Prediction of Mean Fragmentation Size in Open-Pit Mine Blasting Operations Using Histogram-Based Gradient Boosting and Grey Wolf Optimization Approach
Abstract
1. Introduction
2. Methods
2.1. Data Description
2.2. Machine Learning Algorithms
2.2.1. Tree-Based Boosting Algorithms
2.2.2. Extra Trees Algorithm
2.3. Optimization Algorithms
2.3.1. Grey Wolf Optimizer (GWO)
- Pursuing and encircling prey
- 2.
- Hunting and attacking the prey
2.3.2. Particle Swarm Optimization (PSO)
2.4. Shapley Additive Explanation
2.5. Local Interpretable Model-Agnostic Explanations
2.6. Neural Network Sensitivity Analysis
2.6.1. Perturbation-Based SA
2.6.2. Gradient-Based SA
2.6.3. Variance-Based SA
3. Model Development
4. Results and Discussion
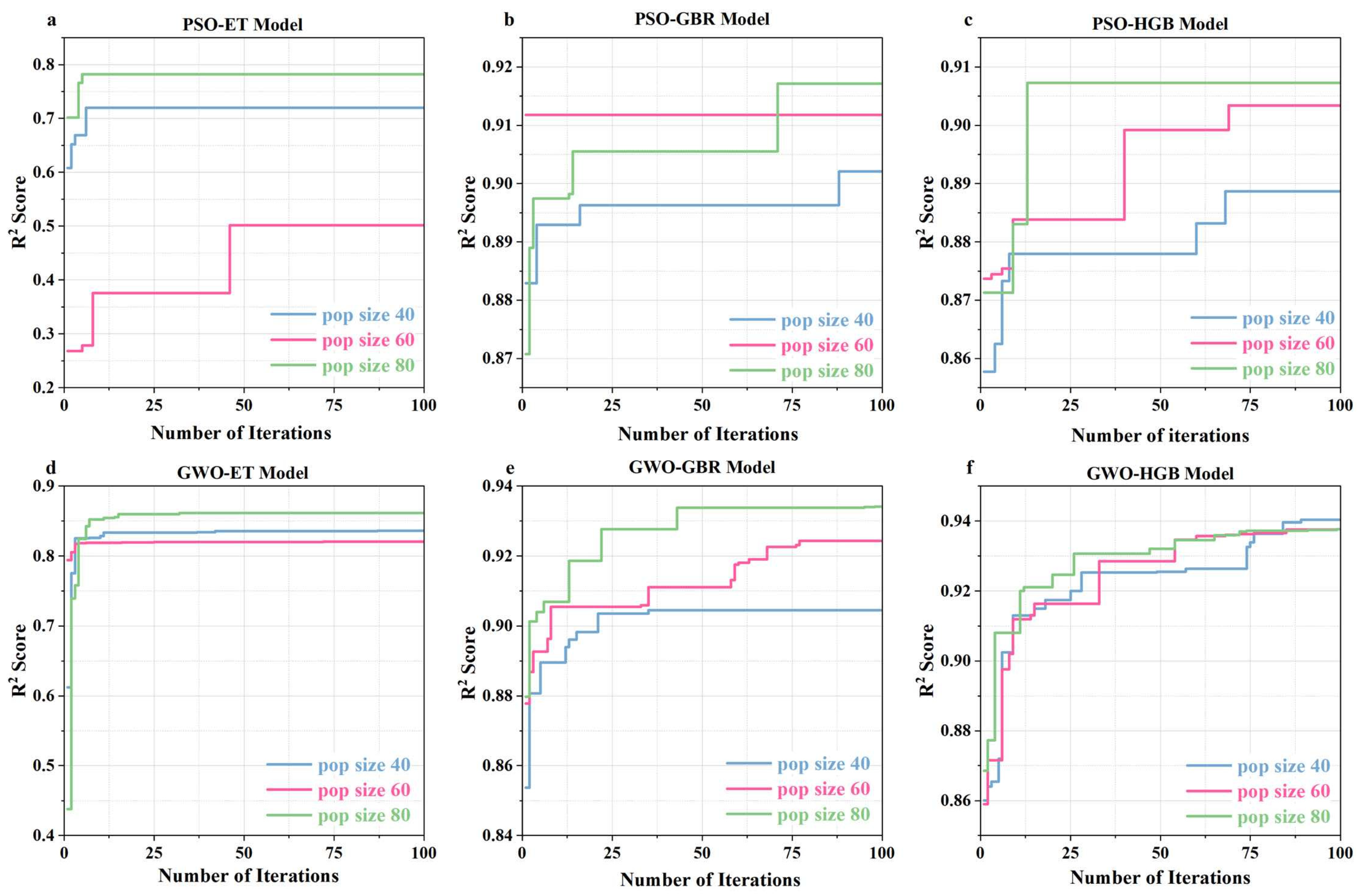
4.1. Optimization Process
4.2. Comparison of the Model Performance
4.3. Model Interpretation
4.3.1. SHAP
4.3.2. LIME
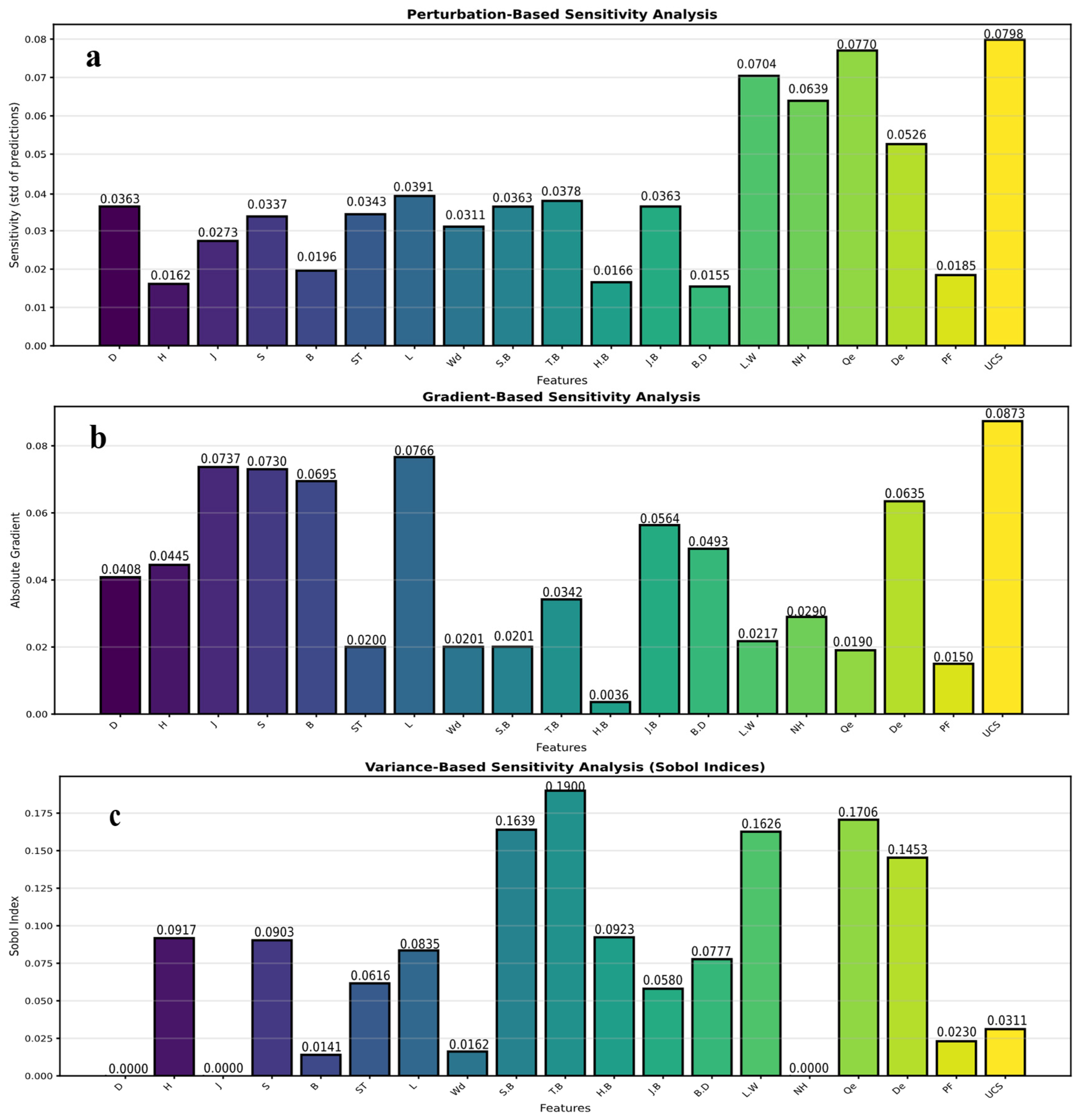
4.3.3. Neural Network-Based Sensitivity Analysis
4.4. Limitations
- The number of data samples used was small, making it challenging to obtain useful insights.
- Owing to the small dataset that the model was trained on, there is a potential risk of the model overfitting the data, as the model fails to learn all the patterns; instead, it memorizes the data. Particularly, this was observed with the PSO-GBR model.
- The comparison of additional swarm sizes and iterations was hindered due to insufficient computational resources.
- The models were solely evaluated on static data, not on time-dependent data; hence, an additional study is required to ascertain their performance with real-time data.
- The feasibility of these models to manage unfiltered and noisy dynamic large-scale data in real-time was not tested.
- Other powerful tree-based regression tools, such as random forest, Catboost, and LightGBM, were not explored and compared in this study.
5. Conclusions
- According to the MI regression technique, the stemming–burden ratio, stemming, sub-grade drilling–burden ratio, number of holes, burden–blast hole diameter ratio, and unconfined compressive strength are the most closely related parameters to the mean fragmentation size.
- The GWO-HGB model obtained the best performance among all models, achieving R2, RMSE, MAE, and MAPE values of 0.9403, 0.0251, 0.0185, and 0.0561, respectively, on the test set. This demonstrates its dependability for blasting applications due to its high precision, capacity to manage noisy data, and minimal risk of overfitting. This paper presents a unique hybrid intelligent framework that combines tree-based regression models with metaheuristic optimizers (GWO and PSO) to improve the prediction of mean fragmentation size in blasting operations. The integration of SHAP, LIME, and neural network-based sensitivity analysis enhances model interpretability, providing both enhanced predictability and a more profound comprehension of the essential factors affecting fragmentation behavior. In comparison with other AI models created in different research utilizing the same dataset, the models in this study exhibited superior performance.
