Sign in to use this feature.

Years

Between: -

Subjects

remove_circle_outline
remove_circle_outline
remove_circle_outline
remove_circle_outline
remove_circle_outline
remove_circle_outline
remove_circle_outline
remove_circle_outline
remove_circle_outline

Journals

remove_circle_outline
remove_circle_outline
remove_circle_outline
remove_circle_outline
remove_circle_outline
remove_circle_outline
remove_circle_outline
remove_circle_outline
remove_circle_outline
remove_circle_outline
remove_circle_outline
remove_circle_outline
remove_circle_outline

Article Types

Countries / Regions

remove_circle_outline
remove_circle_outline
remove_circle_outline
remove_circle_outline
remove_circle_outline

Search Results (923)

Search Parameters:
Keywords = centrifuge test

Order results
Result details
Results per page
Select all
Export citation of selected articles as:
20 pages, 2000 KB  
Article
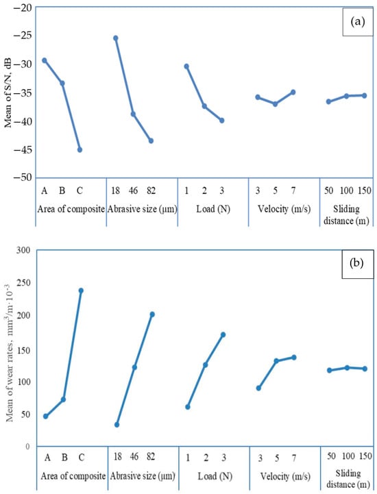
Microstructural, Hardness, and Abrasive Wear Properties of Functionally Graded Al/ZrB2 Composites Produced by In Situ Centrifugal Casting
by İbrahim Güney, Ömer Faruk Demirok, Yunus Emre Benkli, Çağlar Yüksel and Ömer Savaş
Metals 2026, 16(1), 125; https://doi.org/10.3390/met16010125 - 21 Jan 2026
Abstract
Functionally graded aluminum matrix composites are of interest for applications requiring region-dependent mechanical and tribological performance. In this study, the micro-structure, hardness, and abrasive wear properties of functionally graded Al/ZrB2 compo-site materials produced by an in situ centrifugal casting method were investigated. [...] Read more.
Functionally graded aluminum matrix composites are of interest for applications requiring region-dependent mechanical and tribological performance. In this study, the micro-structure, hardness, and abrasive wear properties of functionally graded Al/ZrB2 compo-site materials produced by an in situ centrifugal casting method were investigated. The ZrB2 reinforcement phase was synthesized in situ within the molten aluminum matrix, and functional grading was achieved through the action of centrifugal force during solidification. Samples taken from cylindrical castings were characterized using optical microscopy, scanning electron microscopy (SEM), X-Ray diffraction (XRD), density measurements, Brinell hardness testing, and abrasive wear experiments. Phase analyses con-firmed the successful in situ formation of ZrB2 and verified that the phase distribution in-creased toward the direction of centrifugal force. Hardness increased with reinforcement content, rising from approximately 28 HB in the matrix-rich region to 68 HB and 72 HB in regions reinforced with 12% and 15% ZrB2, respectively. Abrasive wear behavior was evaluated using the pin-on-disk method, and a Taguchi L (35) orthogonal array was employed for experimental design. Statistical analyses showed that the composite region was the most influential parameter affecting wear performance, followed by abrasive particle size and applied load, while sliding distance and sliding speed were not statistically significant. These findings demonstrate that in situ centrifugal casting is an effective approach for producing functionally graded Al/ZrB2 composites with improved hardness and wear resistance. Full article
Show Figures

