Mechanical Properties and Degradation Mechanism of SiC Fibers Exposed to Oxidative Environment up to 1600 °C
Abstract
1. Introduction
2. Experimental Procedure
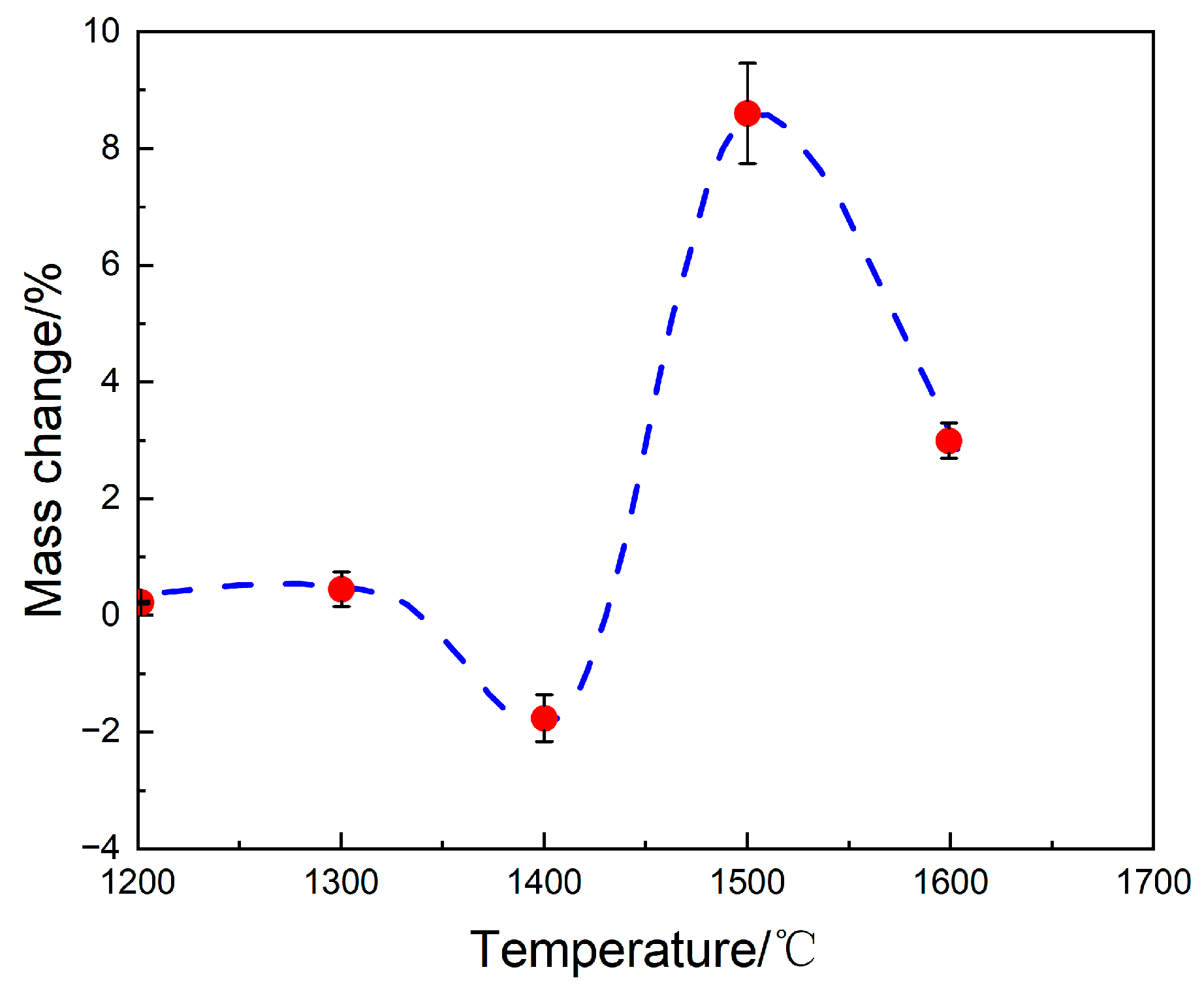
3. Results and Discussion
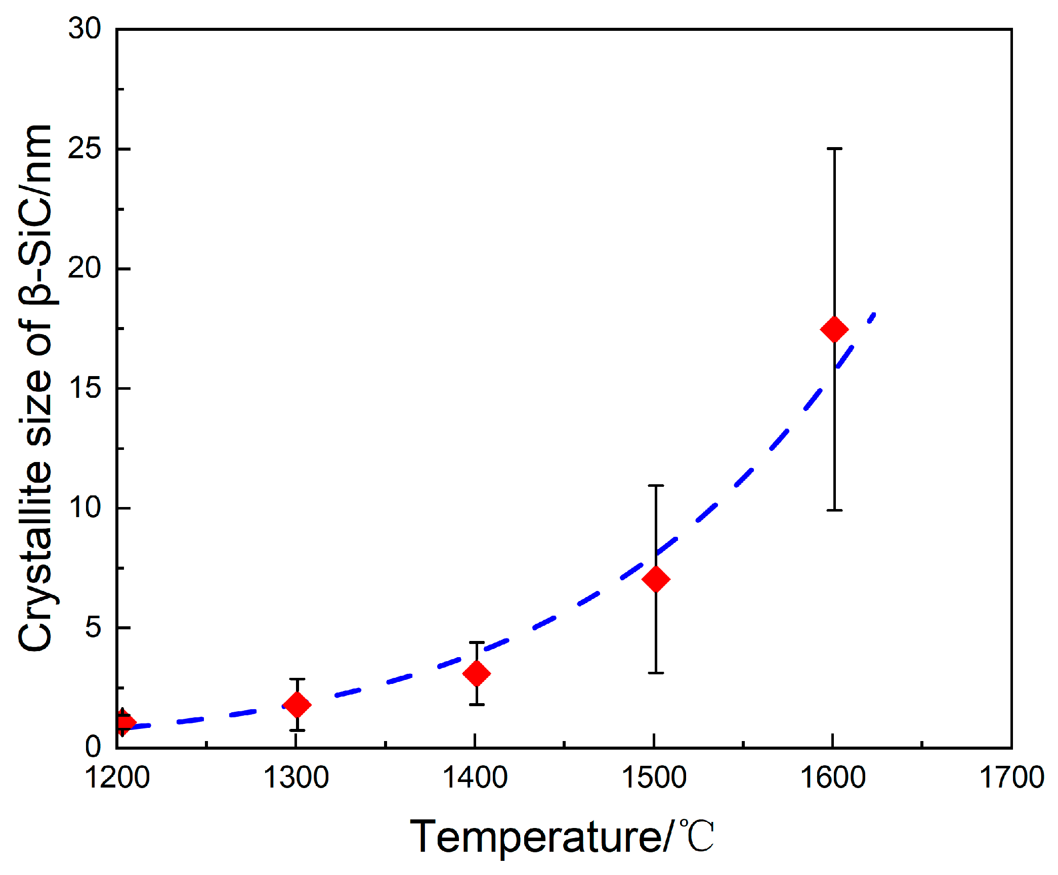
3.1. XRD Analysis
3.2. Cross-Sectional Microstructure Characterization
3.3. Morphology of Fiber Surface
3.4. Mechanical Properties of Fibers
4. Conclusions
- The as-received SiC fibers mainly compose of an amorphous SiCxOy phase. The decomposition of amorphous phase starts at 1200 °C, and is strongly dependent on the thermal exposure temperature. Meanwhile, the decomposition of amorphous phase enhances the crystallinity and oxidation of fiber. Particularly, at 1600 °C, the oxidation-formed silica layer on fiber surface presents a multilayered structure.
- The tensile strength of fiber firstly decreases at 1200 °C. Then, the strength almost remains unchanged within the statistical error from 1300 to 1400 °C. After thermal exposure at 1500 °C and 1600 °C, a significant strength reduction is observed. The degradation of fibers’ strength is attributed to the grain coarsening and the damage of structure integrity.
- Thermal exposure at moderate temperature improves the elastic modulus. For the fiber exposed at 1300 °C, the elastic modulus is the highest, exceeding 200 GPa. Above 1300 °C, the elastic modulus shows a decrease trend with increasing the temperature. The reduction of elastic modulus was mainly attributed to the high-temperature decomposition of the amorphous phase, which leads to a damage of structure integrity of fiber.
- SiC fiber, as the reinforcement of ceramic matrix composite, is the backbone for load bearing. To achieve the excellent thermal and mechanical thermal stability, the fiber with high crystallinity and near stoichiometric composition is crucial for the fabrication and application of ceramic matrix composite. This is a critical consideration for the long-term durability of SiC fibers in CMCs used in aerospace components like turbine blades and combustion chambers.