- The unconfined compressive strength was the most critical feature, whereas bench height was determined to be the least significant for predicting mean fragmentation size. SHAP, LIME, and neural network-based sensitivity analysis indicate that elevated unconfined compressive strength values enhance the model’s predictions more than lower values. Nonetheless, elevated unconfined compressive strength values may not necessarily yield superior blasting outcomes, as such rocks absorb a smaller proportion of the blast’s total energy and transmit a greater amount as ground vibrations, posing an environmental risk. Furthermore, sensitivity analysis utilizing neural networks indicated that the significance of unconfined compressive strength may be region-specific. These predictive outcomes offer significant assistance for complex blasting designs.
Author Contributions
Funding
Institutional Review Board Statement
Informed Consent Statement
Data Availability Statement
Conflicts of Interest
References
- Cheng, R.; Zhou, Z.; Chen, W.; Hao, H. Effects of Axial Air Deck on Blast-Induced Ground Vibration. Rock Mech. Rock Eng. 2022, 55, 1037–1053. [Google Scholar] [CrossRef]
- Hu, H.; Lu, W.; Yan, P.; Chen, M.; Gao, Q.; Yang, Z. A new horizontal rock dam foundation blasting technique with a shock-reflection device arranged at the bottom of vertical borehole. Eur. J. Environ. Civ. Eng. 2020, 24, 481–499. [Google Scholar] [CrossRef]
- Cheng, R.; Chen, W.; Hao, H.; Li, J. Dynamic response of road tunnel subjected to internal Boiling liquid expansion vapour explosion (BLEVE). Tunn. Undergr. Space Technol. 2022, 123, 104363. [Google Scholar] [CrossRef]
- Zhou, J.; Chen, C.; Khandelwal, M.; Tao, M.; Li, C. Novel approach to evaluate rock mass fragmentation in block caving using unascertained measurement model and information entropy with flexible credible identification criterion. Eng. Comput. 2022, 38, 3789–3809. [Google Scholar] [CrossRef]
- Esmaeili, M.; Osanloo, M.; Rashidinejad, F.; Aghajani Bazzazi, A.; Taji, M. Multiple regression, ANN and ANFIS models for prediction of backbreak in the open pit blasting. Eng. Comput. 2014, 30, 549–558. [Google Scholar] [CrossRef]
- Nguyen, H.; Choi, Y.; Bui, X.-N.; Nguyen-Thoi, T. Predicting blast-induced ground vibration in open-pit mines using vibration sensors and support vector regression-based optimization algorithms. Sensors 2019, 20, 132. [Google Scholar] [CrossRef]
- Shang, Y.; Nguyen, H.; Bui, X.-N.; Tran, Q.-H.; Moayedi, H. A Novel Artificial Intelligence Approach to Predict Blast-Induced Ground Vibration in Open-Pit Mines Based on the Firefly Algorithm and Artificial Neural Network. Nat. Resour. Res. 2020, 29, 723–737. [Google Scholar] [CrossRef]
- Shehu, S.A.; Yusuf, K.O.; Hashim, M.H.M. Comparative study of WipFrag image analysis and Kuz-Ram empirical model in granite aggregate quarry and their application for blast fragmentation rating. Geomech. Geoengin. 2022, 17, 197–205. [Google Scholar] [CrossRef]
- Koopialipoor, M.; Ghaleini, E.N.; Haghighi, M.; Kanagarajan, S.; Maarefvand, P.; Mohamad, E.T. Overbreak prediction and optimization in tunnel using neural network and bee colony techniques. Eng. Comput. 2019, 35, 1191–1202. [Google Scholar] [CrossRef]
- Armaghani, D.J.; Hajihassani, M.; Mohamad, E.T.; Marto, A.; Noorani, S.A. Blasting-induced flyrock and ground vibration prediction through an expert artificial neural network based on particle swarm optimization. Arab. J. Geosci. 2014, 7, 5383–5396. [Google Scholar] [CrossRef]
- Ebrahimi, E.; Monjezi, M.; Khalesi, M.R.; Armaghani, D.J. Prediction and optimization of back-break and rock fragmentation using an artificial neural network and a bee colony algorithm. Bull. Eng. Geol. Environ. 2016, 75, 27–36. [Google Scholar] [CrossRef]
- Li, E.; Yang, F.; Ren, M.; Zhang, X.; Zhou, J.; Khandelwal, M. Prediction of blasting mean fragment size using support vector regression combined with five optimization algorithms. J. Rock Mech. Geotech. Eng. 2021, 13, 1380–1397. [Google Scholar] [CrossRef]
