High-Fidelity Colorimetry Using Cross-Polarized Hyperspectral Imaging and Machine Learning Calibration
Abstract
1. Introduction
2. Materials and Methods
2.1. Experimental Materials and Instruments
2.1.1. HSI System
2.1.2. Polarization Efficiency and Specular Quantification
2.1.3. Experimental Samples
2.2. Data Acquisition and Processing Pipeline
2.2.1. Hyperspectral Data Acquisition and Radiometric Calibration
2.2.2. Data Processing and Colorimetric Parameter Calculation
2.3. Methods for Measurement System Performance Evaluation
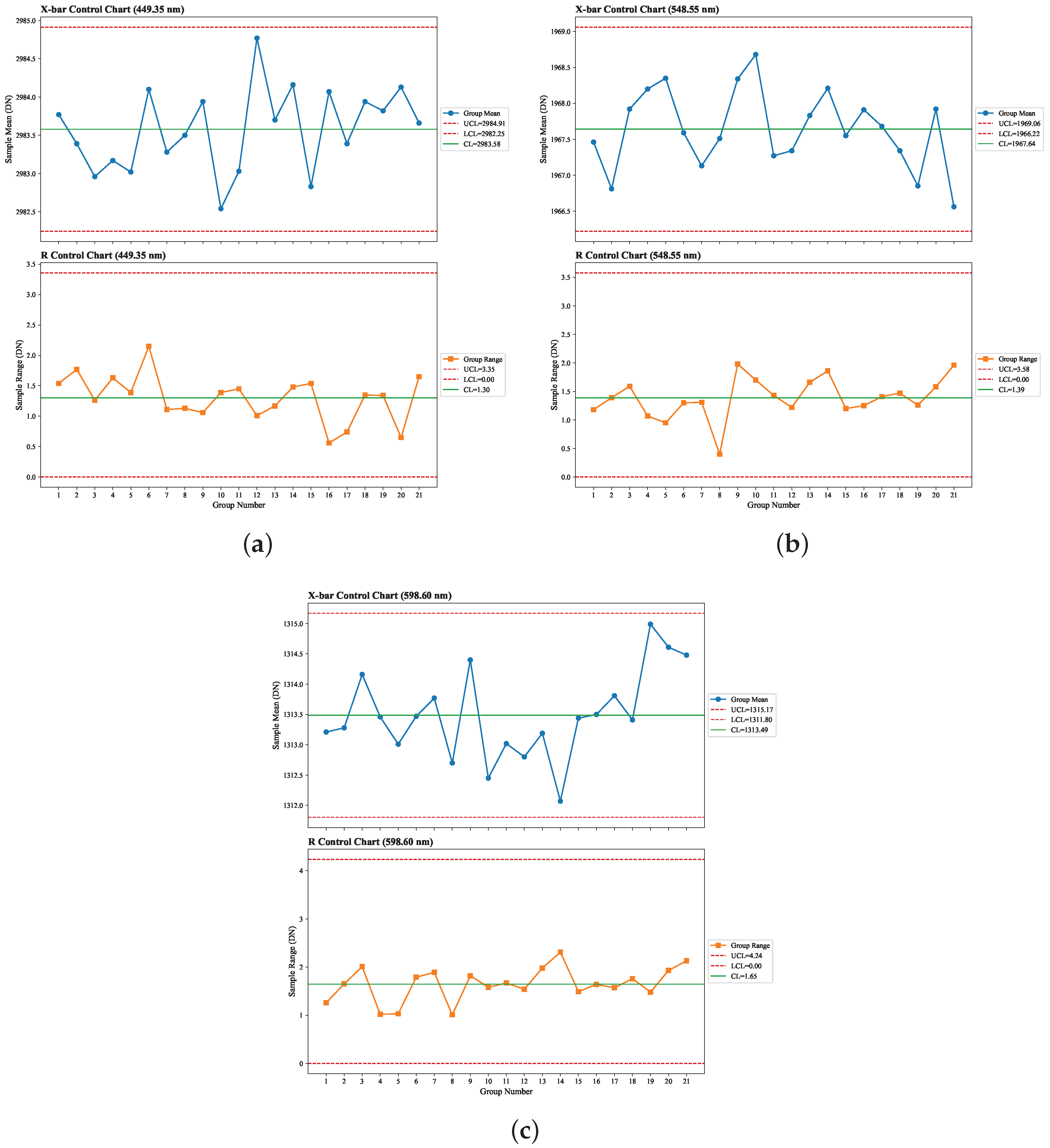
2.3.1. Stability Assessment
2.3.2. Repeatability Assessment
2.3.3. Color Calibration
2.4. Application Experiment Design
2.4.1. Evaluation of Hyperspectral Minute Color Difference Discrimination
2.4.2. Cosmetic Effect Validation and Color Matching
2.5. Spectral Jitter Analysis
3. Results and Discussion
3.1. Measurement System Performance
3.1.1. Stability
3.1.2. Repeatability
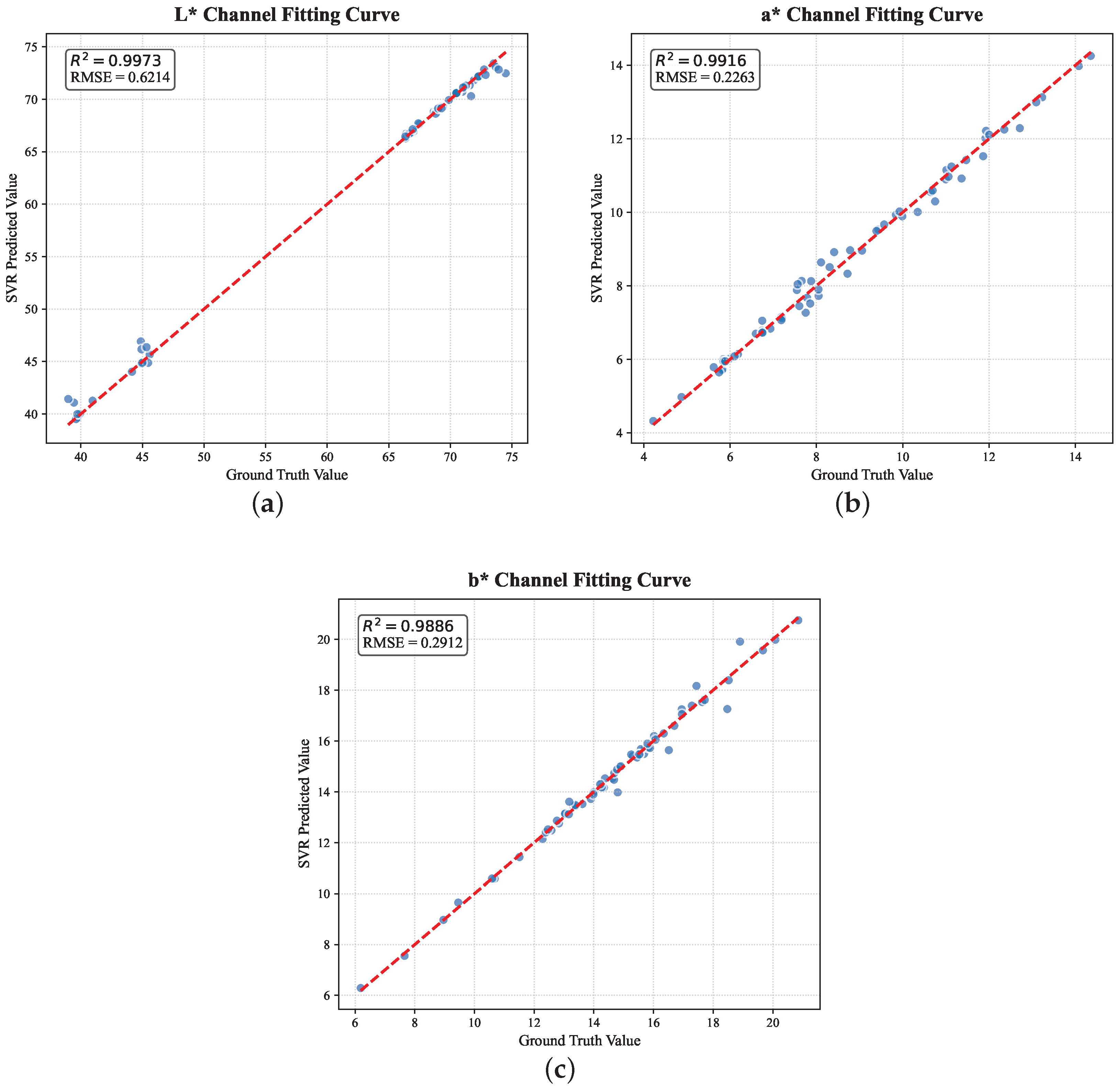
3.2. Color Calibration Performance
3.3. Application Experiment Results
3.3.1. Minute Color Difference Discrimination Capability
3.3.2. Spectral Jitter and SNR Robustness Analysis
3.3.3. Subject Skin Makeup Effect Validation and Best-Match Swatch Analysis
4. Conclusions
Author Contributions
Funding
Institutional Review Board Statement
Informed Consent Statement
Data Availability Statement
Acknowledgments
Conflicts of Interest
References
- Wyszecki, G.; Stiles, W.S. Color Science: Concepts and Methods, Quantitative Data and Formulae; John Wiley & Sons: Hoboken, NJ, USA, 2000. [Google Scholar]
- Fairchild, M.D. Color Appearance Models; John Wiley & Sons: Hoboken, NJ, USA, 2013. [Google Scholar]
- Hunt, R.W.G.; Pointer, M.R. Measuring Colour; John Wiley & Sons: Hoboken, NJ, USA, 2011. [Google Scholar]
- Li, D.; Park, B.; Kang, R.; Chen, Q.; Ouyang, Q. Quantitative prediction and visualization of matcha color physicochemical indicators using hyperspectral microscope imaging technology. Food Control 2024, 163, 110531. [Google Scholar] [CrossRef]
- Moon, S.; Chae, Y. Quantitative analysis of the color accuracy and reproducibility in digital textile printing: Discrepancies within color reproduction media. Text. Res. J. 2025, 95, 1053–1069. [Google Scholar] [CrossRef]
