent networks with different coupling strength (CS) under bilateral failure (BF), results of one simulation. (a)cascading failure of subnetwork A with different CS under BF; (b) cascading failure of subnetwork B with different CS under BF; (c) cascading failure of the entire interdependent networks with different CS under BF.
According to the results of Figure 2 and Figure 3, it can be concluded that the robustness of no-feedback interdependent networks under two failure modes shows a negative correlation with coupling strength. The larger the coupling strength, the worse the robustness of the interdependent networks. The reason is that if CS becomes larger, the number of nodes with dependency links is larger, there will be more failures propagate between subnetworks through dependency links, thus subnetworks are more likely to break into more components, leading to an intense cascading failure process. Moreover, when CS increases to a certain value (such as 0.8 under unilateral failure and 0.6 under bilateral failure, as shown in Figure 2 and Figure 3), a sudden collapse (first order percolation) will occur along with the cascading failure of interdependent networks. Comparing the results of Figure 2 and Figure 3, it was observable that the robustness under bilateral failure was worse than unilateral failure. This phenomenon is not difficult to explain. According to the definition of failure mode given in Section 2.2, if two fractions of failure nodes under unilateral and bilateral failure are equal, the number of failure nodes under bilateral failure is two times that under unilateral failure, resulting in a larger failure range and a smaller collapse threshold.
A more instinctive description of the negative correlation between collapse threshold and coupling strength under unilateral and bilateral failure is given in Figure 4, where the average value of 20 independent simulations are illustrated. For each simulation, we firstly built no-feedback interdependent networks models with different CS (simulation step size of CS is 0.1), then simulated the cascading failure of those models under two failure modes (the simulation step size of failure nodes fraction was set to 0.01), and lastly, found the minimum scale of failure nodes for the complete collapse of model under different CS, that is, the collapse threshold fc. Calculating the average value of 20 thresholds under the same CS, we can plot the curves in Figure 4. For unilateral failure, when CS as less than 0.4, the collapse threshold of interdependent networks was maintained at a level of about 0.7. The reason is that when CS is small, failure propagation between the subnetworks through the dependency link is very limited after initial failure, therefore the threshold does not change much. However, in the range of 0.4 to 1, the collapse threshold decreased sharply as CS increased. At the same time, the cascading failure scale caused by the initial failure kept expending along with the increase of CS. When the parameter CS reached 1, the no-feedback interdependent networks model was transformed into fully interdependent networks, and the collapse threshold was reduced to 0.39, which is consistent with Reference [1]. In addition, the collapse threshold under bilateral failure decreased faster than unilateral failure as coupling strength increased, and finally ended at about 0.23 under full dependency. Therefore, it is safe to conclude that no-feedback interdependent networks under bilateral failure are more sensitive to the change of coupling strength.
Figure 4.
Relationship between collapse threshold fc and coupling strength (CS) on both unilateral and bilateral failure modes.
Based on the experiments for CSA = CSB given above, a more general scenes CSA ≠ CSB will be investigated in the following. The simulation process is similar to the process for plotting Figure 4, and the only difference is setting different coupling strength parameters CSA and CSB to subnetworks A and B. Therefore, the results of this simulation were plotted on a three-dimensional curved surface. The result of the collapse threshold of subnetwork A under unilateral failure as a function of coupling strength is shown in Figure 5. On the other hand, the result of collapse threshold of the whole interdependent networks under bilateral failure is shown in Figure 6. It is worthwhile pointing out that curves in Figure 4 are special cases (CSA = CSB) in Figure 5 and Figure 6. For exemplification, they are highlighted with gray dotted lines.
Figure 5.
The three-dimensional curved surface of collapse threshold fc over various coupling strength (CS) under unilateral failure, each point is an average of 20 different network realizations. Sub-graph (a–e) show the cascading failure under specific coupling strength in one simulation.
Figure 6.
The three-dimensional curved surface of collapse threshold fc over various coupling strength under bilateral failure, each point is an average of 20 different network realizations.
In Figure 5, it is observable that the collapse threshold changed slightly under unilateral failure when coupling strength was small, but the robustness of interdependent networks declined rapidly if the coupling strength was more than 0.5. As shown in Figure 6, the collapse threshold under bilateral failure decreased more intensely than that under unilateral failure. With the coupling strength CSA and CSB increased from zero to one, the collapse threshold decreased gradually, and it reached 0.23 when CSA = CSB = 1.