- Raina, A.K.; Vajre, R.; Sangode, A.; Chandar, K.R. Application of artificial intelligence in predicting rock fragmentation: A review. In Applications of Artificial Intelligence in Mining and Geotechnical Engineering; Elsevier: Amsterdam, The Netherlands, 2024; pp. 291–314. [Google Scholar] [CrossRef]
- Mojtahedi, S.F.F.; Ebtehaj, I.; Hasanipanah, M.; Bonakdari, H.; Amnieh, H.B. Proposing a novel hybrid intelligent model for the simulation of particle size distribution resulting from blasting. Eng. Comput. 2019, 35, 47–56. [Google Scholar] [CrossRef]
- Kuznetsov, V. The mean diameter of the fragments formed by blasting rock. Sov. Min. Sci. 1973, 9, 144–148. [Google Scholar] [CrossRef]
- Cunningham, C. The Kuz-Ram model for prediction of fragmentation from blasting. In First International Symposium on Rock Fragmentation by Blasting; Holmberg, R., Rustan, A., Eds.; Luleå University of Technology: Lulea, Sweden, 1983. [Google Scholar]
- Cunningham, C. The Kuz-Ram fragmentation model–20 years on. In Brighton Conference Proceedings; European Federation of Explosives Engineer: Brighton, UK, 2005. [Google Scholar]
- Hekmat, A.; Munoz, S.; Gomez, R. Prediction of Rock Fragmentation Based on a Modified Kuz-Ram Model; Springer International Publishing: Cham, Switzerland, 2019. [Google Scholar] [CrossRef]
- Ouchterlony, F.; Sanchidrián, J.A. A review of the development of better prediction equations for blast fragmentation. Rock Dyn. Appl. 2018, 3, 25–45. [Google Scholar] [CrossRef]
- Ouchterlony, F. The Swebrec© function: Linking fragmentation by blasting and crushing. Min. Technol. 2005, 114, 29–44. [Google Scholar] [CrossRef]
- Sanchidrián, J.A.; Ouchterlony, F. A distribution-free description of fragmentation by blasting based on dimensional analysis. Rock Mech. Rock Eng. 2017, 50, 781–806. [Google Scholar] [CrossRef]
- Gheibie, S.; Aghababaei, H.; Hoseinie, S.; Pourrahimian, Y. Modified Kuz—Ram fragmentation model and its use at the Sungun Copper Mine. Int. J. Rock Mech. Min. Sci. 2009, 46, 967–973. [Google Scholar] [CrossRef]
- Bergmann, O.R.; Riggle, J.W.; Wu, F.C. Model rock blasting—Effect of explosives properties and other variables on blasting results. Int. J. Rock Mech. Min. Sci. Geomech. Abstr. 1973, 10, 585–612. [Google Scholar] [CrossRef]
- Larsson, B. Report on blasting of high and low benches–fragmentation from production blasts. In Proceedings of Discussion Meeting BK74; Swedish Rock Construction Committee: Stockholm, Sweden, 1974. [Google Scholar]
- Dotto, M.S.; Pourrahimian, Y. The Influence of Explosive and Rock Mass Properties on Blast Damage in a Single-Hole Blasting. Mining 2024, 4, 168–188. [Google Scholar] [CrossRef]
- Aler, J.; Du Mouza, J. Predicting blast fragmentation efficiency using discriminant analysis. In Measurement of Blast Fragmentation; Routledge: Oxfordshire, UK, 2018; pp. 203–207. [Google Scholar] [CrossRef]
- Ouchterlony, F. Influence of Blasting on the Size Distribution and Properties of Muckpile Fagments: A State-of-the-Art Review; Swedish Rock Blasting Research Centre, Swebrec at LTU: Stockholm, Sweden, 2003. [Google Scholar]
- Kumar, M.; Kumar, V.; Biswas, R.; Samui, P.; Kaloop, M.R.; Alzara, M.; Yosri, A.M. Hybrid ELM and MARS-based prediction model for bearing capacity of shallow foundation. Processes 2022, 10, 1013. [Google Scholar] [CrossRef]
- Biswas, R.; Samui, P.; Rai, B. Determination of compressive strength using relevance vector machine and emotional neural network. Asian J. Civ. Eng. 2019, 20, 1109–1118. [Google Scholar] [CrossRef]
- Armaghani, D.J.; Koopialipoor, M.; Marto, A.; Yagiz, S. Application of several optimization techniques for estimating TBM advance rate in granitic rocks. J. Rock Mech. Geotech. Eng. 2019, 11, 779–789. [Google Scholar] [CrossRef]
- Shi, X.-z.; Zhou, J.; Wu, B.-b.; Huang, D.; Wei, W. Support vector machines approach to mean particle size of rock fragmentation due to bench blasting prediction. Trans. Nonferrous Met. Soc. China 2012, 22, 432–441. [Google Scholar] [CrossRef]
