Performance Modifications Following 8 Weeks of Strength and Strength–Power Resistance Training in Adolescent Track and Field Athletes
Abstract
1. Introduction
2. Materials and Methods
2.1. Research Design
2.2. Participants
2.3. Procedures
2.4. Training
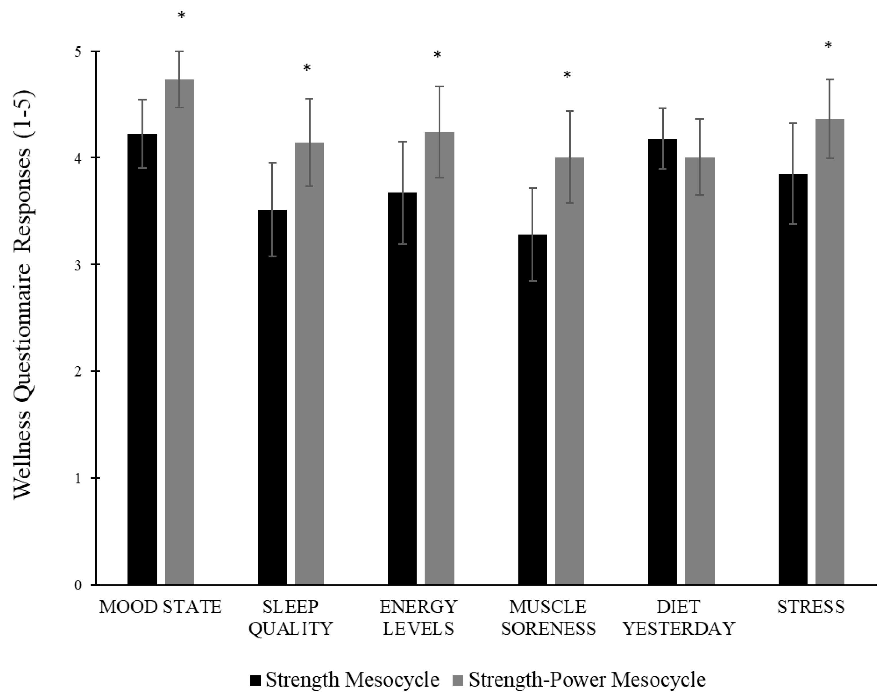
2.5. Subjective Wellness Questionnaire
2.6. Anthropometric Characteristics
2.7. Horizontal Jump and 0–80 Sprint
2.8. Seated Medicine Ball Throw
2.9. Maximum Strength
2.10. Statistical Analysis
3. Results
4. Discussion
5. Conclusions
Author Contributions
Funding
Institutional Review Board Statement
Informed Consent Statement
Data Availability Statement
Acknowledgments
Conflicts of Interest
Abbreviations
| 1RM | One-repetition maximum |
| RFD | Rate of force development |
| Med-Ball | Medicine ball |
| ICC | Intraclass correlation coefficient |
| CI | Confidence interval |
| reps | Repetitions |
References
- DeWeese, B.H.; Hornsby, G.; Stone, M.; Stone, M.H. The training process: Planning for strength–power training in track and field. Part 1: Theoretical aspects. J. Sport Health Sci. 2015, 4, 308–317. [Google Scholar] [CrossRef]
- DeWeese, B.H.; Hornsby, G.; Stone, M.; Stone, M.H. The training process: Planning for strength–power training in track and field. Part 2: Practical and applied aspects. J. Sport Health Sci. 2015, 4, 318–324. [Google Scholar] [CrossRef]
- Kyriazis, T.; Methenitis, S.; Zaras, N.; Stasinaki, A.-N.; Karampatsos, G.; Georgiadis, G.; Terzis, G. Effects of complex vs. compound training on competitive throwing performance. J. Strength Cond. Res. 2022, 9, 1510–1519. [Google Scholar] [CrossRef]
- Stone, M.H.; Hornsby, W.G.; Haff, G.G.; Fry, A.C.; Suarez, D.G.; Liu, J.; Gonzalez-Rave, J.M.; Pierce, K.C. Periodization and block periodization in sports: Emphasis on strength-power training—A provocative and challenging narrative. J. Strength Cond. Res. 2021, 35, 2351–2371. [Google Scholar] [CrossRef]
- Haugen, T.; Sandbakk, Ø.; Enoksen, E.; Seiler, S.; Tønnessen, T. Crossing the Golden Training Divide: The Science and Practice of Training World-Class 800- and 1500-m Runners. Sports Med. 2021, 51, 1835–1854. [Google Scholar] [CrossRef]
- Zaras, N.D.; Stasinaki, A.-N.E.; Methenitis, S.K.; Krase, A.A.; Karampatsos, G.P.; Georgiadis, G.V.; Spengos, K.M.; Terzis, G. Rate of force development, muscle architecture, and performance in young competitive track and field throwers. J. Strength Cond. Res. 2016, 30, 81–92. [Google Scholar] [CrossRef]
- Suchomel, T.J.; Nimphius, S.; Bellon, C.R.; Stone, M.H. The importance of muscular strength: Training considerations. Sports Med. 2018, 48, 765–785. [Google Scholar] [CrossRef]
- Bartolomei, S.; Hoffman, J.R.; Merni, F.; Stout, J.R. A comparison of traditional and block periodized strength training programs intrained athletes. J. Strength Cond. Res. 2014, 28, 990–997. [Google Scholar] [CrossRef]