Figure 1

15 pages, 1497 KB  
Article
Optimizing INFOGEST Digest Conditioning for Reliable In Vitro Assessment of Nutrient Bioavailability Using Caco-2 Cell Models
by Giulia Camporesi, Carlo Canzian and Alessandra Bordoni
Nutrients 2026, 18(2), 339; https://doi.org/10.3390/nu18020339 - 21 Jan 2026
Abstract
Background/Objectives: Assessing the bioavailability of nutrients and bioactive compounds in vitro commonly relies on coupling standardized gastrointestinal digestion models with intestinal epithelial cell systems. However, digests produced using static digestion protocols such as INFOGEST often impair epithelial barrier integrity, limiting their direct [...] Read more.
Background/Objectives: Assessing the bioavailability of nutrients and bioactive compounds in vitro commonly relies on coupling standardized gastrointestinal digestion models with intestinal epithelial cell systems. However, digests produced using static digestion protocols such as INFOGEST often impair epithelial barrier integrity, limiting their direct application to intestinal models and reducing reproducibility across studies. Methods: This work systematically compared five commonly used digest conditioning strategies, including acidification, centrifugation, rapid freezing, and ultrafiltration using 10 kDa and 3 kDa molecular weight cut-off membranes, to identify the approach that best preserves intestinal epithelial viability and barrier function while enabling exposure at physiologically relevant concentrations. INFOGEST digests of yogurt were initially evaluated, followed by validation using biscuit and canned mackerel digests. Cell viability and monolayer integrity were assessed in differentiated Caco-2 cells using MTT assay and transepithelial electrical resistance (TEER) measurements. Results: Among the tested approaches, ultrafiltration using 3 kDa membranes consistently preserved epithelial viability and barrier integrity at a 1:10 dilution across all food matrices, whereas other conditioning methods failed to maintain TEER despite acceptable cell viability. At lower dilutions, food-dependent effects emerged, highlighting the importance of matrix-specific evaluation. Conclusions: These findings identify 3 kDa ultrafiltration as an effective and minimally invasive strategy to improve the compatibility of INFOGEST digests with intestinal cell models. By enabling reproducible exposure conditions that preserve epithelial integrity, this approach supports more reliable in vitro assessment of nutrient bioavailability and contributes to methodological standardization in nutrition research. Full article
(This article belongs to the Section Nutrition Methodology & Assessment)
Show Figures

Figure 1

13 pages, 1160 KB  
Article
Centrifugation Versus Centrifugation-Free Stool Processing: Can the Simple One-Step Method Reliably Diagnose Pediatric Pulmonary Tuberculosis Using Xpert MTB/RIF Ultra?
by S. M. Mazidur Rahman, Senjuti Kabir, Sabrina Choudhury, Sohag Miah, Tanjina Rahman, Md. Jahid Hasan, Mohammad Khaja Mafij Uddin, Arifa Nazneen, Shahriar Ahmed, Aung Kya Jai Maug and Sayera Banu
Diagnostics 2026, 16(2), 338; https://doi.org/10.3390/diagnostics16020338 - 21 Jan 2026
Abstract
Background/Objectives: Stool-based GeneXpert testing has become a useful approach for diagnosing pediatric pulmonary tuberculosis (PTB). This study compared two stool-processing methods, centrifugation-based processing (CBP) and simple one-step (SOS), for detecting PTB in children using Xpert MTB/RIF Ultra (Ultra). Methods: Children with [...] Read more.
Background/Objectives: Stool-based GeneXpert testing has become a useful approach for diagnosing pediatric pulmonary tuberculosis (PTB). This study compared two stool-processing methods, centrifugation-based processing (CBP) and simple one-step (SOS), for detecting PTB in children using Xpert MTB/RIF Ultra (Ultra). Methods: Children with presumptive PTB were screened cross-sectionally, and stool samples were collected and tested with Ultra using the CBP method from March 2022 to December 2024 across seven divisions of Bangladesh. A subset of stool samples (n = 281) that tested positive (n = 191) and negative (n = 90) by the CBP method were re-tested again with the same sample by Ultra using the SOS method. The results of the Ultra with SOS-processed stool were compared with the CBP method to evaluate overall agreement and detection efficiency across different bacterial burdens. Results: The SOS method detected 97 of 191 CBP-positive samples, resulting in a positive percentage agreement of 50.8% (95% CI: 43.5–58.1). All 90 Ultra-negative stool were also negative by the SOS method, yielding a negative percentage agreement of 100% (95% CI: 96.0–100.0). Overall agreement between the methods was 66.6% (Kappa: 0.398). The SOS method detected 100% of high- (4/4) and medium- (7/7), 97.3% (36/37) of low-, and 83.3% (35/42) of very-low-bacterial-burden samples, but only 14.9% (15/101) of the trace-detected samples that were identified by the CBP method. Conclusions: Stool testing with Ultra using the SOS processing method missed a significant number of the most prevalent form of child TB—the ‘trace-detected’ category identified by the CBP method. For increased detection of childhood TB nationwide, the national program should prioritize the use of Ultra on stool samples processed by the CBP method. Full article
(This article belongs to the Special Issue Tuberculosis Detection and Diagnosis 2025)
Show Figures