- Esmaeili, M.; Salimi, A.; Drebenstedt, C.; Abbaszadeh, M.; Aghajani Bazzazi, A. Application of PCA, SVR, and ANFIS for modeling of rock fragmentation. Arab. J. Geosci. 2015, 8, 6881–6893. [Google Scholar] [CrossRef]
- Gao, W.; Karbasi, M.; Hasanipanah, M.; Zhang, X.; Guo, J. Developing GPR model for forecasting the rock fragmentation in surface mines. Eng. Comput. 2018, 34, 339–345. [Google Scholar] [CrossRef]
- Dimitraki, L.; Christaras, B.; Marinos, V.; Vlahavas, I.; Arampelos, N. Predicting the average size of blasted rocks in aggregate quarries using artificial neural networks. Bull. Eng. Geol. Environ. 2019, 78, 2717–2729. [Google Scholar] [CrossRef]
- Monjezi, M.; Mohamadi, H.A.; Barati, B.; Khandelwal, M. Application of soft computing in predicting rock fragmentation to reduce environmental blasting side effects. Arab. J. Geosci. 2014, 7, 505–511. [Google Scholar] [CrossRef]
- Asl, P.F.; Monjezi, M.; Hamidi, J.K.; Armaghani, D.J. Optimization of flyrock and rock fragmentation in the Tajareh limestone mine using metaheuristics method of firefly algorithm. Eng. Comput. 2018, 34, 241–251. [Google Scholar] [CrossRef]
- Bahrami, A.; Monjezi, M.; Goshtasbi, K.; Ghazvinian, A. Prediction of rock fragmentation due to blasting using artificial neural network. Eng. Comput. 2011, 27, 177–181. [Google Scholar] [CrossRef]
- Murlidhar, B.R.; Armaghani, D.J.; Mohamad, E.T.; Changthan, S. Rock fragmentation prediction through a new hybrid model based on imperial competitive algorithm and neural network. Smart Constr. Res. 2018, 2, 1–12. [Google Scholar] [CrossRef]
- Hasanipanah, M.; Amnieh, H.B.; Arab, H.; Zamzam, M.S. Feasibility of PSO–ANFIS model to estimate rock fragmentation produced by mine blasting. Neural Comput. Appl. 2018, 30, 1015–1024. [Google Scholar] [CrossRef]
- Monjezi, M.; Rezaei, M.; Yazdian Varjani, A. Prediction of rock fragmentation due to blasting in Gol-E-Gohar iron mine using fuzzy logic. Int. J. Rock Mech. Min. Sci. 2009, 46, 1273–1280. [Google Scholar] [CrossRef]
- Zhou, J.; Li, C.; Arslan, C.A.; Hasanipanah, M.; Bakhshandeh Amnieh, H. Performance evaluation of hybrid FFA-ANFIS and GA-ANFIS models to predict particle size distribution of a muck-pile after blasting. Eng. Comput. 2021, 37, 265–274. [Google Scholar] [CrossRef]
- Sayadi, A.; Monjezi, M.; Talebi, N.; Khandelwal, M. A comparative study on the application of various artificial neural networks to simultaneous prediction of rock fragmentation and backbreak. J. Rock Mech. Geotech. Eng. 2013, 5, 318–324. [Google Scholar] [CrossRef]
- Kulatilake, P.H.S.W.; Qiong, W.; Hudaverdi, T.; Kuzu, C. Mean particle size prediction in rock blast fragmentation using neural networks. Eng. Geol. 2010, 114, 298–311. [Google Scholar] [CrossRef]
- Shylaja, G.; Prashanth, R. A systematic survey of hybrid ML techniques for predicting peak particle velocity (PPV) in open-cast mine blasting operations. Artif. Intell. Rev. 2025, 58, 203. [Google Scholar] [CrossRef]
- Abbaszadeh Shahri, A.; Pashamohammadi, F.; Asheghi, R.; Abbaszadeh Shahri, H. Automated intelligent hybrid computing schemes to predict blasting induced ground vibration. Eng. Comput. 2022, 38, 3335–3349. [Google Scholar] [CrossRef]
- Mirfallah Lialestani, S.P.; Parcerisa, D.; Himi, M.; Abbaszadeh Shahri, A. A novel modified bat algorithm to improve the spatial geothermal mapping using discrete geodata in Catalonia-Spain. Model. Earth Syst. Environ. 2024, 10, 4415–4428. [Google Scholar] [CrossRef]
- Abbaszadeh Shahri, A.; Khorsand Zak, M.; Abbaszadeh Shahri, H. A modified firefly algorithm applying on multi-objective radial-based function for blasting. Neural Comput. Appl. 2022, 34, 2455–2471. [Google Scholar] [CrossRef]
- Iraninezhad, R.; Asheghi, R.; Ahmadi, H. A new enhanced grey wolf optimizer to improve geospatially subsurface analyses. Model. Earth Syst. Environ. 2025, 11, 108. [Google Scholar] [CrossRef]
- Yari, M.; He, B.; Armaghani, D.J.; Abbasi, P.; Mohamad, E.T. A novel ensemble machine learning model to predict mine blasting–induced rock fragmentation. Bull. Eng. Geol. Environ. 2023, 82, 187. [Google Scholar] [CrossRef]