- Hartmann, H.; Wirth, K.; Keiner, M.; Mickel, C.; Sander, A.; Szilvas, E. Short-term periodization models: Effects on strength and speed-strength performance. Sports Med. 2015, 45, 1373–1386. [Google Scholar] [CrossRef]
- Howatson, G.; Brandon, R.; Hunter, A.M. The response to and recovery from maximum-strength and-power training in elite track and field athletes. Int. J. Sports Physiol. Perform. 2016, 11, 356–362. [Google Scholar] [CrossRef]
- Stone, M.H.; Sanborn, K.I.M.; O’bryant, H.S.; Hartman, M.; Stone, M.E.; Proulx, C.; Ward, B.; Hruby, J. Maximum strength-power-performance. relationships in collegiate throwers. J. Strength Cond. Res. 2003, 17, 739–745. [Google Scholar]
- Painter, K.B.; Haff, G.G.; Ramsey, M.W.; McBride, J.; Triplett, T.; Sands, W.A.; Lamont, H.S.; Stone, M.E.; Stone, M.H. Strength gains: Block versus daily undulating periodization weight training among track and field athletes. Int. J. Sports Phys. Perform. 2012, 7, 161–169. [Google Scholar] [CrossRef]
- McHugh, M.P. Oversized young athletes: A weighty concern. Br. J. Sports Med. 2010, 44, 45–49. [Google Scholar] [CrossRef]
- Lloyd, R.S.; Oliver, J.L.; Faigenbaum, A.D.; Howard, R.; De Ste Croix, M.B.A.; Williams, C.A.; Best, T.M.; Alvar, B.A.; Micheli, L.J.; Thomas, D.P.; et al. Long-term athletic development, part 2: Barriers to success and potential solutions. J. Strength Cond. Res. 2015, 29, 1451–1464. [Google Scholar] [CrossRef]
- Faigenbaum, A.; Myer, G. Resistance Training among Young Athletes: Safety, Efficacy and Injury Prevention Effects. Br. J. Sports Med. 2009, 44, 56–63. [Google Scholar] [CrossRef]
- Pichardo, A.W.; Oliver, J.L.; Harrison, C.B.; Maulder, P.S.; Lloyd, R.S.; Kandoi, R. Effects of combined resistance training and weightlifting on motor skill performance of adolescent male athletes. J. Strength Cond. Res. 2019, 33, 3226–3235. [Google Scholar] [CrossRef]
- Retzepis, N.-O.; Avloniti, A.; Kokkotis, C.; Stampoulis, T.; Balampanos, D.; Gkachtsou, A.; Aggelakis, P.; Kelaraki, D.; Protopapa, M.; Pantazis, D.; et al. The Effect of Peak Height Velocity on Strength and Power Development of Young Athletes: A Scoping Review. J. Funct. Morphol. Kinesiol. 2025, 10, 168. [Google Scholar] [CrossRef]
- Lloyd, R.S.; Oliver, J.L.; Faigenbaum, A.D.; Howard, R.; De Ste Croix, M.B.A.; Williams, C.A.; Best, T.M.; Alvar, B.A.; Micheli, L.J.; Thomas, D.P.; et al. Long-term athletic development-part 1: A pathway for all youth. J. Strength Cond. Res. 2015, 29, 1439–1450. [Google Scholar] [CrossRef]
- Mirwald, R.L.; Baxter-Jones, A.D.; Bailey, D.A.; Beunen, G.P. An assessment of maturity from anthropometric measurements. Med. Sci. Sports Exerc. 2002, 34, 689–694. [Google Scholar]
- Isbiril, M.; Ispirlidis, I.; Chatzinikolaou, A.; Pafis, G.; Gioftsidou, A. Optimizing pre-match preparation: Impact of four warm-up protocols on yo-yo IR2 and sprint performance in youth footballers. J. Phys. Educ. Sports 2025, 25, 1403–1411. [Google Scholar]
