Unified Friction Formulation from Laminar to Fully Rough Turbulent Flow
Abstract
1. Introduction
2. Previous Works and the Source of Their Differences
3. Switching Functions, Friction Factors, New Formulation, and Comparative Analysis
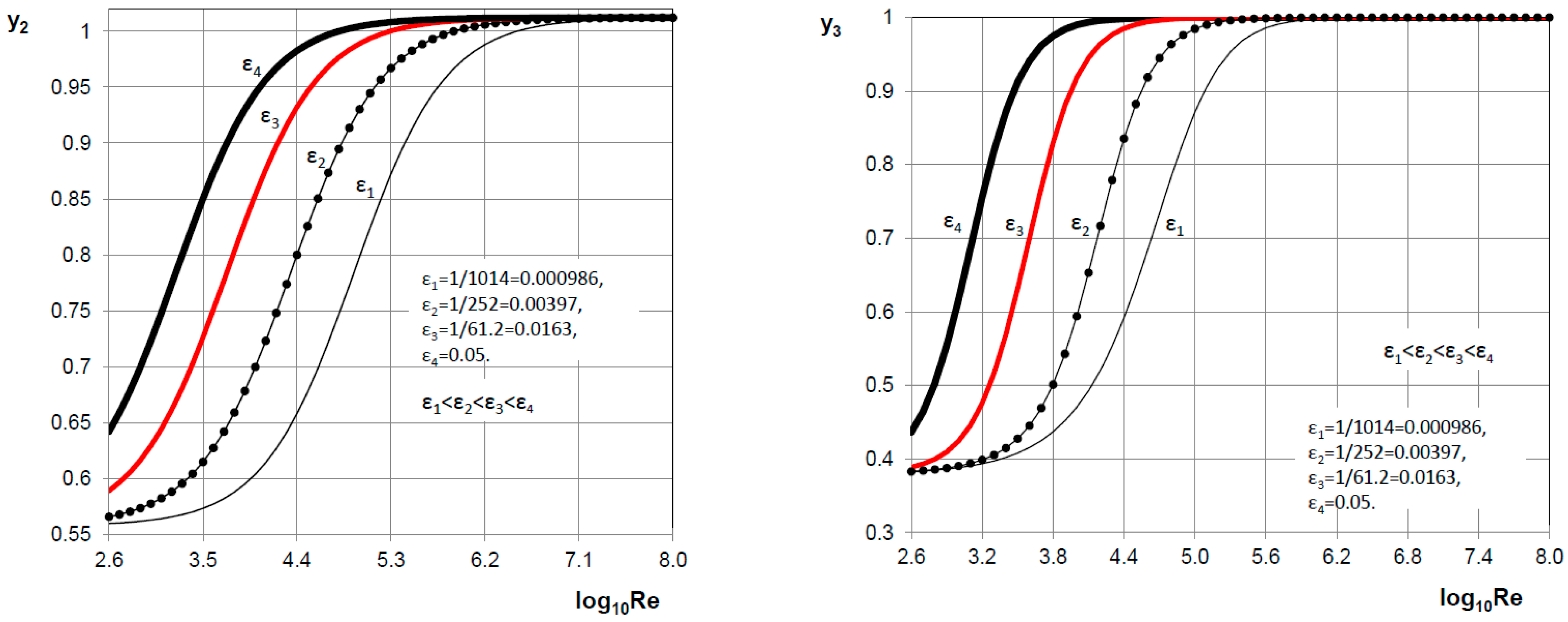
3.1. Switching Functions
3.2. Friction Factors
3.2.1. Laminar Flow
3.2.2. Smooth Turbulent Flow
3.2.3. Fully Developed Rough Turbulent Flow
3.3. New Unified Flow Friction Formulation
4. Conclusions
Author Contributions
Funding
Acknowledgments
Conflicts of Interest
Nomenclature
| λ | Darcy friction factor (Moody, Darcy–Weisbach, or Colebrook); dimensionless |
| Re | Reynolds number; dimensionless |
| ε | relative roughness of inner pipe surface; dimensionless |
| laminar | |
| smooth turbulent | |
| non-fully developed partially turbulent | |
| fully developed rough turbulent | |
| , and | switching functions |
| e | exponential function |
| Log | logarithmic function |
| Ln | Napier natural logarithm |
| A, B, C, D and E | auxiliary terms |
References
- Brown, G.O. Henry Darcy and the making of a law. Water Resour. Res. 2002, 38, 11. [Google Scholar] [CrossRef]
- Brkić, D. Can pipes be actually really that smooth? Int. J. Refrig. 2012, 35, 209–215. [Google Scholar] [CrossRef]
- Shojaeizadeh, A.; Safaei, M.R.; Alrashed, A.A.; Ghodsian, M.; Geza, M.; Abbassi, M.A. Bed roughness effects on characteristics of turbulent confined wall jets. Measurement 2018, 122, 325–338. [Google Scholar] [CrossRef]
- Moody, L.F. Friction factors for pipe flow. Trans. ASME 1944, 66, 671–684. [Google Scholar]
- LaViolette, M. On the history, science, and technology included in the Moody diagram. J. Fluids Eng. 2017, 139, 030801. [Google Scholar] [CrossRef]
- Flack, K.A. Moving beyond Moody. J. Fluid Mech. 2018, 842, 1–4. [Google Scholar] [CrossRef]
