Investigation of Axial–Torsional Vibration Characteristics and Vibration Mitigation Mechanism in Compound Percussive Drilling
Abstract
1. Introduction
2. Modeling
2.1. Description of the CPD System
2.2. Model Derivation
2.3. Bit–Rock Interaction Model
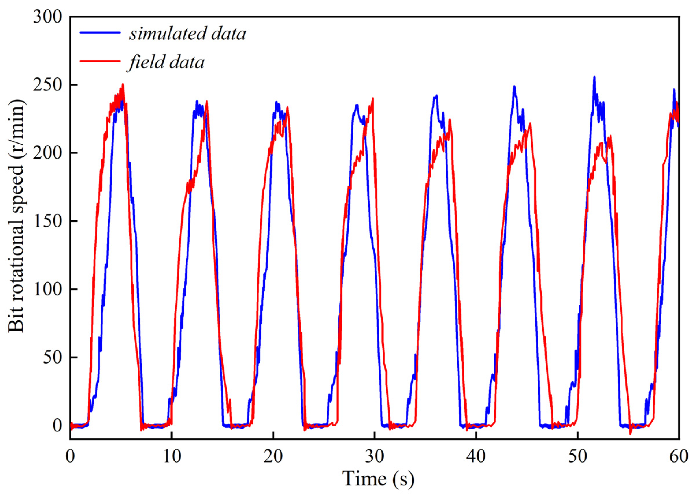
3. Model Validation
4. Results and Discussion
4.1. Adaptability Analysis in Soft and Hard Formations
4.1.1. Drilling in Soft Rock Formations
4.1.2. Drilling in Hard Rock Formations
4.2. Analysis of Influencing Factors in Hard Rock Formations
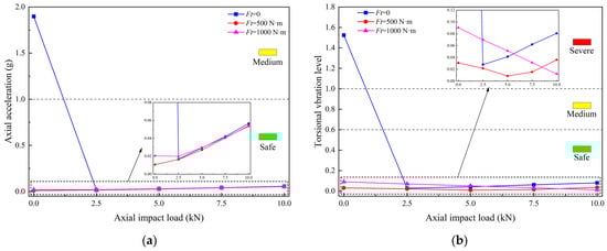
4.2.1. Axial Impact Load Amplitude
4.2.2. Torsional Impact Load Amplitude
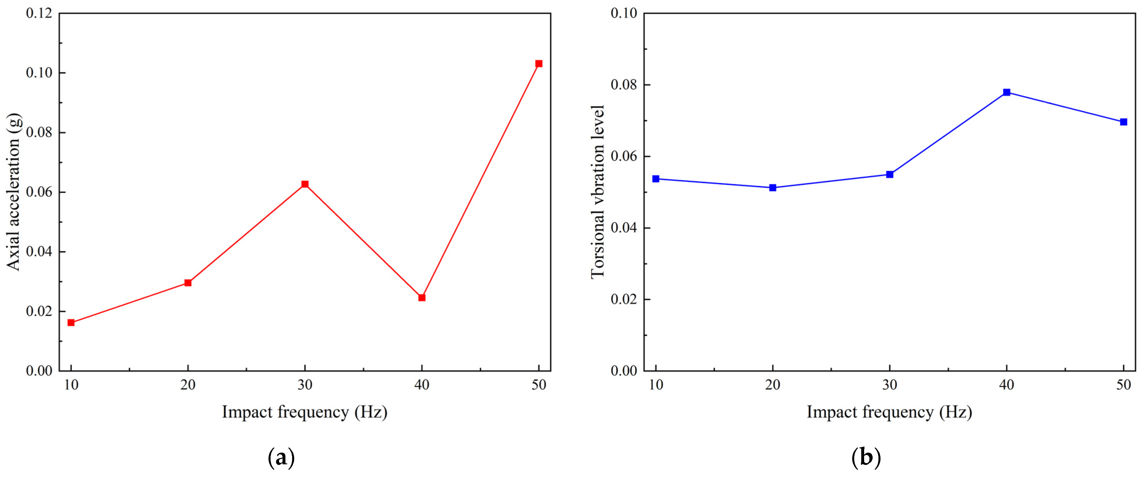
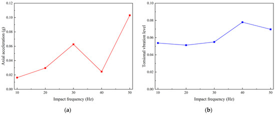
4.2.3. Impact Frequency
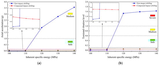
4.2.4. Rock Strength
4.2.5. Drill String Length
5. Conclusions and Future Perspectives
Author Contributions
Funding
Institutional Review Board Statement
Informed Consent Statement
Data Availability Statement
Conflicts of Interest
Abbreviations
| CPD | Compound percussive drilling |
| WOB | Weight on bit |
| TOB | Torque on bit |
| ROP | Rate of penetration |
| DOC | Depth of cutter |
| MDOF | Multi-degree-of-freedom |
Nomenclature
| Mass of the i-th drill string element | Axial force on the bit | ||
| Mass of the drill bit | Torque on the bit | ||
| Axial spring stiffness of the top drive system | Axial impact load of the impact drilling tool | ||
| Axial damping of the top drive system | Torsional impact load of the impact drilling tool | ||
| Axial spring stiffness between elements i and i + 1 | Total length of drill pipe | ||
| Axial damping between elements i and i + 1 | Total length of drill collar | ||
| Axial displacement of the i-th element | Outer diameter of the i-th element | ||
| Axial displacements of the drill bit | Inner diameter of the i-th element | ||
| Rotational inertia of the i-th element | The length of the i-th element | ||
| Rotational inertia of the drill bit | Rayleigh damping coefficients | ||
| Torsional spring stiffness of the rotary system | Rock intrinsic specific energy | ||
| Torsional damping of the rotary system | Constant related to the cutter face inclination | ||
| Torsional spring stiffness between elements i and i + 1 | Depth of cut | ||
| Torsional damping between elements i and i + 1 | Number of blades on the drill bit | ||
| Angular displacement of the i-th element | Contact stress at the wear-flat rock interface | ||
| Angular displacement of the drill bit | Frictional coefficient between cutter and rock | ||
| Axial velocity of the top drive system | The length of the cutter wear flat | ||
| Rotation velocity of the top drive system | Geometric parameter of the drill bit | ||
| Mass matrix for the axial motion | Acceleration of gravity | ||
| Stiffness matrix for the axial motion | Buoyancy coefficient of drilling fluid | ||
| Damping matrix for the axial motion | Young’s elastic modulus | ||
| Rotational inertia matrix for the torsional motion | Poisson’s ratio | ||
| Stiffness matrix for the torsional motion | Density of drill string material | ||