- Shinkle, J.; Nesser, T.W.; Demchak, T.J.; McMannus, D.M. Effect of core strength on the measure of power in the extremities. J. Strength Cond. Res. 2012, 26, 373–380. [Google Scholar] [CrossRef]
- Teichmann, J.; Burchardt, H.; Tan, R.; Healy, P.D. Hip mobility and flexibility for track and field athletes. Adv. Phys. Educ. 2021, 11, 221–231. [Google Scholar] [CrossRef]
- Cormier, P.; Freitas, T.T.; Rubio-Arias, J.Á.; Alcaraz, P.E. Complex and contrast training: Does strength and power training sequence affect performance-based adaptations in team sports? A systematic review and meta-analysis. J. Strength Cond. Res. 2020, 34, 1461–1479. [Google Scholar] [CrossRef]
- Ebben, W.P. Complex training: A brief review. J. Sports Sci. Med. 2002, 1, 42. [Google Scholar]
- Blazevich, A.J.; Wilson, C.J.; Alcaraz, P.E.; Rubio-Arias, J.A. Effects of Resistance Training Movement Pattern and Velocity on Isometric Muscular Rate of Force Development: A Systematic Review with Meta-analysis and Meta-regression. Sports Med. 2020, 50, 943–963. [Google Scholar] [CrossRef]
- Gallo, T.F.; Cormack, S.J.; Gabbett, T.J.; Lorenzen, C.H. Self-reported wellness profiles of professional Australian football players during the competition phase of the season. J. Strength Cond. Res. 2017, 31, 495–502. [Google Scholar] [CrossRef]
- Govus, A.D.; Coutts, A.; Duffield, R.; Murray, A.; Fullagar, H. Relationship between pretraining subjective wellness measures, player load, and rating-of-perceived-exertion training load in American college football. Int. J. Sports Physiol. Perform. 2018, 13, 95–101. [Google Scholar] [CrossRef]
- Zhou, H.; Yu, P.; Thirupathi, A.; Liang, M. How to improve the standing long jump performance? A mininarrative review. Appl. Bionics Biomech. 2020, 2020, 8829036. [Google Scholar] [CrossRef]
- Wild, J.; Bezodis, N.E.; Blagrove, R.C.; Bezodis, I.N. A biomechanical comparison of accelerative and maximum velocity sprinting: Specific strength training considerations. Prof. Strength Cond. 2011, 21, 23–37. [Google Scholar]
- Hermassi, S.; Schwesig, R.; Aloui, G.; Shephard, R.J.; Chelly, M.S. Effects of short-term in-season weightlifting training on the muscle strength, peak power, sprint performance, and ball-throwing velocity of male handball players. J. Strength Cond. Res. 2019, 33, 3309–3321. [Google Scholar] [CrossRef]
- Zaras, N.; Stasinaki, A.-N.; Arnaoutis, G.; Terzis, G. Predicting throwing performance with field tests. New Stud. Athl. 2016, 31, 9–19. [Google Scholar]
- Dohoney, P.; Chromiak, J.A.; Lemire, D.; Abadie, B.R.; Kovacs, C. Prediction of one repetition maximum (1-RM) strength from a 4-6 RM and a 7-10 RM submaximal strength test in healthy young adult males. J. Exerc. Physiol. 2002, 5, 54–59. [Google Scholar]
- Mayhew, J.L.; Ball, T.E.; Arnold, M.D.; Bowen, J.C. Relative muscular endurance performance as a predictor of bench press strength in college men and women. J. Strength Cond. Res. 1992, 6, 200–206. [Google Scholar]
