Settlement Prediction of Footings Using VS
Abstract
:1. Introduction
2. Development of Settlement Prediction Method Based on VS
2.1. Schmertmann’s Approach
2.2. Modulus Determination of the Soil Layer
2.3. Stress Distribution Beneath Footings
2.4. New Settlement Prediction Method
3. Centrifuge Study
3.1. Experimental Description
3.2. Results and Discussion
3.2.1. Shear Wave Velocity (VS)
3.2.2. Soil Parameters Used in Predictions
3.2.3. Comparisons of Load-Settlement Curves with Predictions
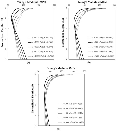
3.2.4. Modulus Profiles
4. Discussion
5. Conclusions
- (i)
- For the reliable stiffness estimation of soil layers, the modulus variation by confinement stress and strain level increment was reflected in the developed method based on the VS. The vertical stress increment with depth can be determined from the Iz calculated from the elasticity theory. The settlements of each sublayer are calculated based on the modulus and stress determined at each depth, and then added to give total settlements.
- (ii)
- The prediction using the Iz based on elasticity theory showed reasonable agreement with the centrifuge test results for 2nd loading stages due to an enlarged elastic limit. The modulus profile mobilized in the predictions showed that the modulus variation by confining pressure and strain level is properly modeled in the developed settlement prediction method considering the shape of Iz.
- (iii)
- The centrifuge results for the 1st loading (NC condition) showed very soft deformable behavior compared with the two predictions regardless of the L/B ratio. It could be concluded that the particle rearrangement such as interparticle slip and rotation governs the deformation behavior rather than the compression of the soil mass related to the soil modulus. To take into account the normally-consolidated (NC) stress state governed by relative particle movements, the empirical coefficient needs to be adopted in the developed method.
Acknowledgments
Author Contributions
Conflicts of Interest
References
- Kramer, S.L. Performance-based design methodologies for geotechnical earthquake engineering. Bull. Earthq. Eng. 2014, 12, 1049–1070. [Google Scholar] [CrossRef]
- Meyerhof, G.G. Shallow foundations. J. Soil Mech. Found. Div. 1965, 91, 21–31. [Google Scholar]
- Peck, R.B.; Bazaraa, A.R.S.S. Discussion of paper by D’Appolonia et al. J. Soil Mech. Found. Div. 1969, 96, 305–309. [Google Scholar]
- Burland, J.B.; Burbidge, E. Settlement of foundations on sand and gravel. Proc. Inst. Civ. Eng. 1985, 76, 1325–1381. [Google Scholar] [CrossRef]
- Schmertmann, J.H. Static cone to compute static settlement over sand. J. Soil Mech. Found. Div. 1970, 96, 1011–1043. [Google Scholar]
- Schmertmann, J.H.; Brown, P.R.; Hartman, J.P. Improved strain influence factor diagrams. J. Geotech. Eng. Div. 1978, 104, 1131–1135. [Google Scholar]
- Berardi, R.; Jamiolkowski, M.; Lancellotta, R. Settlement of shallow foundations in sands selection of stiffness on the basis of penetration resistance. In Proceedings of the Geotechnical Engineering Congress, Boulder, CO, USA, 10–12 June 1991. [Google Scholar]
- Lehane, B.M.; Doherty, J.P.; Schneider, J.A. Settlement prediction for footings on sand. Deform. Charact. Geomater. 2008, 1, 133–150. [Google Scholar]
- Lee, J.H.; Salgado, R. Estimation of footing settlement in sand. Int. J. Geomech. 2002, 2, 1–28. [Google Scholar] [CrossRef]
- Lee, J.H.; Eun, J.; Prezzi, M.; Salgado, R. Strain influence diagrams for settlement estimation of both isolated and multiple footings in sand. J. Geotech. Geoenviron. Eng. 2008, 134, 417–427. [Google Scholar] [CrossRef]
- O’Loughlin, C.D.; Lehane, B.M. Nonlinear Cone Penetration Test-Based Method for Predicting Footing Settlements on Sand. J. Geotech. Geoenviron. Eng. 2009, 136, 409–416. [Google Scholar] [CrossRef]
- Kim, D.S.; Park, H.J.; Cho, H.I. Measurement and Application of Shear Wave Velocity to Various Geotechnical Problems. In Proceedings of the 6th International Symposium on Deformation Characteristics of Geomaterials, IS-Buenos Aires 2015, Buenos Aires, Argentina, 15–18 November 2015. [Google Scholar]
- Fahey, M. Shear modulus of cohesionless soil: Variation with stress and strain level. Can. Geotech. J. 1992, 29, 157–161. [Google Scholar] [CrossRef]