- Žeger, I.; Grgic, S.; Vuković, J.; Šišul, G. Grayscale image colorization methods: Overview and evaluation. IEEE Access 2021, 9, 113326–113346. [Google Scholar] [CrossRef]
- Hassan, L. Reintegration technique (Missing parts): In conservation-restoration of antiquities. Int. J. Archaeol. 2022, 10, 38–45. [Google Scholar]
- Wilson, B.N.; Sun, M.; Ashbaugh, A.G.; Ohri, S.; Yeh, C.; Murrell, D.F.; Murase, J.E. Assessment of skin of color and diversity and inclusion content of dermatologic published literature: An analysis and call to action. Int. J. Women’s Dermatol. 2021, 7, 391–397. [Google Scholar] [CrossRef] [PubMed]
- Christodoulou, M.C.; Orellana Palacios, J.C.; Hesami, G.; Jafarzadeh, S.; Lorenzo, J.M.; Domínguez, R.; Moreno, A.; Hadidi, M. Spectrophotometric methods for measurement of antioxidant activity in food and pharmaceuticals. Antioxidants 2022, 11, 2213. [Google Scholar] [CrossRef]
- Yamanel, K.; Caglar, A.; Oezcan, M.; Gulsah, K.; Bagis, B. Assessment of color parameters of composite resin shade guides using digital imaging versus colorimeter. J. Esthet. Restor. Dent. 2010, 22, 379–388. [Google Scholar] [CrossRef]
- Lins, R.G.; Santos, R.E.d.; Gaspar, R. Vision-based measurement for quality control inspection in the context of Industry 4.0: A comprehensive review and design challenges. J. Braz. Soc. Mech. Sci. Eng. 2023, 45, 229. [Google Scholar] [CrossRef]
- Niu, M.; Li, Z.; Zhong, Z.; Zheng, Y. Visibility constrained wide-band illumination spectrum design for seeing-in-the-dark. In Proceedings of the IEEE/CVF Conference on Computer Vision and Pattern Recognition, Vancouver, BC, Canada, 17–24 June 2023; pp. 13976–13985. [Google Scholar]
- Ludaš, A.; Glogar, M.I.; Ražić, S.E. Metamerism problem in the colour recipe calculation. In Proceedings of the IOP Conference Series: Earth and Environmental Science; IOP Publishing: Bristol, UK, 2024; Volume 1380, p. 012025. [Google Scholar]
- Bhargava, A.; Sachdeva, A.; Sharma, K.; Alsharif, M.H.; Uthansakul, P.; Uthansakul, M. Hyperspectral imaging and its applications: A review. Heliyon 2024, 10, e33208. [Google Scholar] [CrossRef]
- Yoon, J. Hyperspectral imaging for clinical applications. BioChip J. 2022, 16, 1–12. [Google Scholar] [CrossRef]