It should be noted that several special cases are marked with circles in Figure 5. They are discussed as follows:
- (1)
- If CSA = 1, CSB = 0 or CSA = 0, CSB = 1, one subnetwork is fully dependent on the other subnetwork through directed dependency links. The cascading failure of subnetworks and interdependent networks are shown in Figure 5a,d.
- (2)
- If CSA = CSB = 1, two subnetworks are fully coupled by bidirectional dependency links, which are equivalent to the model with one-to-one correspondence in [1]. The failure process shows a second-order transition phenomenon in Figure 5b.
- (3)
- If CSA = CSB = 0, two subnetworks have no dependency on each other, so failure in one subnetwork will not spread to the other. The cascading failure process of interdependent networks under unilateral failure is equivalent to the failure of a single network, which is shown in Figure 5c.
More generally, for the cases of 0 < CSA < 1 and 0 < CSB < 1, it indicates that only part of the nodes have dependency links in interdependent networks, and this is the coupling pattern of most real-world interdependent systems. The corresponding cascading failure of such interdependent networks is shown in Figure 5e.
Compared with Figure 4, a clearer conclusion can be drawn from Figure 5 and Figure 6: Coupling strength is an important factor that affects the robustness of no-feedback interdependent networks. The higher the coupling strength, the smaller the collapse threshold, and the robustness also becomes worse. Figuratively speaking, the curved surfaces in Figure 5 and Figure 6 can be considered as snow-capped mountains, then avalanches easily happen in the green and light blue areas, and the red area represents a relatively secure zone. The avalanche region corresponds to a rapid decline of the collapse threshold, indicating that the robustness of interdependent networks deteriorates with the increase of CSA and CSB. Comparing Figure 5 with Figure 6, it can be seen that the area of avalanche was larger when the no-feedback interdependent networks were faced with bilateral failure. It is further verified that the robustness of interdependent networks under bilateral failure was more sensitive to the change of coupling strength than unilateral failure.
As a further supplement, we did additional simulations based on the other two types of subnetworks, the scale-free network (BA model) and the small world network (WS model). The results were shown in Figures S1–S3 of the supplemental material, the same conclusions were obtained from these results as that in ER-ER interdependent networks.
3.2. Dependency Strength
This section investigates the influence of dependency strength on the robustness of no-feedback interdependent networks. Based on the parameters determined in Section 2.1, a weakly coupled no-feedback ER-ER interdependent networks model was developed in this section, where the coupling strength of both subnetworks were valued as 1 to eliminate the influence of this factor, and the dependency strength was assigned with different DS. The main purpose of this experiment is to study the relationship of the size of giant component and the initial failure nodes ratio p, then analyze the effect of dependency strength on the robustness. The simulation step sizes of DS and p are set to 0.01.
Figure 7 illustrates the relationship between the size of the giant component and dependency strength. Specifically, Figure 7a–c demonstrate the giant component of subnetwork A, subnetwork B, and the entire interdependent networks under unilateral failure, respectively. Figure 7d–f show the results under bilateral failure. It can be seen in Figure 7 that as the dependency strength becomes larger, the cascading failure of interdependent networks experiences a moderate change from first-order to second-order phase transition under unilateral and bilateral failure, which means the robustness of the interdependent system is diminishing.
Figure 7.
The cascading failure of subnetwork A, subnetwork B, and the entire interdependent networks with different dependency strength (DS) under unilateral failure (UF) and bilateral failure (BF), results of one simulation. (a) cascading failure of subnetwork A with different DS under UF; (b) cascading failure of subnetwork A with different DS under BF; (c) cascading failure of subnetwork B with different DS under UF; (d) cascading failure of subnetwork B with different DS under BF; (e) cascading failure of the entire interdependent networks with different DS under UF; (f) cascading failure of the entire interdependent networks with different DS under BF;.
Comparing the results under unilateral failure in Figure 7a,b, it was noticeable that failure in subnetwork A did not cause large scale levels of failure in B when DS was small. Specifically, if DS = 0, the initial failure could not propagate through dependency links between subnetworks A and B, and the failure of nodes in subnetwork A had no effect on subnetwork B. After DS increased to more than 0.7, the cascading failure of subnetworks A and B had an obvious first-order transition.
In addition, the results under bilateral failure in Figure 7d,e indicate that the cascading failures of subnetworks A and B were basically the same. The explanation of this situation is that failure nodes are distributed evenly in two subnetworks under bilateral failure, whereas only one subnetwork has failure nodes under unilateral failure mode. When DS increased to 0.5, the first-order percolation phenomenon appeared, which means that the influence of bilateral failure on the robustness was greater than unilateral failure.
