Polarization Effect in Contactless X-Band Detection of Bars in Reinforced Concrete Structures
Abstract
1. Introduction
2. Materials and Methods
2.1. Theoretical Framework
2.2. Numerical Analysis
2.3. Experimental Setup
2.4. Target Description and Measurements
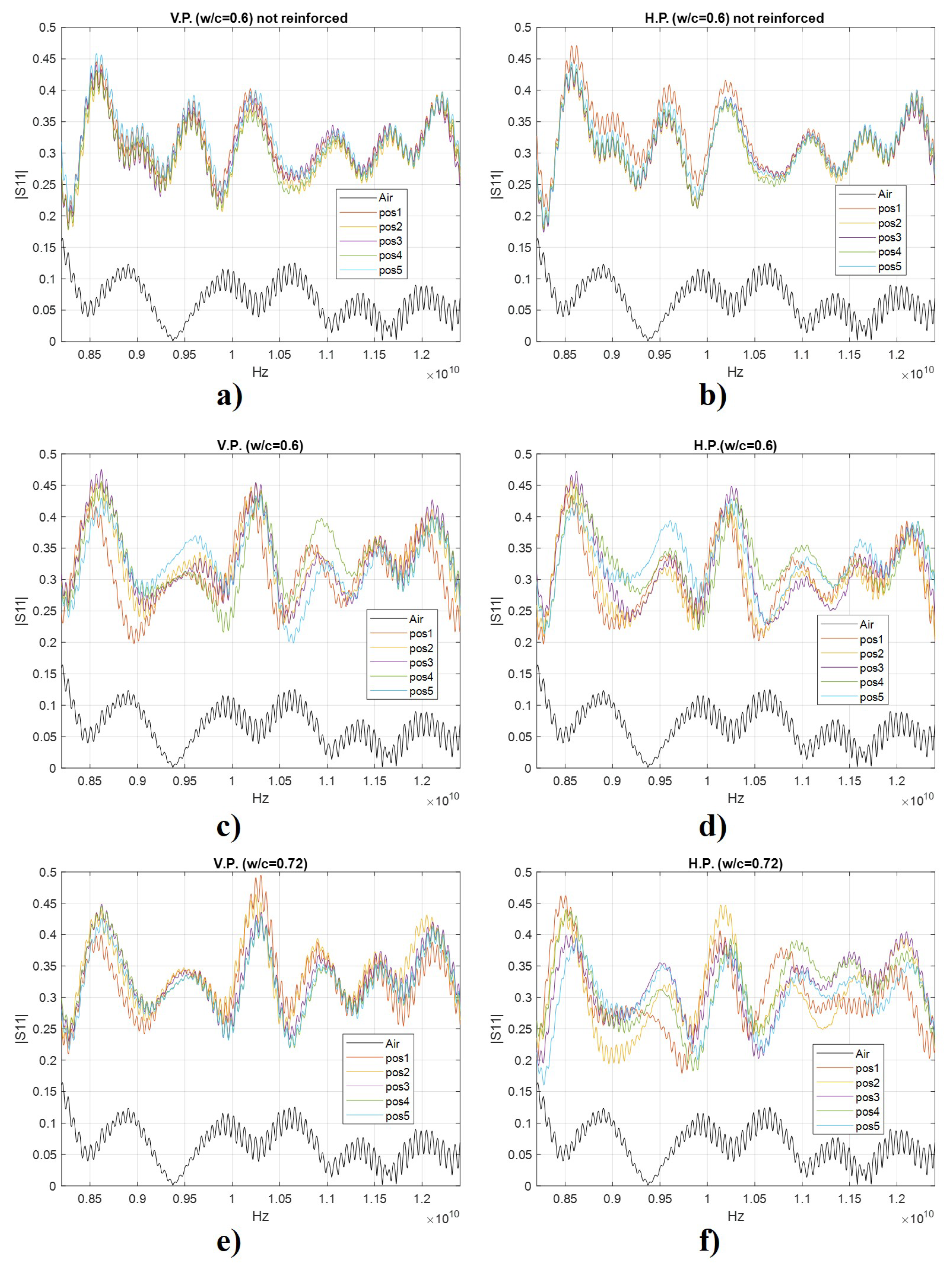
3. Results and Discussion
4. Conclusions
Author Contributions
Funding
Institutional Review Board Statement
Informed Consent Statement
Data Availability Statement
Acknowledgments
Conflicts of Interest
Abbreviations
| NDT | Non-Destructive Testing |
| GPR | Ground Penetrating Radar |
| VNA | Vector Network Analyzer |
Appendix A
Appendix A.1. TE Case
Appendix A.2. TM Case
References
- Maldague, X.P. Theory and Practice of Infrared Technology for Nondestructive Testing; John Wiley & Sons: New York, NY, USA, 2001. [Google Scholar]
- Hellier, C. Handbook of Nondestructive Evaluation; McGraw-Hill: New York, NY, USA, 2012. [Google Scholar]
- Di Gennaro, L.; de Cristofaro, M.; Loreto, G.; Minutolo, V.; Olivares, L.; Zona, R.; Frunzio, G. In-situ load testing of an ancient masonry structure using fibre optics. Structures 2024, 70, 107567. [Google Scholar] [CrossRef]
- Liu, H.; Zhong, J.; Ding, F.; Meng, X.; Liu, C.; Cui, J. Detection of early-stage rebar corrosion using a polarimetric ground penetrating radar system. Constr. Build. Mater. 2022, 317, 125768. [Google Scholar] [CrossRef]
- Dinh, K.; Gucunski, N.; Tran, K.; Novo, A.; Nguyen, T. Full-resolution 3D imaging for concrete structures with dual-polarization GPR. Autom. Constr. 2021, 125, 103652. [Google Scholar] [CrossRef]
- Franceschelli, L.; Iaccheri, E.; Franzoni, E.; Berardinelli, A.; Ragni, L.; Mazzotti, C.; Tartagni, M. Non-intrusive microwave technique for direct detection of concrete compressive strength monitoring by multivariate modeling. Measurement 2023, 206, 112332. [Google Scholar] [CrossRef]
- Palladino, S.; Fraldi, M.; Minutolo, V.; Esposito, L. Steering cracks via auxetic zebra-composites. Eng. Fract. Mech. 2025, 327, 111486. [Google Scholar] [CrossRef]
- Yan, W.; Ren, Z.; Fan, X.; Yan, Z.; Shen, L. Multi-scale pore model construction and damage behavior analysis of SiCf/SiC composite tubes. Mater. Charact. 2024, 214, 114083. [Google Scholar] [CrossRef]
- Li, Y.; Si, Y.; Zhang, K.; Zhu, Y. Investigation of interface mechanics and crack propagation in warm-mixed rubber asphalt mixture under salt-freeze-thaw conditions. Constr. Build. Mater. 2025, 458, 139750. [Google Scholar] [CrossRef]