- Shao, Y.; Ji, S.; Shi, Y.; Xuan, G.; Jia, H.; Guan, X.; Chen, L. Growth period determination and color coordinates visual analysis of tomato using hyperspectral imaging technology. Spectrochim. Acta Part A Mol. Biomol. Spectrosc. 2024, 319, 124538. [Google Scholar] [CrossRef]
- Liang, H. Advances in multispectral and hyperspectral imaging for archaeology and art conservation. Appl. Phys. A 2012, 106, 309–323. [Google Scholar] [CrossRef]
- Zeng, Z.; Qiu, S.; Zhang, P.; Tang, X.; Li, S.; Liu, X.; Hu, B. Virtual restoration of ancient tomb murals based on hyperspectral imaging. Herit. Sci. 2024, 12, 410. [Google Scholar] [CrossRef]
- Kistamah, N. The applications of artificial intelligence in the textile industry. In Artificial Intelligence, Engineering Systems and Sustainable Development: Driving the UN SDGs; Emerald Publishing Limited: Leeds, UK, 2024; pp. 257–269. [Google Scholar]
- Ingle, N.; Jasper, W.J. A review of deep learning and artificial intelligence in dyeing, printing and finishing. Text. Res. J. 2025, 95, 625–657. [Google Scholar] [CrossRef]
- Dziki, P.; Pieszczek, L.; Daszykowski, M. Toward more efficient and effective color quality control for the large-scale offset printing process. J. Chemom. 2024, 38, e3543. [Google Scholar] [CrossRef]
- Artusi, A.; Banterle, F.; Chetverikov, D. A survey of specularity removal methods. Comput. Graph. Forum 2011, 30, 2208–2230. [Google Scholar] [CrossRef]
- Wang, S. Evaluating cross-building transferability of attention-based automated fault detection and diagnosis for air handling units: Auditorium and hospital case study. Build. Environ. 2025, 287, 113889. [Google Scholar] [CrossRef]
- Zhang, F.; Shi, L.; Li, L.; Zhou, Y.; Tian, L.; Cui, X.; Gao, Y. Nondestructive detection for adulteration of panax notoginseng powder based on hyperspectral imaging combined with arithmetic optimization algorithm-support vector regression. J. Food Process Eng. 2022, 45, e14096. [Google Scholar] [CrossRef]
- Wang, S. Development of approach to an automated acquisition of static street view images using transformer architecture for analysis of Building characteristics. Sci. Rep. 2025, 15, 29062. [Google Scholar] [CrossRef]
- Burns, P.D.; Berns, R.S. Error propagation analysis in color measurement and imaging. Color Res. Appl. 1997, 22, 280–289. [Google Scholar] [CrossRef]
- Luo, M.R.; Cui, G.; Rigg, B. The development of the CIE 2000 colour-difference formula: CIEDE2000. Color Res. Appl. 2001, 26, 340–350. [Google Scholar] [CrossRef]