Figure 1

16 pages, 3124 KB  
Article
Effects of Microgravity, Hypergravity, and Ionizing Radiation on the Enzymatic Activity of Proteinase K
by Bartosz Rybacki, Wojciech Wysocki, Tomasz Zajkowski, Robert Brodzik and Beata Krawczyk
Molecules 2026, 31(2), 229; https://doi.org/10.3390/molecules31020229 - 9 Jan 2026
Viewed by 541
Abstract
Space conditions offer new insights into fundamental biological and molecular mechanisms. The study aimed to evaluate the enzymatic activity of proteinase K (PK) under extreme conditions relevant to space environments: simulated microgravity, hypergravity, and gamma radiation. PK activity was tested using azocasein (AZO) [...] Read more.
Space conditions offer new insights into fundamental biological and molecular mechanisms. The study aimed to evaluate the enzymatic activity of proteinase K (PK) under extreme conditions relevant to space environments: simulated microgravity, hypergravity, and gamma radiation. PK activity was tested using azocasein (AZO) as a chromogenic substrate, with enzymatic reactions monitored spectrophotometrically at 450 nm. A rotating wall vessel (RWV) simulated microgravity, centrifugation at 1000× g (3303 rpm) generated hypergravity, and gamma radiation exposure used cesium-137 as the ionizing source. PK activity showed no remarkable changes under microgravity after 16 or 48 h; however, higher absorbance values after 96 h indicated enhanced AZO proteolysis compared to 1 g (Earth gravity) controls. In hypergravity, low PK concentrations exhibited slightly increased activity, while higher concentrations led to reduced activity. Meanwhile, gamma radiation caused a dose-dependent decline in PK activity; samples exposed to deep-space equivalent doses showed reduced substrate degradation. PK retained enzymatic activity under all tested conditions, though the type and duration of stress modulated its efficiency. The results suggest that enzyme-based systems may remain functional during space missions and, in some cases, exhibit enhanced activity. Nevertheless, their behavior must be evaluated in a context-dependent manner. These findings may be significant to advance biotechnology, diagnostics, and the development of enzyme systems for space applications. Full article
Show Figures

Graphical abstract

15 pages, 4614 KB  
Article
Construction of a CFD Simulation and Prediction Model for Pesticide Droplet Drift in Agricultural UAV Spraying
by Qingqing Zhou, Songchao Zhang, Meng Huang, Chen Cai, Haidong Zhang, Yuxuan Jiao and Xinyu Xue
Agronomy 2026, 16(1), 129; https://doi.org/10.3390/agronomy16010129 - 5 Jan 2026
Viewed by 246
Abstract
This study employed a combined approach of computational fluid dynamics (CFD), numerical simulations, and wind tunnel tests to investigate droplet drift characteristics and develop prediction models in order to address the issues of low pesticide utilization rates and high drift risk, associated with [...] Read more.
This study employed a combined approach of computational fluid dynamics (CFD), numerical simulations, and wind tunnel tests to investigate droplet drift characteristics and develop prediction models in order to address the issues of low pesticide utilization rates and high drift risk, associated with droplet drift during agricultural unmanned aerial vehicle (UAV) spraying, as well as the unreliable results of field experiments. Firstly, a numerical model of the rotor wind field was established using the multiple reference frame (MRF) method, while the realizable k-ε turbulence model was employed to analyze the flow field. The model’s reliability was verified through wind field tests. Next, the Euler–Lagrange method was used to couple the wind field with droplet movement. The drift characteristics of two flat-fan nozzles (FP90-02 and F80-02) were then compared and analyzed. The results showed that the relative error between the simulated and wind tunnel test values was within 20%. Centrifugal nozzle experiments were carried out using single-factor and orthogonal designs to analyze the effects of flight height, rotor wind speed, flight speed, and droplet size on drift. The priority order of influence was found to be “rotor wind speed > flight height > flight speed”, while droplet size (DV50 = 100–300 µm) was found to have no significant effect. Based on the simulation data, a multiple linear regression drift prediction model was constructed with a goodness of fit R2 value of 0.9704. Under the verification condition, the relative error between the predicted and simulated values was approximately 10%. These results can provide a theoretical basis and practical guidance for assessing drift risk and optimizing operational parameters for agricultural UAVs. Full article
Show Figures