The relationship between dependency strength and the robustness of interdependent networks is further discussed as follows. According to the definition of collapse threshold given in Section 2.2, the intersection curves between surface and horizontal plane in Figure 7a,f represent the variation of the collapse threshold with dependency strength in one simulation. Accordingly, Figure 8 summarizes the results of multiple simulations. In the processes of this simulation, we firstly construct weakly interdependent networks models different DS (simulation step size of DS is 0.1), then the latter processes are the same as that of the processes for plotting Figure 4. It is observable in Figure 8 that the collapse threshold decreased as dependency strength increased under both two failure modes. In the unilateral failure mode, if DS was less than 0.5, there was little change in the collapse threshold of the interdependent networks; if DS was larger than 0.5, the collapse threshold decreased sharply. However, the situation under bilateral failure was different, the collapse threshold uniformly decreased with the increasing of dependency strength from 0 to 1. Finally, for the case of DS = 1, the weakly interdependent model evolves into fully interdependent networks. Similar to the situation shown in Section 3.1, the threshold of interdependent networks collapse under bilateral failure was 0.26, and the value under unilateral failure was 0.4, which is basically consistent with [1], where 0.39 was derived. The tiny difference is probably due to the finite effect caused by the limited subnetwork size during the simulation.
Figure 8.
Collapse threshold fc as a function of dependency strength(DS), each point is obtained by averaging over simulation on 20 independent realizations.
In the end, an interesting phenomenon was observed from the comparison between Figure 4 and Figure 8: the changes of collapse threshold fc in the partially interdependent and weakly interdependent models were consistent. The main reason is that the dependency link in interdependent networks serves as a failure propagator. Specifically, for double-layer no-feedback interdependent networks, where coupling strength is CSA = CSB = CS, dependency strength is DS. In the initial state, the failure probability of node in one subnetwork is p1, the failure probability of the node (resulted from the losing its dependency link) in the other subnetwork can be generated from:
p2 = CS × DS × p1
In Section 3.1, the dependency strength of the partially coupling model was 1, thus p2 = CS × p1. In Section 3.2, we considered the weakly coupling model with fully dependency, i.e., the coupling strength was 1, so p2 = DS × p1. Therefore, when the coupling strength is equal to the dependency strength, the failure probability of nodes is the same after initial failure on both failure modes. This explains the consistent results of Figure 4 and Figure 8. Thus, we can conclude that the coupling strength and dependency strength are equivalent to the robustness of interdependent networks.
Similarly to in Section 3.1, we conducted additional simulations on the effect of dependency strength and the robustness based on the other two types of interdependent networks, using the BA model and WS model as subnetworks, respectively. The results were shown in Figure S4 of the supplemental material, and the same conclusions were obtained from these results as that in ER-ER interdependent networks.
4. Conclusions
In this paper, the robustness of interdependent networks with no-feedback dependency was investigated. Unlike previous studies that focused on the percolation process of no-feedback interdependent networks with different proportions of failure nodes, this paper focuses on the influence of dependency links on network robustness. Specifically, we focuses on the collapse thresholds of no-feedback interdependent networks from two characteristics of dependency links, coupling strength and dependency strength. The influences of these two parameters on the robustness were analyzed under two failure modes: unilateral failure and bilateral failure. Particularly, when studying the influence of coupling strength, we discussed two cases of the coupling strength of subnetworks in the same and different situations. The simulation results indicated that the collapse threshold of interdependent networks had an inverse relationship with coupling strength and dependency strength, especially under bilateral failure. This means that strong coupling strength or dependency strength makes no-feedback interdependent networks less robust. For unilateral failure, if coupling strength or dependency strength increased to more than 0.5, the robustness of the model decreased sharply, while the collapse threshold rapidly reduced from 0.7 to about 0.4. In addition, we also found that when considering only one factor, the influence of coupling strength and dependency strength on robustness was equivalent. All these results provide references for designing a robust interdependent system. If we want to construct a robust no-feedback interdependent system, it is a feasible way to reduce coupling strength or dependency strength through various protective measures.