- Montgomery, D.C. Introduction to Statistical Quality Control; John Wiley & Sons: Hoboken, NJ, USA, 2020. [Google Scholar]
- Zanobini, A.; Sereni, B.; Catelani, M.; Ciani, L. Repeatability and reproducibility techniques for the analysis of measurement systems. Measurement 2016, 86, 125–132. [Google Scholar] [CrossRef]
- Ramedani, Z.; Omid, M.; Keyhani, A.; Shamshirband, S.; Khoshnevisan, B. Potential of radial basis function based support vector regression for global solar radiation prediction. Renew. Sustain. Energy Rev. 2014, 39, 1005–1011. [Google Scholar] [CrossRef]
- Sejuti, Z.A.; Islam, M.S. A hybrid CNN–KNN approach for identification of COVID-19 with 5-fold cross validation. Sens. Int. 2023, 4, 100229. [Google Scholar] [CrossRef] [PubMed]
- Fürnkranz, J. Round robin classification. J. Mach. Learn. Res. 2002, 2, 721–747. [Google Scholar]
- Shorten, C.; Khoshgoftaar, T.M. A survey on image data augmentation for deep learning. J. Big Data 2019, 6, 1–48. [Google Scholar] [CrossRef]
- Laganà, F.; Pratticò, D.; Angiulli, G.; Oliva, G.; Pullano, S.A.; Versaci, M.; La Foresta, F. Development of an Integrated System of sEMG Signal Acquisition, Processing, and Analysis with AI Techniques. Signals 2024, 5, 476–493. [Google Scholar] [CrossRef]
- Breiman, L. Random forests. Mach. Learn. 2001, 45, 5–32. [Google Scholar] [CrossRef]
- Wang, G.; Zhang, R.; Bu, H. Research on pixel SNR of low light image sensor. In Proceedings of the AOPC 2024: Optical Devices and Integration, Beijing, China, 23–26 July 2024; SPIE: Bellingham, WA, USA, 2024; Volume 13499, pp. 75–79. [Google Scholar]
- Zhang, D. Coefficients of determination for mixed-effects models. J. Agric. Biol. Environ. Stat. 2022, 27, 674–689. [Google Scholar] [CrossRef]
- Heydarian, M.; Doyle, T.E.; Samavi, R. MLCM: Multi-label confusion matrix. IEEE Access 2022, 10, 19083–19095. [Google Scholar] [CrossRef]
- Miao, J.; Zhu, W. Precision–recall curve (PRC) classification trees. Evol. Intell. 2022, 15, 1545–1569. [Google Scholar] [CrossRef]









| Channel | C | ||
|---|---|---|---|
| 5000 | 0.001 | 0.1 | |
| 100 | 0.01 | 0.1 | |
| 1000 | 0.001 | 0.1 |
| Channel | RMSE | |
|---|---|---|
| L* | 0.9973 | 0.6214 |
| a* | 0.9916 | 0.2263 |
| b* | 0.9886 | 0.2912 |