- Wathan, D. Load assignment. In Essentials of Strength Training and Conditioning; Baechle, T.R., Ed.; Human Kinetics: Champain, IL, USA, 1994; pp. 435–439. [Google Scholar]
- LeSuer, D.A.; McCormick, J.H.; Mayhew, J.L.; Wasserstein, R.L.; Arnold, M.D. The accuracy of prediction equations for estimating 1-RM performance in the bench press, squat, and deadlift. J. Strength Cond. Res. 1997, 11, 211–213. [Google Scholar]
- Mishra, P.; Pandey, C.M.; Singh, U.; Gupta, A.; Sahu, C.; Keshri, A. Descriptive statistics and normality tests for statistical data. Ann. Card. Anaesth. 2019, 22, 67–72. [Google Scholar] [CrossRef]
- Ghasemi, A.; Zahediasl, S. Normality tests for statistical analysis: A guide for non-statisticians. Int. J. Endocr. Metab. 2012, 10, 486–489. [Google Scholar] [CrossRef]
- Faul, F.; Erdfelder, E.; Lang, A.G.; Buchner, A. G* power 3: A flexible statistical power analysis program for the social, behavioral, and biomedical sciences. Behav. Res. Methods 2007, 39, 175–191. [Google Scholar] [CrossRef]
- Faigenbaum, A.D.; Lloyd, R.S.; MacDonald, J.; Myer, G.D. Citius, Altius, Fortius: Beneficial effects of resistance training for young athletes: Narrative review. Br. J. Sports Med. 2016, 50, 3–7. [Google Scholar] [CrossRef]
- Zaras, N.; Spengos, K.; Methenitis, S.; Papadopoulos, C.; Karampatsos, G.; Georgiadis, G.; Stasinaki, A.; Manta, P.; Terzis, G. Effects of strength vs. ballistic-power training on throwing performance. J. Sports Sci. Med. 2013, 12, 130. [Google Scholar] [PubMed]
- Terzis, G.; Stratakos, G.; Manta, P.; Georgiadis, G. Throwing performance after resistance training and detraining. J. Strength Cond. Res. 2008, 22, 1198–1204. [Google Scholar] [CrossRef] [PubMed]
- Liu, Y.; Schlumberger, A.; Wirth, K.; Schmidtbleicher, D.; Steinacker, J. Different effects on human skeletal myosin heavy chain isoform expression: Strength vs. combination training. J. Appl. Physiol. 2003, 94, 2282–2288. [Google Scholar] [CrossRef]
- Haff, G.G.; Nimphius, S. Training principles for power. Strength Cond. J. 2012, 34, 2–12. [Google Scholar] [CrossRef]
- Williams, T.D.; Tolusso, D.V.; Fedewa, M.V.; Esco, M.R. Comparison of periodized and non-periodized resistance training on maximal strength: A meta-analysis. Sports Med. 2017, 47, 2083–2100. [Google Scholar] [CrossRef]
- Zapartidis, I.; Makroglou, V.; Kepesidou, M.; Milacic, A.; Makri, A. Relationship between sprinting, change of direction and jump ability in young male athletes. J. Phy. Educ. 2018, 5, 71–76. [Google Scholar]
- Abe, T.; Fukashiro, S.; Harada, Y.; Kawamoto, K. Relationship between sprint performance and muscle fascicle length in female sprinters. J. Physiol. Anthropol. Appl. Hum. Sci. 2001, 20, 141–147. [Google Scholar] [CrossRef] [PubMed]
- Nimphius, S.; McGuigan, R.M.; Newton, U.R. Changes in muscle architecture and performance during a competitive season in female softball players. J. Strength Cond. Res. 2012, 26, 2655–2666. [Google Scholar] [CrossRef] [PubMed]