Although several achievements have been obtained, there are still some shortcomings in this research. For example, we studied the direction of the dependency link between subnetworks but did not consider the direction of the connection link in the subnetwork. While considering the direction of dependency link and connection link at the same time, the robustness of interdependent networks can be considered to be a notable problem. In addition, during the analysis of the effect of dependency strength, we did not consider the difference between different dependency links and set a fixed DS to those links. Finally, we chose to study the coupling strength parameter and dependency strength, respectively. In fact, there are many real-world interdependent systems with partial and weak dependency at the same time. To gain a better understanding of the robustness of the no-feedback interdependent system, further research on these topics will be extremely essential.
Supplementary Materials
The following are available online at http://www.mdpi.com/2076-3417/8/5/835/s1, Figure S1: Relationship between collapse threshold fc and coupling strength (CS) under both unilateral and bilateral failure modes, each point is obtained by averaging over simulation on 20 independent realizations. Figure S2: The three-dimension curved surface shows collapse threshold fc as a function of coupling strength(CS) under unilateral failure, each point is averaged over 20 different network realizations. Figure S3: The three-dimension curved surface of collapse threshold fc as a function of coupling strength under bilateral failure, each point is averaged over 20 different network realizations. Figure S4: Collapse threshold fc as a function of dependency strength(DS), each point is obtained by averaging over simulation on 20 independent realizations.
Author Contributions
J.W. and S.L. conceived and designed the experiments; J.W. performed the experiments; L.B. and L.H. helped in the experiment; J.W. analyzed the data; J.W. and S.H. wrote the paper.
Acknowledgments
This work was supported by the National Natural Science Foundation of China under Grant No. 61603408.
Conflicts of Interest
The authors declare no conflict of interest.
References
- Buldyrev, S.V.; Parshani, R.; Paul, G.; Stanley, H.E.; Havlin, S. Catastrophic cascade of failures in interdependent networks. Nature 2010, 464, 1025–1028. [Google Scholar] [CrossRef] [PubMed]
- Parshani, R.; Buldyrev, S.V.; Havlin, S. Interdependent networks: Reducing the coupling strength leads to a change from a first to second order percolation transition. Phys. Rev. Lett. 2010, 105, 048701. [Google Scholar] [CrossRef] [PubMed]
- Shao, J.; Buldyrev, S.V.; Havlin, S.; Stanley, H.E. Cascade of failures in coupled network systems with multiple support-dependence relations. Phys. Rev. E Stat. Nonlinear Soft Matter Phys. 2011, 83, 036116. [Google Scholar] [CrossRef] [PubMed]
- Dong, G.; Tian, L.; Zhou, D.; Du, R.; Xiao, J.; Stanley, H.E. Robustness of n interdependent networks with partial support-dependence relationship. EPL Europhys. Lett. 2013, 102, 68004. [Google Scholar] [CrossRef]
- Radicchi, F. Percolation in real interdependent networks. Nat. Phys. 2015, 11, 597–602. [Google Scholar] [CrossRef]
- Di Muro, M.A.; La Rocca, C.E.; Stanley, H.E.; Havlin, S.; Braunstein, L.A. Recovery of interdependent networks. Sci. Rep. 2016, 6, 22834. [Google Scholar] [CrossRef] [PubMed]
- Gong, M.; Wang, Y.; Wang, S.; Liu, W. Enhancing robustness of interdependent network under recovery based on a two-layer-protection strategy. Sci. Rep. 2017, 7, 12753. [Google Scholar] [CrossRef] [PubMed]
- Wang, X.; Zhou, W.; Li, R.; Cao, J.; Lin, X. Improving robustness of interdependent networks by a new coupling strategy. Phys. A Stat. Mech. Appl. 2018, 492, 1075–1080. [Google Scholar] [CrossRef]