- Fahey, M.; Carter, J.P. A finite element study of the pressuremeter test in sand using a nonlinear elastic plastic model. Can. Geotech. J. 1993, 30, 348–362. [Google Scholar] [CrossRef]
- Fahey, M.; Robertson, P.K.; Soliman, A.A. Towards a rational method of predicting settlements of spread footings on sand. In Proceedings of the Vertical and Horizontal Deformations of Foundations and Embankments, College Station, TX, USA, 16–18 June 1994. [Google Scholar]
- Lehane, B.; Fahey, M. A simplified nonlinear settlement prediction model for foundations on sand. Can. Geotech. J. 2002, 39, 293–303. [Google Scholar] [CrossRef]
- Mayne, P.W.; Poulos, H.G. Approximate displacement influence factors for elastic shallow foundations. J. Geotech. Geoenviron. Eng. 1999, 125, 453–460. [Google Scholar] [CrossRef]
- Tatsuoka, F.; Teachavorasinskun, S.; Dong, J.; Kohata, Y.; Sato, T. Importance of measuring local strains in cyclic triaxial tests on granular materials. ASTM Spec. Tech. Pub. 1994, 1213, 288. [Google Scholar]
- Lo Presti, D.C.F.; Pallara, O.; Puci, I. A modified commercial triaxial testing system for small strain measurements: Preliminary results on Pisa clay. Geotech. Test. J. 1995, 18, 15–31. [Google Scholar]
- Lee, J.H.; Salgado, R. Determination of pile base resistance in sands. J. Geotech. Geoenviron. Eng. 1999, 125, 673–683. [Google Scholar] [CrossRef]
- Meyerhof, G.G. Some recent research on the bearing capacity of foundations. Can. Geotech. J. 1963, 1, 16–26. [Google Scholar] [CrossRef]
- Kim, N.R.; Kim, D.S. A shear wave velocity tomography system for geotechnical centrifuge testing. Geotech. Test. J. 2010, 33, 434–444. [Google Scholar]
- Kim, D.S.; Kim, N.R.; Choo, Y.W.; Cho, G.C. A newly developed state-of-the-art geotechnical centrifuge in Korea. KSCE J. Civ. Eng. 2013, 17, 77–84. [Google Scholar] [CrossRef]
- Youn, J.U.; Choo, Y.W.; Kim, D.S. Measurement of small-strain shear modulus Gmax of dry and saturated sands by bender element, resonant column, and torsional shear tests. Can. Geotech. J. 2008, 45, 1426–1438. [Google Scholar] [CrossRef]
- Cho, H.I.; Park, H.J.; Kim, D.S.; Choo, Y.W. Evaluation of Ko in Centrifuge Model using Shear Wave Velocity. Geotech. Test. J. 2014, 37, 255–267. [Google Scholar] [CrossRef]
- Yu, P.; Richart, F.E., Jr. Stress ratio effects on shear modulus of dry sands. J. Geotech. Eng. 1984, 110, 331–345. [Google Scholar] [CrossRef]
- Briaud, J.L. Spread footings in sand: Load settlement curve approach. J. Geotech. Geoenviron. Eng. 2007, 133, 905–920. [Google Scholar] [CrossRef]
- Mesri, G.; Vardhanabhuti, B. Compression of granular materials. Can. Geotech. J. 2009, 46, 369–392. [Google Scholar] [CrossRef]
- Leonards, G.A.; Frost, J.D. Settlement of shallow foundations on granular soils. J. Geotech. Eng. 1988, 114, 791–809. [Google Scholar] [CrossRef]










| Properties | Silica Sand |
|---|---|
| Unified soil classification (USCS) | SP |
| Median particle size (D50), mm | 0.22 |
| Curvature coefficient (CC) | 1.11 |
| Uniformity coefficient (CU) | 1.96 |
| Specific gravity (GS) | 2.65 |
| Plasticity index (PI) | NP |
| Maximum void ratio (emax) | 1.130 |
| Minimum void ratio (emin) | 0.611 |
| f | g | n | Poisson Ratio, ν | Friction Angle, ø | Bearing Capacity, σmax |
|---|---|---|---|---|---|
| 0.96 | 0.09 | 0.2 | 43° | L/B = 1.0, 3439 kPa | |
| 0.5 | L/B = 2.5, 2729 kPa | ||||
| L/B = 5.0, 2506 kPa |
© 2017 by the authors. Licensee MDPI, Basel, Switzerland. This article is an open access article distributed under the terms and conditions of the Creative Commons Attribution (CC BY) license (http://creativecommons.org/licenses/by/4.0/).
Share and Cite
CHO, H.I.; KIM, N.R.; PARK, H.J.; KIM, D.S. Settlement Prediction of Footings Using VS. Appl. Sci. 2017, 7, 1105. https://doi.org/10.3390/app7111105
CHO HI, KIM NR, PARK HJ, KIM DS. Settlement Prediction of Footings Using VS. Applied Sciences. 2017; 7(11):1105. https://doi.org/10.3390/app7111105
Chicago/Turabian StyleCHO, Hyung Ik, Nam Ryong KIM, Heon Joon PARK, and Dong Soo KIM. 2017. "Settlement Prediction of Footings Using VS" Applied Sciences 7, no. 11: 1105. https://doi.org/10.3390/app7111105
APA StyleCHO, H. I., KIM, N. R., PARK, H. J., & KIM, D. S. (2017). Settlement Prediction of Footings Using VS. Applied Sciences, 7(11), 1105. https://doi.org/10.3390/app7111105