| Week 0 | Transition Week (Initial Measurement T1); 1st Mesocycle: Strength and Power | |||||
| Monday | Tuesday | Wednesday | Thursday | Friday | Saturday | |
| Weeks 1–2 | Training focuses on specific performance development in each individual event, including jumping, sprinting and running. | Parallel Squat, 3 sets × 8 reps (75% or 1RM). Leg Extension, 4 sets × 10 reps. Single-Leg Lunges on Box, 3 sets × 8 reps. Calf Raises, 4 sets × 15 reps. Various Core Exercises. | Training focuses on technical development in each individual event, including jumping, sprinting and running. | Bench Press, 3 sets × 8 reps (75% of 1RM). Lat Pull Down, 3 sets × 8 reps. Machine Shoulder Press, 3 sets × 8 reps. Biceps Cable Curls, 3 sets × 10 reps. Triceps Cable Extensions, 3 sets × 10 reps. Various Core Exercises. | Backward and Underhand Medicine Ball Throws, 2 sets × 8 reps. Standing Long Jumps × 6. 5-Step Long Jump × 6. Jumping Hurdles, 5 hurdles × 4 reps for 2 sets. Strides x 8. | Warm-up and general training, including stretching, balance exercises (static and dynamic) and mobility exercises. |
| Weeks 3–4 | Training focuses on specific performance development in each individual event, including jumping, sprinting and running. | Parallel Squat, 3 sets × 6 reps (80% or 1RM). Leg Extension, 4 sets × 10 reps. Single-Leg Lunges on Box, 3 sets × 6 reps (2 weeks). Calf Raises, 4 sets × 15 reps. Various Core Exercises. | Training focuses on technical development in each individual event, including jumping, sprinting and running. | Bench Press, 3 sets × 6 reps (80% of 1RM). Lat Pull Down, 3 sets × 8 reps. Machine Shoulder Press, 3 sets × 8 reps. Biceps Curls, 3 sets × 10 reps. Triceps Curls, 3 sets × 10 reps. Various Core Exercises. | Backward and Underhand Medicine Ball Throws, 3 sets × 8 reps. Standing Long Jumps × 10. 5-Step Long Jump × 8. Jumping Hurdles, 5 hurdles × 4 reps for 3 sets. Strides × 10. | During the last week, athletes participated in a local competition. |
| Week 5 | Transition Week (Middle Measurements T2); 2nd Mesocycle: Power and Speed | |||||
| Monday | Tuesday | Wednesday | Thursday | Friday | Saturday | |
| Weeks 6–7 | Training focuses on specific performance development in each individual event, including jumping, sprinting and running. | Parallel Back Squat (85% or 1RM) and Hurdle Jumps, 4 sets × 4 reps (complex). Squat Jumps and Overhead Medicine Ball Throws, 3 sets × 6 reps (complex). Various Core Exercises. | Training focuses on technical development in each individual event, including jumping, sprinting and running. | Power Clean (75% of 1RM) and Drop Jumps from 30 cm, 4 sets × 4 reps (complex). Bench Press, 3 sets × 4 reps, and Medicine Chest Press Throw, 3 sets × 6 reps (complex). Various Core Exercises. | Backward and Underhand Medicine Ball Throws, 3 sets × 8 reps. Standing Long Jumps × 10. 5-Step Long Jump × 8. Jumping Hurdles, 5 hurdles × 4 reps for 3 sets. Strides x 10. | Warm-up and general training includes stretching, balance exercises (static and dynamic) and mobility exercises. |