Figure 1

23 pages, 2724 KB  
Article
The Development and Optimisation of a Spinosin Solid-Dispersion-Based Functional Dairy Beverage and Its Sleep-Promoting Effects in Mice
by Beizhi Zhang, Fuzhi Xie, Nannan Chen, Qing Zhang, Dan Zhao, Yu Chen, Shujing Xuan, Xiaona Liu and Liang Zhang
Foods 2026, 15(1), 180; https://doi.org/10.3390/foods15010180 - 5 Jan 2026
Viewed by 251
Abstract
Insomnia remains a widespread global health issue, and traditional hypnotic drugs often produce adverse effects. Although spinosin in Ziziphi Spinosae Semen has sleep-promoting effects, its use is limited by poor solubility and low oral bioavailability. In this study, the solvent melt method was [...] Read more.
Insomnia remains a widespread global health issue, and traditional hypnotic drugs often produce adverse effects. Although spinosin in Ziziphi Spinosae Semen has sleep-promoting effects, its use is limited by poor solubility and low oral bioavailability. In this study, the solvent melt method was used to prepare spinosin solid dispersions, optimising the process with an L9(34) orthogonal design based on apparent solubility. In vitro dissolution testing showed that solid dispersions of varying particle sizes dissolved more readily than pure spinosin, with smaller particles exhibiting faster dissolution. Cellular uptake was assessed in human colon adenocarcinoma cells, with results revealing enhanced uptake of smaller-particle solid dispersions. Powder X-ray diffraction confirmed that spinosin transformed from a crystalline to an amorphous state in the dispersion system. A quadratic orthogonal experiment was conducted to optimise functional dairy beverage formulation, using the centrifugal sedimentation rate as the evaluation index. In vivo experiments demonstrated that the resulting functional dairy beverage reduced spontaneous activity in mice, achieved a 60% sleep-onset rate, improved ethanol-induced memory impairment and produced marked sleep-promoting effects. Moreover, pharmacokinetic studies confirmed that the spinosin solid-dispersion-based functional dairy beverage significantly enhanced the systemic exposure and oral bioavailability of spinosin compared to the spinosin water suspension. These findings indicate that solid dispersion technology effectively enhances spinosin solubility and that the developed functional dairy beverage shows promise as a sleep-promoting functional food. Full article
(This article belongs to the Special Issue Functional Foods for Health Promotion and Disease Prevention)
Show Figures

