Tension–Torsion Coupling Analysis and Structural Parameter Optimization of Conductor Based on RBFNN Surrogate Model
Abstract
1. Introduction
2. RBFNN Surrogate Model and Calculation Method for Tension–Torsion Coupling of Conductor
2.1. RBFNN Surrogate Modeling Method
- For small c (i.e., c is close to 0.2), becomes highly localized and sharp, which enables the model to capture abrupt variations or discontinuities in the response, but may also lead to over-fitting and ill-conditioning of the coefficient matrix.
- For large c (i.e., c is close to 3), behaves more globally and smoothly, which improves stability and is suitable for approximating harmonic or periodic functions, but may fail to resolve steep gradients.
2.2. Calculation Method for Tension–Torsion Coupling of Conductor
3. RBFNN Surrogate Model for Tension–Torsion Coupling of Conductor
3.1. Construction of RBFNN Surrogate Model
3.1.1. Sample Data Acquisition
3.1.2. Model Construction and Accuracy Verification
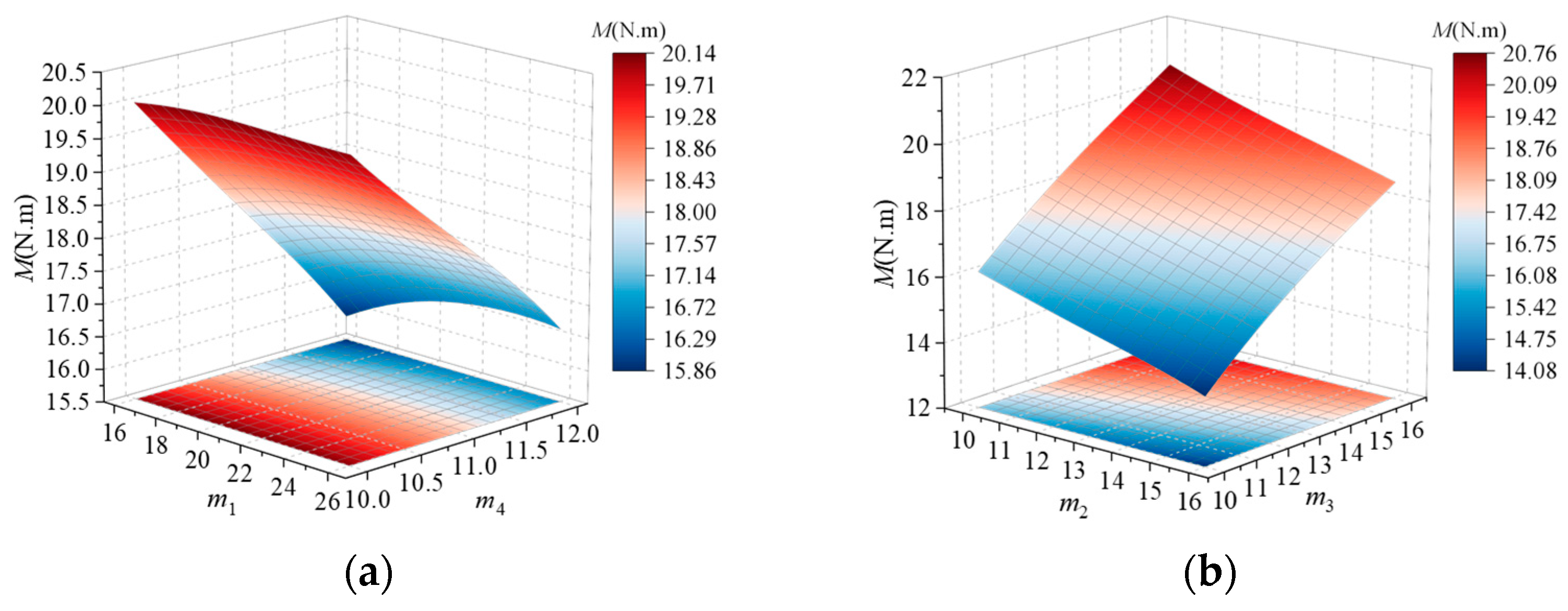
3.2. Results
4. Design Optimization of Conductor Structural Parameters Based on RBFNN Surrogate Model
4.1. Optimization Objective
4.2. Optimization Results and Comparative Analysis
5. Conclusions
- An OLHS method based on the maximin distance criterion was adopted to generate 80 sets of layer-wise lay ratios for the conductor. The torque response corresponding to each set of lay ratios was then computed using the analytical and computational method for tension–torsion coupling. The results indicate that the sample points are uniformly dispersed across the design space, and that the torque is affected primarily by the lay ratios of the inner aluminum layer (Layer 2), the aluminum adjacent outer layer (Layer 3), and the outer aluminum layer (Layer 4).