| Damping matrix for the torsional motion | Density of drill mud | ||
| Time step |
References
- Cheng, Z.; Li, G.; Huang, Z.; Sheng, M.; Wu, X.; Yang, J. Analytical modelling of rock cutting force and failure surface in linear cutting test by single PDC cutter. J. Pet. Sci. Eng. 2019, 177, 306–316. [Google Scholar] [CrossRef]
- Li, Y.M.; Zhang, T.; Tian, Z.F.; Zheng, Y.M.; Yang, Z.M. Simulation on compound percussive drilling: Estimation based on multidimensional impact cutting with a single cutter. Energy Rep. 2021, 7, 3833–3843. [Google Scholar] [CrossRef]
- Richard, T.; Germay, C.; Detournay, E. Self-excited stick–slip oscillations of drill bits. Comptes Rendus Mécanique 2004, 332, 619–626. [Google Scholar] [CrossRef]
- Ritto, T.G.; Escalante, M.R.; Sampaio, R.; Rosales, M.B. Drill-string horizontal dynamics with uncertainty on the frictional force. J. Sound Vib. 2013, 332, 145–153. [Google Scholar] [CrossRef]
- Kovalyshen, Y. Understanding root cause of stick–slip vibrations in deep drilling with drag bits. Int. J. Non-Linear Mech. 2014, 67, 331–341. [Google Scholar] [CrossRef]
- Navarro-López, E.M.; Cortés, D. Avoiding harmful oscillations in a drillstring through dynamical analysis. J. Sound Vib. 2007, 307, 152–171. [Google Scholar] [CrossRef]
- Ghasemloonia, A.; Geoff Rideout, D.; Butt, S.D. A review of drillstring vibration modeling and suppression methods. J. Pet. Sci. Eng. 2015, 131, 150–164. [Google Scholar] [CrossRef]
- Saksala, T. 3D numerical modelling of thermal shock assisted percussive drilling. Comput. Geotech. 2020, 128, 103849. [Google Scholar] [CrossRef]
- Zhu, X.; Tang, L. Development of a high-frequency torsional impact generator for improving drilling efficiency. J. Mech. Eng. Sci. 2013, 228, 1968–1977. [Google Scholar] [CrossRef]
- Wang, W.; Liu, G.; Li, J.; Zha, C.; Lian, W. Numerical simulation study on rock-breaking process and mechanism of compound impact drilling. Energy Rep. 2021, 7, 3137–3148. [Google Scholar] [CrossRef]
- Zhang, H.; Yang, H.; Yuan, G.; Fu, L.; Wang, Y.; Ni, H.; Ren, X.; Chen, G.; Wang, Z. Simulation research on rock-breaking performance of PDC cutter under composite impact based on discrete element method. In Proceedings of the 57th U.S. Rock Mechanics/Geomechanics Symposium, Atlanta, GA, USA, 25–28 June 2023. [Google Scholar]
- Xi, Y.; Wang, H.-Y.; Zha, C.-Q.; Li, J.; Liu, G.-H.; Guo, B.-Y. Numerical simulation of rock-breaking and influence laws of dynamic load parameters during axial-torsional coupled impact drilling with a single PDC cutter. Pet. Sci. 2023, 20, 1806–1827. [Google Scholar] [CrossRef]
- Wang, W.; Liu, G.H.; Li, J.; Zha, C.Q.; Lian, W.; Gao, R.Y. Numerical investigation on rock-breaking mechanism and cutting temperature of compound percussive drilling with a single PDC cutter. Energy Sci. Eng. 2021, 9, 2364–2379. [Google Scholar] [CrossRef]
- Liu, W.J.; Zeng, Y.J.; Zhu, X.H.; Ding, S.D. Mechanism of rock breaking under composite and torsional impact cutting. J. China Univ. Pet. 2020, 44, 74–80. [Google Scholar]
- Song, H.; Shi, H.; Li, G.; Chen, Z.; Li, X. Numerical simulation of the energy transfer efficiency and rock damage in axial-torsional coupled percussive drilling. J. Pet. Sci. Eng. 2021, 196, 107675. [Google Scholar] [CrossRef]