Author Contributions
Funding
Institutional Review Board Statement
Informed Consent Statement
Data Availability Statement
Conflicts of Interest
References
- Naslain, R. Design, preparation and properties of non-oxide CMCs for application in engines and nuclear reactors: An overview. Compos. Sci. Technol. 2004, 64, 155–170. [Google Scholar] [CrossRef]
- Ludovic, Q.; Francis, R.; Alain, G.; Henri, T.; Caroline, L.P. Degradation mechanisms of a SIC fiber reinforced self-sealing composite in simulated combustor environments. J. Eur. Ceram. Soc. 2007, 27, 377–388. [Google Scholar] [CrossRef]
- Chen, M.; Qiu, H.; Xie, W.; Zhang, B.-Y.; Liu, S.-H.; Luo, W.-D.; Ma, X. Research progress of continuous fiber reinforced ceramic matrix composite in hot section components of aero engine. Mater. Sci. Eng. 2019, 678, 012043. [Google Scholar] [CrossRef]
- Katoh, Y.; Snead, L.L.; Henager, C.H.; Nozawa, T.; Hinoki, T.; Ivekovic, A.; Novak, S.; Gonzalez, S.M. Current status and recent research achievements in SiC/SiC composites. J. Nucl. Mater. 2014, 455, 387–397. [Google Scholar] [CrossRef]
- Shimoo, T.; Okamura, K.; Morisada, Y. Active-to-passive oxidation transition for poly carbosilane-derived silicon carbide fibers heated in Ar-O2 gas mixture. J. Mater. Sci. 2002, 37, 1793–1800. [Google Scholar] [CrossRef]
- He, R.-A.; Jiang, D.-Z.; Li, X.-D. Determination of Carbon and Oxygen in Silicon Carbide Fibers. J. Chin. Ceram. Soc. 2003, 31, 386–388. [Google Scholar] [CrossRef]
- Schneider, B.; Guette, A.; Naslain, R.; Cataldi, M.; Costecalde, A. A theoretical and experimental approach to the active-to-passive transition in the oxidation of silicon carbide: Experiments at high temperatures and low total pressures. J. Mater. Sci. 1998, 33, 535–547. [Google Scholar] [CrossRef]
- Gietl, H.; Karakoc, O.; Koyanagi, T.; Harrison, S.; Katoh, Y. Emerging continuous SiC fibers for high-temperature applications. Ceram. Int. 2024, 50, 32893–32904. [Google Scholar] [CrossRef]
- Sha, J.J.; Park, J.S.; Hinoki, T.; Kohyama, A. Heat treatment effects on creep behavior of polycrystalline SiC fibers. Mater. Charact. 2006, 57, 6–11. [Google Scholar] [CrossRef]
- Wu, S.; Gou, Y.-Z.; Wang, Y.-S.; Song, Q.-Z.; Zhang, Q.-Y.; Wang, Y.-D. Effect of Heat Treatment on Composition, Microstructure and Mechanical Property of Domestic KD-SA SiC Fibers. J. Inorg. Mater. 2023, 38, 569–576. [Google Scholar] [CrossRef]
- Chen, Y.-H.; Chen, Z.-K.; Zhang, R.-Q.; He, Z.-B.; Li, M.; Xiong, X. Structural evolution and mechanical properties of Cansas-III SiC fibers after thermal treatment up to 1700 °C. J. Eur. Ceram. Soc. 2021, 41, 5036–5045. [Google Scholar] [CrossRef]
- Owens, W.; Merkel, D.; Sansoz, F.; Fletcher, D. Fracture Behavior of Woven Silicon Carbide Fibers Exposed to High Temperature Nitrogen and Oxygen Plasmas. J. Am. Ceram. Soc. 2015, 98, 4003–4009. [Google Scholar] [CrossRef]
- You, B.-J.; Wang, X.; Li, B.; Li, X.-Q.; Ma, X.-H.; Ding, T.; Zhang, Y.; Zhang, L.-T. Microstructural evolution and phase transformation of cansas 3303 SiC fibers during thermal shock at 1200 °C. Ceram. Int. 2024, 50, 42035–42044. [Google Scholar] [CrossRef]
- Zu, M.; Zou, S.-M.; Han, S.; Liu, H.-T. Effects of heat treatment on the microstructures and properties of KD-I SiC fibres. Mater. Res. Innov. 2015, 19, 437–441. [Google Scholar] [CrossRef]
- Yao, R.-Q.; Tang, X.-Y.; Wang, Y.-Y.; Feng, Z.-D. Fracture Mechanism of Hi-Nicalon SiC Fibers Annealed at High Temperature. Heat Treat. Met. 2007, 32, 55–58. [Google Scholar] [CrossRef]
- Hay, R.S. SiC fiber strength after low pO2 oxidation. J. Am. Ceram. Soc. 2018, 101, 831–844. [Google Scholar] [CrossRef]