Graphical abstract

16 pages, 7504 KB  
Article
Geological Characteristics and a New Simplified Method to Estimate the Long-Term Settlement of Dredger Fill in Tianjin Nangang Region
by Jinke Yuan, Zuan Pei and Jie Chen
J. Mar. Sci. Eng. 2026, 14(1), 92; https://doi.org/10.3390/jmse14010092 - 2 Jan 2026
Viewed by 281
Abstract
Long-term settlement of dredger fill presents substantial challenges to infrastructure stability, particularly in coastal areas such as Tianjin Nangang, where liquefied natural gas (LNG) pipelines are vulnerable to deformation caused by differential settlements. This study investigates the geological properties and long-term settlement characteristics [...] Read more.
Long-term settlement of dredger fill presents substantial challenges to infrastructure stability, particularly in coastal areas such as Tianjin Nangang, where liquefied natural gas (LNG) pipelines are vulnerable to deformation caused by differential settlements. This study investigates the geological properties and long-term settlement characteristics of dredger fill in the Tianjin Nangang coastal zone and develops a simplified predictive model for long-term settlement. Comprehensive laboratory analyses, including field emission scanning electron microscopy (FESEM), X-ray diffraction (XRD) and mercury intrusion porosimetry (MIP), revealed a porous, flaky microstructure dominated by quartz and calcite, with mesopores (0.03–0.8 µm) constituting over 80% of total pore volume. A centrifuge modelling test conducted at 70 g acceleration simulated accelerated settlement behavior, demonstrating that approximately 70% of settlements occured within the initial year. The study proposes an enhanced hyperbolic model for long-term settlement prediction, which shows excellent correlation with experimental results. The findings underscore the high compressibility and low shear strength of dredger fill, highlighting the necessity for specific mitigation measures to ensure infrastructure integrity. This research establishes a simplified yet reliable methodology for settlement estimation, providing valuable practical guidance for coastal land reclamation projects. Full article
(This article belongs to the Section Coastal Engineering)
Show Figures

Figure 1

22 pages, 725 KB  
Article
Centrifugation-Assisted Ultrafiltration as an Innovative Methodology to Enhance Phenolic Compound Bioaccessibility and Bioavailability from Winery By-Product Extracts
by Juan Antonio Nieto, Laura Jaime, Marin Prodanov and Susana Santoyo
Foods 2026, 15(1), 141; https://doi.org/10.3390/foods15010141 - 2 Jan 2026
Viewed by 324
Abstract
An innovative methodology based on a centrifugation-assisted ultrafiltration process (CUF) has been investigated as a suitable methodology to enhance the bioavailability of phenolic compounds with antioxidant activity from winery by-products. For this purpose, seed (GSE) and stem (STE) extracts obtained by pressurized liquid [...] Read more.
An innovative methodology based on a centrifugation-assisted ultrafiltration process (CUF) has been investigated as a suitable methodology to enhance the bioavailability of phenolic compounds with antioxidant activity from winery by-products. For this purpose, seed (GSE) and stem (STE) extracts obtained by pressurized liquid extraction were processed by applying CUF methodology, generating a seed and stem permeate (PGSE and PSTE, respectively). The evaluated methodology allowed for the removal of the polymeric proanthocyanidin fraction. Thus, PGSE and PSTE resulted in a lower number of phenolic compounds and antioxidant activity compared to GSE and STE extracts. However, meanwhile, the low-molecular-weight fraction showed a close trend in its phenolic profile composition, the quantity of the compounds was increased because of a concentration effect in the permeates. Phenolic compounds bioavailability was conducted through an in vitro static digestion method followed by in vitro intestinal absorption using a Caco-2 cell monolayer model. PGSE and PSTE bioaccessibility was greater than STE and GSE because of an intense loss of the polymeric fraction during the digestion process. In addition, higher amounts of total phenolic compounds, as well as low-molecular-weight phenolics, were determined in the PGSE and PSTE bioaccessible fractions. Furthermore, higher antioxidant and total phenolic compounds were detected in the bioavailable fraction after in vitro intestinal absorption assays for the permeates. Hence, CUF methodology resulted as a suitable and effective technique to enhance the phenolic extracts’ bioavailability, although the phenolic matrix effect should be tested. Full article
(This article belongs to the Section Food Engineering and Technology)
Show Figures