- Meng, X.; Wen, W.-B.; Feng, F.; Liao, J.; Zhang, S.; Li, L.; Huang, F. Mechanical properties and damage characteristics of modified polyurethane concrete under uniaxial and cyclic compression. Constr. Build. Mater. 2025, 458, 139633. [Google Scholar] [CrossRef]
- Belytschko, T.; Black, T. Elastic crack growth in finite elements with minimal remeshing. Int. J. Numer. Methods Eng. 1999, 45, 601–620. [Google Scholar] [CrossRef]
- Kaveh, A.; Khayatazad, M. A new meta-heuristic method: Ray Optimization. Comput. Struct. 2012, 112–113, 283–294. [Google Scholar] [CrossRef]
- Zona, R.; Minutolo, V. A dislocation-based finite element method for plastic collapse assessment in solid mechanics. Arch. Appl. Mech. 2024, 94, 1531–1552. [Google Scholar] [CrossRef]
- Daniels, D.J. Ground Penetrating Radar, 2nd ed.; The Institution of Electrical Engineers: London, UK, 2004. [Google Scholar]
- Roudsari, S.S.; Okore-Hanson, T.; Hamoush, S.A.; Yi, S.; Shalbaftabar, A. Robotic destructive and nondestructive testing of concrete structures. Structures 2024, 70, 107564. [Google Scholar] [CrossRef]
- McCann, D.M.; Forde, M.C. Review of NDT methods in the assessment of concrete and masonry structures. NDT E Int. 2001, 34, 71–84. [Google Scholar] [CrossRef]
- Masoodi, M.; Taromideh, H. Optimal and uniform sensor arrangement in near-field imaging. J. Comput. Appl. Math. 2025, 454, 116188. [Google Scholar] [CrossRef]
- Luomei, Y.; Yin, T.; Tan, K.; Chen, X. Geometric approach for determining stationary phase points in radar imaging. Inverse Probl. 2024, 40, 045002. [Google Scholar] [CrossRef]
- Bellomo, L.; Pioch, S.; Saillard, M.; Belkebir, K. An improved antenna calibration methodology for microwave diffraction tomography in limited-aspect configurations. IEEE Trans. Antennas Propag. 2014, 62, 2450–2462. [Google Scholar] [CrossRef]
- Brancaccio, A. A quasi-quadratic inverse scattering approach to detect and localize metallic bars within a dielectric. Appl. Sci. 2022, 12, 9217. [Google Scholar] [CrossRef]
- Brancaccio, A.; Palladino, S. Contactless X-band detection of steel bars in cement: A preliminary numerical and experimental analysis. Remote Sens. 2024, 16, 2037. [Google Scholar] [CrossRef]
- Sun, H.-H.; Cheng, W.; Fan, Z. Diameter estimation of cylindrical metal bar using wideband dual-polarized ground-penetrating radar. IEEE Trans. Instrum. Meas. 2023, 72, 8000714. [Google Scholar] [CrossRef]