- Colebrook, C.F. Turbulent flow in pipes with particular reference to the transition region between the smooth and rough pipe laws. J. Inst. Civ. Eng. 1939, 11, 133–156. [Google Scholar] [CrossRef]
- Nikuradse, J. Laws of Flow in Rough Pipes; National Advisory Committee for Aeronautics: Washington, DC, USA, 1950; (Version in German from 1933: “Stromungsgesetze in Rauhen Rohren”). Available online: http://ntrs.nasa.gov/archive/nasa/casi.ntrs.nasa.gov/199300939381993093938.pdf (accessed on 15 September 2018).
- Colebrook, C.; White, C. Experiments with fluid friction in roughened pipes. Proc. R. Soc. Lond. Ser. A Math. Phys. Sci. 1937, 161, 367–381. [Google Scholar] [CrossRef]
- Allen, J.J.; Shockling, M.A.; Kunkel, G.J.; Smits, A.J. Turbulent flow in smooth and rough pipes. Philos. Trans. R. Soc. Lond. A Math. Phys. Eng. Sci. 2007, 365, 699–714. [Google Scholar] [CrossRef] [PubMed]
- Churchill, S.W. Friction-factor equation spans all fluid flow regimes. Chem. Eng. 1977, 84, 91–92. [Google Scholar]
- Swamee, P.K. Design of a submarine oil pipeline. J. Transp. Eng. 1993, 119, 159–170. [Google Scholar] [CrossRef]
- Чepникин, B.A.; Чepникин, A.B. Oбобщeннaя φоpмyлa для pacчeтa коэφφициeнтa гидpaвличecкого cопpотивлeния мaгиcтpaльныx тpyбопpоводов для cвeтлыx нeφтeпpодyктов и мaловязкиx нeφтeй. Hayкa и тexнологии тpyбопpоводного тpaнcпоpтa нeφти и нeφтeпpодyктов 2012, 4, 64–66. Available online: http://transenergostroy.ru/publications/src/20130424/Chernikin_gidrav_soprotivlenie.pdf (accessed on 23 October 2018). (In Russian).
- Joseph, D.D.; Yang, B.H. Friction factor correlations for laminar, transition and turbulent flow in smooth pipes. Phys. D Nonlinear Phenom. 2010, 239, 1318–1328. [Google Scholar] [CrossRef]
- Yang, B.H.; Joseph, D.D. Virtual Nikuradse. J. Turbul. 2009, 10, N11. [Google Scholar] [CrossRef]
- McGovern, J. Friction Factor Diagrams for Pipe Flow. 2011. Available online: https://arrow.dit.ie/engschmecart/28/ (accessed on 15 September 2018).