Graphical abstract

17 pages, 1810 KB  
Article
Comparative Analysis of Machine Learning and Multi-View Learning for Predicting Peak Penetration Resistance of Spudcans: A Study Using Centrifuge Test Data
by Mingyuan Wang, Xiuqing Yang, Xing Yang, Dong Wang, Wenjing Sun and Huimin Sun
J. Mar. Sci. Eng. 2026, 14(1), 62; https://doi.org/10.3390/jmse14010062 - 29 Dec 2025
Viewed by 146
Abstract
Punch-through accidents pose a significant risk during the positioning of jack-up rigs. To mitigate this hazard, accurate prediction of the peak penetration resistance of spudcan foundations is essential for developing safe operational plans. Advances in artificial intelligence have spurred the widespread application of [...] Read more.
Punch-through accidents pose a significant risk during the positioning of jack-up rigs. To mitigate this hazard, accurate prediction of the peak penetration resistance of spudcan foundations is essential for developing safe operational plans. Advances in artificial intelligence have spurred the widespread application of machine learning (ML) to geotechnical engineering. To evaluate the prediction effect of different algorithm frameworks on the peak resistance of spudcans, this study evaluates the feasibility of ML and multi-view learning (MVL) methods using existing centrifuge test data. Six ML models—Random Forest, Support Vector Machine (with Gauss, second-degree, and third-degree polynomial kernels), Multiple Linear Regression, and Neural Networks—alongside a Ridge Regression-based MVL method are employed. The performance of these models is rigorously assessed through training and testing across various working conditions. The results indicate that well-trained ML and MVL models achieve accurate predictions for both sand-over-clay and three-layer clay strata. For the sand-over-clay stratum, the mean relative error (MRE) across the 58-case dataset is approximately 15%. The Neural Network and MVL method demonstrate the highest accuracy. This study provides a viable and effective empirical solution for predicting spudcan peak resistance and offers practical guidance for algorithm selection in different stratigraphic conditions, ultimately supporting enhanced safety planning for jack-up rig operations. Full article
(This article belongs to the Section Ocean Engineering)
Show Figures

Figure 1

33 pages, 4543 KB  
Review
A One-Dimensional Model Used for the Analysis of Seismic Site Response and Soil Instabilities: A Review of SCOSSA 1.0 Computer Code
by Giuseppe Tropeano and Anna Chiaradonna
Geotechnics 2026, 6(1), 2; https://doi.org/10.3390/geotechnics6010002 - 25 Dec 2025
Viewed by 262
Abstract
This review aims to provide a complete and comprehensive state of the art of the SCOSSA computer code, which is a one-dimensional nonlinear computer code used for the analysis of seismic site response and soil instability. Indeed, among the effects of earthquakes, the [...] Read more.
This review aims to provide a complete and comprehensive state of the art of the SCOSSA computer code, which is a one-dimensional nonlinear computer code used for the analysis of seismic site response and soil instability. Indeed, among the effects of earthquakes, the activation of landslides and liquefaction constitute two of the predominant causes of vulnerability in the physical and built environment. The SCOSSA computer code (Seismic Code for Stick–Slip Analysis) was initially developed to evaluate the permanent displacements of simplified slopes using a coupled model, and introduced several improvements with respect to the past, namely, the formulation for solving the dynamic equilibrium equations incorporates the capability for automated detection of the critical sliding surface; an up-to-date constitutive model to represent hysteretic material behavior and a stable iterative algorithm to support the solution of the system in terms of kinematic variables. To address liquefaction-induced failure, a simplified pore water pressure generation model was subsequently developed and integrated into the code, coupled with one-dimensional consolidation theory. This review retraces the main features, developments, and applications of the computer code from the origin to the present version. Full article
Show Figures