- Zhao, K.; Bianconi, G. Percolation on interdependent networks with a fraction of antagonistic interactions. J. Stat. Phys. 2013, 152, 1069–1083. [Google Scholar] [CrossRef]
- Veremyev, A.; Sorokin, A.; Boginski, V.; Pasiliao, E.L. Minimum vertex cover problem for coupled interdependent networks with cascading failures. Eur. J. Oper. Res. 2014, 232, 499–511. [Google Scholar] [CrossRef]
- Sun, S.; Wu, Y.; Ma, Y.; Wang, L.; Gao, Z.; Xia, C. Impact of degree heterogeneity on attack vulnerability of interdependent networks. Sci. Rep. 2016, 6, 32983. [Google Scholar] [CrossRef] [PubMed]
- Zhou, D.; Stanley, H.E.; D’Agostino, G.; Scala, A. Assortativity decreases the robustness of interdependent networks. Phys. Rev. E Stat. Nonlinear Soft Matter Phys. 2012, 86, 066103. [Google Scholar] [CrossRef] [PubMed]
- Li, R.Q.; Sun, S.W.; Ma, Y.L.; Wang, L.; Xia, C.Y. Effect of clustering on attack vulnerability of interdependent scale-free networks. Chaos Solitons Fractals 2015, 80, 109–116. [Google Scholar] [CrossRef]
- Shao, S.; Huang, X.; Stanley, H.E.; Havlin, S. Robustness of a partially interdependent network formed of clustered networks. Phys. Rev. E Stat. Nonlinear Soft Matter Phys. 2014, 89, 032812. [Google Scholar] [CrossRef] [PubMed]
- Dong, G.; Gao, J.; Du, R.; Tian, L.; Stanley, H.E.; Havlin, S. Robustness of network of networks under targeted attack. Phys. Rev. E Stat. Nonlinear Soft Matter Phys. 2013, 87, 052804. [Google Scholar] [CrossRef] [PubMed]
- Gao, J.; Buldyrev, S.V.; Havlin, S.; Stanley, H.E. Robustness of a network of networks. Phys. Rev. Lett. 2011, 107, 195701. [Google Scholar] [CrossRef] [PubMed]
- Buldyrev, S.V.; Shere, N.W.; Cwilich, G.A. Interdependent networks with identical degrees of mutually dependent nodes. Phys. Rev. E Stat. Nonlinear Soft Matter Phys. 2011, 83, 016112. [Google Scholar] [CrossRef] [PubMed]
- Tian, M.; Wang, X.; Dong, Z.; Zhu, G.; Long, J.; Dai, D.; Zhang, Q. Cascading failures of interdependent modular scale-free networks with different coupling preferences. EPL Europhys. Lett. 2015, 111, 18007. [Google Scholar] [CrossRef]
- Tan, F.; Xia, Y.; Wei, Z. Robust-yet-fragile nature of interdependent networks. Phys. Rev. E 2015, 91, 052809. [Google Scholar] [CrossRef] [PubMed]
- Chen, Z.; Du, W.-B.; Cao, X.-B.; Zhou, X.-L. Cascading failure of interdependent networks with different coupling preference under targeted attack. Chaos Solitons Fractals 2015, 80, 7–12. [Google Scholar] [CrossRef]
- Parshani, R.; Rozenblat, C.; Ietri, D.; Ducruet, C.; Havlin, S. Inter-similarity between coupled networks. EPL Europhys. Lett. 2010, 92, 68002. [Google Scholar] [CrossRef]
- Shin, D.-H.; Qian, D.; Zhang, J. Cascading effects in interdependent networks. IEEE Netw. 2014, 28, 82–87. [Google Scholar] [CrossRef]
- Liu, X.; Stanley, H.E.; Gao, J. Breakdown of interdependent directed networks. Proc. Natl. Aad. Sci. USA 2016, 113, 1138–1143. [Google Scholar] [CrossRef] [PubMed]
- Fu, G.; Dawson, R.; Khoury, M.; Bullock, S. Interdependent networks: Vulnerability analysis and strategies to limit cascading failure. Eur. Phys. J. B 2014, 87, 1–10. [Google Scholar] [CrossRef]
- Liu, R.R.; Li, M.; Jia, C.X. Cascading failures in coupled networks: The critical role of node-coupling strength across networks. Sci. Rep. 2016, 6, 35352. [Google Scholar] [CrossRef] [PubMed]
- Zhang, P.; Cheng, B.; Zhao, Z.; Li, D.; Lu, G.; Wang, Y.; Xiao, J. The robustness of interdependent transportation networks under targeted attack. EPL Europhys. Lett. 2013, 103, 68005. [Google Scholar] [CrossRef]
- Berezin, Y.; Bashan, A.; Danziger, M.M.; Li, D.; Havlin, S. Localized attacks on spatially embedded networks with dependencies. Sci. Rep. 2015, 5, 8934. [Google Scholar] [CrossRef] [PubMed]