- Xiao, Y.; Ma, C.-L.; Xu, H.; Li, G.-D.; Liu, C.-Y.; Zheng, R.-X.; Li, L. Mechanical properties and microstructural evolution of Cansas-III SiC fibers after thermal exposure in different atmospheres. Ceram. Int. 2022, 48, 32804–32816. [Google Scholar] [CrossRef]
- Wang, Y.-S.; Wang, X.-Z.; Wu, S.; Song, Q.-Z.; Long, X.; Wang, Y.-D. Degradation mechanism of near stoichiometric SiC fibers after air and Ar-H2O-O2 corrosion at 1000-1500 °C. J. Am. Ceram. Soc. 2023, 106, 3175–3187. [Google Scholar] [CrossRef]
- Chenxi, Y.; Jiejie, W.; Allah, D.; Lijun, W.; Zihua, Z.; Sunjun, W. Effects of temperature and atmosphere on microstructural evolution and mechanical properties of KD-II SiC fibers. Ceram. Int. 2020, 46, 24424–24434. [Google Scholar] [CrossRef]
- Guan, H.-Y.; Zhang, L.; Jing, K.-K.; Shi, W.-G.; Wang, J.; Li, M.; Liu, Y.-S.; Zhang, C.-Y. Interfacial Mechanical Properties of the Domestic 3rd Generation 2.5D SiCf/SiC Composite. J. Inorg. Mater. 2024, 39, 259–266. [Google Scholar] [CrossRef]
- Yuan, X.-W.; Kondo, S.; Shimoda, K.; Yu, H.; Okuno, Y.; Kasada, R. Compressive strength degradation of SiC fibers exposed to high temperatures due to impurity-induced internal oxidation. J. Eur. Ceram. Soc. 2022, 42, 5334–5342. [Google Scholar] [CrossRef]
- Chollon, G.; Pailler, R.; Naslain, R.; Flaanani; Monthioux, M.; Olry, P. Thermal stability of a PCS-derived SiC fibre with a low oxygen content (Hi-Nicalon). J. Mater. Sci. 1997, 32, 327–347. [Google Scholar] [CrossRef]
- Shimoo, T.; Okamura, K.; Ito, M.; Takeda, M. High-temperature stability of low-oxygen silicon carbide fiber heat-treated under different atmosphere. J. Mater. Sci. 2000, 35, 3733–3739. [Google Scholar] [CrossRef]
- Dong, S.M.; Chollon, G.; Labrugere, C.; Lahaye, M.; Guette, A.; Bruneel, J.L.; Couzi, M.; Naslain, R.; Jiang, D.L. Characterization of nearly stoichiometric SiC ceramic fibers. J. Mater. Sci. 2001, 36, 2371–2381. [Google Scholar] [CrossRef]
- Shimoo, T.; Toyoda, F.; Okamura, K. Thermal stability of low-oxygen silicon carbide fiber(Hi-Nicalon) subjected to selected oxidation treatment. J. Am. Ceram. Soc. 2000, 6, 1450–1456. [Google Scholar] [CrossRef]










Disclaimer/Publisher’s Note: The statements, opinions and data contained in all publications are solely those of the individual author(s) and contributor(s) and not of MDPI and/or the editor(s). MDPI and/or the editor(s) disclaim responsibility for any injury to people or property resulting from any ideas, methods, instructions or products referred to in the content. |
© 2025 by the authors. Licensee MDPI, Basel, Switzerland. This article is an open access article distributed under the terms and conditions of the Creative Commons Attribution (CC BY) license.
Share and Cite
Huang, K.; Ma, B.; Dai, J.; Sha, J. Mechanical Properties and Degradation Mechanism of SiC Fibers Exposed to Oxidative Environment up to 1600 °C. Appl. Sci. 2026, 16, 64. https://doi.org/10.3390/app16010064
Huang K, Ma B, Dai J, Sha J. Mechanical Properties and Degradation Mechanism of SiC Fibers Exposed to Oxidative Environment up to 1600 °C. Applied Sciences. 2026; 16(1):64. https://doi.org/10.3390/app16010064
Chicago/Turabian StyleHuang, Kailin, Beibei Ma, Jixiang Dai, and Jianjun Sha. 2026. "Mechanical Properties and Degradation Mechanism of SiC Fibers Exposed to Oxidative Environment up to 1600 °C" Applied Sciences 16, no. 1: 64. https://doi.org/10.3390/app16010064
APA StyleHuang, K., Ma, B., Dai, J., & Sha, J. (2026). Mechanical Properties and Degradation Mechanism of SiC Fibers Exposed to Oxidative Environment up to 1600 °C. Applied Sciences, 16(1), 64. https://doi.org/10.3390/app16010064