- Aльтшyль, A.Д. Гидpaвличecкиe Cопpотивлeния; Heдpa: Moscow, Russia, 1982. (In Russian) [Google Scholar]
- Churchill, S.W. Empirical expressions for the shear stress in turbulent flow in commercial pipe. AIChE J. 1973, 19, 375–376. [Google Scholar] [CrossRef]
- Swamee, P.K.; Jain, A.K. Explicit equations for pipe flow problems. J. Hydraul. Div. ASCE 1976, 102, 657–664. [Google Scholar]
- Sletfjerding, E.; Gudmundsson, J.S. Friction factor directly from roughness measurements. J. Energy Resour. Technol. 2003, 125, 126–130. [Google Scholar] [CrossRef]
- Shockling, M.A.; Allen, J.J.; Smits, A.J. Roughness effects in turbulent pipe flow. J. Fluid Mech. 2006, 564, 267–285. [Google Scholar] [CrossRef]
- Brkić, D. Review of explicit approximations to the Colebrook relation for flow friction. J. Pet. Sci. Eng. 2011, 77, 34–48. [Google Scholar] [CrossRef]
- Praks, P.; Brkić, D. Advanced iterative procedures for solving the implicit Colebrook equation for fluid flow friction. Adv. Civ. Eng. 2018, 2018, 5451034. [Google Scholar] [CrossRef]
- Praks, P.; Brkić, D. Choosing the optimal multi-point iterative method for the Colebrook flow friction equation. Processes 2018, 6, 130. [Google Scholar] [CrossRef]
- Praks, P.; Brkić, D. One-log call iterative solution of the Colebrook equation for flow friction based on Padé polynomials. Energies 2018, 11, 1825. [Google Scholar] [CrossRef]
- Brkić, D. A gas distribution network hydraulic problem from practice. Pet. Sci. Technol. 2011, 29, 366–377. [Google Scholar] [CrossRef]
- Wagner, S.; Kronberger, G.; Beham, A.; Kommenda, M.; Scheibenpflug, A.; Pitzer, E.; Vonolfen, S.; Kofler, M.; Winkler, S.; Dorfer, V.; et al. Architecture and design of the HeuristicLab optimization environment. Top. Intell. Eng. Inform. 2014, 6, 197–261. [Google Scholar] [CrossRef]
- Vatankhah, A.R. Approximate analytical solutions for the Colebrook equation. J. Hydraul. Eng. 2018, 144, 06018007. [Google Scholar] [CrossRef]
- Cipra, B. A new theory of turbulence causes a stir among experts. Science 1996, 272, 951. [Google Scholar] [CrossRef]
- Chandrasekhar, S.; Sharma, V.M. Brownian heat transfer enhancement in the turbulent regime. Facta Univ. Ser. Mech. Eng. 2016, 14, 169–177. [Google Scholar] [CrossRef]
- Bagajewicz, M.; Valtinson, G. Computation of natural gas pipeline hydraulics. Ind. Eng. Chem. Res. 2014, 53, 10707–10720. [Google Scholar] [CrossRef]
- McKeon, B.J.; Swanson, C.J.; Zagarola, M.V.; Donnelly, R.J.; Smits, A.J. Friction factors for smooth pipe flow. J. Fluid Mech. 2004, 511, 41–44. [Google Scholar] [CrossRef]
- Brkić, D. A note on explicit approximations to Colebrook’s friction factor in rough pipes under highly turbulent cases. Int. J. Heat Mass Transf. 2016, 93, 513–515. [Google Scholar] [CrossRef]
- Thakkar, M.; Busse, A.; Sandham, N.D. Direct numerical simulation of turbulent channel flow over a surrogate for Nikuradse-type roughness. J. Fluid Mech. 2018, 837, R1. [Google Scholar] [CrossRef]
- Nikolić, B.; Jovanović, M.; Milošević, M.; Milanović, S. Function k-as a link between fuel flow velocity and fuel pressure, depending on the type of fuel. Facta Univ. Ser. Mech. Eng. 2017, 15, 119–132. [Google Scholar] [CrossRef]
- Praks, P.; Kopustinskas, V.; Masera, M. Monte-Carlo-based reliability and vulnerability assessment of a natural gas transmission system due to random network component failures. Sustain. Resilient Infrastruct. 2017, 2, 97–107. [Google Scholar] [CrossRef]