| Weeks 8–9 | Training focuses on specific performance development in each individual event, including jumping, sprinting and running. | Parallel Back Squats (85% or 1RM) and Hurdle Jumps, 4 sets × 4 reps. Squat Jumps and Overhead Medicine Ball Throws, 3 sets × 6 reps (complex). Various Core Exercises. | Training focuses on specific performance development in each individual event, including jumping, sprinting and running. | Power Clean (75% of 1RM) and Drop Jumps from 30 cm, 4 sets × 4 reps (complex). Bench Press, 3 sets × 4 reps, and Medicine Chest Press Throw, 3 sets × 6 reps (complex). Various Core Exercises. | Backward and Underhand Medicine Ball Throws, 3 sets × 10 reps. Standing Long Jumps × 10. 5-Step Long Jump × 10. Jumping Hurdles, 5 hurdles × 5 reps for 3 sets. Strides × 10. | During the last week, athletes participated in a local competition. |
| Week 10 | Transition Week (Final Measurements T3) | |||||
| Jump squats performed with a 20 kg barbell for males and a 15 kg barbell for females. Medicine ball throws performed with a 3 kg medicine ball for males and 2 kg medicine ball for females. During the second mesocycle, all resistance and ballistic exercises were performed with maximum intentional movement velocity. Friday’s training program was similar for all. | ||||||
| Variable | T1 | T2 | T3 | |
|---|---|---|---|---|
| Standing Long Jump (m) | 2.06 ± 0.29 | 2.23 ± 0.26 * | 2.34 ± 0.25 # † | F(2,14) = 109.564 η2 = 0.940 p = 0.001 |
| 5-Step Long Jump (m) | 9.83 ± 1.09 | 10.13 ± 1.12 * | 10.28 ± 1.12 # † | F(2,14) = 148.564 η2 = 0.955 p = 0.001 |
| Right-Leg Long Jump (m) | 1.81 ± 0.23 | 1.92 ± 0.22 * | 2.03 ± 0.23 # † | F(2,14) = 41.801 η2 = 0.857 p = 0.001 |
| Left-Leg Long Jump (m) | 1.83 ± 0.21 | 1.92 ± 0.22 * | 2.03 ± 0.21 # † | F(2,14) = 51.780 η2 = 0.857 p = 0.001 |
| Sprint 0–20 (s) | 3.72 ± 0.29 | 3.50 ± 0.35 * | 3.29 ± 0.39 # † | F(2,14) = 33.618 η2 = 0.828 p = 0.001 |
| Sprint 20–80 m (s) | 8.67 ± 0.85 | 8.31 ± 0.88 | 8.28 ± 0.93 † | F(2,14) = 30.846 η2 = 0.828 p = 0.001 |
| Sprint 0–80 m (s) | 12.38 ± 1.12 | 11.81 ± 1.18 * | 11.57 ± 1.23 # † | F(2,14) = 51.581 η2 = 0.828 p = 0.001 |
| Variable | T1–T2 (%) | T2–T3 (%) | t Value | p Value | Hedges g | |
|---|---|---|---|---|---|---|
| Strength | ||||||
| Bench Press (%) | 22.43 ± 15.46 | 6.91 ± 7.20 | 3.306 | 0.005 | 0.784 | Moderate |
| Parallel Squat (%) | 22.77 ± 13.94 | 15.49 ± 10.94 | 1.424 | 0.175 | 0.338 | Small |
| Throwing Performance | ||||||
| Med-Ball Throw 1 kg (%) | 6.16 ± 7.01 | 3.67 ± 1.39 | 1.567 | 0.138 | 0.372 | Small |
| Med-Ball Throw 2 kg (%) | 8.26 ± 9.56 | 4.24 ± 2.57 | 1.571 | 0.137 | 0.373 | Small |
| Med-Ball Throw 3 kg (%) | 7.19 ± 13.99 | 6.01 ± 3.65 | 0.310 | 0.761 | 0.074 | Trivial |
| Med-Ball Throw 4 kg (%) | 8.02 ± 7.21 | 6.38 ± 3.45 | 0.857 | 0.405 | 0.203 | Small |