Figure 1

12 pages, 785 KB  
Article
Design and Performance Evaluation of Double-Curvature Impellers for Centrifugal Pumps
by Argemiro Palencia-Díaz, Alfredo M. Abuchar-Curi, Jonathan Fábregas-Villegas, Renny Guillén-Rujano, Melissa Parejo-García and Wilmer Velilla-Díaz
Appl. Sci. 2026, 16(1), 180; https://doi.org/10.3390/app16010180 - 24 Dec 2025
Viewed by 236
Abstract
The efficiency of centrifugal pumps is strongly influenced by impeller blade design; however, studies on double-curvature impellers remain limited. This research evaluates the impact of double-curvature impellers on pump performance through experimental measurements. Five impeller configurations were tested experimentally, and their hydraulic behavior [...] Read more.
The efficiency of centrifugal pumps is strongly influenced by impeller blade design; however, studies on double-curvature impellers remain limited. This research evaluates the impact of double-curvature impellers on pump performance through experimental measurements. Five impeller configurations were tested experimentally, and their hydraulic behavior was analyzed at three rotational speeds: 1400, 1700, and 1900 rpm. For each impeller–speed combination, 12 measurement points were recorded, capturing suction and discharge pressures, flow rate, rotational velocity, electrical parameters, and power consumption. Additionally, four impellers with double-curvature designs of 15%, 25%, and 35% were developed to improve flow guidance between blades and enhance the hydraulic performance of the pump. Quantitatively, the double-curvature impellers demonstrated performance improvements over the baseline configuration, achieving increases in hydraulic head of approximately 5–10% and peak efficiency gains of 4–8 percentage points (equivalent to 10–18% relative improvement), particularly in mid-range flow conditions. These enhancements confirm the beneficial role of blade double curvature in reducing internal losses and improving flow guidance. The results were used to derive head–flow and efficiency–flow relationships, demonstrating that specific double-curvature configurations can enhance pump performance compared to the original design. Full article
Show Figures

Figure 1

34 pages, 11909 KB  
Review
Emerging Microfluidic Plasma Separation Technologies for Point-of-Care Diagnostics: Moving Beyond Conventional Centrifugation
by Ergun Alperay Tarim, Michael G. Mauk and Mohamed El-Tholoth
Biosensors 2026, 16(1), 14; https://doi.org/10.3390/bios16010014 - 23 Dec 2025
Viewed by 840
Abstract
Plasma separation is an essential step in blood-based diagnostics. While traditional centrifugation is effective, it is costly and usually restricted to centralized laboratories because it requires relatively expensive equipment, a supply of consumables, and trained personnel. In an effort to alleviate these shortcomings, [...] Read more.
Plasma separation is an essential step in blood-based diagnostics. While traditional centrifugation is effective, it is costly and usually restricted to centralized laboratories because it requires relatively expensive equipment, a supply of consumables, and trained personnel. In an effort to alleviate these shortcomings, microfluidic and point-of-care devices offering rapid and low-cost plasma separation from small sample volumes, such as finger-stick samples, are quickly emerging as an alternative. Such microscale plasma separation systems enable reduced costs, rapid test results, self-testing, and broader accessibility, particularly in resource-limited or remote settings and facilitate the integration of separation, fluid handling, and downstream analysis into portable, automated lab-on-a-chip platforms. This review highlights advances in microfluidic systems and lab-on-a-chip devices for plasma separation categorized in design strategies, separation principles and characteristics, application purposes, and future directions for the decentralization of healthcare and personalized medicine. Full article
(This article belongs to the Special Issue Advanced Microfluidic Devices and Lab-on-Chip (Bio)sensors)
Show Figures

Graphical abstract

17 pages, 3497 KB  
Article
Numerical Stability and Handling Studies of Three-Wheeled Vehicles Using ADAMS/Car
by Katarzyna Stańko-Pająk, Jarosław Seńko, Radosław Nowak, Maciej Rymuszka, Dariusz Danielewicz and Kamil Jóźwik
Appl. Sci. 2026, 16(1), 98; https://doi.org/10.3390/app16010098 - 22 Dec 2025
Viewed by 381
Abstract
Three-wheeled vehicles are gaining popularity in European and Asian cities due to their low cost, stability, maneuverability, and compact size. Among these, tilting vehicles facilitate cornering, maintain stability, and reduce centrifugal forces. This study investigates a delta-configured, three-wheeled tilting vehicle designed for people [...] Read more.
Three-wheeled vehicles are gaining popularity in European and Asian cities due to their low cost, stability, maneuverability, and compact size. Among these, tilting vehicles facilitate cornering, maintain stability, and reduce centrifugal forces. This study investigates a delta-configured, three-wheeled tilting vehicle designed for people with reduced mobility. Vehicle dynamics were analyzed using ADAMS/Car simulations, including steady-state cornering and single-lane change tests, focusing on body motion and forces in suspension and steering systems. Results show that tilting of the body significantly enhances cornering safety compared to non-tilting three-wheelers, providing insights for designing efficient urban vehicles for diverse user groups. Full article
Show Figures