| Metrics | Pre-Calibration | Post-Calibration |
|---|---|---|
| Mean | 4.36 | 0.43 |
| Maximum | 10.18 | 2.18 |
| Median | 3.10 | 0.25 |
| Std Dev of | 2.47 | 0.45 |
| Label | Precision | Recall | F1-Score |
|---|---|---|---|
| Class 1 | 0.984 | 0.997 | 0.990 |
| Class 2 | 0.998 | 1.000 | 0.999 |
| Class 3 | 0.996 | 0.986 | 0.991 |
| Class 4 | 0.988 | 0.990 | 0.989 |
| Class 5 | 1.000 | 0.992 | 0.996 |
| Measurement Area | L* | a* | b* | |
|---|---|---|---|---|
| Bare Skin | 59.01 | 9.8 | 17.2 | - |
| Maybelline | 67.74 | 8.06 | 13.59 | 7.69 |
| Puadaier | 50.86 | 17.82 | 24.3 | 9.60 |
| Region | |||||||
|---|---|---|---|---|---|---|---|
| Original | 59.01 | 9.8 | 17.2 | 59.79 | 11.49 | 18.60 | 1.56 |
| Maybelline | 67.74 | 8.06 | 13.586 | 67.85 | 8.92 | 14.34 | 0.82 |
| Puadaier | 50.86 | 17.82 | 24.3 | 49.39 | 13.78 | 21.31 | 2.97 |
Disclaimer/Publisher’s Note: The statements, opinions and data contained in all publications are solely those of the individual author(s) and contributor(s) and not of MDPI and/or the editor(s). MDPI and/or the editor(s) disclaim responsibility for any injury to people or property resulting from any ideas, methods, instructions or products referred to in the content. |
© 2025 by the authors. Licensee MDPI, Basel, Switzerland. This article is an open access article distributed under the terms and conditions of the Creative Commons Attribution (CC BY) license.
Share and Cite
He, Z.; Luo, L.; Yu, X.; Guo, Y.; Hong, W. High-Fidelity Colorimetry Using Cross-Polarized Hyperspectral Imaging and Machine Learning Calibration. Appl. Sci. 2026, 16, 314. https://doi.org/10.3390/app16010314
He Z, Luo L, Yu X, Guo Y, Hong W. High-Fidelity Colorimetry Using Cross-Polarized Hyperspectral Imaging and Machine Learning Calibration. Applied Sciences. 2026; 16(1):314. https://doi.org/10.3390/app16010314
Chicago/Turabian StyleHe, Zhihao, Li Luo, Xiangyang Yu, Yuchen Guo, and Weibin Hong. 2026. "High-Fidelity Colorimetry Using Cross-Polarized Hyperspectral Imaging and Machine Learning Calibration" Applied Sciences 16, no. 1: 314. https://doi.org/10.3390/app16010314
APA StyleHe, Z., Luo, L., Yu, X., Guo, Y., & Hong, W. (2026). High-Fidelity Colorimetry Using Cross-Polarized Hyperspectral Imaging and Machine Learning Calibration. Applied Sciences, 16(1), 314. https://doi.org/10.3390/app16010314