- Liu, H.; Zhang, B.; Yan, L.; Meng, X.; Zhou, J.; Cui, J.; Spencer, B.F. Rebar characterization using dual-polarization GPR. NDT E Int. 2025, 154, 103391. [Google Scholar] [CrossRef]
- Harrington, R.F. Time-Harmonic Electromagnetic Fields; IEEE Press: Piscataway, NJ, USA; John Wiley & Sons, Inc.: New York, NY, USA, 2001. [Google Scholar]
- Balanis, C.A. Antenna Theory: Analysis and Design, 2nd ed.; John Wiley & Sons, Inc.: New York, NY, USA, 1997. [Google Scholar]











| a [mm] | (Min–Max) | |
|---|---|---|
| 6 | 4 | 0.328–0.496 |
| 7 | 4 | 0.383–0.579 |
| 8 | 4 | 0.437–0.661 |
| 6 | 9 | 0.492–0.744 |
| 7 | 9 | 0.574–0.868 |
| 8 | 9 | 0.656–0.992 |
| Horn | Frequency [GHz] | [dBi] | Beamwidth (Az/El) [deg] |
|---|---|---|---|
| transmitting | 8.2 | 14.44 | 33/37 |
| transmitting | 10.0 | 15.85 | 25/29 |
| transmitting | 12.4 | 17.09 | 21/26 |
| receiving | 8.2 | 9.28 | 54/66 |
| receiving | 10.0 | 10.68 | 47/60 |
| receiving | 12.4 | 12.61 | 37/51 |
Disclaimer/Publisher’s Note: The statements, opinions and data contained in all publications are solely those of the individual author(s) and contributor(s) and not of MDPI and/or the editor(s). MDPI and/or the editor(s) disclaim responsibility for any injury to people or property resulting from any ideas, methods, instructions or products referred to in the content. |
© 2025 by the authors. Licensee MDPI, Basel, Switzerland. This article is an open access article distributed under the terms and conditions of the Creative Commons Attribution (CC BY) license.
Share and Cite
Brancaccio, A.; Palladino, S. Polarization Effect in Contactless X-Band Detection of Bars in Reinforced Concrete Structures. Appl. Sci. 2026, 16, 412. https://doi.org/10.3390/app16010412
Brancaccio A, Palladino S. Polarization Effect in Contactless X-Band Detection of Bars in Reinforced Concrete Structures. Applied Sciences. 2026; 16(1):412. https://doi.org/10.3390/app16010412
Chicago/Turabian StyleBrancaccio, Adriana, and Simone Palladino. 2026. "Polarization Effect in Contactless X-Band Detection of Bars in Reinforced Concrete Structures" Applied Sciences 16, no. 1: 412. https://doi.org/10.3390/app16010412
APA StyleBrancaccio, A., & Palladino, S. (2026). Polarization Effect in Contactless X-Band Detection of Bars in Reinforced Concrete Structures. Applied Sciences, 16(1), 412. https://doi.org/10.3390/app16010412