| Med-Ball Throw 5 kg (%) | 8.93 ± 10.86 | 8.40 ± 4.01 | 0.196 | 0.847 | 0.046 | Trivial |
| Average Med-Ball Throw (%) | 7.06 ± 6.19 | 5.34 ± 1.67 | 1.081 | 0.297 | 0.256 | Small |
| Horizontal Jumping Performance | ||||||
| Standing Long Jump (%) | 8.22 ± 4.01 | 5.18 ± 2.20 | 2.832 | 0.13 | 0.672 | Moderate |
| 5-Step Long Jump (%) | 3.07 ± 1.36 | 1.49 ± 0.53 | 3.971 | 0.001 | 0.942 | Large |
| Right-Leg Long Jump (%) | 6.58 ± 8.97 | 5.62 ± 2.85 | 0.380 | 0.710 | 0.090 | Trivial |
| Left-Leg Long Jump (%) | 5.84 ± 7.91 | 5.35 ± 2.68 | 0.218 | 0.831 | 0.052 | Trivial |
| Sprinting Performance | ||||||
| Sprint 0–20 (%) | −5.94 ± 4.68 | −6.05 ± 3.21 | 0.111 | 0.913 | 0.026 | Trivial |
| Sprint 20–80 m (%) | −4.14 ± 2.02 | −0.47 ± 1.96 | −5.904 | 0.001 | −1.401 | Large |
| Sprint 0–80 m (%) | −4.68 ± 1.96 | −2.10 ± 1.43 | −4.864 | 0.001 | −1.154 | Large |
Disclaimer/Publisher’s Note: The statements, opinions and data contained in all publications are solely those of the individual author(s) and contributor(s) and not of MDPI and/or the editor(s). MDPI and/or the editor(s) disclaim responsibility for any injury to people or property resulting from any ideas, methods, instructions or products referred to in the content. |
© 2026 by the authors. Licensee MDPI, Basel, Switzerland. This article is an open access article distributed under the terms and conditions of the Creative Commons Attribution (CC BY) license.
Share and Cite
Delere, A.; Zaras, N.; Methenitis, S.; Kavvoura, A.; Foteinakis, P.F.; Avloniti, A.; Hadjicharalambous, M.; Smilios, I.; Chatzinikolaou, A. Performance Modifications Following 8 Weeks of Strength and Strength–Power Resistance Training in Adolescent Track and Field Athletes. Appl. Sci. 2026, 16, 812. https://doi.org/10.3390/app16020812
Delere A, Zaras N, Methenitis S, Kavvoura A, Foteinakis PF, Avloniti A, Hadjicharalambous M, Smilios I, Chatzinikolaou A. Performance Modifications Following 8 Weeks of Strength and Strength–Power Resistance Training in Adolescent Track and Field Athletes. Applied Sciences. 2026; 16(2):812. https://doi.org/10.3390/app16020812
Chicago/Turabian StyleDelere, Aikaterini, Nikolaos Zaras, Spyridon Methenitis, Angeliki Kavvoura, Panagiotis F. Foteinakis, Alexandra Avloniti, Marios Hadjicharalambous, Ilias Smilios, and Athanasios Chatzinikolaou. 2026. "Performance Modifications Following 8 Weeks of Strength and Strength–Power Resistance Training in Adolescent Track and Field Athletes" Applied Sciences 16, no. 2: 812. https://doi.org/10.3390/app16020812
APA StyleDelere, A., Zaras, N., Methenitis, S., Kavvoura, A., Foteinakis, P. F., Avloniti, A., Hadjicharalambous, M., Smilios, I., & Chatzinikolaou, A. (2026). Performance Modifications Following 8 Weeks of Strength and Strength–Power Resistance Training in Adolescent Track and Field Athletes. Applied Sciences, 16(2), 812. https://doi.org/10.3390/app16020812