- Kreisle, L.F.; Vance, J.M. Mathematical Analysis of the Effect of a Shock Sub on the Longitudinal Vibrations of an Oilwell Drill String. Soc. Pet. Eng. J. 1970, 10, 349–356. [Google Scholar] [CrossRef]
- Skaugen, E.; Kyllingstad, A.; Aarrestad, T.V.; Tonnesen, H.A. Experimental and Theoretical Studies of Vibrations in Drill Strings Incorporating Shock Absorbers. In Proceedings of the 12th World Petroleum Congress, Houston, TX, USA, 26 April–1 May 1987. [Google Scholar]
- Parfitt, S.H.L.; Abbassian, F. A Model for Shock Sub Performance Qualification. In Proceedings of the SPE/IADC Drilling Conference, Amsterdam, The Netherlands, 28 February–2 March 1995. [Google Scholar]
- Ghasemloonia, A.; Rideout, D.G.; Butt, S.D.; Hajnayeb, A. Elastodynamic and finite element vibration analysis of a drillstring with a downhole vibration generator tool and a shock sub. Proc. Inst. Mech. Eng. Part C J. Mech. Eng. Sci. 2015, 229, 1361–1384. [Google Scholar] [CrossRef]
- Newman, K.; Burnett, T.; Pursell, J.; Gouasmia, O. Modeling the Affect of a Downhole Vibrator. In Proceedings of the SPE/ICoTA Coiled Tubing & Well Intervention Conference and Exhibition, The Woodlands, TX, USA, 31 March–1 April 2009. [Google Scholar]
- Li, S.Q.; Chen, Z.; Li, S.; Li, W.; Guo, J.Y.; Liu, D.W. Dynamics of resonance impact drilling based on constant depth-of-cut and state-dependent time delay models. J. China Univ. Pet. 2024, 48, 124–132. [Google Scholar]
- Li, S.Q.; Bi, F.Q.; Li, W.; Zhao, H.; Li, X.Y. Dynamic characteristics of steady torsional impact drilling and its field application. J. China Univ. Pet. 2019, 43, 97–104. [Google Scholar]
- Huang, Z.; Xie, D.; Xie, B.; Zhang, W.; Zhang, F.; He, L. Investigation of PDC bit failure base on stick-slip vibration analysis of drilling string system plus drill bit. J. Sound Vib. 2018, 417, 97–109. [Google Scholar] [CrossRef]
- Mao, L.J.; Ma, M.Y.; Liu, L.P.; Zhang, W.; Chen, C.Y. Influence of torsional impactor on stick-slip vibration of drillstring. Fault-Block Oil Gas Field E 2022, 29, 545–551. [Google Scholar]
- Tian, J.L.; Zhou, S.Q.; Yang, Y.L. Viscosity reduction analysis of the sliding mode control of a drill string system with a torsional vibration tool. J. Vib. Shock. 2020, 39, 186–193. [Google Scholar]
- Detournay, E.; Defourny, P. A phenomenological model for the drilling action of drag bits. Int. J. Rock Mech. Min. Sci. Geomech. Abstr. 1992, 29, 13–23. [Google Scholar] [CrossRef]
- Ritto, T.G.; Aguiar, R.R.; Hbaieb, S. Validation of a drill string dynamical model and torsional stability. Meccanica 2017, 52, 2959–2967. [Google Scholar] [CrossRef]
- Liu, X.; Long, X.; Zheng, X.; Meng, G.; Balachandran, B. Spatial-temporal dynamics of a drill string with complex time-delay effects: Bit bounce and stick-slip oscillations. Int. J. Mech. Sci. 2020, 170, 105338. [Google Scholar] [CrossRef]
- Mayer, H. Analysis and Development of Algorithms for Identification and Classification of Dynamic Drillstring Dysfunctions. Master’s Thesis, Technical University of Leoben, Leoben, Austria, 2007. [Google Scholar]