- Using the RBFNN surrogate modeling method, the sample data were used to train an RBFNN surrogate model that maps the variation in the conductor’s overall torque with the layer-wise lay ratio. Validation shows the model exhibits very small errors, with a coefficient of determination R2 close to 1, indicating excellent accuracy.
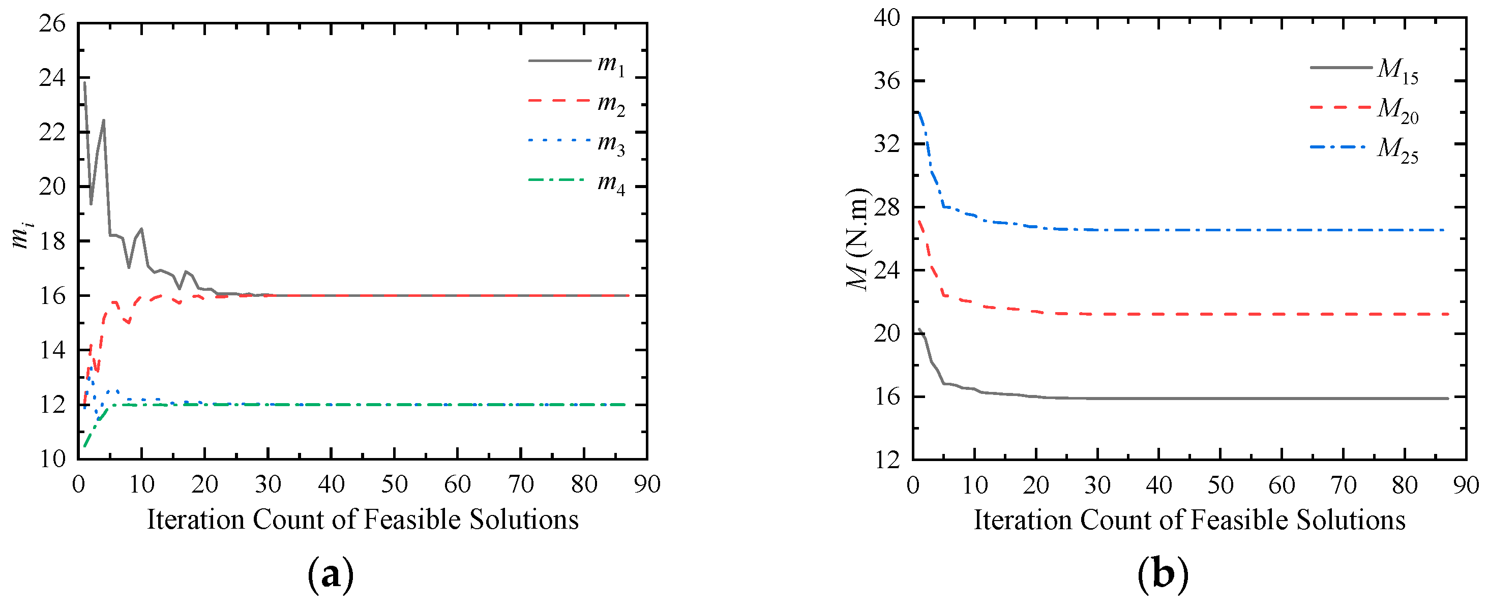
- The RBFNN surrogate model was optimized using NSGA-II. After optimization, the conductor’s overall torque decreased by approximately 18% relative to the pre-optimization baseline. Meanwhile, the RBFNN optimization results agree closely with the theoretical computation results, with a maximum relative error of only 1.67%, indicating that the optimization is feasible. It effectively reduces the torque induced by the conductor’s intrinsic tension–torsion coupling and serves as a reference for the structural design of stranded conductors.