- Praks, P.; Kopustinskas, V.; Masera, M. Probabilistic modelling of security of supply in gas networks and evaluation of new infrastructure. Reliab. Eng. Syst. Saf. 2015, 144, 254–264. [Google Scholar] [CrossRef]
- Brkić, D.; Ćojbašić, Ž. Intelligent flow friction estimation. Comput. Intell. Neurosci. 2016, 2016, 5242596. [Google Scholar] [CrossRef] [PubMed]
- Brkić, D.; Ćojbašić, Ž. Evolutionary optimization of Colebrook’s turbulent flow friction approximations. Fluids 2017, 2, 15. [Google Scholar] [CrossRef]
- Praks, P.; Brkić, D. Symbolic regression-based genetic approximations of the Colebrook equation for flow friction. Water 2018, 10, 1175. [Google Scholar] [CrossRef]
- Uršič, M.; Kompare, B. Improvement of the hydraulic friction losses equations for flow under pressure in circular pipes. Acta Hydrotech. 2003, 21, 57–74. [Google Scholar]
- Bellos, V.; Nalbantis, I.; Tsakiris, G. Friction modeling of flood flow simulations. J. Hydraul. Eng. 2018, 144, 04018073. [Google Scholar] [CrossRef]
- Cheng, N.S. Formulas for friction factor in transitional regions. J. Hydraul. Eng. 2008, 134, 1357–1362. [Google Scholar] [CrossRef]
- Brkić, D. Discussion of “Economics and Statistical Evaluations of Using Microsoft Excel Solver in Pipe Network Analysis” by I. A. Oke, A. Ismail, S. Lukman, S. O. Ojo, O. O. Adeosun, and M. O. Nwude. J. Pipeline Syst. Eng. 2018, 9, 07018002. [Google Scholar] [CrossRef]
- Eck, B.J. Use of a smoothed model for pipe friction loss. J. Hydraul. Eng. 2016, 143, 06016022. [Google Scholar] [CrossRef]
- Basse, N.T. Turbulence intensity and the friction factor for smooth- and rough-wall pipe flow. Fluids 2017, 2, 30. [Google Scholar] [CrossRef]










| Equation in Form: λ = A·Re−B | Coefficient A | Exponent B |
|---|---|---|
| Renouard | 0.172 | 0.18 |
| 1/10 power law | 0.139 | 0.18 |
| modified 1/9 power law | 0.184 | 0.2 |
| 1/9 power law | 0.1748 | 0.2 |
| 1/8 power law | 0.2252 | 0.22 |
| 1/7 power law | 0.3052 | 0.25 |
| Müller | 0.3564 | 0.26 |
| Blasius | 0.3164 | 0.25 |
| Panhandle A | 0.08475 | 0.1461 |
| Panhandle B | 0.01471 | 0.03922 |
| IGT (Institute of Gas Technology) | 0.18086 | 0.19726 |
| Towler and Pope | 0.09458 | 0.15174 |
| Mokhatab | 0.02 | 0.185 |
| Hodanovič | 0.22 | 0.185 |
© 2018 by the authors. Licensee MDPI, Basel, Switzerland. This article is an open access article distributed under the terms and conditions of the Creative Commons Attribution (CC BY) license (http://creativecommons.org/licenses/by/4.0/).
Share and Cite
Brkić, D.; Praks, P. Unified Friction Formulation from Laminar to Fully Rough Turbulent Flow. Appl. Sci. 2018, 8, 2036. https://doi.org/10.3390/app8112036
Brkić D, Praks P. Unified Friction Formulation from Laminar to Fully Rough Turbulent Flow. Applied Sciences. 2018; 8(11):2036. https://doi.org/10.3390/app8112036
Chicago/Turabian StyleBrkić, Dejan, and Pavel Praks. 2018. "Unified Friction Formulation from Laminar to Fully Rough Turbulent Flow" Applied Sciences 8, no. 11: 2036. https://doi.org/10.3390/app8112036
APA StyleBrkić, D., & Praks, P. (2018). Unified Friction Formulation from Laminar to Fully Rough Turbulent Flow. Applied Sciences, 8(11), 2036. https://doi.org/10.3390/app8112036