Figure 1

22 pages, 5815 KB  
Article
Study on Distribution Law of Vertical Earth Pressure on the Top of High-Fill Box Culvert in Gully Terrain Under Expanded Polystyrene Board Unloading
by Conglin Guo, Zhongju Feng, Siqi Wang, Jikun Wang, Wei Wang and Xiqing Wang
Appl. Sci. 2025, 15(24), 13169; https://doi.org/10.3390/app152413169 - 15 Dec 2025
Viewed by 253
Abstract
This study quantifies vertical earth pressure on the roofs of box culverts under high fills in valley terrain using centrifuge model tests with expanded polystyrene (EPS) geofoam for load mitigation. We compare buried-type culverts with valley-terrain high-fill culverts and isolate the effects of [...] Read more.
This study quantifies vertical earth pressure on the roofs of box culverts under high fills in valley terrain using centrifuge model tests with expanded polystyrene (EPS) geofoam for load mitigation. We compare buried-type culverts with valley-terrain high-fill culverts and isolate the effects of the EPS installation height and panel thickness on the roof pressure and the associated concentration factor. The analysis of fill settlement elucidates the terrain-dependent load reduction mechanism and the efficacy of EPS panels. The results show that the roof pressure increases with EPS installation height but decreases and then plateaus once the panel thickness exceeds 75 cm; the load reduction benefit weakens when the installation height exceeds 2 m. Optimal performance is achieved with panels installed at 2 m and with a 75 cm thickness, which lowers applied loads while maintaining structural stability. These findings clarify soil–structure interactions in complex topography and provide practical guidance for deploying EPS in high-fill valley projects. Full article
Show Figures

Figure 1

23 pages, 5291 KB  
Article
Thermal Analysis of High-Power Water-Cooled Permanent Magnet Coupling Based on Rotational Centrifugal Fluid–Structure Coupling Field Inversion
by Yuqin Zhu, Wei Liu, Hao Liu and Chuang Yang
Energies 2025, 18(24), 6556; https://doi.org/10.3390/en18246556 - 15 Dec 2025
Viewed by 262
Abstract
An efficient and reliable heat dissipation system is essential for the safe and stable operation of high-power water-cooled couplers. However, thermal analysis methods accounting for the centrifugal effects on coolant flow remain limited. This paper presents a high-accuracy equivalent thermal network model (ETNM) [...] Read more.
An efficient and reliable heat dissipation system is essential for the safe and stable operation of high-power water-cooled couplers. However, thermal analysis methods accounting for the centrifugal effects on coolant flow remain limited. This paper presents a high-accuracy equivalent thermal network model (ETNM) for analyzing the temperature distribution in water-cooled permanent magnet couplers (WPMCs), based on fluid–structure interaction and rotational centrifugal flow-field inversion. First, the ETNM is established based on key assumptions. Subsequently, an eddy current loss calculation method based on permanent magnet mapping is proposed to accurately determine the heat source distribution. The convective heat transfer coefficient of the coolant is then precisely derived by inverting the flow field obtained from fluid–structure coupling simulations under rotational centrifugal conditions. Finally, the model is applied for temperature analysis, and its accuracy is verified through both finite element simulations and experimental tests. The calculated results show errors of only 3.2% compared to numerical simulation and 5.6% compared to experimental data, indicating strong agreement of the proposed thermal analysis method. The accuracy of copper conductor (CC) temperature prediction is improved by 32.73%, and that of permanent magnet (PM) prediction by 33.33%. Furthermore, this method enables accurate estimation of individual component temperatures, effectively preventing operational failures such as PM demagnetization, CC softening, and severe vibrations caused by overheating. Full article
Show Figures

Figure 1

Back to TopTop