- For the JL/G1A-630/45-45/7 conductor (and analogous multi-layer stranded conductors), the optimized layer-wise lay ratio combination (m1 = 16, m2 = 16, m3 = 12, m4 = 12) can be directly adopted in the conductor design and production stage. This combination reduces torque while maintaining the stress balance between the steel core and aluminum strands, effectively suppressing construction defects during tension stringing.
Author Contributions
Funding
Data Availability Statement
Conflicts of Interest
Abbreviations
| ACSR | Aluminum Conductor Steel Reinforced |
| AE | Average absolute error |
| ANN | Artificial Neural Network |
| EHV | Extra-high-voltage |
| HV | High-voltage |
| LHS | Latin hypercube sampling |
| LOOCV | Leave-One-Out Cross-Validation |
| ME | Maximum absolute error |
| MOPSO | Multi-objective Particle Swarm Optimization |
| NSGA-II | Non-Dominated Sorting Genetic Algorithm II |
| OLHS | Optimized Latin hypercube sampling |
| RBFNN | Radial Basis Function Neural Network |
| RMSE | Root mean square error |
| RSM | Response Surface Model |
| UHV | Ultra-high-voltage |
References
- Dong, F.F.; Chen, H.Y.; Liu, Z.; Zhang, T.L.; Gong, Y.; Wan, M.; Zhang, J.X. Thoughts and Suggestions on Green Development of Transmission Lines. Smart Power 2025, 53, 81–86. [Google Scholar]
- Wan, J.C. Application Technology of Overhead Conductors; China Electric Power Press: Beijing, China, 2015. [Google Scholar]
- Costello, G.A.; Phillips, J.W. Effective Modulus of Twisted Wire Cables. J. Eng. Mech. Div. 1976, 102, 171–181. [Google Scholar] [CrossRef]
- Costello, G.A. Stresses in Multilayered Cables. J. Energy Resour. Technol. 1983, 105, 337–340. [Google Scholar] [CrossRef]
- Phillips, J.W.; Costello, G.A. Analysis of Wire Ropes with Internal-Wire-Rope Cores. J. Appl. Mech. 1985, 52, 510–516. [Google Scholar] [CrossRef]
- Li, Y.P.; Song, F.L.; He, G.Y. Calculation of Tension-Torsion Coupling Effect of ACSR. J. Northeast. Electr. Power Univ. (Nat. Sci. Ed.) 2008, 28, 78–81. [Google Scholar]
- Hong, K.; Yi, C.; Lee, Y. Geometry and Friction of Helically Wrapped Wires in a Cable Subjected to Tension and Bending. Int. J. Steel Struct. 2012, 12, 233–242. [Google Scholar] [CrossRef]
- Foti, F.; Martinelli, L. Mechanical Modeling of Metallic Strands Subjected to Tension, Torsion and Bending. Int. J. Solids Struct. 2016, 91, 1–17. [Google Scholar] [CrossRef]
- Dang, P.; Zeng, W.; Xu, R. Simulation Research on Performance of Overhead Conductors. Wire Cable 2020, 63, 1–6. [Google Scholar]
- Xiang, L.; Wang, H.; Chen, Y.; Guan, Y.; Wang, Y.; Dai, L. Modeling of Multi-Strand Wire Ropes Subjected to Axial Tension and Torsion Loads. Int. J. Solids Struct. 2015, 58, 212–231. [Google Scholar] [CrossRef]
- Yang, G.Y.; Wen, Z.M.; Gu, X.; Wu, M.; You, W.; Xu, X. Study on Calculation Method of Layered Stress of Steel Core Aluminum Stranded Wire. Wire Cable 2023, 66, 40–45. [Google Scholar]
- Menezes, E.A.W.D.; Marczak, R.J. Comparative Analysis of Different Approaches for Computing Axial, Torsional and Bending Stiffnesses of Cables and Wire Ropes. Eng. Struct. 2021, 241, 112487. [Google Scholar] [CrossRef]
- Xue, S.; Shen, R.; Shao, M.; Chen, W.; Miao, R. Fatigue Failure Analysis of Steel Wire Rope Sling Based on Share-Splitting Slip Theory. Eng. Fail. Anal 2019, 105, 1189–1200. [Google Scholar] [CrossRef]