- Zhang, Y.; Liu, J.; Shen, W. A Review of Ensemble Learning Algorithms Used in Remote Sensing Applications. Appl. Sci. 2022, 12, 8654. [Google Scholar] [CrossRef]
- Sharma, S.K.; Rai, P. Establishment of blasting design parameters influencing mean fragment size using state-of-art statistical tools and techniques. Measurement 2017, 96, 34–51. [Google Scholar] [CrossRef]
- Freund, Y.; Schapire, R.E. A decision-theoretic generalization of on-line learning and an application to boosting. J. Comput. Syst. Sci. 1997, 55, 119–139. [Google Scholar] [CrossRef]
- Friedman, J.H. Greedy function approximation: A gradient boosting machine. Ann. Stat. 2001, 29, 1189–1232. [Google Scholar] [CrossRef]
- Ke, G.; Meng, Q.; Finley, T.; Wang, T.; Chen, W.; Ma, W.; Ye, Q.; Liu, T.-Y. Lightgbm: A highly efficient gradient boosting decision tree. In Proceedings of the 31st International Conference on Neural Information Processing Systems, Long Beach, CA, USA, 4–9 December 2017; Advances in neural information processing systems. Volume 30. [Google Scholar]
- Al Adwan, J.; Alzubi, Y.; Alkhdour, A.; Alqawasmeh, H. Predicting compressive strength of concrete using histogram-based gradient boosting approach for rapid design of mixtures. Civ. Eng. Infrastruct. J. 2023, 56, 159–172. [Google Scholar] [CrossRef]
- Mame, M.; Qiu, Y.; Huang, S.; Du, K.; Zhou, J. Mean Block Size Prediction in Rock Blast Fragmentation Using TPE-Tree-Based Model Approach with SHapley Additive exPlanations. Min. Metall. Explor. 2024, 41, 2325–2340. [Google Scholar] [CrossRef]
- Geurts, P.; Ernst, D.; Wehenkel, L. Extremely randomized trees. Mach. Learn. 2006, 63, 3–42. [Google Scholar] [CrossRef]
- Ghazwani, M.; Begum, M.Y. Computational intelligence modeling of hyoscine drug solubility and solvent density in supercritical processing: Gradient boosting, extra trees, and random forest models. Sci. Rep. 2023, 13, 10046. [Google Scholar] [CrossRef]
- Mastelini, S.M.; Nakano, F.K.; Vens, C.; Carvalho, A.C.P. Online Extra Trees Regressor. IEEE Trans. Neural Netw. Learn. Syst. 2023, 34, 6755–6767. [Google Scholar] [CrossRef]
- Mame, M.; Huang, S.; Li, C.; Zhou, J. Application of Extra-Trees Regression and Tree-Structured Parzen Estimators Optimization Algorithm to Predict Blast-Induced Mean Fragmentation Size in Open-Pit Mines. Appl. Sci. 2025, 15, 8363. [Google Scholar] [CrossRef]
- Mirjalili, S.; Mirjalili, S.M.; Lewis, A. Grey wolf optimizer. Adv. Eng. Softw. 2014, 69, 46–61. [Google Scholar] [CrossRef]
- Liu, Y.; As’arry, A.; Hassan, M.K.; Hairuddin, A.A.; Mohamad, H. Review of the grey wolf optimization algorithm: Variants and applications. Neural Comput. Appl. 2024, 36, 2713–2735. [Google Scholar] [CrossRef]
- Mech, L.D. Alpha status, dominance, and division of labor in wolf packs. Can. J. Zool. 1999, 77, 1196–1203. [Google Scholar] [CrossRef][Green Version]
- Muro, C.; Escobedo, R.; Spector, L.; Coppinger, R.P. Wolf-pack (Canis lupus) hunting strategies emerge from simple rules in computational simulations. Behav. Process. 2011, 88, 192–197. [Google Scholar] [CrossRef] [PubMed]
- Reynolds, C.W. Flocks, herds and schools: A distributed behavioral model. In Proceedings of the 14th Annual Conference on Computer Graphics and Interactive Techniques, Anaheim, CA, USA, 27–31 July 1987. [Google Scholar]
- Gad, A.G. Particle swarm optimization algorithm and its applications: A systematic review. Arch. Comput. Methods Eng. 2022, 29, 2531–2561. [Google Scholar] [CrossRef]
- Wang, D.; Tan, D.; Liu, L. Particle swarm optimization algorithm: An overview. Soft Comput. 2018, 22, 387–408. [Google Scholar] [CrossRef]
- Ekanayake, I.; Meddage, D.; Rathnayake, U. A novel approach to explain the black-box nature of machine learning in compressive strength predictions of concrete using Shapley additive explanations (SHAP). Case Stud. Constr. Mater. 2022, 16, e01059. [Google Scholar] [CrossRef]
- Zhang, C.; Cho, S.; Vasarhelyi, M. Explainable Artificial Intelligence (XAI) in auditing. Int. J. Account. Inf. Syst. 2022, 46, 100572. [Google Scholar] [CrossRef]