- Yan, K.-S.; Rong, L.-L.; Li, Q. Vulnerability analysis of interdependent spatially embedded infrastructure networks under localized attack. Mod. Phys. Lett. B 2017, 31, 1750089. [Google Scholar] [CrossRef]
- Zhu, Q.; Zhu, Z.; Wang, Y.; Yu, H. Fuzzy-information-based robustness of interconnected networks against attacks and failures. Phys. A Stat. Mech. Appl. 2016, 458, 194–203. [Google Scholar] [CrossRef]
- Korkali, M.; Veneman, J.G.; Tivnan, B.F.; Bagrow, J.P.; Hines, P.D.H. Reducing cascading failure risk by increasing infrastructure network interdependence. Sci. Rep. 2017, 7, 44499. [Google Scholar] [CrossRef] [PubMed]
- Liu, L.; Yin, Y.; Zhang, Z.; Malaiya, Y.K. Redundant design in interdependent networks. PLoS ONE 2016, 11, e0164777. [Google Scholar] [CrossRef] [PubMed]
- Radicchi, F.; Bianconi, G. Redundant interdependencies boost the robustness of multiplex networks. Phys. Rev. X 2017, 7. [Google Scholar] [CrossRef]
- Hong, S.; Lv, C.; Zhao, T.; Wang, B.; Wang, J.; Zhu, J. Cascading failure analysis and restoration strategy in an interdependent network. J. Phys. A Math. Theor. 2016, 49, 195101. [Google Scholar] [CrossRef]
- Shu, P.; Gao, L.; Zhao, P.; Wang, W.; Stanley, H.E. Social contagions on interdependent lattice networks. Sci. Rep. 2017, 7, 44669. [Google Scholar] [CrossRef] [PubMed]
- Chen, H.; Zhao, X.; Liu, F.; Xu, S.; Lu, W. Optimizing interconnections to maximize the spectral radius of interdependent networks. Phys. Rev. E 2017, 95, 032308. [Google Scholar] [CrossRef] [PubMed]
- Zhao, D.; Wang, Z.; Xiao, G.; Gao, B.; Wang, L. The robustness of interdependent networks under the interplay between cascading failures. EPL Europhys. Lett. 2016, 115, 58004. [Google Scholar] [CrossRef]
- Son, S.-W.; Bizhani, G.; Christensen, C.; Grassberger, P.; Paczuski, M. Percolation theory on interdependent networks based on epidemic spreading. EPL Europhys. Lett. 2012, 97, 16006. [Google Scholar] [CrossRef]
- Danziger, M.M.; Bonamassa, I.; Boccaletti, S.; Havlin, S. Dynamic interdependence and competition in multilayer networks. arXiv, 2017; arXiv:1705.00241v1. [Google Scholar]
- Nan, C.; Sansavini, G. A quantitative method for assessing resilience of interdependent infrastructures. Reliab. Eng. Syst. Saf. 2017, 157, 35–53. [Google Scholar] [CrossRef]
- Wang, Z.; Szolnoki, A.; Perc, M. Self-organization towards optimally interdependent networks by means of coevolution. New J. Phys. 2014, 16, 033041. [Google Scholar] [CrossRef]
- Dadlani, A.; Kumar, M.S.; Maddi, M.G.; Kim, K. Mean-field dynamics of inter-switching memes competing over multiplex social networks. IEEE Commun. Lett. 2017, 21, 967–970. [Google Scholar] [CrossRef]
- Sahneh, F.D.; Scoglio, C.; VanMieghem, P. Generalized epidemic mean-field model for spreading processes over multilayer complex networks. IEEE/ACM Trans. Netw. 2013, 21, 1609–1620. [Google Scholar] [CrossRef]
- Gao, J.; Buldyrev, S.V.; Stanley, H.E.; Havlin, S. Networks formed from interdependent networks. Nat. Phys. 2012, 8, 40–48. [Google Scholar] [CrossRef]
- Ruedan, D.F.; Calle, E. Using interdependency matrices to mitigate targeted attacks on interdependent networks: A case study involving a power grid and backbone telecommunications networks. Int. J. Crit. Infrastruct. Prot. 2017, 3–12. [Google Scholar] [CrossRef]
- Zhou, D.; Gao, J.; Stanley, H.E.; Havlin, S. Percolation of partially interdependent scale-free networks. Phys. Rev. E Stat. Nonlinear Soft Matter Phys. 2013, 87, 052812. [Google Scholar] [CrossRef] [PubMed]
- Kong, L.-W.; Li, M.; Liu, R.-R.; Wang, B.-H. Percolation on networks with weak and heterogeneous dependency. Phys. Rev. E 2017, 95, 032301. [Google Scholar] [CrossRef] [PubMed]
© 2018 by the authors. Licensee MDPI, Basel, Switzerland. This article is an open access article distributed under the terms and conditions of the Creative Commons Attribution (CC BY) license (http://creativecommons.org/licenses/by/4.0/).