- Zhang, X.Y.; Hu, Y.M.; Zhou, B.W.; Li, J. Modelling of the Hysteretic Bending Behavior for Helical Strands under Multi-Axial Loads. Appl. Math. Model. 2021, 97, 536–558. [Google Scholar] [CrossRef]
- Chen, Y.; Huang, L.; Xiang, J.; Xu, J.; Zhou, M.; Zhou, J. Relaxation Behavior of a Three-Layered Wire Cable Under a Combined Tension and Bending Load. Mech. Time-Depend. Mater. 2024, 28, 2705–2727. [Google Scholar] [CrossRef]
- Wan, J.C.; Qin, J.; Qiao, L.; Wang, S.L. Influence of Tension Stringing Construction Process Factors on Conductor Loose Strands and Its Risk Assessment. Guangdong Electr. Power 2023, 36, 113–123. [Google Scholar]
- Jian, Q.; Liang, Q.; Qi, Z.; Liu, C.; Zhang, F. Calculation Method and Experimental Research on Strand Breakage in Large Cross-Section Conductors Considering Contact Between Strands. Eng. Fail. Anal. 2025, 167, 109020. [Google Scholar] [CrossRef]
- Qin, J.; Qiao, L.; Wan, J.; Qi, Z.; Liu, C.; Jiang, M. Analysis, Simulation and Experimental Research on the Mechanisms of Lantern-Shaped Strand Defects in the Conductor Construction of Transmission Line. Structures 2024, 59, 105727. [Google Scholar]
- Vu, K.K.; D’Ambrosio, C.; Hamadi, Y.; Liberti, L. Surrogate-Based Methods for Black-Box Optimization. Int. Trans. Oper. Res. 2017, 24, 393–424. [Google Scholar] [CrossRef]
- Qu, J.; Su, H.F. Surrogate-Model-Based Design Optimization of Ventilated Disc Brake Rotors. Eng. Mech. 2013, 30, 332–339. [Google Scholar]
- Forrester, A.; Sobester, A.; Keane, A. Engineering Design via Surrogate Modelling: A Practical Guide; John Wiley & Sons: Southampton, UK, 2008. [Google Scholar]
- Krige, D.G. A Statistical Approach to Some Basic Mine Valuation Problems on the Witwatersrand. J. Chem. Metall. Min. Eng. Soc. S. Afr. 1951, 52, 119–139. [Google Scholar]
- Meng, M.M. Short-Term District Heating Network Load Forecasting Based on RBF Neural Networks. Master’s Thesis, Harbin Institute of Technology, Harbin, China, 2013. [Google Scholar]
- Deng, L. Orthogonal Arrays: Theory and Applications. Technometrics 2000, 42, 440. [Google Scholar] [CrossRef]
- McKay, M.D.; Beckman, R.J.; Conover, W.J. A Comparison of Three Methods for Selecting Values of Input Variables in the Analysis of Output from a Computer Code. Technometrics 2012, 21, 239–245. [Google Scholar]
- Zhang, W.Z.; Feng, F.; Ren, Y.N.; Sun, Y.Y. Optimal Groove Design of Cylindrical Gas Seal Based on Approximate Model. J. Lanzhou Univ. Technol. 2023, 49, 67–76. [Google Scholar]
- Zhang, H.Y. Parameter Design and Optimization of High-Speed Trains Based on Radial Basis Function Networks. Master’s Thesis, Southwest Jiaotong University, Chengdu, China, 2015. [Google Scholar]
- Peng, S.S. Design Optimization Method for Transmission Towers Based on an Adaptive Surrogate Model. Master’s Thesis, Chongqing University, Chongqing, China, 2021. [Google Scholar]
- Deb, K.; Pratap, A.; Agarwal, S.; Meyarivan, T. A Fast and Elitist Multiobjective Genetic Algorithm: NSGA-II. IEEE Trans. Evol. Comput. 2002, 6, 182–197. [Google Scholar] [CrossRef]
- GB/T 1179-2017; Round Wire Concentric Lay Overhead Electrical Stranded Conductors. AQSIQ & SAC: Beijing, China, 2017.