- Lundberg, S.M.; Lee, S.-I. A unified approach to interpreting model predictions. arXiv 2017. [Google Scholar] [CrossRef]
- Razavi, S.; Jakeman, A.; Saltelli, A.; Prieur, C.; Iooss, B.; Borgonovo, E.; Plischke, E.; Lo Piano, S.; Iwanaga, T.; Becker, W.; et al. The Future of Sensitivity Analysis: An essential discipline for systems modeling and policy support. Environ. Model. Softw. 2021, 137, 104954. [Google Scholar] [CrossRef]
- Antoniadis, A.; Lambert-Lacroix, S.; Poggi, J.-M. Random forests for global sensitivity analysis: A selective review. Reliab. Eng. Syst. Saf. 2021, 206, 107312. [Google Scholar] [CrossRef]
- Li, D.; Jiang, P.; Hu, C.; Yan, T. Comparison of local and global sensitivity analysis methods and application to thermal hydraulic phenomena. Prog. Nucl. Energy 2023, 158, 104612. [Google Scholar] [CrossRef]
- Haghnegahdar, A.; Razavi, S. Insights into sensitivity analysis of Earth and environmental systems models: On the impact of parameter perturbation scale. Environ. Model. Softw. 2017, 95, 115–131. [Google Scholar] [CrossRef]
- Zouhri, W.; Homri, L.; Dantan, J.-Y. Handling the impact of feature uncertainties on SVM: A robust approach based on Sobol sensitivity analysis. Expert Syst. Appl. 2022, 189, 115691. [Google Scholar] [CrossRef]
- Chen, L.; Xu, Z.; Huang, D.; Chen, Z. An improved sobol sensitivity analysis method. J. Phys. Conf. Ser. 2024, 2747, 012025. [Google Scholar] [CrossRef]



















| Category | Parameters | Unit | Mean | Std. | Min. | Max. |
|---|---|---|---|---|---|---|
| Blast design parameters | D | m | 0.28 | 0.02 | 0.25 | 0.31 |
| H | m | 25.14 | 10.38 | 12 | 45.5 | |
| J | m | 1.45 | 0.94 | 0 | 3.5 | |
| S | m | 10.40 | 1.51 | 9 | 12.8 | |
| B | m | 8.84 | 0.90 | 7 | 10 | |
| ST | m | 6.87 | 2.34 | 4.5 | 12.2 | |
| L | m | 75.41 | 27.09 | 26.2 | 133 | |
| Wd | m | 73.29 | 22.39 | 38 | 175 | |
| S.B | 1.16 | 0.09 | 1 | 1.29 | ||
| T.B | 0.77 | 0.20 | 0.5 | 1.22 | ||
| H.B | 2.80 | 0.94 | 1.33 | 4.55 | ||
| J.B | 0.16 | 0.10 | 0 | 0.39 | ||
| B.D | 31.83 | 1.97 | 28 | 35.86 | ||
| L.Wd | 1.10 | 0.43 | 0.23 | 2 | ||
| NH | 58.20 | 21.93 | 16 | 145 | ||
| Explosive parameters | Qe | t | 90,667.43 | 70,900.6 | 9140 | 282,088 |
| De | Kg/m | 72.21 | 15.85 | 45 | 99.22 | |
| PF | Kg/m3 | 1.75 | 0.22 | 1.34 | 2.53 | |
| Rock mass parameters | UCS | MPa | 22.38 | 4.77 | 11.8 | 36 |
| Output | MFS | m | 0.35 | 0.10 | 0.18 | 0.71 |
| Hyperparameter | Type | Search Spaces | Regression Algorithm |
|---|---|---|---|
| learning_rate | Real number | [0.001, 0.9] | GBR and HGB |
| min_samples_leaf | Integer | [1, 25] | GBR, HGB, and ET |
| max_depth | Integer | [1, 35] | GBR, HGB, and ET |
| max_iter | Integer | [1, 1500] | HGB |
| max_bins | Integer | [2, 255] | HGB |
| max_leaf_nodes | Integer | [2, 40] | HGB |
| loss | Categorical | ‘squared_error’, ‘absolute_error’, ‘poisson’, ‘huber’, and ‘quantile’ | HGB and GBR |
| n_estimators | Integer | [1, 2000] | GBR and ET |
| max_features | Categorical | ‘sqrt’ and ‘log2’ | GBR and ET |
| min_impurity_decrease | Real number | [0.001, 0.9] | ET |
| criterion | Categorical | ‘friedman_mse’ | ET |
| min_samples_split | Integer | [2, 35] | GBR and ET |
| Hyperparameter | Regression Algorithm | Optimal Hyperparameter |
|---|---|---|
| learning_rate | PSO-GBR, GWO-GBR, PSO-HGB, and GWO-HGB | 0.25248253633377366, 0.3900133426215353, 0.12243171992573323, 0.09867189594888269 |
| min_samples_leaf | PSO-GBR, GWO-GBR, PSO-HGB, GWO-HGB, PSO-ET, and GWO-ET | 5, 8, 12, 6, 1, 1 |
| max_depth | PSO-GBR, GWO-GBR, PSO-HGB, GWO-HGB, PSO-ET, and GWO-ET | 5, 14, 7, 4, 25, 25 |
| max_iter | PSO-HGB and GWO-HGB | 464, 808 |
| max_bins | PSO-HGB and GWO-HGB | 18, 11 |
| max_leaf_nodes | PSO-HGB and GWO-HGB | 12, 32 |
| loss | PSO-GBR, GWO-GBR, PSO-HGB, and GWO-HGB | squared_error, squared_error, poisson, poisson |
| n_estimators | PSO-GBR, GWO-GBR, PSO-ET, and GWO-ET | 343, 100, 50, 50 |
| max_features | PSO-GBR, GWO-GBR, PSO-ET, and GWO-ET | log2, log2, log2, log2 |
| min_impurity_decrease | PSO-ET and GWO-ET | 0.001, 0.0001281752188044905 |