| Parameters of Field Operation | Parameters of Numerical Simulation | ||||||
|---|---|---|---|---|---|---|---|
| Drill String | Out Diameter (mm) | Inner Dimeter (mm) | Length (m) | Drill String | Out Diameter (mm) | Inner Dimeter (mm) | Length (m) |
| Drill pipes | 140 | 119 | 4733.6 | Drill pipes | 140 | 119 | 4750 |
| HWDP | 140 | 76 | 171.3 | ||||
| Drill collars | 171 | 71 | 267.1 | Drill collars | 171 | 71 | 450 |
| MWD | 171 | 71 | 8.55 | ||||
| LWD | 171 | 71 | 19.25 | ||||
| Drill bit | 216 | 57 | 0.25 | Drill bit | 216 | 57 | 0.25 |
| Quantities | Value | Quantities | Value | Quantities | Value | Quantities | Value |
|---|---|---|---|---|---|---|---|
| 210 GPa | 200 m | 0.6 | 67.9 kN·m | ||||
| 0.3 | 165 mm | 0.6 | 144 kN·s/m | ||||
| 7850 kg/m3 | 57.2 mm | 1 | 20.4 kN·m·s | ||||
| 1200 kg/m3 | 216 mm | 5 | 8 m/h | ||||
| 1800 m | 260 kg | 0.01 | 120 r/min | ||||
| 127 mm | 5.1 kg·m2 | 0.0005 | 25 m | ||||
| 108 mm | 1.2 mm | 9800 kN/m | 0.2 ms |
| Axial Vibration Level | Torsional Vibration Level | ||||
|---|---|---|---|---|---|
| Safe | 0 | 0 ≤ Sa < 0.5 g | Safe | 0 | 0 ≤ S1 < 0.2 |
| 1 | 0.5 g ≤ Sa < 1.0 g | 1 | 0.2 ≤ S1 < 0.4 | ||
| Medium | 2 | 1.0 g ≤ Sa < 2.0 g | 2 | 0.4 ≤ S1 < 0.6 | |
| 3 | 2.0 g ≤ Sa < 3.0 g | Medium | 3 | 0.6 ≤ S1 < 0.8 | |
| Severe | 4 | 3.0 g ≤ Sa < 5.0 g | 4 | 0.8 ≤ S1 < 1.0 | |
| 5 | 5.0 g ≤ Sa < 8.0 g | Severe | 5 | 1.0 ≤ S1 < 1.2 | |
| 6 | 8.0 g ≤ Sa < 15.0 g | 6 | 1.2 ≤ S1 | ||
| 7 | 15.0 g ≤ Sa | 7 | S2 > 0.1 | ||
Disclaimer/Publisher’s Note: The statements, opinions and data contained in all publications are solely those of the individual author(s) and contributor(s) and not of MDPI and/or the editor(s). MDPI and/or the editor(s) disclaim responsibility for any injury to people or property resulting from any ideas, methods, instructions or products referred to in the content. |
© 2026 by the authors. Licensee MDPI, Basel, Switzerland. This article is an open access article distributed under the terms and conditions of the Creative Commons Attribution (CC BY) license.
Share and Cite
Wang, W.; Guo, B.; Liu, G.; Zha, C.; Chen, T.; Li, J. Investigation of Axial–Torsional Vibration Characteristics and Vibration Mitigation Mechanism in Compound Percussive Drilling. Appl. Sci. 2026, 16, 536. https://doi.org/10.3390/app16010536
Wang W, Guo B, Liu G, Zha C, Chen T, Li J. Investigation of Axial–Torsional Vibration Characteristics and Vibration Mitigation Mechanism in Compound Percussive Drilling. Applied Sciences. 2026; 16(1):536. https://doi.org/10.3390/app16010536
Chicago/Turabian StyleWang, Wei, Boyu Guo, Gonghui Liu, Chunqing Zha, Tian Chen, and Jun Li. 2026. "Investigation of Axial–Torsional Vibration Characteristics and Vibration Mitigation Mechanism in Compound Percussive Drilling" Applied Sciences 16, no. 1: 536. https://doi.org/10.3390/app16010536
APA StyleWang, W., Guo, B., Liu, G., Zha, C., Chen, T., & Li, J. (2026). Investigation of Axial–Torsional Vibration Characteristics and Vibration Mitigation Mechanism in Compound Percussive Drilling. Applied Sciences, 16(1), 536. https://doi.org/10.3390/app16010536