| Layer Order | No. of Strands | Diameter (mm) | Lay Ratio | Elastic Modulus (GPa) | Poisson’s Ratio |
|---|---|---|---|---|---|
| Layer 0 | 1 | 2.81 | / | 196 | 0.28 |
| Layer 1 | 6 | 2.81 | 16–26 | 196 | 0.28 |
| Layer 2 | 9 | 4.22 | 10–16 | 59 | 0.3 |
| Layer 3 | 15 | 4.22 | 10–16 | 59 | 0.3 |
| Layer 4 | 21 | 4.22 | 10–12 | 59 | 0.3 |
| Metric | AEN (≤0.2) | MEN (≤0.3) | RMSEN (≤0.2) | R2 (≥0.9) |
|---|---|---|---|---|
| M15 fitting accuracy | 0.005 | 0.012 | 0.007 | 1.000 |
| M20 fitting accuracy | 0.005 | 0.011 | 0.006 | 1.000 |
| M25 fitting accuracy | 0.004 | 0.010 | 0.005 | 1.000 |
| Item | Before Optimization | Optimized Result | |
|---|---|---|---|
| m1 (16–26) | 21 | 16 | |
| m2 (10–16) | 13 | 16 | |
| m3 (10–16) | 13 | 12 | |
| m4 (10–12) | 11 | 12 | |
| Conductor torque M15 (N·m) | RBFNN computed value | 19.66 | 15.87 |
| Theoretical value | 19.67 | 16.10 | |
| Relative error | −0.05% | −1.43% | |
| Conductor torque M20 (N·m) | RBFNN computed value | 26.24 | 21.21 |
| Theoretical value | 26.25 | 21.55 | |
| Relative error | −0.04% | −1.58% | |
| Conductor torque M25 (N·m) | RBFNN computed value | 32.90 | 26.54 |
| Theoretical value | 32.91 | 26.99 | |
| Relative error | −0.03% | −1.67% | |
Disclaimer/Publisher’s Note: The statements, opinions and data contained in all publications are solely those of the individual author(s) and contributor(s) and not of MDPI and/or the editor(s). MDPI and/or the editor(s) disclaim responsibility for any injury to people or property resulting from any ideas, methods, instructions or products referred to in the content. |
© 2025 by the authors. Licensee MDPI, Basel, Switzerland. This article is an open access article distributed under the terms and conditions of the Creative Commons Attribution (CC BY) license.
Share and Cite
Qiao, L.; Qin, J.; Lin, B.; Zhang, F.; Jiang, M. Tension–Torsion Coupling Analysis and Structural Parameter Optimization of Conductor Based on RBFNN Surrogate Model. Appl. Sci. 2026, 16, 408. https://doi.org/10.3390/app16010408
Qiao L, Qin J, Lin B, Zhang F, Jiang M. Tension–Torsion Coupling Analysis and Structural Parameter Optimization of Conductor Based on RBFNN Surrogate Model. Applied Sciences. 2026; 16(1):408. https://doi.org/10.3390/app16010408
Chicago/Turabian StyleQiao, Liang, Jian Qin, Bo Lin, Feikai Zhang, and Ming Jiang. 2026. "Tension–Torsion Coupling Analysis and Structural Parameter Optimization of Conductor Based on RBFNN Surrogate Model" Applied Sciences 16, no. 1: 408. https://doi.org/10.3390/app16010408
APA StyleQiao, L., Qin, J., Lin, B., Zhang, F., & Jiang, M. (2026). Tension–Torsion Coupling Analysis and Structural Parameter Optimization of Conductor Based on RBFNN Surrogate Model. Applied Sciences, 16(1), 408. https://doi.org/10.3390/app16010408