| criterion | PSO-ET and GWO-ET | friedman_mse, absolute_error |
| min_samples_split | PSO-GBR, GWO-GBR, PSO-ET, and GWO-ET | 8, 3, 2, 3 |
| Metrics | Training Set | Scores | ||||
|---|---|---|---|---|---|---|
| Models | R2 | RMSE | MAE | MAPE | ||
| GWO-ET | 0.9759 | 0.0147 | 0.0079 | 2.0919 | ||
| Rank | 6 | 1 | 1 | 2 | 10 | |
| GWO-GBR | 0.9993 | 0.0023 | 0.0015 | 0.4080 | ||
| Rank | 3 | 4 | 4 | 3 | 14 | |
| GWO-HGB | 0.9999 | 0.0002 | 0.0009 | 0.0003 | ||
| Rank | 2 | 5 | 5 | 5 | 17 | |
| PSO-ET | 0.9890 | 0.0099 | 0.0079 | 2.5015 | ||
| Rank | 5 | 2 | 2 | 1 | 10 | |
| PSO-GBR | 0.9999 | 0.0003 | 0.0001 | 0.0003 | ||
| Rank | 1 | 6 | 6 | 6 | 19 | |
| PSO-HGB | 0.9970 | 0.0051 | 0.0037 | 0.0106 | ||
| Rank | 4 | 3 | 3 | 4 | 14 | |
| Metrics | Test Set | Scores | ||||
|---|---|---|---|---|---|---|
| Models | R2 | RMSE | MAE | MAPE | ||
| GWO-ET | 0.8618 | 0.0383 | 0.0302 | 8.6671 | ||
| Rank | 5 | 2 | 2 | 2 | 11 | |
| GWO-GBR | 0.9341 | 0.0364 | 0.0213 | 6.9482 | ||
| Rank | 2 | 5 | 5 | 3 | 15 | |
| GWO-HGB | 0.9403 | 0.0251 | 0.0185 | 0.0560 | ||
| Rank | 1 | 6 | 6 | 6 | 19 | |
| PSO-ET | 0.7821 | 0.0480 | 0.0379 | 10.6954 | ||
| Rank | 6 | 1 | 1 | 1 | 9 | |
| PSO-GBR | 0.9171 | 0.0396 | 0.0217 | 0.0649 | ||
| Rank | 3 | 4 | 3 | 4 | 14 | |
| PSO-HGB | 0.9173 | 0.0313 | 0.0215 | 0.0625 | ||
| Rank | 4 | 3 | 4 | 5 | 16 | |
| Source | Model | Performance |
|---|---|---|
| [12] | GWO-v-SVR | R2 = 0.83 |
| This study | GWO-HGB | R2 = 0.94 |
| Sensitivity Analysis Method | |||
|---|---|---|---|
| Features | Perturbation | Gradient | Variance |
| D | 0.036348 | 0.040814 | 0.000000 |
| H | 0.016157 | 0.044491 | 0.000000 |
| J | 0.027349 | 0.073672 | 0.129804 |
| S | 0.033739 | 0.073672 | 0.061349 |
| B | 0.019618 | 0.069464 | 0.000000 |
| ST | 0.034337 | 0.020026 | 0.000000 |
| L | 0.039077 | 0.076619 | 0.000000 |
| Wd | 0.031075 | 0.020061 | 0.094438 |
| S.B | 0.036306 | 0.020072 | 0.093443 |
| T.B | 0.037803 | 0.034210 | 0.132955 |
| H.B | 0.016566 | 0.003575 | 0.081417 |
| J.B | 0.036341 | 0.056359 | 0.104199 |
| B.D | 0.015460 | 0.049295 | 0.068905 |
| L.W | 0.070415 | 0.021731 | 0.064131 |
| NH | 0.063900 | 0.028964 | 0.044935 |
| Qe | 0.077024 | 0.019023 | 0.024734 |
| De | 0.052617 | 0.063458 | 0.061473 |
| PF | 0.018452 | 0.014999 | 0.043946 |
| UCS | 0.079843 | 0.087349 | 0.105676 |
Disclaimer/Publisher’s Note: The statements, opinions and data contained in all publications are solely those of the individual author(s) and contributor(s) and not of MDPI and/or the editor(s). MDPI and/or the editor(s) disclaim responsibility for any injury to people or property resulting from any ideas, methods, instructions or products referred to in the content. |
© 2025 by the authors. Licensee MDPI, Basel, Switzerland. This article is an open access article distributed under the terms and conditions of the Creative Commons Attribution (CC BY) license.
Share and Cite
Mame, M.; Huang, S.; Li, C.; Zhou, X.; Zhou, J. Prediction of Mean Fragmentation Size in Open-Pit Mine Blasting Operations Using Histogram-Based Gradient Boosting and Grey Wolf Optimization Approach. Appl. Sci. 2026, 16, 311. https://doi.org/10.3390/app16010311
Mame M, Huang S, Li C, Zhou X, Zhou J. Prediction of Mean Fragmentation Size in Open-Pit Mine Blasting Operations Using Histogram-Based Gradient Boosting and Grey Wolf Optimization Approach. Applied Sciences. 2026; 16(1):311. https://doi.org/10.3390/app16010311
Chicago/Turabian StyleMame, Madalitso, Shuai Huang, Chuanqi Li, Xiaoguang Zhou, and Jian Zhou. 2026. "Prediction of Mean Fragmentation Size in Open-Pit Mine Blasting Operations Using Histogram-Based Gradient Boosting and Grey Wolf Optimization Approach" Applied Sciences 16, no. 1: 311. https://doi.org/10.3390/app16010311
APA StyleMame, M., Huang, S., Li, C., Zhou, X., & Zhou, J. (2026). Prediction of Mean Fragmentation Size in Open-Pit Mine Blasting Operations Using Histogram-Based Gradient Boosting and Grey Wolf Optimization Approach. Applied Sciences, 16(1), 311. https://doi.org/10.3390/app16010311

